Nutrient Solution Selection Modulates Growth Patterns and Leaf Elemental Accumulation in Alfalfa (Medicago sativa) Grown
Abstract
1. Introduction
2. Materials and Methods
2.1. Materials
2.2. Methods
2.2.1. Culture Substrate and Water
2.2.2. Transplanting Protocol
2.2.3. Methods of Preparing and Applying Nutrient Solutions
2.2.4. Research on Agronomic Traits and Growth Period
2.2.5. Determination of Soluble Protein Accumulation in Leaves
2.2.6. Determination of the Elemental Content of the Leaves of Alfalfa
2.2.7. Statistical Methodologies and Software
3. Results
3.1. Nutrient-Solution-Treated Alfalfa Had Earlier Growth Period, but B5 Inhibited Its Dry Matter Accumulation
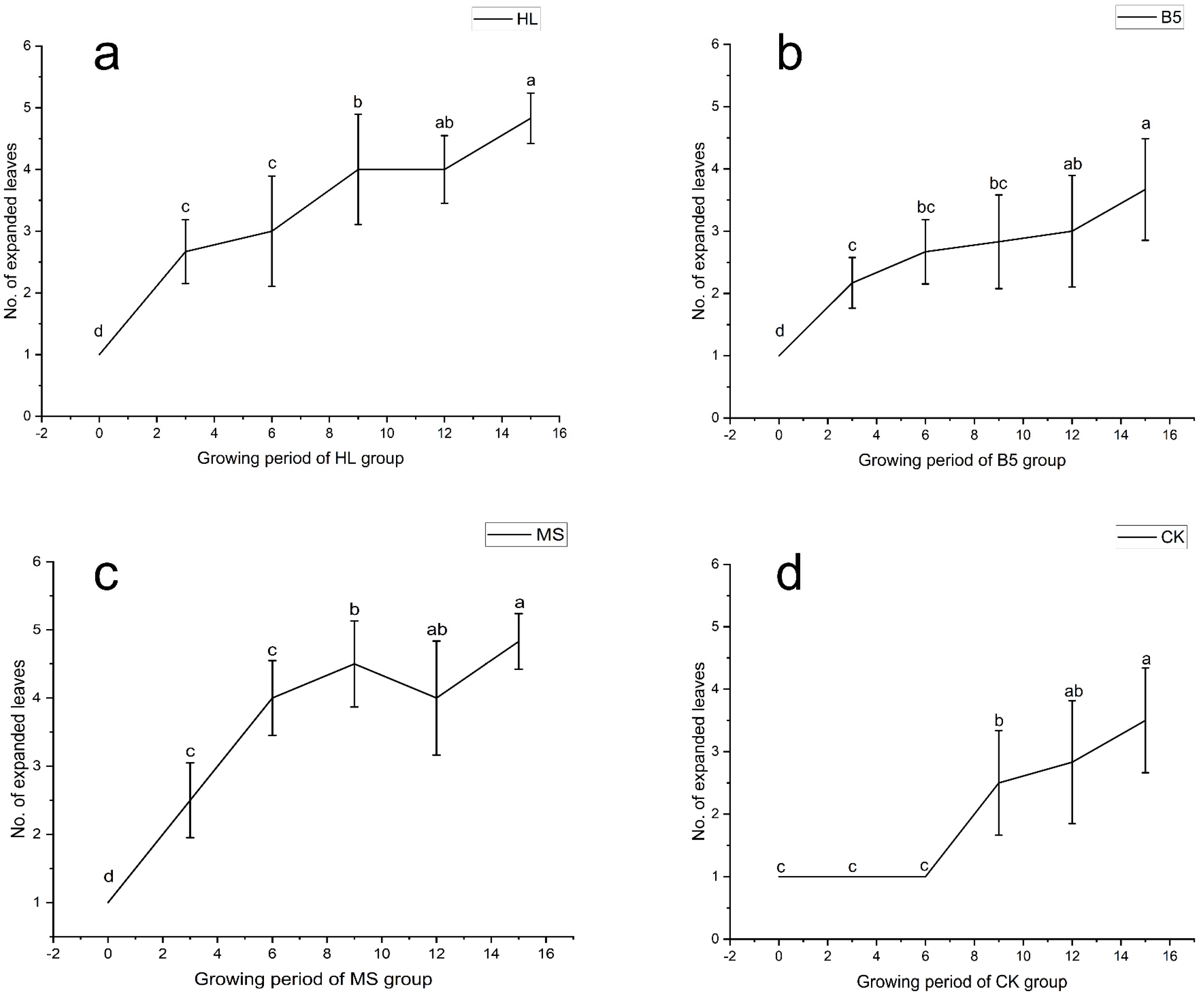
3.1.1. Studies on the Growth Period of Alfalfa
3.1.2. Determination of Alfalfa FHR
3.2. Differences in the Effects of Different Nutrient Solutions on the Growth of Alfalfa Were Observed
3.2.1. Analysis of Alfalfa Plant Height Variation
3.2.2. Analysis of Differences in Leaf Length and Width in Alfalfa
3.2.3. Analysis of Leaf Protein Differences in Alfalfa
3.3. Different Nutritional Solution Showed Varying Effects on Alfalfa Element Accumulation over the R1 Stage
4. Discussion
5. Conclusions
Supplementary Materials
Author Contributions
Funding
Data Availability Statement
Acknowledgments
Conflicts of Interest
References
- Dhakal, M.; West, C.P.; Villalobos, C.; Sarturi, J.O.; Deb, S.K. Trade-off between Nutritive Value Improvement and Crop Water Use for an Alfalfa–Grass System. Crop Sci. 2020, 60, 1711–1723. [Google Scholar] [CrossRef]
- Chen, Y.; Zhuang, Y.; Yan, R.; Qin, Q.; Jin, J.; Yang, P.; Liu, Y.; Xiong, J.; Xin, X. Characteristics of soil fertility under different long-term land-use patterns in south China: A case study in Huoshaoping Township, Changyang County, Hubei Province. J. Plant Nutr. Fertil. 2023, 29, 188–200. (In Chinese) [Google Scholar] [CrossRef]
- Feng, Y.; Shi, Y.; Zhao, M.; Shen, H.; Xu, L.; Luo, Y.; Liu, Y.; Xing, A.; Kang, J.; Jing, H.; et al. Yield and Quality Properties of Alfalfa (Medicago sativa L.) and Their Influencing Factors in China. Eur. J. Agron. 2022, 141, 126637. [Google Scholar] [CrossRef]
- Giro, A.; Ferrante, A. Postharvest Physiology of Corchorus Olitorius Baby Leaf Growing with Different Nutrient Solutions. J. Hortic. Sci. Biotechnol. 2018, 93, 400–408. [Google Scholar] [CrossRef]
- Wang, K.; Chen, J.; Li, J.; Wei, S.; Liang, P.; Liu, X.; Nan, L. Influences of drought stress on physiological characteristics and anatomical structure of alfalfa roots of different root-types. Grassl. Turf 2023, 43, 132–137. (In Chinese) [Google Scholar] [CrossRef]
