Mining for Resistance Loci to Fusarium Wilt in Mungbean
Abstract
1. Introduction
2. Materials and Methods
2.1. Plant and Pathogen Materials
2.2. Pathogen Inoculation and Resistance Evaluation of Mungbean Plants
2.3. Linkage Mapping and QTL Analysis
2.4. Bulk Segregant Analysis and Fine Mapping
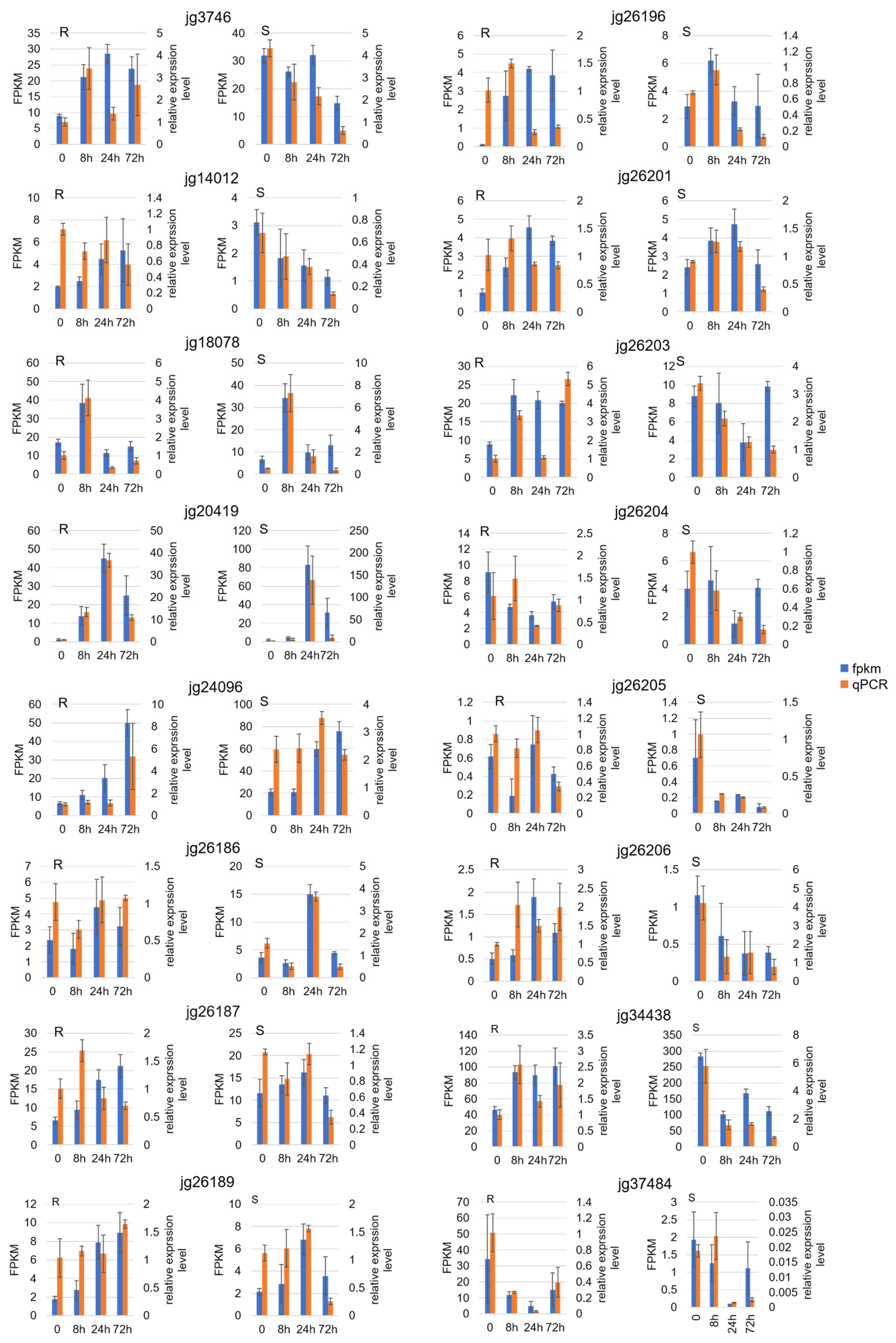
2.5. Transcriptome Analysis
3. Results
3.1. Identification of Resistance Phenotypes
3.2. Linkage Mapping and Gene Location of FW Resistance Loci
3.3. Bulked Segregant Analysis by Sequencing
3.4. Refined Mapping at Overlapping Region
3.5. Identification of DEGs from Transcriptome Data
3.6. Selection of Candidate Resistant Genes
4. Discussion
5. Conclusions
Supplementary Materials
Author Contributions
Funding
Data Availability Statement
Conflicts of Interest
References
- Pandey, A.K.; Burlakoti, R.R.; Kenyon, L.; Nair, R.M. Perspectives and Challenges for Sustainable Management of Fungal Diseases of Mungbean [Vigna radiata (L.) R. Wilczek var. radiata]: A Review. Front. Environ. Sci. 2018, 6, 53. [Google Scholar] [CrossRef]
- Keatinge, J.D.H.; Easdown, W.J.; Yang, R.Y.; Chadha, M.L.; Shanmugasundaram, S. Overcoming chronic malnutrition in a future warming world: The key importance of mungbean and vegetable soybean. Euphytica 2011, 180, 129–141. [Google Scholar] [CrossRef]
- Pratap, A.; Chaturvedi, S.K.; Tomar, R.; Rajan, N.; Malviya, N.; Thudi, M.; Saabale, P.R.; Prajapati, U.; Varshney, R.K.; Singh, N.P. Marker-assisted introgression of resistance to fusarium wilt race 2 in Pusa 256, an elite cultivar of desi chickpea. Mol. Genet. Genom. 2017, 292, 1237–1245. [Google Scholar] [CrossRef] [PubMed]
- Sun, F.; Sun, S.; Zhu, L.; Duan, C.; Zhu, Z. Confirmation of Fusarium oxysporum as a causal agent of mung bean wilt in China. Crop Prot. 2019, 117, 77–85. [Google Scholar] [CrossRef]
- Chen, L.; Wu, Q.; He, W.; He, T.; Wu, Q.; Miao, Y. Combined De Novo Transcriptome and Metabolome Analysis of Common Bean Response to Fusarium oxysporum f. sp. phaseoli Infection. Int. J. Mol. Sci. 2019, 20, 6278. [Google Scholar] [CrossRef]
- Manzo, D.; Ferriello, F.; Puopolo, G.; Zoina, A.; D’Esposito, D.; Tardella, L.; Ferrarini, A.; Ercolano, M.R. Fusarium oxysporum f.sp. radicis-lycopersici induces distinct transcriptome reprogramming in resistant and susceptible isogenic tomato lines. Inherit. Quant. Trait. Locus Mapp. Fusarium 2016, 16, 53. [Google Scholar] [CrossRef]
- Cabral, C.S.; Fonseca, M.E.d.N.; Oliveira, V.R.; Boiteux, L.S.; Reis, A. A single dominant gene/locus model for control of Fusarium oxysporum f. sp. lactucae race 1 resistance in lettuce (Lactuca sativa). Euphytica 2019, 215, 114. [Google Scholar] [CrossRef]
