Valorization of Tagetes erecta L. Leaves to Obtain Polyphenol-Rich Extracts: Impact of Fertilization Practice, Phenological Plant Stage, and Extraction Strategy
Abstract
1. Introduction
2. Materials and Methods
2.1. Agronomical Trials
2.1.1. Processing of T. erecta Leaves
2.1.2. Determination of Soil Nitrogen Content
2.2. Extraction Strategies
2.2.1. Soxhlet Distillation
2.2.2. Heat-Assisted Extraction
2.2.3. Vacuum-Assisted Extraction
2.3. Optimization of Phenolic Extraction
Total Phenol Content Determination in the Extracts
2.4. Chemical Characterization of the Optimized Extract
2.4.1. Determination of the Hydroxycinnamic Acid Content
2.4.2. Determination of the Total Flavonoid Content
2.4.3. UV-Fluorescence Spectroscopy
2.4.4. Proximal and Elementary Analysis
2.4.5. Fourier Transform Infrared (FTIR) Spectroscopic Analysis
2.4.6. GC-MS Analysis
2.4.7. HPLC Analysis
2.5. Statistical Analysis
3. Results and Discussion
3.1. Extraction Optimization
3.1.1. Soxhlet Distillation
3.1.2. Heat-Assisted Extraction
3.1.3. Vacuum-Assisted Extraction
3.2. Chemical Characterization of the Optimized Extract
3.2.1. Determination of Hydroxycinnamic Acids and Flavonoid Content in the Optimized Extract
3.2.2. UV-Fluorescence of the Optimized T. erecta Extract
3.2.3. Proximate and Elemental Analysis of the Optimized Extract
3.2.4. FTIR Analysis
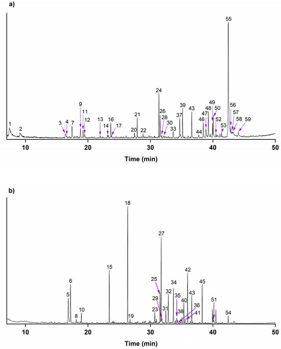
3.2.5. GC-MS Chemical Identification
3.2.6. HPLC Analysis
4. Conclusions
Supplementary Materials
Author Contributions
Funding
Data Availability Statement
Acknowledgments
Conflicts of Interest
References
- Makunga, J.E.; Gobolo, A. Plants Diversity of the Burigi-Chato National Park: Rare and Invasive Species. Open J. For. 2020, 10, 232–263. [Google Scholar] [CrossRef]
- Panda, P.; Debnath, P.; Mall, S.; Nigam, A.; Rao, G.P. Multilocus Genes Based Characterization of Phytoplasma Strains Associated with Mexican and French Marigold Species in India. Eur. J. Plant Pathol. 2021, 161, 313–330. [Google Scholar] [CrossRef]
- Liu, L.; Kong, S.; Zhang, Y.; Wang, Y.; Xu, L.; Yan, Q.; Lingaswamy, A.P.; Shi, Z.; Lv, S.; Niu, H.; et al. Morphology, Composition, and Mixing State of Primary Particles from Combustion Sources—Crop Residue, Wood, and Solid Waste. Sci. Rep. 2017, 7, 5047. [Google Scholar] [CrossRef]
- Chen, J.; Gong, Y.; Wang, S.; Guan, B.; Balkovic, J.; Kraxner, F. To Burn or Retain Crop Residues on Croplands? An Integrated Analysis of Crop Residue Management in China. Sci. Total Environ. 2019, 662, 141–150. [Google Scholar] [CrossRef] [PubMed]
- Santana-Méridas, O.; González-Coloma, A.; Sánchez-Vioque, R. Agricultural Residues as a Source of Bioactive Natural Products. Phytochem. Rev. 2012, 11, 447–466. [Google Scholar] [CrossRef]
- Kumar, Y.; Yadav, D.N.; Ahmad, T.; Narsaiah, K. Recent Trends in the Use of Natural Antioxidants for Meat and Meat Products. Compr. Rev. Food Sci. Food Saf. 2015, 14, 796–812. [Google Scholar] [CrossRef]
- Rangaraj, V.M.; Rambabu, K.; Banat, F.; Mittal, V. Natural Antioxidants-Based Edible Active Food Packaging: An Overview of Current Advancements. Food Biosci. 2021, 43, 101251. [Google Scholar] [CrossRef]
- Gómez-Mejía, E.; Rosales-Conrado, N.; León-González, M.E.; Madrid, Y. Citrus Peels Waste as a Source of Value-Added Compounds: Extraction and Quantification of Bioactive Polyphenols. Food Chem. 2019, 295, 289–299. [Google Scholar] [CrossRef]
- Fernandes, S.S.; Coelho, M.S.; Salas-Mellado, M.d.l.M. Chapter 7—Bioactive Compounds as Ingredients of Functional Foods: Polyphenols, Carotenoids, Peptides From Animal and Plant Sources New. In Bioactive Compounds; Campos, M.R.S., Ed.; Woodhead Publishing: Duxford, UK, 2019; pp. 129–142. ISBN 978-0-12-814774-0. [Google Scholar]
- Moliner, C.; Barros, L.; Dias, M.I.; López, V.; Langa, E.; Ferreira, I.C.F.R.; Gómez-Rincón, C. Edible Flowers of Tagetes erecta L. as Functional Ingredients: Phenolic Composition, Antioxidant and Protective Effects on Caenorhabditis elegans. Nutrients 2018, 10, 2002. [Google Scholar] [CrossRef]
- Burlec, A.F.; Pecio, Ł.; Kozachok, S.; Mircea, C.; Corciovă, A.; Vereștiuc, L.; Cioancă, O.; Oleszek, W.; Hăncianu, M. Phytochemical Profile, Antioxidant Activity, and Cytotoxicity Assessment of Tagetes erecta L. Flowers. Molecules 2021, 26, 1201. [Google Scholar] [CrossRef]
- Sardella, C.; Burešová, B.; Kotíková, Z.; Martinek, P.; Meloni, R.; Paznocht, L.; Vanara, F.; Blandino, M. Influence of Agronomic Practices on the Antioxidant Compounds of Pigmented Wheat (Triticum aestivum spp. aestivum L.) and Tritordeum (× Tritordeum Martinii A. Pujadas, Nothosp. Nov.) Genotypes. J. Agric. Food Chem. 2023, 71, 13220–13233. [Google Scholar] [CrossRef] [PubMed]