- Hoagland, D.R.; Arnon, D.I. The Water-Culture Method for Growing Plants Without Soil; University of California, College of Agriculture: Berkeley, CA, USA, 1938; Volume 347. [Google Scholar]
- Roosta, H.R.; Sharifi Azad, H.; Mirdehghan, S.H. Comparison of the growth, fruit quality and physiological characteristics of cucumber fertigated by three different nutrient solutions in soil culture and soilless culture systems. Sci. Rep. 2025, 15, 203. [Google Scholar] [CrossRef]
- Percival, G.C.; Fraser, G.A. Use of Sugars to Improve Root Growth and Increase Transplant Success of Birch (Betula Pendula Roth.). Arboric. Urban For. (AUF) 2005, 31, 66–77. [Google Scholar] [CrossRef]
- Xin, X.; Nepal, J.; Wright, A.L.; Yang, X.; He, Z. Carbon Nanoparticles Improve Corn (Zea mays L.) Growth and Soil Quality: Comparison of Foliar Spray and Soil Drench Application. J. Clean. Prod. 2022, 363, 132630. [Google Scholar] [CrossRef]
- Kemp, H.T.; Fuller, R.G.; Davidson, R.S. Inhibition of Plant Growth by Root-Drench Applications of Kinetin. Science 1957, 126, 1182. [Google Scholar] [CrossRef]
- Srivastava, P.; George, S.; Marois, J.J.; Wright, D.L.; Walker, D.R. Saccharin-Induced Systemic Acquired Resistance against Rust (Phakopsora pachyrhizi) Infection in Soybean: Effects on Growth and Development. Crop Prot. 2011, 30, 726–732. [Google Scholar] [CrossRef]
- Vogel, K.E. Backcross Breeding. Methods Mol. Biol. 2009, 526, 161–169. [Google Scholar] [CrossRef] [PubMed]
- Olom, O.I.M.; Wei, Z. Effect of 3-Indole Acetic Acid and Gibberellic Acid on Growth and Yield of Alfalfa BC3 Hybrid. Appl. Ecol. Environ. Res. 2023, 21, 4931–4942. [Google Scholar] [CrossRef]
- Wu, J.; Wei, Z.; Olom, O.I. Improvement Effect of Agronomic Traits in the BC2 Population of Multifoliate Alfalfa. Acta Agrestia Sin. 2021, 29, 488–494. [Google Scholar] [CrossRef]
- Lee, S.Y.; Kim, S.Y.; Kim, D.Y.; Jeong, H.J.; Um, I.S.; Rho, I.R. Effects of Backcrossing on Quality of Strawberry Fruit. Hortic. Environ. Biotechnol. 2018, 59, 225–230. [Google Scholar] [CrossRef]
- Vilà, C.; Seddon, J.; Ellegren, H. Genes of Domestic Mammals Augmented by Backcrossing with Wild Ancestors. Trends Genet. 2005, 21, 214–218. [Google Scholar] [CrossRef]
- Falke, K.C.; Sušić, Z.; Wilde, P.; Wortmann, H.; Möhring, J.; Piepho, H.-P.; Geiger, H.H.; Miedaner, T. Testcross Performance of Rye Introgression Lines Developed by Marker-Assisted Backcrossing Using an Iranian Accession as Donor. Theor. Appl. Genet. 2009, 118, 1225–1238. [Google Scholar] [CrossRef] [PubMed]