- Dong, J.; Xu, J.; Xu, X.; Xu, Q.; Chen, X. Inheritance and Quantitative Trait Locus Mapping of Fusarium Wilt Resistance in Cucumber. Front. Plant Sci. 2019, 10, 1425. [Google Scholar] [CrossRef]
- Deol, J.K.; Sharma, S.P.; Rani, R.; Kalia, A.; Chhuneja, P.; Sarao, N.K. Inheritance analysis and identification of SSR markers associated with fusarium wilt resistance in melon. J. Hortic. Sci. Biotechnol. 2022, 97, 66–74. [Google Scholar] [CrossRef]
- Wang, C.; Ulloa, M.; Duong, T.; Roberts, P.A. Quantitative Trait Loci Mapping of Multiple Independent Loci for Resistance to Fusarium oxysporum f. sp. vasinfectum Races 1 and 4 in an Interspecific Cotton Population. Phytopathology 2018, 108, 759–767. [Google Scholar] [CrossRef]
- Zhang, L.; Cenci, A.; Rouard, M.; Zhang, D.; Wang, Y.; Tang, W.; Zheng, S.-J. Transcriptomic analysis of resistant and susceptible banana corms in response to infection by Fusarium oxysporum f. sp. cubense tropical race 4. Sci. Rep. 2019, 9, 8199. [Google Scholar] [CrossRef]
- Fourie, G. Current status of the taxonomic position of Fusarium oxysporum formae specialis cubense within the Fusarium oxysporum complex. Infect. Genet. Evol. 2011, 11, 533–542. [Google Scholar] [CrossRef] [PubMed]
- Sun, S.; Zhi, Y.; Zhu, Z.; Jin, J.; Duan, C.; Wu, X.; Wang, X. An Emerging Disease Caused by Pseudomonas syringae pv. phaseolicola Threatens Mung Bean Production in China. Plant Dis. 2017, 101, 95–102. [Google Scholar] [CrossRef] [PubMed]
- Vani, M.S.; Kumar, S.; Gulya, R. In vitro evaluation of fungicides and plant extracts against Fusarium oxysporum causing wilt of mungbean. Pharma Innov. J. 2019, 8, 297–302. [Google Scholar]
- Sun, S.; Zhu, L.; Sun, F.; Duan, C.; Zhu, Z. Pathotype diversity of Fusarium oxysporum f. sp. mungcola causing wilt on mungbean (Vigna radiata). Crop Pasture Sci. 2020, 71, 873. [Google Scholar] [CrossRef]
- Kelly, L. Fusarium Species Associated with Grain Sorghum and Mungbean in Queensland. Master’s Thesis, The University of Queensland, Queensland, Australia, 2018. Available online: http://espace.library.uq.edu.au/view/UQ:716902 (accessed on 18 November 2021).
- Wang, B.; Dale, M.L.; Kochman, J.K.; Obst, N.R. Effects of plant residue, soil characteristics, cotton cultivars and other crops on fusarium wilt of cotton in Australia. Aust. J. Exp. Agric. 1999, 39, 203–209. [Google Scholar] [CrossRef]
- Davis, R.M.; Colyer, P.D.; Rothrock, C.S.; Kochman, J.K. Fusarium Wilt of Cotton: Population Diversity and Implications for Management. Plant Dis. 2006, 90, 692–703. [Google Scholar] [CrossRef]
- Allen, S.J. The Effects of Crop Rotation with Wheat on the Incidence of Fusarium Wilt of Cotton in Australia. In Proceedings of the 2006 Beltwide Cotton Conferences, San Antonio, TX, USA, 3–6 January 2006; pp. 81–84. [Google Scholar]
