Promotion of Sweet Potato Growth and Yield by Decreasing Soil CO2 Concentrations with Forced Aeration
Abstract
1. Introduction
2. Materials and Methods
2.1. Experiment on the Effects of CO2 in the Rooting Zone on the Net Photosynthetic Rate and Leaf Conductance
2.2. Experiment on the Effect of Forced Aeration on Sweet Potato Growth in Cultivation Ridges
2.3. Experiment on the Effect of Forced-Aeration Airflow Rates on Sweet Potato Growth in Cultivation Ridges
2.4. Experiment on the Effect of Forced-Aeration Time Intervals in the Rooting Zone on Sweet Potato Growth
3. Results
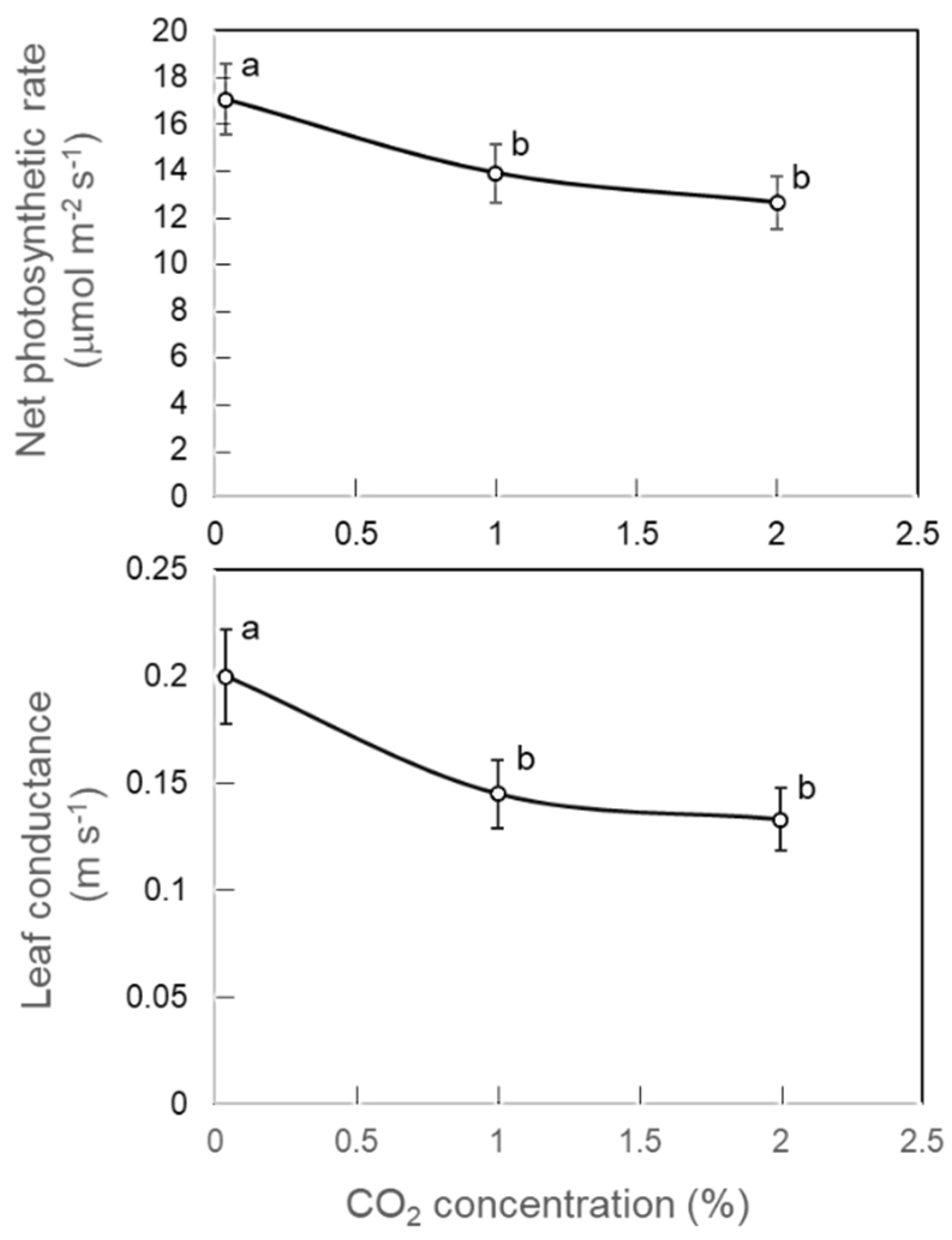
3.1. Effect of CO2 in the Rooting Zone on Net Photosynthetic Rate and Leaf Conductance
3.2. Effect of Forced Aeration in the Rooting Zone on Sweet Potato Growth
3.3. Effect of Forced Aeration Airflow Rates on Sweet Potato Growth in Cultivation Ridges
3.4. Effects of Forced-Aeration Time Intervals in the Rooting Zone on Sweet Potato Growth
4. Discussion
5. Conclusions
Funding
Data Availability Statement
Acknowledgments
Conflicts of Interest
References
- World Health Organization. World Health Statistics 2025: Monitoring Health for the SDGs, Sustainable Development Goals; World Health Organization: Geneva, Switzerland, 2025. [Google Scholar]
- Truong, V.D.; Avula, R.Y.; Pecota, K.V.; Yencho, G.C. Sweetpotato production, processing, and nutritional quality. In Handbook of Vegetables and Vegetable Processing; Wiley: Hoboken, NJ, USA, 2018; pp. 811–838. [Google Scholar]
- Alam, M.K. A comprehensive review of sweet potato (Ipomoea batatas L. Lam): Revisiting the associated health benefits. Trends Food Sci. Technol. 2021, 115, 512–529. [Google Scholar] [CrossRef]
- Tedesco, D.; de Almeida Moreira, B.R.; Júnior, M.R.B.; Maeda, M.; da Silva, R.P. Sustainable management of sweet potatoes: A review on practices, strategies, and opportunities in nutrition-sensitive agriculture, energy security, and quality of life. Agric. Syst. 2023, 210, 103693. [Google Scholar] [CrossRef]
- van Jaarsveld, P.J.; Faber, M.; Tanumihardjo, S.A.; Nestel, P.; Lombard, C.J.; Benadé, A.J.S. β-Carotene–rich orange-fleshed sweet potato improves the vitamin A status of primary school children assessed with the modified-relative-dose-response test 1–3. Am. J. Clin. Nutr. 2005, 81, 1080–1087. [Google Scholar] [CrossRef] [PubMed]
- Mounika, V.; Gowd, T.Y.M.; Lakshminarayana, D.; Krishna, G.V.; Reddy, I.V.; Soumya, B.K.; Reddy, P.M. Sweet potato (Ipomoea batatas (L.) Lam): A comprehensive review of its botany, nutritional composition, phytochemical profile, health benefits, and future prospects. Eur. Food Res. Technol. 2025, 251, 3225–3239. [Google Scholar] [CrossRef]
- Motsa, N.M.; Modi, A.T.; Mabhaudhi, T. Sweet potato (Ipomoea batatas L.) as a drought tolerant and food security crop. South Afr. J. Sci. 2015, 111, 1–8. [Google Scholar] [CrossRef]
- Woolfe, J.A. Sweet Potato: An Untapped Food Resource; Cambridge University Press: Cambridge, UK, 1992. [Google Scholar]