- Lahbouki, S.; Anli, M.; El Gabardi, S.; Ait-El-Mokhtar, M.; Ben-Laouane, R.; Boutasknit, A.; Ait-Rahou, Y.; Outzourhit, A.; Wahbi, S.; Douira, A.; et al. Evaluation of Arbuscular Mycorrhizal Fungi and Vermicompost Supplementation on Growth, Phenolic Content and Antioxidant Activity of Prickly Pear Cactus (Opuntia ficus-indica). Plant Biosyst. Int. J. Deal. All Asp. Plant Biol. 2022, 156, 882–892. [Google Scholar] [CrossRef]
- Vázquez-Carrillo, M.G.; Arellano-Vázquez, J.L.; Santiago-Ramos, D. Yield and Quality of Grain and Tortilla of Irrigated and Rainfed Hybrid Maices Grown in the High Valleys of México. Rev. Fitotec. Mex. 2015, 38, 75–83. [Google Scholar]
- Dominguez-Hernandez, M.E.; Zepeda-Bautista, R.; Dominguez-Hernandez, E.; Valderrama-Bravo, M.d.C.; Hernández-Simón, L.M. Effect of Lime Water—Manure Organic Fertilizers on the Productivity, Energy Efficiency and Profitability of Rainfed Maize Production. Arch. Agron. Soil Sci. 2020, 66, 370–385. [Google Scholar] [CrossRef]
- Oliva-Llaven, M.Á.; Palacios-Pola, G.; Abud-Archila, M.; Hernández-Solis, J.A.; Ruíz-Valdiviezo, V.M.; Gutiérrez-Miceli, F.A. Nutritional Characteristics of Maize Cultivated with Vermicompost. Terra Latinoam. 2019, 37, 407–413. [Google Scholar] [CrossRef]
- Luján-Hidalgo, M.C.; Gómez-Hernández, D.E.; Villalobos-Maldonado, J.J.; Abud-Archila, M.; Montes-Molina, J.A.; Enciso-Saenz, S.; Ruiz-Valdiviezo, V.M.; Gutiérrez-Miceli, F.A. Effects of Vermicompost and Vermiwash on Plant, Phenolic Content, and Anti-Oxidant Activity of Mexican Pepperleaf (Piper auritum Kunth) Cultivated in Phosphate Rock Potting Media. Compos. Sci. Util. 2017, 25, 95–101. [Google Scholar] [CrossRef]
- Gholami, H.; Saharkhiz, M.J.; Raouf Fard, F.; Ghani, A.; Nadaf, F. Humic Acid and Vermicompost Increased Bioactive Components, Antioxidant Activity and Herb Yield of Chicory (Cichorium intybus L.). Biocatal. Agric. Biotechnol. 2018, 14, 286–292. [Google Scholar] [CrossRef]
- Talbi, S.; Rojas, J.A.; Sahrawy, M.; Rodríguez-Serrano, M.; Cárdenas, K.E.; Debouba, M.; Sandalio, L.M. Effect of Drought on Growth, Photosynthesis and Total Antioxidant Capacity of the Saharan Plant Oudeneya africana. Environ. Exp. Bot. 2020, 176, 104099. [Google Scholar] [CrossRef]
- Bartwal, A.; Mall, R.; Lohani, P.; Guru, S.K.; Arora, S. Role of Secondary Metabolites and Brassinosteroids in Plant Defense Against Environmental Stresses. J. Plant Growth Regul. 2013, 32, 216–232. [Google Scholar] [CrossRef]
- Gao, Y.; Liu, X.; Xu, H.; Zhao, J.; Wang, Q.; Liu, G.; Hao, Q. Optimization of Supercritical Carbon Dioxide Extraction of Lutein Esters from Marigold (Tagetes erecta L.) with Vegetable Oils as Continuous Co-Solvents. Sep. Purif. Technol. 2010, 71, 214–219. [Google Scholar] [CrossRef]
- Wang, T.; Guo, N.; Wang, S.-X.; Kou, P.; Zhao, C.-J.; Fu, Y.-J. Ultrasound-Negative Pressure Cavitation Extraction of Phenolic Compounds from Blueberry Leaves and Evaluation of Its DPPH Radical Scavenging Activity. Food Bioprod. Process. 2018, 108, 69–80. [Google Scholar] [CrossRef]
- López-Hortas, L.; Le Juge, C.; Falqué, E.; Domínguez, H.; Torres, M.D. Bioactive Extracts from Edible Nettle Leaves Using Microwave Hydrodiffusion and Gravity and Distillation Extraction Techniques. Process Biochem. 2020, 94, 66–78. [Google Scholar] [CrossRef]
- Pandey, A.K.; Kumar, P.; Singh, P.; Tripathi, N.N.; Bajpai, V.K. Essential Oils: Sources of Antimicrobials and Food Preservatives. Front. Microbiol. 2017, 7, 2161. [Google Scholar] [CrossRef] [PubMed]
- He, S.; Wang, D.; Zhang, Y.; Yang, S.; Li, X.; Wei, D.; Zhang, M.; Qin, J. Chemical Components and Biological Activities of the Essential Oil from Traditional Medicinal Food, Euryale ferox Salisb., Seeds. J. Essent. Oil Bear. Plants 2019, 22, 73–81. [Google Scholar] [CrossRef]
- Trujillo-Rodríguez, M.J.; Pino, V.; Psillakis, E.; Anderson, J.L.; Ayala, J.H.; Yiantzi, E.; Afonso, A.M. Vacuum-Assisted Headspace-Solid Phase Microextraction for Determining Volatile Free Fatty Acids and Phenols. Investigations on the Effect of Pressure on Competitive Adsorption Phenomena in a Multicomponent System. Anal. Chim. Acta 2017, 962, 41–51. [Google Scholar] [CrossRef]
- Taticchi, A.; Esposto, S.; Veneziani, G.; Minnocci, A.; Urbani, S.; Selvaggini, R.; Sordini, B.; Daidone, L.; Sebastiani, L.; Servili, M. High Vacuum-Assisted Extraction Affects Virgin Olive Oil Quality: Impact on Phenolic and Volatile Compounds. Food Chem. 2021, 342, 128369. [Google Scholar] [CrossRef]
- Psillakis, E. Vacuum-Assisted Headspace Solid-Phase Microextraction: A Tutorial Review. Anal. Chim. Acta 2017, 986, 12–24. [Google Scholar] [CrossRef] [PubMed]