- Sampaio, A.M.; Araújo, S.d.S.; Rubiales, D.; Vaz Patto, M.C. Fusarium Wilt Management in Legume Crops. Agronomy 2020, 10, 1073. [Google Scholar] [CrossRef]
- McGovern, R.J. Management of tomato diseases caused by Fusarium oxysporum. Crop Prot. 2015, 73, 78–92. [Google Scholar] [CrossRef]
- Bennett, R.S.; Spurgeon, D.W.; DeTar, W.R.; Gerik, J.S.; Hutmacher, R.B.; Hanson, B.D. Efficacy of Four Soil Treatments Against Fusarium oxysporum f. sp. vasinfectum Race 4 on Cotton. Plant Dis. 2011, 95, 967–976. [Google Scholar] [CrossRef]
- Panth, M.; Hassler, S.C.; Baysal-Gurel, F. Methods for Management of Soilborne Diseases in Crop Production. Agriculture 2020, 10, 16. [Google Scholar] [CrossRef]
- Dhingra, O.D.; Netto, R.A.C. Reservoir and Non-reservoir Hosts of Bean-Wilt Pathogen, Fusarium oxysporum f. sp. phaseoli. J. Phytopathol. 2008, 149, 463–467. [Google Scholar] [CrossRef]
- Sanogo, S.; Zhang, J. Resistance sources, resistance screening techniques and disease management for Fusarium wilt in cotton. Euphytica 2016, 207, 255–271. [Google Scholar] [CrossRef]
- Dubey, S.C.; Suresh, M.; Singh, B. Evaluation of Trichoderma species against Fusarium oxysporum f. sp. ciceris for integrated management of chickpea wilt. Biol. Control 2007, 40, 118–127. [Google Scholar] [CrossRef]
- Shen, Y.; Zhang, Z.; Sun, S.; Wang, Y.; Fan, B.; Liu, C.; Wang, S.; Su, Q.; Shi, H.; Zhu, Z.; et al. Identification and Screening for Resistance Germplasm Resources to Fusarium Wilt in Mungbean. J. Plant Genet. Resour. 2022, 23, 1660–1669. [Google Scholar] [CrossRef]
- Kraft, J. Fusarium wilt of peas (a review). Agronomie 1994, 14, 561–567. [Google Scholar] [CrossRef]
- McClendon, M.T.; Inglis, D.A.; McPhee, K.E.; Coyne, C.J. DNA markers linked to Fusarium wilt race 1 resistance in pea. J. Am. Soc. Hortic. Sci. 2002, 127, 602–607. [Google Scholar] [CrossRef]
- Grajal-Martìn, M.J.; Muehlbauer, F.J. Genomic Location of the Fw Gene for Resistance to Fusarium Wilt Race 1 in Peas. J. Hered. 2002, 93, 291–293. [Google Scholar] [CrossRef]
- Okubara, P.A.; Inglis, D.A.; Muehlbauer, F.J.; Coyne, C.J. A novel RAPD marker linked to the Fusarium wilt race 5 resistance gene (Fwf) in Pisum sativum. Pisum Genet. 2002, 34, 6–8. [Google Scholar]
- Coyne, C.J.; Inglis, D.A.; Whitehead, S.J.; McClendon, M.T.; Muehlbauer, F.J. Chromosomal location of Fwf, the Fusarium wilt race 5 resistance gene in Pisum sativum. Pisum Sativum 2000, 32, 20–22. [Google Scholar]
- Mc Phee, K.E.; Inglis, D.A.; Gundersen, B.; Coyne, C.J. Mapping QTL for Fusarium wilt Race 2 partial resistance in pea (Pisum sativum). Plant Breed. 2012, 131, 300–306. [Google Scholar] [CrossRef]