- Khan, G.H.; Shikari, A.B.; Vaishnavi, R.; Najeeb, S.; Padder, B.A.; Bhat, Z.A.; Parray, G.A.; Bhat, M.A.; Kumar, R.; Singh, N.K. Marker-Assisted Introgression of Three Dominant Blast Resistance Genes into an Aromatic Rice Cultivar Mushk Budji. Sci. Rep. 2018, 8, 4091. [Google Scholar] [CrossRef]
- Chen, Y. Regulation Mechanisms on Alfalfa Yield, Quality Andnitrogen Metabolism by Optimizing LED Red, Blue and Green Light Combinations and Light Modes. Ph.D. Thesis, Chinese Academy of Agricultural Sciences, Beijing, China, 2024. (In Chinese). [Google Scholar]
- Wan, W.; Li, Y.; Li, H. Yield and quality of alfalfa (Medicago sativa L.) in response to fertilizer application in China: A meta-analysis. Front. Plant Sci. 2022, 23, 1051725. [Google Scholar] [CrossRef]
- Li, S.; Liu, Z. Fertilisation and environmental factors affect the yield and quality of alfalfa in China. Plant Soil Environ. 2024, 70, 276–286. [Google Scholar] [CrossRef]
- Song, K.; Gao, J.; Li, S.; Sun, Y.; Sun, H.; An, B.; Hu, T.; He, X. Experimental and Theoretical Study of the Effects of Rare Earth Elements on Growth and Chlorophyll of Alfalfa (Medicago sativa L.) Seedling. Front. Plant Sci. 2021, 12, 731838. [Google Scholar] [CrossRef]
- Khan, M.I.R.; Chopra, P.; Chhillar, H.; Ahanger, M.A.; Hussain, S.J.; Maheshwari, C. Regulatory Hubs and Strategies for Improving Heavy Metal Tolerance in Plants: Chemical Messengers, Omics and Genetic Engineering. Plant Physiol. Biochem. 2021, 164, 260–278. [Google Scholar] [CrossRef] [PubMed]
- Merry, R.; Dobbels, A.A.; Sadok, W.; Naeve, S.; Stupar, R.M.; Lorenz, A.J. Iron Deficiency in Soybean. Crop Sci. 2022, 62, 36–52. [Google Scholar] [CrossRef]
- Pinotti, L.; Manoni, M.; Ferrari, L.; Tretola, M.; Cazzola, R.; Givens, I. The Contribution of Dietary Magnesium in Farm Animals and Human Nutrition. Nutrients 2021, 13, 509. [Google Scholar] [CrossRef] [PubMed]
- Oconitrillo, M.; Wickramasinghe, J.; Omale, S.; Beitz, D.; Appuhamy, R. Effects of Elevating Zinc Supplementation on the Health and Production Parameters of High-Producing Dairy Cows. Animals 2024, 14, 395. [Google Scholar] [CrossRef]
- Fraker, P.J.; Haas, S.M.; Luecke, R.W. Effect of Zinc Deficiency on the Immune Response of the Young Adult A/J Mouse. J. Nutr. 1977, 107, 1889–1895. [Google Scholar] [CrossRef]
- Mills, C.F.; Quarterman, J.; Williams, R.B.; Dalgarno, A.C.; Panić, B. The Effects of Zinc Deficiency on Pancreatic Carboxypeptidase Activity and Protein Digestion and Absorption in the Rat. Biochem. J. 1967, 102, 712–718. [Google Scholar] [CrossRef]
- Maret, W. Zinc Biochemistry: From a Single Zinc Enzyme to a Key Element of Life. Adv. Nutr. 2013, 4, 82–91. [Google Scholar] [CrossRef]