- Cao, H.; Saroglu, O.; Karadag, A.; Diaconeasa, Z.; Zoccatelli, G.; Conte-Junior, C.A.; Gonzalez-Aguilar, G.A.; Ou, J.; Bai, W.; Zamarioli, C.M.; et al. Available Technologies on Improving the Stability of Polyphenols in Food Processing. Food Front. 2021, 2, 109–139. [Google Scholar] [CrossRef]
- Adhikari, P.; Mishra, K.; Marasini, S.; Neupane, R.C.; Shrestha, A.K.; Shrestha, J.; Subedi, S. Effect of Nitrogen Doses on Growth and Yield of Marigold (Tagetes erecta L.) in Subtropical Climate of Nepal. Fundam. Appl. Agric. 2020, 5, 414–420. [Google Scholar] [CrossRef]
- Pandey, M.; Subedi, S.; Khanal, P.; Chaudhary, P.; Adhikari, A.; Sharma, T.P.; Shrestha, J. Effects of Different Rates of Nitrogen and Pinching on Yield and Yield Attributes of African Marigold (Tagetes erecta L.). J. Agric. Nat. Resour. 2021, 4, 21–28. [Google Scholar] [CrossRef]
- Peralta-Sánchez, M.G.; Gómez-Merino, F.C.; Tejeda-Sartorius, O.; Alcántar-González, G.; García-Albarado, J.C.; Trejo-Téllez, L.I. Nitrogen Supply and Shading Affect Morphology and Composition of the Essential Oil in Marigold (Tagetes erecta L.). Folia Hortic. 2020, 32, 241–254. [Google Scholar] [CrossRef]
- Bosma, T.L.; Dole, J.M.; Maness, N.O. Optimizing Marigold (Tagetes erecta L.) Petal and Pigment Yield. Crop Sci. 2003, 43, 2118–2124. [Google Scholar] [CrossRef]
- Peralta-Sánchez, M.G.; Gómez-Merino, F.C.; Tejeda-Sartorius, O.; Trejo-Téllez, L.I. Nitrogen Nutrition Differentially Affects Concentrations of Photosynthetic Pigments and Antioxidant Compounds in Mexican Marigold (Tagetes erecta L.). Agriculture 2023, 13, 517. [Google Scholar] [CrossRef]
- Sáez-Plaza, P.; María José, N.; Sławomir, W.; Tadeusz, M.; Asuero, A.G. An Overview of the Kjeldahl Method of Nitrogen Determination. Part II. Sample Preparation, Working Scale, Instrumental Finish, and Quality Control. Crit. Rev. Anal. Chem. 2013, 43, 224–272. [Google Scholar] [CrossRef]
- Ontiveros-Rodríguez, J.C.; Serrano-Contreras, J.I.; Villagómez-Ibarra, J.R.; García-Gutiérrez, H.A.; Gerardo Zepeda-Vallejo, L. A Semi-Targeted NMR-Based Chemical Profiling of Retail Samples of Mexican Gordolobo. J. Pharm. Biomed. Anal. 2022, 212, 114651. [Google Scholar] [CrossRef]
- Abd El-Salam, E.A.; Morsy, N.F.S. Optimization of the Extraction of Polyphenols and Antioxidant Activity from Malva parviflora L. Leaves Using Box–Behnken Design. Prep. Biochem. Biotechnol. 2019, 49, 876–883. [Google Scholar] [CrossRef] [PubMed]
- Sarah, M.; Ardiansyah, D.; Misran, E.; Madinah, I. Extraction of Citronella Oil from Lemongrass (Cymbopogon winterianus) by Sequential Ultrasonic and Microwave-Assisted Hydro-Distillation. Alex. Eng. J. 2023, 70, 569–583. [Google Scholar] [CrossRef]
- García-Pérez, M.-E.; Royer, M.; Duque-Fernandez, A.; Diouf, P.N.; Stevanovic, T.; Pouliot, R. Antioxidant, Toxicological and Antiproliferative Properties of Canadian Polyphenolic Extracts on Normal and Psoriatic Keratinocytes. J. Ethnopharmacol. 2010, 132, 251–258. [Google Scholar] [CrossRef] [PubMed]
- Alonso-Esteban, J.I.; Carocho, M.; Barros, D.; Velho, M.V.; Heleno, S.; Barros, L. Chemical Composition and Industrial Applications of Maritime Pine (Pinus pinaster Ait.) Bark and Other Non-Wood Parts. Rev. Environ. Sci. Bio/Technol. 2022, 21, 583–633. [Google Scholar] [CrossRef]
- Brighente, I.M.C.; Dias, M.; Verdi, L.G.; Pizzolatti, M.G. Antioxidant Activity and Total Phenolic Content of Some Brazilian Species. Pharm. Biol. 2007, 45, 156–161. [Google Scholar] [CrossRef]
- García-Pérez, M.-E.; Alfonso-Castillo, A.; Lores, O.F.; Batista-Duharte, A.; Lemus-Rodríguez, Z. Toxicological Evaluation of an Aqueous Suspension from Leaves and Stems of Petiveria alliacea L. (Phytolaccaceae). J. Ethnopharmacol. 2018, 211, 29–37. [Google Scholar] [CrossRef]
- Velázquez-Herrera, L.A.; Cobos-Murcia, J.Á.; Bolaños-Reynoso, E.; López-Zamora, L. Modelling and Dynamic Simulation to Produce Fermentable Sugars from Lignocellulosic Substrates through Dilute Acid Hydrolysis. Can. J. Chem. Eng. 2024, 102, 2739–2753. [Google Scholar] [CrossRef]
- Avalos-Viveros, M.; Santolalla-Vargas, C.-E.; Santes-Hernández, V.-F.; Martínez-Flores, H.-E.; Torres-García, E.; López-Meza, J.-E.; Virgen-Ortiz, J.-J.; Pérez-Calix, E.; García-Pérez, M.-E. Valorization of Avocado Peels by Conventional Extraction and Hydrothermal Carbonization for Cosmeceutical Applications. Sustain. Chem. Pharm. 2023, 36, 101335. [Google Scholar] [CrossRef]