- Deng, D.; Sun, S.; Wu, W.; Duan, C.; Wu, X.; Zhu, Z. Fine mapping and identification of a Fusarium wilt resistance gene FwS1 in pea. Theor. Appl. Genet. 2024, 137, 171. [Google Scholar] [CrossRef] [PubMed]
- Tekeoglu, M.; Tullu, A.; Kaiser, W.J.; Muehlbauer, F.J. Inheritance and Linkage of Two Genes that Confer Resistance to Fusarium Wilt in Chickpea. Crop Sci. 2000, 40, 1247–1251. [Google Scholar] [CrossRef]
- Rubio, J.; Hajj-Moussa, E.; Kharrat, M.; Moreno, M.T.; Millan, T.; Gil, J. Two genes and linked RAPD markers involved in resistance to Fusarium oxysporum f. sp. Ciceris race 0 in chickpea. Plant Breed. 2003, 122, 188–191. [Google Scholar] [CrossRef]
- Cobos, M.J.; Fernández, M.J.; Rubio, J.; Kharrat, M.; Moreno, M.T.; Gil, J.; Millán, T. A linkage map of chickpea (Cicer arietinum L.) based on populations from Kabuli × Desi crosses: Location of genes for resistance to fusarium wilt race 0. Theor. Appl. Genet. 2005, 110, 1347–1353. [Google Scholar] [CrossRef]
- Singh, H.; Kumar, J.; Smithson, J.B.; Haware, M.P. Complementation between genes for resistance to race 1 of Fusarium oxyspomm f. sp. ciceri in chickpea. Plant Pathol. 1987, 36, 539–543. [Google Scholar] [CrossRef]
- Sharma, K.D.; Winter, P.; Kahl, G.; Muehlbauer, F.J. Molecular mapping of Fusarium oxysporum f. sp. ciceris race 3 resistance gene in chickpea. Theor. Appl. Genet. 2004, 108, 1243–1248. [Google Scholar] [CrossRef]
- Tullu, A.; Muehlbauer, F.J.; Simon, C.J.; Mayer, M.S.; Kumar, J.; Kaiser, W.J.; Kraft, J.M. Inheritance and linkage of a gene for resistance to race 4 of fusarium wilt and RAPD markers in chickpea. Euphytica 1998, 102, 227–232. [Google Scholar] [CrossRef]
- Gumber, R.K.; Kumar, J.; Hanaware, M.P. Inheritance of resistance to fusarium wilt in chickpea. Plant Breed. 1995, 114, 277–279. [Google Scholar] [CrossRef]
- Sharma, K.D.; Chen, W.; Muehlbauer, F.J. Genetics of Chickpea Resistance to Five Races of Fusarium Wilt and a Concise Set of Race Differentials for Fusarium oxysporum f. sp. ciceris. Plant Dis. 2005, 89, 385–390. [Google Scholar] [CrossRef]
- Sharma, K.D.; Muehlbauer, F.J. Fusarium wilt of chickpea: Physiological specialization, genetics of resistance and resistance gene tagging. Euphytica 2007, 157, 1–14. [Google Scholar] [CrossRef]
- Cross, H.; Brick, M.A.; Schwartz, H.F.; Panella, L.W.; Byrne, P.F. Inheritance of Resistance to Fusarium Wilt in Two Common Bean Races. Crop Sci. 2000, 40, 954–958. [Google Scholar] [CrossRef]
- Hamwieh, A.; Udupa, S.M.; Choumane, W.; Sarker, A.; Dreyer, F.; Jung, C.; Baum, M. A genetic linkage map of Lens sp. based on microsatellite and AFLP markers and the localization of fusarium vascular wilt resistance. Theor. Appl. Genet. 2005, 110, 669–677. [Google Scholar] [CrossRef] [PubMed]