- Aschner, J.L.; Aschner, M. Nutritional Aspects of Manganese Homeostasis. Mol. Asp. Med. 2005, 26, 353–362. [Google Scholar] [CrossRef]
- Jaghdani, S.J.; Jahns, P.; Tränkner, M. Mg deficiency induces photo-oxidative stress primarily by limiting CO2 assimilation and not by limiting photosynthetic light utilization. Plant Sci. 2021, 302, 110751. [Google Scholar] [CrossRef]
- Su, L.; Lv, A.; Wen, W.; Zhou, P.; An, Y. Auxin Is Involved in Magnesium-Mediated Photoprotection in Photosystems of Alfalfa Seedlings Under Aluminum Stress. Front. Plant Sci. 2020, 11, 746. [Google Scholar] [CrossRef]
- Jain, A.; Sinilal, B.; Dhandapani, G.; Meagher, R.B.; Sahi, S.V. Effects of deficiency and excess of zinc on morphophysiological traits and spatiotemporal regulation of zinc-responsive genes reveal incidence of cross talk between micro-and macronutrients. Environ. Sci. Technol. 2013, 47, 5327–5335. [Google Scholar] [CrossRef]
- Liao, F.; Lilay, G.H.; Castro, P.H.; Azevedo, H.; Assunção, A.G.L. Regulation of the Zinc Deficiency Response in the Legume Model Medicago truncatula. Front. Plant Sci. 2022, 13, 916168. [Google Scholar] [CrossRef]
- Carrera, E.; Holman, T.; Medhurst, A.; Dietrich, D.; Footitt, S.; Theodoulou, F.L.; Holdsworth, M.J. Seed After-Ripening Is a Discrete Developmental Pathway Associated with Specific Gene Networks in Arabidopsis. Plant J. 2008, 53, 214–224. [Google Scholar] [CrossRef]
- Yuan, F.; Chen, Y.; Chen, X.; Zhu, P.; Jiang, S.; Chen, S.; Xie, T.; Luo, S.; Yang, Z.; Zhang, H.; et al. Preliminary Identification of the Changes of Physiological Characteristics and Transcripts in Rice After-Ripened Seeds. Seed Biol. 2023, 2, 5. [Google Scholar] [CrossRef]
- Fehr, W.R.; Caviness, C.E.; Burmood, D.T.; Pennington, J.S. Stage of Development Descriptions for Soybeans, Glycine Max (L.) Merrill. Crop Sci. 1971, 11, 929–931. [Google Scholar] [CrossRef]
- Kalra, Y.P. Determination of pH of Soils by Different Methods: Collaborative Study. J. AOAC Int. 1995, 78, 310–324. [Google Scholar] [CrossRef]
- Miller, R.O.; Kissel, D.E. Comparison of Soil pH Methods on Soils of North America. Soil Sci. Soc. Am. J. 2010, 74, 310–316. [Google Scholar] [CrossRef]
- Libohova, Z.; Wills, S.; Odgers, N.P.; Ferguson, R.; Nesser, R.; Thompson, J.A.; West, L.T.; Hempel, J.W. Converting pH 1:1 H2O and 1:2CaCl2 to 1:5 H2O to Contribute to a Harmonized Global Soil Database. Geoderma 2014, 213, 544–550. [Google Scholar] [CrossRef]
- Merl, T.; Rasmussen, M.R.; Koch, L.R.; Søndergaard, J.V.; Bust, F.F.; Koren, K. Measuring Soil pH at in Situ like Conditions Using Optical pH Sensors (pH-Optodes). Soil Biol. Biochem. 2022, 175, 108862. [Google Scholar] [CrossRef]