- Galano, A.; Aburto, J.; Sadhukhan, J.; Torres-García, E. A Combined Theoretical-Experimental Investigation on the Mechanism of Lignin Pyrolysis: Role of Heating Rates and Residence Times. J. Anal. Appl. Pyrolysis 2017, 128, 208–216. [Google Scholar] [CrossRef]
- Ibragic, S.; Barbini, S.; Oberlerchner, J.T.; Potthast, A.; Rosenau, T.; Böhmdorfer, S. Antioxidant Properties and Qualitative Analysis of Phenolic Constituents in Ephedra spp. by HPTLC Together with Injection Port Derivatization GC–MS. J. Chromatogr. B 2021, 1180, 122877. [Google Scholar] [CrossRef]
- Chen, H.-J.; Inbaraj, B.S.; Chen, B.-H. Determination of Phenolic Acids and Flavonoids in Taraxacum formosanum Kitam by Liquid Chromatography-Tandem Mass Spectrometry Coupled with a Post-Column Derivatization Technique. Int. J. Mol. Sci. 2012, 13, 260–285. [Google Scholar] [CrossRef] [PubMed]
- Singh, Y.; Gupta, A.; Kannojia, P. Tagetes erecta (Marigold)—A Review on Its Phytochemical and Medicinal Properties. Curr. Med. Drug Res. 2020, 4, 201. [Google Scholar] [CrossRef]
- Hou, Z.; Liu, J.; Cai, M.; Liu, Y.; Zhang, M.; Wang, L.; Yang, W.; Huang, B. The Volatile Organic Compounds and Palatability of Mixed Ensilage of Marigold (Tagetes erecta L.) Crop Residues. Sci. Rep. 2023, 13, 2080. [Google Scholar] [CrossRef]
- Mir, R.A.; Irshad, S.; Argal, S.; Agarwal, R.M.; Khatoon, S. Quantitative Analysis of Polyphenolic Compounds in Two Different Cultivars of Marigold (Tagetes erecta L.) Using High-Performance Thin-Layer Chromatography. Front. Hortic. 2023, 2, 1120267. [Google Scholar] [CrossRef]
- Gong, Y.; Hou, Z.; Gao, Y.; Xue, Y.; Liu, X.; Liu, G. Optimization of Extraction Parameters of Bioactive Components from Defatted Marigold (Tagetes erecta L.) Residue Using Response Surface Methodology. Food Bioprod. Process. 2012, 90, 9–16. [Google Scholar] [CrossRef]
- Meurer, M.; de Oliveira, B.M.M.; Cury, B.J.; Jerônimo, D.T.; Venzon, L.; França, T.C.S.; Mariott, M.; Silva-Nunes, R.; Santos, A.C.; Roman-Junior, W.A.; et al. Extract of Tagetes erecta L., a Medicinal Plant Rich in Lutein, Promotes Gastric Healing and Reduces Ulcer Recurrence in Rodents. J. Ethnopharmacol. 2022, 293, 115258. [Google Scholar] [CrossRef] [PubMed]
- Armas, K.; Rojas, J.; Rojas, L.; Morales, A. Comparative Study of the Chemical Composition of Essential Oils of Five Tagetes Species Collected in Venezuela. Nat. Prod. Commun. 2012, 7, 1225–1226. [Google Scholar] [CrossRef] [PubMed]
- Coelho, L.C.; Bastos, A.R.R.; Pinho, P.J.; Souza, G.A.; Carvalho, J.G.; Coelho, V.A.T.; Oliveira, L.C.A.; Domingues, R.R.; Faquin, V. Marigold (Tagetes erecta): The Potential Value in the Phytoremediation of Chromium. Pedosphere 2017, 27, 559–568. [Google Scholar] [CrossRef]
- Singh, G.; Singh, O.P.; De Lampasona, M.P.; Catalán, C.A.N. Studies on Essential Oils. Part 35: Chemical and Biocidal Investigations on Tagetes erecta Leaf Volatile Oil. Flavour Fragr. J. 2003, 18, 62–65. [Google Scholar] [CrossRef]
- Salinas-Sánchez, D.O.; Aldana-Llanos, L.; Valdés-Estrada, M.E.; Gutiérrez-Ochoa, M.; Valladares-Cisneros, G.; Rodríguez-Flores, E. Insecticidal Activity of Tagetes erecta Extracts on Spodoptera frugiperda (Lepidoptera: Noctuidae). Fla. Entomol. 2012, 95, 428–432. [Google Scholar] [CrossRef]
- Dasgupta, N.; Ranjan, S.; Shree, M.; Saleh, M.A.A.M.; Ramalingam, C. Blood Coagulating Effect of Marigold (Tagetes erecta L.) Leaf and Its Bioactive Compounds. Orient. Pharm. Exp. Med. 2016, 16, 67–75. [Google Scholar] [CrossRef]
- Likasari, I.D.; Astuti, R.W.; Yahya, A.; Isnaini, N.; Purwiandono, G.; Hidayat, H.; Wicaksono, W.P.; Fatimah, I. NiO Nanoparticles Synthesized by Using Tagetes erecta L Leaf Extract and Their Activities for Photocatalysis, Electrochemical Sensing, and Antibacterial Features. Chem. Phys. Lett. 2021, 780, 138914. [Google Scholar] [CrossRef]
- Ma, Q.; Xu, X.; Gao, Y.; Wang, Q.; Zhao, J. Optimisation of Supercritical Carbon Dioxide Extraction of Lutein Esters from Marigold (Tagetes erect L.) with Soybean Oil as a Co-Solvent. Int. J. Food Sci. Technol. 2008, 43, 1763–1769. [Google Scholar] [CrossRef]
- Gong, Y.; Liu, X.; He, W.-H.; Xu, H.-G.; Yuan, F.; Gao, Y.-X. Investigation into the Antioxidant Activity and Chemical Composition of Alcoholic Extracts from Defatted Marigold (Tagetes erecta L.) Residue. Fitoterapia 2012, 83, 481–489. [Google Scholar] [CrossRef]
- Ghoshal, S.; Kundu, A.; Saha, S.; Bhowmik, A.; Bhatia, R.; Singh, A.; Dutta, A. Genetic Algorithm Coupled Box-Behnken Design-Based Optimization of Ultrasound-Assisted Xanthophyll Extraction from Marigold (Tagetes erecta L.): Process Intensification, Profiling, and Antioxidant Activities. Biomass Conv. Bioref. 2023, 14, 29739–29756. [Google Scholar] [CrossRef]