- Hossain, M.d.M.; Sultana, F.; Mostafa, M.; Khan, I.; Tran, L.-S.P.; Mostofa, M.G. Reinforced Defenses: R-Genes, PTI, and ETI in Modern Wheat Breeding for Blast Resistance. Int. J. Mol. Sci. 2025, 26, 10078. [Google Scholar] [CrossRef]
- Mcdowell, J.M.; Simon, S.A. Recent insights into R gene evolution. Mol. Plant Pathol. 2006, 7, 437–448. [Google Scholar] [CrossRef]
- Yu, X.; Niu, H.; Liu, C.; Wang, H.; Yin, W.; Xia, X. PTI-ETI synergistic signal mechanisms in plant immunity. Plant Biotechnol. J. 2024, 22, 2113–2128. [Google Scholar] [CrossRef]
- Tsuda, K.; Mine, A.; Bethke, G.; Igarashi, D.; Botanga, C.J.; Tsuda, Y.; Glazebrook, J.; Sato, M.; Katagiri, F. Dual Regulation of Gene Expression Mediated by Extended MAPK Activation and Salicylic Acid Contributes to Robust Innate Immunity in Arabidopsis thaliana. PLoS Genet. 2013, 9, e1004015. [Google Scholar] [CrossRef]
- Tsuda, K.; Somssich, I.E. Transcriptional networks in plant immunity. New Phytol. 2015, 206, 932–947. [Google Scholar] [CrossRef]
- Simons, G.; Groenendijk, J.; Wijbrandi, J.; Reijans, M.; Groenen, J.; Diergaarde, P. Dissection of the Fusarium I2 Gene Cluster in Tomato Reveals Six Homologs and One Active Gene Copy. Plant Cell 1998, 10, 1055–1068. [Google Scholar] [CrossRef]
- Gonzalez-Cendales, Y.; Catanzariti, A.-M.; Baker, B.; Mcgrath, D.J.; Jones, D.A. Identification of I7 expands the repertoire of genes for resistance to Fusarium wilt in tomato to three resistance gene classes: Tomato I7 gene for Fusarium wilt resistance. Mol. Plant Pathol. 2016, 17, 448–463. [Google Scholar] [CrossRef]
- Brotman, Y.; Normantovich, M.; Goldenberg, Z.; Zvirin, Z.; Kovalski, I.; Stovbun, N.; Doniger, T.; Bolger, A.M.; Troadec, C.; Bendahmane, A.; et al. Dual Resistance of Melon to Fusarium oxysporum Races 0 and 2 and to Papaya ring-spot virus is Controlled by a Pair of Head-to-Head-Oriented NB-LRR Genes of Unusual Architecture. Mol. Plant 2013, 6, 235–238. [Google Scholar] [CrossRef]
- Catanzariti, A.; Lim, G.T.T.; Jones, D.A. The tomato I-3 gene: A novel gene for resistance to Fusarium wilt disease. New Phytol. 2015, 207, 106–118. [Google Scholar] [CrossRef] [PubMed]
- Liu, S.; Zhang, X.; Xiao, S.; Ma, J.; Shi, W.; Qin, T.; Xi, H.; Nie, X.; You, C.; Xu, Z.; et al. A Single-Nucleotide Mutation in a GLUTAMATE RECEPTOR-LIKE Gene Confers Resistance to Fusarium Wilt in Gossypium hirsutum. Adv. Sci. 2021, 8, 2002723. [Google Scholar] [CrossRef] [PubMed]
- Chang, Y.; Sun, F.; Sun, S.; Wang, L.; Wu, J.; Zhu, Z. Transcriptome Analysis of Resistance to Fusarium Wilt in Mung Bean (Vigna radiata L.). Front. Plant Sci. 2021, 12, 679629. [Google Scholar] [CrossRef] [PubMed]