- Wu, H.; Zhu, H.; Yuan, M.; Xu, R.; Xue, L. Determination of Ammonium Nitrogen and Nitrate Nitrogen in Soil by Gas Phase Molecular Absorption Spectrometry. YKCS 2021, 40, 165–171. [Google Scholar] [CrossRef]
- Nartop, P. Chapter 9—Engineering of Biomass Accumulation and Secondary Metabolite Production in Plant Cell and Tissue Cultures. In Plant Metabolites and Regulation Under Environmental Stress; Ahmad, P., Ahanger, M.A., Singh, V.P., Tripathi, D.K., Alam, P., Alyemeni, M.N., Eds.; Academic Press: Cambridge, MA, USA, 2018; pp. 169–194. ISBN 978-0-12-812689-9. [Google Scholar]
- Hilty, J.; Muller, B.; Pantin, F.; Leuzinger, S. Plant Growth: The What, the How, and the Why. New Phytol. 2021, 232, 25–41. [Google Scholar] [CrossRef] [PubMed]
- Li, Y.; Su, D.; Li, H. The relationship between growth characteristics and the quality of alfalfa under sprinkler irrigation in the northwest arid area of China. Acta Paraculture Sin. 2018, 27, 54–65. (In Chinese) [Google Scholar] [CrossRef]
- Cao, Z. Cultivation and Utilization of High-Quality Alfalfa; China Agricultural Press: Beijing, China, 2002. (In Chinese) [Google Scholar]
- Wang, Z.; Xu, X.; Yang, Y.; Yan, W.; Cai, G. Experimental study on the introduction of different alfalfa varieties. J. Northwest Agric. For. Univ. (Nat. Sci. Ed.) 2002, 3, 29–31. (In Chinese) [Google Scholar] [CrossRef]
- Li, J.; Wei, Z.; Min, X.; Zhao, P.; Yang, L.; Liu, N. Physiological and Biochemical Changes in the Seeds of Naturally Aged Wenling Medic (Medicago polymorpha) with Its Recovery of Viability. Agronomy 2023, 13, 787. [Google Scholar] [CrossRef]
- Bradford, M.M. A rapid and sensitive method for the quantitation of microgram quantities of protein utilizing the principle of protein-dye binding. Anal. Biochem. 1976, 72, 248–254. [Google Scholar] [CrossRef] [PubMed]
- Dent, T.; LeMinh, A.; Maleky, F. Comparison of Colorimetric Methods for Measuring the Solubility of Legume Proteins. Gels 2024, 10, 551. [Google Scholar] [CrossRef]
- Hassan, S.; Mazhar, W.; Farooq, S.; Ali, A.; Musharraf, S.G. Assessment of Heavy Metals in Calcium Carbide Treated Mangoes by Inductively Coupled Plasma-Mass Spectrometry (ICP-MS). Food Addit. Contam. Part A 2019, 36, 1769–1776. [Google Scholar] [CrossRef]
- Gulmez, O.; Tiryaki, D.; Atici, O.; Baris, O. Boron-Resistant Alternaria alternata (OG14) Mitigates Boron Stress by Improving Physiological and Antioxidative Response in Wheat (Triticum aestivum L.). Plant Physiol. Biochem. 2023, 202, 107911. [Google Scholar] [CrossRef]