- Sridhar, A.; Ponnuchamy, M.; Kumar, P.S.; Kapoor, A.; Vo, D.-V.N.; Prabhakar, S. Techniques and Modeling of Polyphenol Extraction from Food: A Review. Environ. Chem. Lett. 2021, 19, 3409–3443. [Google Scholar] [CrossRef] [PubMed]
- Aguilera, Y.; Rebollo-Hernanz, M.; Cañas, S.; Taladrid, D.; Martín-Cabrejas, M.A. Response Surface Methodology to Optimise the Heat-Assisted Aqueous Extraction of Phenolic Compounds from Coffee Parchment and Their Comprehensive Analysis. Food Funct. 2019, 10, 4739–4750. [Google Scholar] [CrossRef] [PubMed]
- Antoniou, C.; Kyratzis, A.; Rouphael, Y.; Stylianou, S.; Kyriacou, M.C. Heat- and Ultrasound-Assisted Aqueous Extraction of Soluble Carbohydrates and Phenolics from Carob Kibbles of Variable Size and Source Material. Foods 2020, 9, 1364. [Google Scholar] [CrossRef]
- Kafaltiya, M.; Lohani, H.; Haider, S.Z.; Chauhan, N.; Joshi, N. Chemical Composition of the Essential Oils of Tagetes patula L. during Different Phenological Stages. J. Chem. Pharm. Sci. 2019, 12, 117–122. [Google Scholar] [CrossRef]
- Ben Farhat, M.; Jordán, M.J.; Chaouch-Hamada, R.; Landoulsi, A.; Sotomayor, J.A. Changes in Phenolic Profiling and Antioxidant Capacity of Salvia aegyptiaca L. by-Products during Three Phenological Stages. LWT-Food Sci. Technol. 2015, 63, 791–797. [Google Scholar] [CrossRef]
- Kumar, D.; Singh, B.P.; Singh, V.N. Effect of Integrated Nutrient Management on Growth, Flowering Behaviour and Yield of African Marigold (Tagetes erecta L.) Cv. African Giant Double Orange. J. Hortic. Sci. 2009, 4, 134–137. [Google Scholar] [CrossRef]
- Hashemabadi, D.; Zaredost, F.; Ziyabari, M.B.; Zarchini, M.; Kaviani, B.; Solimandarabi, M.J.; Torkashvand, A.M.; Zarchini, S. Influence of Phosphate Bio-Fertilizer on Quantity and Quality Features of Marigold (‘Tagetes erecta’ L.). Aust. J. Crop Sci. 2012, 6, 1101–1109. [Google Scholar] [CrossRef]
- Saeed Ul Haq, S.T.S.; Muhammad Afzaal, S.U. 37. Growth and Flower Quality Production of Marigold (Tagetes erecta L.) Response to Phosphorous Fertilization. Pure Appl. Biol. (PAB) 2021, 5, 957–962. [Google Scholar]
- Ibrahim, M.H.; Jaafar, H.Z.E.; Rahmat, A.; Rahman, Z.A. Effects of Nitrogen Fertilization on Synthesis of Primary and Secondary Metabolites in Three Varieties of Kacip Fatimah (Labisia Pumila Blume). Int. J. Mol. Sci. 2011, 12, 5238–5254. [Google Scholar] [CrossRef]
- Ravichandran, C.; Upadhyay, A. Use of Vacuum Technology in Processing of Fruits and Vegetables. In Processing of Fruits and Vegetables; Apple Academic Press: Palm Bay, FL, USA, 2019; ISBN 978-0-429-50577-5. [Google Scholar]
- Betoret, E.; Betoret, N.; Rocculi, P.; Dalla Rosa, M. Strategies to Improve Food Functionality: Structure–Property Relationships on High Pressures Homogenization, Vacuum Impregnation and Drying Technologies. Trends Food Sci. Technol. 2015, 46, 1–12. [Google Scholar] [CrossRef]
- Radziejewska-Kubzdela, E.; Biegańska-Marecik, R.; Kidoń, M. Applicability of Vacuum Impregnation to Modify Physico-Chemical, Sensory and Nutritive Characteristics of Plant Origin Products—A Review. Int. J. Mol. Sci. 2014, 15, 16577–16610. [Google Scholar] [CrossRef] [PubMed]
- Tranquilino-Rodríguez, E.; Martínez-Flores, H.E.; Rodiles-López, J.O.; Dios Figueroa-Cárdenas, J.D.; Pérez-Sánchez, R.E. Optimization in the Extraction of Polyphenolic Compounds and Antioxidant Activity from Opuntia Ficus-Indica Using Response Surface Methodology. J. Food Process. Preserv. 2020, 44, e14485. [Google Scholar] [CrossRef]
- Palma, M.; Piñeiro, Z.; Barroso, C.G. Stability of Phenolic Compounds during Extraction with Superheated Solvents. J. Chromatogr. A 2001, 921, 169–174. [Google Scholar] [CrossRef] [PubMed]
- Casazza, A.A.; Aliakbarian, B.; Sannita, E.; Perego, P. High-Pressure High-Temperature Extraction of Phenolic Compounds from Grape Skins. Int. J. Food Sci. Technol. 2012, 47, 399–405. [Google Scholar] [CrossRef]
- Zeković, Z.; Vidović, S.; Vladić, J.; Radosavljević, R.; Cvejin, A.; Elgndi, M.A.; Pavlić, B. Optimization of Subcritical Water Extraction of Antioxidants from Coriandrum sativum Seeds by Response Surface Methodology. J. Supercrit. Fluids 2014, 95, 560–566. [Google Scholar] [CrossRef]
- Antony, A.; Farid, M. Effect of Temperatures on Polyphenols during Extraction. Appl. Sci. 2022, 12, 2107. [Google Scholar] [CrossRef]
- Maimoona, A.; Naeem, I.; Saddiqe, Z.; Jameel, K. A Review on Biological, Nutraceutical and Clinical Aspects of French Maritime Pine Bark Extract. J. Ethnopharmacol. 2011, 133, 261–277. [Google Scholar] [CrossRef]