- Xue, R.; Wu, X.; Wang, Y.; Zhuang, Y.; Chen, J.; Wu, J.; Ge, W.; Wang, L.; Wang, S.; Blair, M.W. Hairy root transgene expression analysis of a secretory peroxidase (PvPOX1) from common bean infected by Fusarium wilt. Plant Sci. 2017, 260, 1–7. [Google Scholar] [CrossRef]
- Wang, C.; He, X.; Li, Y.; Wang, L.; Guo, X.; Guo, X. The cotton MAPK kinase GhMPK20 negatively regulates resistance to Fusarium oxysporum by mediating the MKK4-MPK20-WRKY40 cascade: GhMPK20 regulates resistance to F. oxysporum. Mol. Plant Pathol. 2018, 19, 1624–1638. [Google Scholar] [CrossRef]
- Bartholomew, E.S.; Xu, S.; Zhang, Y.; Yin, S.; Feng, Z.; Chen, S.; Sun, L.; Yang, S.; Wang, Y.; Liu, P.; et al. A chitinase CsChi23 promoter polymorphism underlies cucumber resistance against Fusarium oxysporum f. sp. cucumerinum. New Phytol. 2022, 236, 1471–1486. [Google Scholar] [CrossRef]
- Berrocal-Lobo, M.; Molina, A. Ethylene Response Factor 1 Mediates Arabidopsis Resistance to the Soilborne Fungus Fusarium oxysporum. Mol. Plant-Microbe Interact. 2004, 17, 763–770. [Google Scholar] [CrossRef]
- Anderson, J.P.; Badruzsaufari, E.; Schenk, P.M.; Manners, J.M.; Desmond, O.J.; Ehlert, C.; Maclean, D.J.; Ebert, P.R.; Kazan, K. Antagonistic Interaction between Abscisic Acid and Jasmonate-Ethylene Signaling Pathways Modulates Defense Gene Expression and Disease Resistance in Arabidopsis. Plant Cell 2004, 16, 3460–3479. [Google Scholar] [CrossRef]
- Delessert, C.; Kazan, K.; Wilson, I.W.; Straeten, D.V.D.; Manners, J.; Dennis, E.S.; Dolferus, R. The transcription factor ATAF2 represses the expression of pathogenesis-related genes in Arabidopsis. Plant J. 2005, 43, 745–757. [Google Scholar] [CrossRef]
- McGrath, K.C.; Dombrecht, B.; Manners, J.M.; Schenk, P.M.; Edgar, C.I.; Maclean, D.J.; Scheible, W.-R.; Udvardi, M.K.; Kazan, K. Repressor- and Activator-Type Ethylene Response Factors Functioning in Jasmonate Signaling and Disease Resistance Identified via a Genome-Wide Screen of Arabidopsis Transcription Factor Gene Expression. Plant Physiol. 2005, 139, 949–959. [Google Scholar] [CrossRef] [PubMed]
- Semagn, K. Leaf Tissue Sampling and DNA Extraction Protocols. Mol. Plant Taxon. 2014, 1115, 53–67. [Google Scholar] [CrossRef]
- Da Maia, L.C.; Palmieri, D.A.; De Souza, V.Q.; Kopp, M.M.; De Carvalho, F.I.F.; Costa De Oliveira, A. SSR Locator: Tool for Simple Sequence Repeat Discovery Integrated with Primer Design and PCR Simulation. Int. J. Plant Genom. 2008, 2008, 412696. [Google Scholar] [CrossRef] [PubMed]
- Liu, C.; Wang, Y.; Peng, J.; Fan, B.; Xu, D.; Wu, J.; Cao, Z.; Gao, Y.; Wang, X.; Li, S.; et al. High-quality genome assembly and pan-genome studies facilitate genetic discovery in mung bean and its improvement. Plant Commun. 2022, 3, 100352. [Google Scholar] [CrossRef]