- Nguyen, H.C.; Chen, C.C.; Lin, K.H.; Chao, P.Y.; Lin, H.H.; Huang, M.Y. Bioactive compounds, antioxidants, and health benefits of sweet potato leaves. Molecules 2021, 26, 1820. [Google Scholar] [CrossRef]
- Amagloh, F.C.; Yada, B.; Tumuhimbise, G.A.; Amagloh, F.K.; Kaaya, A.N. The potential of sweet potato as a functional food in sub-Saharan Africa and its implications for health: A review. Molecules 2021, 26, 2971. [Google Scholar] [CrossRef]
- Islam, S. Sweetpotatoes [Ipomoea batatas (L.) lam]: The super food of the Next Century? An intensive review on their potential as a sustainable and versatile food source for future generations. CyTA-J. Food 2024, 22, 2397553. [Google Scholar] [CrossRef]
- Ishiguro, K.; Yoshimoto, M. Content of the eye-protective nutrient lutein in sweet potato leaves. Acta Hortic. 2006, 703, 253–256. [Google Scholar] [CrossRef]
- Zhang, C.; Liu, D.; Wu, L.; Zhang, J.; Li, X.; Wu, W. Chemical characterization and antioxidant properties of ethanolic extract and its fractions from sweet potato (Ipomoea batatas L.) leaves. Foods 2019, 9, 15. [Google Scholar] [CrossRef]
- Parent, C.; Capelli, N.; Berger, A.; Crèvecoeur, M.; Dat, J.F. An overview of plant responses to soil waterlogging. Plant Stress 2008, 2, 20–27. [Google Scholar]
- Morard, P.; Silvestre, J. Plant injury due to oxygen deficiency in the root environment of soilless culture: A review. Plant Soil 1996, 184, 243–254. [Google Scholar] [CrossRef]
- Drew, M.C. Oxygen Deficiency and Root Metabolism: Injury and Acclimation under Hypoxia and Anoxia. Annu. Rev. Plant Physiol. 1997, 48, 223–250. [Google Scholar] [CrossRef] [PubMed]
- Pedersen, O.; Sauter, M.; Colmer, T.D.; Nakazono, M. Regulation of root adaptive anatomical and morphological traits during low soil oxygen. New Phytol. 2021, 229, 42–49. [Google Scholar] [CrossRef] [PubMed]
- Grable, A.R.; Danielson, R.E. Effect of carbon dioxide, oxygen, and soil moisture suction on germination of corn and soybeans. Soil Sci. Soc. Am. J. 1965, 29, 12–18. [Google Scholar] [CrossRef]
- Grable, A.R.; Danielson, R.E. Influence of CO2 on growth of corn and soybean seedlings. Soil Sci. Soc. Am. J. 1965, 29, 233–238. [Google Scholar] [CrossRef]
- Williamson, R.E. Effect of Soil Gas Composition and Flooding on Growth of Nicotiana tabacum L. Agron. J. 1970, 62, 80–83. [Google Scholar] [CrossRef]
- Geisler, G. Interactive effects of CO2 and O2 in soil on root and top growth of barley and peas. Plant Physiol. 1967, 42, 305–307. [Google Scholar] [CrossRef]
- He, J.; Austin, P.T.; Nichols, M.A.; Lee, S.K. Elevated root-zone CO2 protects lettuce plants from midday depression of photosynthesis. Environ. Exp. Bot. 2007, 61, 94–101. [Google Scholar] [CrossRef]
- Lake, J.A.; Steven, M.D.; Smith, K.L.; Lomax, B.H. Plant responses to elevated CO2 levels in soils: Distinct CO2 and O2-depletion effects. Int. J. Greenh. Gas Control 2017, 64, 333–339. [Google Scholar] [CrossRef]