- Mármol, I.; Quero, J.; Jiménez-Moreno, N.; Rodríguez-Yoldi, M.J.; Ancín-Azpilicueta, C. A Systematic Review of the Potential Uses of Pine Bark in Food Industry and Health Care. Trends Food Sci. Technol. 2019, 88, 558–566. [Google Scholar] [CrossRef]
- Valencia-Avilés, E.; García-Pérez, M.E.; Garnica-Romo, M.G.; Figueroa-Cárdenas, J.D.D.; Meléndez-Herrera, E.; Salgado-Garciglia, R.; Martínez-Flores, H.E. Antioxidant Properties of Polyphenolic Extracts from Quercus Laurina, Quercus Crassifolia, and Quercus Scytophylla Bark. Antioxidants 2018, 7, 81. [Google Scholar] [CrossRef]
- Youssef, H.A.; Ali, S.M.; Sanad, M.I.; Dawood, D.H. Chemical Investigation of Flavonoid, Phenolic Acids Composition and Antioxidant Activity of Tagetes erecta Flowers. Egypt. J. Chem. 2020, 63, 2605–2615. [Google Scholar] [CrossRef]
- Bhave, A.; Schulzová, V.; Mrnka, L.; Hajšlová, J. Influence of Harvest Date and Postharvest Treatment on Carotenoid and Flavonoid Composition in French Marigold Flowers. J. Agric. Food Chem. 2020, 68, 7880–7889. [Google Scholar] [CrossRef] [PubMed]
- Siddiqui, N.; Rauf, A.; Latif, A.; Mahmood, Z. Spectrophotometric Determination of the Total Phenolic Content, Spectral and Fluorescence Study of the Herbal Unani Drug Gul-e-Zoofa (Nepeta bracteata Benth). J. Taibah Univ. Med. Sci. 2017, 12, 360–363. [Google Scholar] [CrossRef] [PubMed]
- Barsotti, F.; Ghigo, G.; Vione, D. Computational Assessment of the Fluorescence Emission of Phenol Oligomers: A Possible Insight into the Fluorescence Properties of Humic-like Substances (HULIS). J. Photochem. Photobiol. A Chem. 2016, 315, 87–93. [Google Scholar] [CrossRef]
- Krishna, A.; Sushil, K.; Gopal, R.M.; Ramesh, S. Composition of the Essential Oils of the Leaves and Flowers of Tagetes erecta L. J. Essent. Oil Res. 2004, 16, 520–522. [Google Scholar] [CrossRef]
- Shen, J.; Zhu, S.; Liu, X.; Zhang, H.; Tan, J. The Prediction of Elemental Composition of Biomass Based on Proximate Analysis. Energy Convers. Manag. 2010, 51, 983–987. [Google Scholar] [CrossRef]
- Tyagi, P.K.; Tyagi, S.; Gola, D.; Arya, A.; Ayatollahi, S.A.; Alshehri, M.M.; Sharifi-Rad, J. Ascorbic Acid and Polyphenols Mediated Green Synthesis of Silver Nanoparticles from Tagetes erecta L. Aqueous Leaf Extract and Studied Their Antioxidant Properties. J. Nanomater. 2021, 2021, 6515419. [Google Scholar] [CrossRef]
- Goff, K.L.; Quaroni, L.; Pedersen, T.; Wilson, K.E. Measurement of Ethanol Formation in Single Living Cells of Chlamydomonas reinhardtii Using Synchrotron Fourier Transform Infrared Spectromicroscopy. AIP Conf. Proc. 2010, 1214, 54–56. [Google Scholar] [CrossRef]
- Paschalis, E.P.; DiCarlo, E.; Betts, F.; Sherman, P.; Mendelsohn, R.; Boskey, A.L. FTIR Microspectroscopic Analysis of Human Osteonal Bone. Calcif. Tissue Int. 1996, 59, 480–487. [Google Scholar] [CrossRef]
- Krysa, M.; Szymańska-Chargot, M.; Zdunek, A. FT-IR and FT-Raman Fingerprints of Flavonoids—A Review. Food Chem. 2022, 393, 133430. [Google Scholar] [CrossRef]
- Iizhar, S.A.; Syed, I.A.; Satar, R.; Ansari, S.A. In Vitro Assessment of Pharmaceutical Potential of Ethosomes Entrapped with Terbinafine Hydrochloride. J. Adv. Res. 2016, 7, 453–461. [Google Scholar] [CrossRef]
- Azubuike, C.P.; Adedokun, A.R.; Oseni, B.A.; Ologunagba, M.; Madu, S.J. Characterization of Physicochemical Properties of Microcrystalline and Nanocrystalline Cellulose Powders Derived from Citrullus lanatus Peels for Potential Pharmaceutical Applications. Am. J. Pharmacother. Pharm. Sci. 2025, 4, 2. [Google Scholar] [CrossRef]
- Esquivel-García, R.; Ayiania, M.; Abu-Lail, N.; López-Meza, J.E.; del Río, R.E.; García-Pérez, M.; Ochoa-Zarzosa, A.; García-Pérez, M.-E. Pyrolytic Oils from Amphipterygium adstringens Bark Inhibit IL-8 Production of IL-17-Stimulated HaCaT Keratinocytes. J. Anal. Appl. Pyrolysis 2020, 145, 104749. [Google Scholar] [CrossRef]
- Ogunwande, I.A.; Olawore, N.O. The Essential Oil from the Leaves and Flowers of “African Marigold,” Tagetes erecta L. J. Essent. Oil Res. 2006, 18, 366–368. [Google Scholar] [CrossRef]
- Moghaddam, M.; Abdollah Ghasemi, P.; Khyrollah, B.; Farhadi, N. Chemical Compositions of Essential Oil from the Aerial Parts of Tagetes patula L. and Tagetes erecta L. Cultivated in Northeastern Iran. J. Essent. Oil Bear. Plants 2021, 24, 990–997. [Google Scholar] [CrossRef]
- Saini, R.K.; Ahn, H.-Y.; Park, G.-W.; Shin, J.-W.; Lee, J.-H.; Yu, J.-W.; Song, M.-H.; Keum, Y.-S.; Lee, J.-H. Quantitative Profiling of Carotenoids, Tocopherols, Phytosterols, and Fatty Acids in the Flower Petals of Ten Marigold (Tagetes spp. L.) Cultivars. Foods 2023, 12, 3549. [Google Scholar] [CrossRef]
- Hiley, C.R.; Hoi, P.M. Oleamide: A Fatty Acid Amide Signaling Molecule in the Cardiovascular System? Cardiovasc. Drug Rev. 2007, 25, 46–60. [Google Scholar] [CrossRef]