- Li, H.; Durbin, R. Fast and accurate short read alignment with Burrows–Wheeler transform. Bioinformatics 2009, 25, 1754–1760. [Google Scholar] [CrossRef]
- McKenna, A.; Hanna, M.; Banks, E.; Sivachenko, A.; Cibulskis, K.; Kernytsky, A.; Garimella, K.; Altshuler, D.; Gabriel, S.; Daly, M.; et al. The Genome Analysis Toolkit: A MapReduce framework for analyzing next-generation DNA sequencing data. Genome Res. 2010, 20, 1297–1303. [Google Scholar] [CrossRef]
- Kim, D.; Langmead, B.; Salzberg, S.L. HISAT: A fast spliced aligner with low memory requirements. Nat. Methods 2015, 12, 357–360. [Google Scholar] [CrossRef]
- Pertea, M.; Pertea, G.M.; Antonescu, C.M.; Chang, T.-C.; Mendell, J.T.; Salzberg, S.L. StringTie enables improved reconstruction of a transcriptome from RNA-seq reads. Nat. Biotechnol. 2015, 33, 290–295. [Google Scholar] [CrossRef]
- Marathe, R.; Anandalakshmi, R.; Liu, Y.; Dinesh-Kumar, S.P. The tobacco mosaic virus resistance gene. N. Mol. Plant Pathol. 2002, 3, 167–172. [Google Scholar] [CrossRef]
- Kim, S.H.; Kwon, S.I.; Saha, D.; Anyanwu, N.C.; Gassmann, W. Resistance to the Pseudomonas syringae Effector HopA1 Is Governed by the TIR-NBS-LRR Protein RPS6 and Is Enhanced by Mutations in SRFR1. Plant Physiol. 2009, 150, 1723–1732. [Google Scholar] [CrossRef]
- Sun, J.; Zhang, J.; Fang, H.; Peng, L.; Wei, S.; Li, C.; Zheng, S.; Lu, J. Comparative transcriptome analysis reveals resistance-related genes and pathways in Musa acuminata banana “Guijiao 9” in response to Fusarium wilt. Plant Physiol. Biochem. 2019, 141, 83–94. [Google Scholar] [CrossRef]
- Yin, W.; Wang, X.; Liu, H.; Wang, Y.; Van Nocker, S.; Tu, M.; Fang, J.; Guo, J.; Li, Z.; Wang, X. Overexpression of VqWRKY31 enhances powdery mildew resistance in grapevine by promoting salicylic acid signaling and specific metabolite synthesis. Hortic. Res. 2022, 9, uhab064. [Google Scholar] [CrossRef]
- Dong, N.; Lin, H. Contribution of phenylpropanoid metabolism to plant development and plant–environment interactions. J. Integr. Plant Biol. 2021, 63, 180–209. [Google Scholar] [CrossRef]
- Dawson, A.M.; Ferguson, J.N.; Gardiner, M.; Green, P.; Hubbard, A.; Moscou, M.J. Isolation and fine mapping of Rps6: An intermediate host resistance gene in barley to wheat stripe rust. Theor. Appl. Genet. 2016, 129, 831–843. [Google Scholar] [CrossRef]
- Dou, D.; Kale, S.D.; Liu, T.; Tang, Q.; Wang, X.; Arredondo, F.D.; Basnayake, S.; Whisson, S.; Drenth, A.; Maclean, D.; et al. Different Domains of Phytophthora sojae Effector Avr4/6 Are Recognized by Soybean Resistance Genes Rps 4 and Rps 6. Mol. Plant-Microbe Interact. 2010, 23, 425–435. [Google Scholar] [CrossRef]