- Munir, R.; Konnerup, D.; Khan, H.A.; Siddique, K.H.; Colmer, T.D. Sensitivity of chickpea and faba bean to root-zone hypoxia, elevated ethylene, and carbon dioxide. Plant Cell Environ. 2019, 42, 85–97. [Google Scholar] [CrossRef] [PubMed]
- Bunnell, B.T.; McCarty, L.B.; Hill, H.S. Soil gas, temperature, matric potential, and creeping bentgrass growth response to subsurface air movement on a sand-based golf green. HortScience 2004, 39, 415–419. [Google Scholar] [CrossRef]
- Kitaya, Y.; Yabuki, K.; Kiyota, M. Studies on the control of gaseous environment in the rhizosphere. (2) Effect of carbon dioxide in the rhizosphere on the growth of cucumber. J. Agric. Meteorol. 1984, 40, 119–124, (In Japanese with English abstract, tables, and figures). [Google Scholar] [CrossRef][Green Version]
- Wei, X.; Kitaya, Y.; Shibuya, T.; Kiyota, M. Effects of soil gas composition on transpiration and leaf conductance of bamboos. J. Agric. Meteorol. 2005, 60, 845–848. [Google Scholar] [CrossRef][Green Version]
- Islam, A.F.M.S.; Kitaya, Y.; Hirai, H.; Yanase, M.; Mori, G.; Kiyota, M. Growth characteristics and yield of carrots grown in a soil ridge with a porous tube for soil aeration in a wet lowland. Sci. Hortic. 1998, 77, 117–124. [Google Scholar] [CrossRef]
- Islam, A.F.M.S.; Kitaya, Y.; Hirai, H.; Yanase, M.; Mori, G.; Kiyota, M. Growth characteristics and yield of sweet potato (Ipomoea batatas) grown by a modified hydroponic cultivation method under field conditions in a wet lowland. Environ. Control Biol. 1997, 35, 123–129. [Google Scholar] [CrossRef]
- Siqynbatu, S.; Kitaya, Y.; Hirai, H.; Endo, R.; Shibuya, T. Effects of water contents and CO2 concentrations in soil on growth of sweet potato. Field Crops Res. 2013, 152, 36–43. [Google Scholar] [CrossRef]
- Bouma, T.J.; Nielsen, K.L.; Eissenstat, D.M.; Lynch, J.P. Soil CO2 concentration does not affect growth or root respiration in bean or citrus. Plant Cell Environ. 1997, 20, 1495–1505. [Google Scholar] [CrossRef]
- Islam, A.F.M.S.; Kitaya, Y.; Hirai, H.; Yanase, M.; Mori, G.; Kiyota, M. Effects of placing rice straw, wheat straw, and rice husks in soil ridges on growth, morphological characteristics, and yield of sweet potato in wet lowlands. J. Agric. Meteorol. 1997, 53, 201–207. [Google Scholar] [CrossRef]
- Islam, A.F.M.S.; Kitaya, Y.; Hirai, H.; Yanase, M.; Mori, G.; Kiyota, M. Sweet potato cultivation with rice husk charcoal as a soil aerating material under wet lowland field conditions. Environ. Control Biol. 1998, 36, 13–20. [Google Scholar] [CrossRef]
- Fanourakis, D.; Tsaniklidis, G.; Makraki, T.; Nikoloudakis, N.; Bartzanas, T.; Sabatino, L.; Fatnassi, H.; Ntatsi, G. Climate Change Impacts on Greenhouse Horticulture in the Mediterranean Basin: Challenges and Adaptation Strategies. Plants 2025, 14, 3390. [Google Scholar] [CrossRef]
- Armstrong, W.; Drew, M.C. Root growth and metabolism under oxygen deficiency. In Plant Roots; CRC Press: Boca Raton, FL, USA, 2002; pp. 1139–1187. [Google Scholar]