- Prerna, D.I.; Govindaraju, K.; Tamilselvan, S.; Kannan, M.; Vasantharaja, R.; Chaturvedi, S.; Shkolnik, D. Influence of Nanoscale Micro-Nutrient α-Fe2O3 on Seed Germination, Seedling Growth, Translocation, Physiological Effects and Yield of Rice (Oryza sativa) and Maize (Zea mays). Plant Physiol. Biochem. 2021, 162, 564–580. [Google Scholar] [CrossRef]
- Zeng, H.; Wang, J.; Shen, P.; Zhao, Y.; Li, Y.; Liu, Y.; Bi, Z.; Liu, Z. Determination of 33 kinds of metallic elements in food aquatic products and animal tissues by microwave digestion and ICP-MS method. J. Food Saf. Qual. 2015, 6, 953–961. [Google Scholar] [CrossRef]
- Martines, A.M.; Nogueira, M.A.; Santos, C.A.; Nakatani, A.S.; Andrade, C.A.; Coscione, A.R.; Cantarella, H.; Sousa, J.P.; Cardoso, E.J.B.N. Ammonia Volatilization in Soil Treated with Tannery Sludge. Bioresour. Technol. 2010, 101, 4690–4696. [Google Scholar] [CrossRef] [PubMed]
- Hashemi, M.; Moieni, A.; Sabet, M.S.; Mokhtassi-Bidgoli, A.; Mojarrad Nanas, S. Introducing Gamborg’s B5, a High-Potential Medium for Isolated Microspore Culture, and Presenting a New MS Medium-Based Protocol for Androgenic Plant Regeneration in Eggplant (Solanum melongena L.). Plant Cell Tiss. Organ. Cult. 2024, 156, 79. [Google Scholar] [CrossRef]
- Yu, M.; Tian, Y.; Gao, Q.; Xu, X.; Wen, S.; Fan, Z.; Li, X.; Gong, J.; Liu, Y. Nonlinear Response of Lucerne (Medicago sativa) Biomass and Biological Nitrogen Fixation to Different Irrigations and Sowing Modes. Appl. Soil Ecol. 2018, 125, 257–263. [Google Scholar] [CrossRef]
- Devries, J.D.; Bennett, J.M.; Albrecht, S.L.; Boote, K.J. Water Relations, Nitrogenase Activity and Root Development of Three Grain Legumes in Response to Soil Water Deficits. Field Crops Res. 1989, 21, 215–226. [Google Scholar] [CrossRef]
- Hungria, M.; Vargas, M.A.T. Environmental Factors Affecting N2 Fixation in Grain Legumes in the Tropics, with an Emphasis on Brazil. Field Crops Res. 2000, 65, 151–164. [Google Scholar] [CrossRef]
- González, E.M.; Larrainzar, E.; Marino, D.; Wienkoop, S.; Gil-Quintana, E.; Arrese-Igor, C. Physiological Responses of N2-Fixing Legumes to Water Limitation. In Legume Nitrogen Fixation in a Changing Environment: Achievements and Challenges; Sulieman, S., Tran, L.-S.P., Eds.; Springer International Publishing: Cham, Switzerland, 2015; pp. 5–33. ISBN 978-3-319-06212-9. [Google Scholar]
- Zhang, X.; Chen, C.; Zhang, J.; Zeng, Y.; Bao, M.; Zhang, S.; Shang, J.; Sha, X.; Wu, J.; Zhang, G.; et al. Analysis and Comprehensive Evaluation of Agronomic and Yield Traits of 55 Alfalfa Varieties. Acta Agrestia Sin. 2023, 31, 3453–3461. (In Chinese) [Google Scholar] [CrossRef]