- Fedorova, I.; Hashimoto, A.; Fecik, R.A.; Hedrick, M.P.; Hanuš, L.O.; Boger, D.L.; Rice, K.C.; Basile, A.S. Behavioral Evidence for the Interaction of Oleamide with Multiple Neurotransmitter Systems. J. Pharmacol. Exp. Ther. 2001, 299, 332–342. [Google Scholar] [CrossRef]
- Wisitpongpun, P.; Potup, P.; Usuwanthim, K. Oleamide-Mediated Polarization of M1 Macrophages and IL-1β Production by Regulating NLRP3-Inflammasome Activation in Primary Human Monocyte-Derived Macrophages. Front. Immunol. 2022, 13, 856296. [Google Scholar] [CrossRef]
- Croze, M.L.; Soulage, C.O. Potential Role and Therapeutic Interests of Myo-Inositol in Metabolic Diseases. Biochimie 2013, 95, 1811–1827. [Google Scholar] [CrossRef]
- Mendiola, J.A.; Santoyo, S.; Cifuentes, A.; Reglero, G.; Ibáñez, E.; Señoráns, F.J. Antimicrobial Activity of Sub- and Supercritical CO2 Extracts of the Green Alga Dunaliella salina. J. Food Prot. 2008, 71, 2138–2143. [Google Scholar] [CrossRef]
- Antonowski, T.; Osowski, A.; Lahuta, L.; Górecki, R.; Rynkiewicz, A.; Wojtkiewicz, J. Health-Promoting Properties of Selected Cyclitols for Metabolic Syndrome and Diabetes. Nutrients 2019, 11, 2314. [Google Scholar] [CrossRef] [PubMed]
- Wongsnansilp, T.; Phinrub, W.; Juntawong, N. Allelopathic Effect of Marigold (Tagetes erecta L.) Leaf Extract on Growth of Chlorella vulgaris. J. App. Biol. Biotechnol. 2021, 10, 31–37. [Google Scholar] [CrossRef]





| Independent Variable | Coded Variable | Factor Levels | ||||
|---|---|---|---|---|---|---|
| Min | −1 | 0 | 1 | Max | ||
| FT Soil nitrogen content (%) | X1 | 0 | 0.22 | 0.26 | 1.02 | 1.50 |
| DAS (days) | X2 | 0 | 30 | 60 | 90 | 94 |
| PS (g of FD leaves/10 mL) | X3 | 0 | 0.01 | 0.05 | 0.1 | 0.15 |
| Run | Independent Variables | Total Phenol Content (mg GAE g−1 FD Extract) | |||||||
|---|---|---|---|---|---|---|---|---|---|
| Soxhlet | Heat-Assisted Extraction | Vacuum-Assisted Extraction | |||||||
| X1 | X2 | X3 | P | E | P | E | P | E | |
| 1 | −1 | −1 | 0 | 9.48 ± 0.04 | 9.80 ± 0.05 | 9.22 ± 0.16 | 9.70 ± 0.05 | 11.17 ± 0.04 | 11.30 ± 0.0 |
| 2 | −1 | 1 | 0 | 20.16 ± 0.05 | 20.00 ± 0.05 | 16.4 ± 0.1 | 16.00 ± 0.10 | 14.37 ± 0.11 | 14.50 ± 0.05 |
| 3 | 1 | −1 | 0 | 6.6 ± 0.26 | 6.70 ± 0.11 | 9.86 ± 0.05 | 7.50 ± 0.17 | 13.03 ± 0.05 | 13.00 ± 0.11 |
| 4 | 1 | 1 | 0 | 22.6 ± 0.1 | 25.49 ± 0.05 | 21.86 ± 0.05 | 21.90 ± 0.10 | 14.43 ± 0.1 | 17.20 ± 0.11 |
| 5 | −1 | 0 | −1 | 9.06 ± 0.05 | 9.90 ± 0.10 | 9.77 ± 0.15 | 9.70 ± 0.10 | 14.03 ± 0.05 | 14.50 ± 0.10 |
| 6 | −1 | 0 | 1 | 21.17 ± 0.15 | 20.30 ± 0.05 | 20.57 ± 0.12 | 18.40 ± 0.10 | 11.15 ± 0.12 | 14.00 ± 0.10 |
| 7 | 1 | 0 | −1 | 17.11 ± 0.02 | 14.40 ± 0.17 | 15.08 ± 0.07 | 14.20 ± 0.05 | 13.07 ± 0.05 | 11.20 ± 0.05 |
| 8 | 1 | 0 | 1 | 21.32 ± 0.11 | 19.20 ± 0.05 | 16.67 ± 0.12 | 15.30 ± 0.05 | 14.07 ± 0.1 | 13.10 ± 0.13 |
| 9 | 0 | −1 | −1 | 4.12 ± 0.11 | 2.80 ± 0.11 | 4.63 ± 0.03 | 3.90 ± 0.17 | 14.4 ± 0.1 | 14.00 ± 0.05 |
| 10 | 0 | −1 | 1 | 6.54 ± 0.05 | 5.30 ± 0.05 | 6.6 ± 0.1 | 6.40 ± 0.00 | 13.17 ± 0.07 | 14.40 ± 0.11 |
| 11 | 0 | 1 | −1 | 17.5 ± 0.01 | 18.60 ± 0.05 | 18.63 ± 0.21 | 18.80 ± 0.17 | 11.07 ± 0.04 | 11.20 ± 0.05 |
| 12 | 0 | 1 | 1 | 19.57 ± 0.15 | 14.30 ± 0.11 | 21.55 ± 0.05 | 20.30 ± 0.15 | 14.17 ± 0.06 | 13.00 ± 0.05 |
| 13 | 0 | 0 | 0 | 13.67 ± 0.06 | 9.30 ± 0.10 | 14.17 ± 0.21 | 9.90 ± 0.11 | 14.37 ± 0.11 | 17.20 ± 0.05 |
| 14 | 0 | 0 | 0 | 14.6 ± 0.2 | 16.40 ± 0.17 | 14.17 ± 0.29 | 9.80 ± 0.05 | 14.4 ± 0.1 | 19.60 ± 0.17 |
| 15 | 0 | 0 | 0 | 13.53 ± 0.05 | 20.20 ± 0.05 | 14.1 ± 0.1 | 9.91 ± 0.11 | 14.43 ± 0.1 | 16.40 ± 0.11 |
| R2 | 93.48 | 96.00 | 94.00 | ||||||
| Response Variable/ Extraction Method | Optimal Predicted Value | Experimental Value |
|---|---|---|
| TPC (mg GAE/g)/Soxhlet | 25.74 | 25.66 ± 0.06 |
| TPC (mg GAE/g)/HAE | 24.35 | 23.10 ± 0.88 |
| TPC (mg GAE/g)/VAE | 20.83 | 19.60 ± 0.86 |
| T. erecta Optimized Extract | |
|---|---|
| Proximate analysis (wt.%) | |
| Moisture a | 7.55 ± 0.09 |
| Volatiles b | 57.24 ± 0.21 |
| Fixed carbon b | 33.15 ± 0.11 |
| Ash b | 9.61 ± 0.32 |
| Elemental analysis (wt.%) | |
| C b | 40.85 ± 0.24 |
| H b | 5.98 ± 0.01 |
| N b | 4.53 ± 0.07 |
| O c | 48.64 ± 0.15 |
| No. | Identified Compound | RT (min) | Extract | Derivatized Extract | Groups * |
|---|---|---|---|---|---|
| 1 | Benzaldehyde | 7.430 | * | Ah | |
| 2 | Benzyl alcohol | 9.134 | * | A | |
| 3 | Piperitone | 16.400 | * | T | |
| 4 | Octanoic acid | 16.611 | * | FA | |
| 5 | Unknown | 16.844 | * | Uk | |
| 6 | Unknown | 17.203 | * | Uk | |
| 7 | Indole | 17.468 | * | Ø | |