- Kerbel, E.L.; Kader, A.A.; Romani, R.J. Respiratory and glycolytic response of suspension-cultured ‘Passe Crassane’ pear fruit cells to elevated CO2 concentrations. J. Am. Soc. Hortic. Sci. 1990, 115, 111–114. [Google Scholar] [CrossRef]
- Watanabe, K.; Ozaki, K.; Yashiki, T. Studies on the Effects of Soil Physical Conditions on the Growth and Yield of Crop Plants: VII. Effects of soil air composition and soil bulk density and their interaction on the growth of sweet potato. Jpn. J. Crop Sci. 1968, 37, 65–69. [Google Scholar] [CrossRef]
- Greenway, H.; Armstrong, W.; Colmer, T.D. Conditions leading to high CO2 (>5 kPa) in waterlogged-flooded soils and possible effects on root growth and metabolism. Ann. Bot. 2006, 98, 9–32. [Google Scholar] [CrossRef] [PubMed]
- Wang, J.; Jiang, Z.; Liu, M. The research on the physiological responses of sweet potato to waterlogging stress at different growth stages and their mechanisms affecting yield formation. Adv. Resour. Res. 2025, 5, 2039–2069. [Google Scholar] [CrossRef]
- Pardales, J.R., Jr.; Escalante, M.C. The effect of various water table depths on the growth and yield of sweet potato. Philipp. J. Crop Sci. 1978, 3, 58–59. [Google Scholar]
- Thompson, P.G.; Smittle, D.A.; Hall, M.R. Relationship of sweetpotato yield and quality to amount of irrigation. HortScience 1992, 27, 23–26. [Google Scholar] [CrossRef]
- Kitaya, Y.; Yabuki, K. Studies on the Control of Gaseous Environment in the rhizosphere. (1) Changes in CO2 concentration and gaseous diffusion coefficient in soils after illigation. J. Agric. Meteorol. 1984, 40, 1–7, (In Japanese with English abstract, tables, and figures). [Google Scholar] [CrossRef]











Disclaimer/Publisher’s Note: The statements, opinions and data contained in all publications are solely those of the individual author(s) and contributor(s) and not of MDPI and/or the editor(s). MDPI and/or the editor(s) disclaim responsibility for any injury to people or property resulting from any ideas, methods, instructions or products referred to in the content. |
© 2026 by the author. Licensee MDPI, Basel, Switzerland. This article is an open access article distributed under the terms and conditions of the Creative Commons Attribution (CC BY) license.
Share and Cite
Kitaya, Y. Promotion of Sweet Potato Growth and Yield by Decreasing Soil CO2 Concentrations with Forced Aeration. Agronomy 2026, 16, 114. https://doi.org/10.3390/agronomy16010114
Kitaya Y. Promotion of Sweet Potato Growth and Yield by Decreasing Soil CO2 Concentrations with Forced Aeration. Agronomy. 2026; 16(1):114. https://doi.org/10.3390/agronomy16010114
Chicago/Turabian StyleKitaya, Yoshiaki. 2026. "Promotion of Sweet Potato Growth and Yield by Decreasing Soil CO2 Concentrations with Forced Aeration" Agronomy 16, no. 1: 114. https://doi.org/10.3390/agronomy16010114
APA StyleKitaya, Y. (2026). Promotion of Sweet Potato Growth and Yield by Decreasing Soil CO2 Concentrations with Forced Aeration. Agronomy, 16(1), 114. https://doi.org/10.3390/agronomy16010114