- Liu, M.; Wu, X.; Li, C.; Li, M.; Xiong, T.; Tang, Y. Dry Matter and Nitrogen Accumulation, Partitioning, and Translocation in Synthetic-Derived Wheat Cultivars under Nitrogen Deficiency at the Post-Jointing Stage. Field Crops Res. 2020, 248, 107720. [Google Scholar] [CrossRef]
- Meng, Q.; Yue, S.; Chen, X.; Cui, Z.; Ye, Y.; Ma, W.; Tong, Y.; Zhang, F. Understanding Dry Matter and Nitrogen Accumulation with Time-Course for High-Yielding Wheat Production in China. PLoS ONE 2013, 8, e68783. [Google Scholar] [CrossRef]
- Zhang, J.; Jia, Z.; Han, Q. The Effect of Different Fertilization on Stem/Leaf Ratio and FW/DW Ratio of Alfalfa. Acta Agric. Boreali-Occident. Sin. 2007, 16, 121–125. (In Chinese) [Google Scholar]
- de Oliveira, W.S.; Oliveira, P.P.A.; Corsi, M.; Duarte, F.R.S.; Tsai, S.M. Alfalfa yield and quality as function of nitrogen fertilization and symbiosis with Sinorhizobium meliloti. Sci. Agric. 2004, 61, 433–438. (In Spanish) [Google Scholar] [CrossRef]
- Liu, Z.; Yu, N.; Camberato, J.J.; Gao, J.; Liu, P.; Zhao, B.; Zhang, J. Crop Production Kept Stable and Sustainable with the Decrease of Nitrogen Rate in North China Plain: An Economic and Environmental Assessment over 8 Years. Sci. Rep. 2019, 9, 19335. [Google Scholar] [CrossRef]
- Rasheed, F.; Markgren, J.; Hedenqvist, M.; Johansson, E. Modeling to Understand Plant Protein Structure-Function Relationships—Implications for Seed Storage Proteins. Molecules 2020, 25, 873. [Google Scholar] [CrossRef]
- Hojilla-Evangelista, M.P.; Selling, G.W.; Hatfield, R.; Digman, M. Extraction, Composition, and Functional Properties of Dried Alfalfa (Medicago sativa L.) Leaf Protein. J. Sci. Food Agric. 2017, 97, 882–888. [Google Scholar] [CrossRef]
- Motsinger, L.A.; Young, A.Y.; Feuz, R.; Larsen, R.; Brady, T.J.; Briggs, R.K.; Reichhardt, C.C.; Pratt, C.; Thornton, K.J. Replacing Alfalfa Hay with a Novel Alfalfa Leaf Pellet Product (ProLEAF MAX) and/or Alfalfa Stems (ProFiber Plus) in the Diet of Developing Dairy Heifers Alters Dry Matter Intake, but Does Not Negatively Impact Growth or Development. Transl. Anim. Sci. 2024, 8, txae038. [Google Scholar] [CrossRef] [PubMed]
- Maia, V.M.; Pegoraro, R.F.; Aspiazú, I.; Oliveira, F.S.; Nobre Danúbia, A.C. Chapter 50—Diagnosis and management of nutrient constraints in pineapple. In Fruit Crops: Diagnosis and Management of Nutrient Constraints; Srivastava, A.K., Hu, C., Eds.; Elsevier: Oxford, UK, 2020; pp. 739–760. [Google Scholar]
- Xin, W.; Zhang, L.; Gao, J.; Zhang, W.; Yi, J.; Zhen, X.; Bi, C.; He, D.; Liu, S.; Zhao, X. Adaptation Mechanism of Roots to Low and High Nitrogen Revealed by Proteomic Analysis. Rice 2021, 14, 5. [Google Scholar] [CrossRef]