| 8 | Butanedioic acid | 18.106 | * | CA | |
| 9 | Piperitenone | 18.803 | * | T | |
| 10 | 2-Butenedioic acid, (E)- | 18.953 | * | CA | |
| 11 | Nonanoic acid | 19.217 | * | FA | |
| 12 | 2-Allyl-4-methylphenol | 19.466 | * | Ph | |
| 13 | Decanoic acid | 21.952 | * | FA | |
| 14 | Unknown | 23.140 | * | Uk | |
| 15 | Malic acid | 23.411 | * | CA | |
| 16 | 2,4-Di-tert-butylphenol | 23.656 | * | Ph | |
| 17 | 2,6-Di-tert-butyl-4-methylphenol | 23.785 | * | Ph | |
| 18 | Xylose | 26.348 | * | CH | |
| 19 | 2-Pentenedioic acid | 26.726 | * | CA | |
| 20 | Methyl jasmonate | 27.460 | * | E | |
| 21 | Unknown | 27.883 | * | Uk | |
| 22 | Unknown | 28.822 | * | Uk | |
| 23 | 3-Hydroxycinnamic acid | 30.696 | * | Ph | |
| 24 | Unknown | 31.364 | * | Uk | |
| 25 | D-(-)-Fructofuranose | 31.534 | * | CH | |
| 26 | Neophytadiene | 31.558 | * | T | |
| 27 | Citric acid | 31.718 | * | CA | |
| 28 | Myristic acid | 31.816 | * | FA | |
| 29 | D-(-)-Fructopyranose | 31.828 | * | CH | |
| 30 | Versalide | 32.110 | * | O | |
| 31 | D-(+)-Talofuranose | 32.464 | * | CH | |
| 32 | Quininic acid | 32.860 | * | CA | |
| 33 | 7,9-Di-tert-butyl-1-oxaspiro(4,5)deca-6,9-diene-2,8-dione | 33.639 | * | K | |
| 34 | β-D-(+)-Mannopyranose | 33.680 | * | CH | |
| 35 | p-Coumaric acid | 34.214 | * | Ph | |
| 36 | Myo-2-Inosose | 34.370 | * | Cyc | |
| 37 | Unknown | 34.689 | * | Uk | |
| 38 | Gallic acid | 35.034 | * | Ph | |
| 39 | Unknown | 35.149 | * | Uk | |
| 40 | Scyllo-Inositol | 35.338 | * | Cyc | |
| 41 | D-Allofuranose | 35.559 | * | CH | |
| 42 | Talose | 35.945 | * | CH | |
| 43 | Palmitic Acid | 36.614 | * | * | FA |
| 44 | 10-Octadecenoic acid, methyl ester | 37.756 | * | E | |
| 45 | Myo-Inositol | 38.276 | * | Cyc | |
| 46 | Unknown | 38.465 | * | Uk | |
| 47 | 9-Octadecenamide | 38.888 | * | Ad | |
| 48 | Tetradecanamide | 39.266 | * | Ad | |
| 49 | 9,12-Octadecadienoic acid (Z,Z)- | 39.929 | * | FA | |
| 50 | α-Linolenic acid | 40.058 | * | FA | |
| 51 | α-D-Glucopyranosiduronic acid | 40.155 | * | T | |
| 52 | Stearic acid | 40.482 | * | FA | |
| 53 | Heptacosane | 41.384 | * | Ak | |
| 54 | 2-O-(beta-D-glucosyl)glycerol | 42.439 | * | CH | |
| 55 | Oleamide | 42.462 | * | Ad | |
| 56 | cis-11-Eicosenamide | 42.858 | * | Ad | |
| 57 | Octadecanoic acid, 4-hydroxy-, methyl ester | 43.051 | * | E | |
| 58 | 2-Myristynoyl-glycinamide | 43.171 | * | Ad | |
| 59 | Unknown | 44.073 | * | Uk |
Disclaimer/Publisher’s Note: The statements, opinions and data contained in all publications are solely those of the individual author(s) and contributor(s) and not of MDPI and/or the editor(s). MDPI and/or the editor(s) disclaim responsibility for any injury to people or property resulting from any ideas, methods, instructions or products referred to in the content. |
© 2025 by the authors. Licensee MDPI, Basel, Switzerland. This article is an open access article distributed under the terms and conditions of the Creative Commons Attribution (CC BY) license (https://creativecommons.org/licenses/by/4.0/).
Share and Cite
Mejía-Resendiz, N.; García-Pérez, M.-E.; De Nicola, G.R.; Aguilar-Rivera, N.; Ramos-Ramírez, E.-G.; Galindo, M.; Avalos-Viveros, M.; Virgen-Ortiz, J.-J. Valorization of Tagetes erecta L. Leaves to Obtain Polyphenol-Rich Extracts: Impact of Fertilization Practice, Phenological Plant Stage, and Extraction Strategy. Agronomy 2025, 15, 1444. https://doi.org/10.3390/agronomy15061444
Mejía-Resendiz N, García-Pérez M-E, De Nicola GR, Aguilar-Rivera N, Ramos-Ramírez E-G, Galindo M, Avalos-Viveros M, Virgen-Ortiz J-J. Valorization of Tagetes erecta L. Leaves to Obtain Polyphenol-Rich Extracts: Impact of Fertilization Practice, Phenological Plant Stage, and Extraction Strategy. Agronomy. 2025; 15(6):1444. https://doi.org/10.3390/agronomy15061444
Chicago/Turabian StyleMejía-Resendiz, Narda, Martha-Estrella García-Pérez, Gina Rosalinda De Nicola, Noé Aguilar-Rivera, Emma-Gloria Ramos-Ramírez, María Galindo, Miguel Avalos-Viveros, and José-Juan Virgen-Ortiz. 2025. "Valorization of Tagetes erecta L. Leaves to Obtain Polyphenol-Rich Extracts: Impact of Fertilization Practice, Phenological Plant Stage, and Extraction Strategy" Agronomy 15, no. 6: 1444. https://doi.org/10.3390/agronomy15061444
APA StyleMejía-Resendiz, N., García-Pérez, M.-E., De Nicola, G. R., Aguilar-Rivera, N., Ramos-Ramírez, E.-G., Galindo, M., Avalos-Viveros, M., & Virgen-Ortiz, J.-J. (2025). Valorization of Tagetes erecta L. Leaves to Obtain Polyphenol-Rich Extracts: Impact of Fertilization Practice, Phenological Plant Stage, and Extraction Strategy. Agronomy, 15(6), 1444. https://doi.org/10.3390/agronomy15061444