- Takagi, M.; Iwamoto, N.; Kubo, Y.; Morimoto, T.; Takagi, H.; Takahashi, F.; Nishiuchi, T.; Tanaka, K.; Taji, T.; Kaminaka, H.; et al. Arabidopsis SMN2/HEN2, Encoding DEAD-Box RNA Helicase, Governs Proper Expression of the Resistance Gene SMN1/RPS6 and Is Involved in Dwarf, Autoimmune Phenotypes of mekk1 and mpk4 Mutants. Plant Cell Physiol. 2020, 61, 1507–1516. [Google Scholar] [CrossRef]







| QTL | Chr ID | Marker Intervals | Physical Position (Mb) | ADD | LOD | PVE |
|---|---|---|---|---|---|---|
| Qfr1 | 9 | Mar 9-8–Mar 9-6 | 2.56–3.45 | −10.78 | 3.01 | 7.69 |
| Qfr2 | 4 | Mar 4-94–Mar 4-32 | 20.53–24.78 | −21.28 | 7.45 | 61.01 |
| Qfr3 | 5 | Mar 5-3–Mar 4-145 | 0.82–9.30 | −10.08 | 3.72 | 13.66 |
| Sample | Clean Reads | Clean Base (bp) | GC (%) | Q30 (%) | Mapped Reads (%) | Ave Depth (X) | 10X Cov Ratio (%) | 1X Cov Ratio (%) |
|---|---|---|---|---|---|---|---|---|
| RF | 206,310,324 | 30,772,241,800 | 34.07 | 92.98 | 99.47 | 63 | 97.63 | 99.06 |
| RP | 70,916,594 | 10,575,866,096 | 33.83 | 93.16 | 99.25 | 21 | 86.01 | 95.83 |
| SF | 209,827,052 | 31,298,413,528 | 33.94 | 92.23 | 99.44 | 64 | 97.77 | 98.98 |
| SP | 71,815,376 | 10,710,414,820 | 34.03 | 93.47 | 99.14 | 22 | 83.37 | 94.58 |
Disclaimer/Publisher’s Note: The statements, opinions and data contained in all publications are solely those of the individual author(s) and contributor(s) and not of MDPI and/or the editor(s). MDPI and/or the editor(s) disclaim responsibility for any injury to people or property resulting from any ideas, methods, instructions or products referred to in the content. |
© 2026 by the authors. Licensee MDPI, Basel, Switzerland. This article is an open access article distributed under the terms and conditions of the Creative Commons Attribution (CC BY) license.
Share and Cite
Shen, Y.; Zhang, Z.; Liu, C.; Wang, Y.; Wang, S.; Shi, H.; Cao, Z.; Zhu, Z.; Fan, B.; Tian, J. Mining for Resistance Loci to Fusarium Wilt in Mungbean. Agronomy 2026, 16, 242. https://doi.org/10.3390/agronomy16020242
Shen Y, Zhang Z, Liu C, Wang Y, Wang S, Shi H, Cao Z, Zhu Z, Fan B, Tian J. Mining for Resistance Loci to Fusarium Wilt in Mungbean. Agronomy. 2026; 16(2):242. https://doi.org/10.3390/agronomy16020242
Chicago/Turabian StyleShen, Yingchao, Zhixiao Zhang, Changyou Liu, Yan Wang, Shen Wang, Huiying Shi, Zhimin Cao, Zhendong Zhu, Baojie Fan, and Jing Tian. 2026. "Mining for Resistance Loci to Fusarium Wilt in Mungbean" Agronomy 16, no. 2: 242. https://doi.org/10.3390/agronomy16020242
APA StyleShen, Y., Zhang, Z., Liu, C., Wang, Y., Wang, S., Shi, H., Cao, Z., Zhu, Z., Fan, B., & Tian, J. (2026). Mining for Resistance Loci to Fusarium Wilt in Mungbean. Agronomy, 16(2), 242. https://doi.org/10.3390/agronomy16020242