- Mu, X.; Chen, Y. The physiological response of photosynthesis to nitrogen deficiency. Plant Physiol. Biochem. PPB 2021, 158, 76–82. [Google Scholar] [CrossRef] [PubMed]
- Sun, H. Study on Soybean Root Systems Along with Its Relations with Upperground Characteristics. Master’s Thesis, Northeast Agricultural University, Harbin, China, 2006. [Google Scholar]
- Anoop, A.A.; Pillai, P.K.S.; Nickerson, M.; Ragavan, K.V. Plant Leaf Proteins for Food Applications: Opportunities 624 and Challenges. Compr. Rev. Food Sci. Food Saf. 2023, 22, 473–501. [Google Scholar] [CrossRef]
- Heppner, S.; Livney, Y.D. Green Leaves as a Promising Source for Sustainable Food Protein: Seeking the Productivity-Functionality Balance. Trends Food Sci. Technol. 2023, 142, 104207. [Google Scholar] [CrossRef]
- Jiang, Q.; Fu, C.; Wang, Z.-Y. A Unified Agrobacterium-Mediated Transformation Protocol for Alfalfa (Medicago sativa L.) and Medicago truncatula. In Transgenic Plants: Methods and Protocols; Kumar, S., Barone, P., Smith, M., Eds.; Springer: New York, NY, USA, 2019; pp. 153–163. ISBN 978-1-4939-8778-8. [Google Scholar]
- Gherardi, M.J.; Rengel, Z. The Effect of Manganese Supply on Exudation of Carboxylates by Roots of Lucerne (Medicago sativa). Plant Soil 2004, 260, 271–282. [Google Scholar] [CrossRef]
- Rahman, M.A.; Ahmed, M.B.; Alotaibi, F.; Alotaibi, K.D.; Ziadi, N.; Lee, K.-W.; Kabir, A.H. Growth and Physiological Impairments in Fe-Starved Alfalfa Are Associated with the Downregulation of Fe and S Transporters along with Redox Imbalance. Chem. Biol. Technol. Agric. 2021, 8, 36. [Google Scholar] [CrossRef]
- Pajarillo, E.A.B.; Lee, E.; Kang, D.-K. Trace Metals and Animal Health: Interplay of the Gut Microbiota with Iron, Manganese, Zinc, and Copper. Anim. Nutr. 2021, 7, 750–761. [Google Scholar] [CrossRef] [PubMed]
- Hansen, S.L.; Trakooljul, N.; Liu, H.-C.; Moeser, A.J.; Spears, J.W. Iron Transporters Are Differentially Regulated by Dietary Iron, and Modifications Are Associated with Changes in Manganese Metabolism in Young Pigs. J. Nutr. 2009, 139, 1474–1479. [Google Scholar] [CrossRef] [PubMed]
- Mo, H.; Li, Y. Study on the rapid determination technology of glucosinolate in rapeseed grain. Chin. J. Oil Crop Sci. 1998, 20, 66–69. [Google Scholar]





| Compounds | Murashige-Skoog (MS) | Gamborg (B5) | Hoagland (HL) |
|---|---|---|---|
| Macro Elements (mg/L) | |||
| NH4NO3 | 1650 | 134 | – |
| (NH4)2SO4 | – | – | 0.02 |
| Ca(NO3)2·4H2O | – | – | 0.945 |
| CaCl2·2H2O | 440 | 113.24 | 0 |
| KH2PO4 | 170 | – | – |
| NaH2PO4·2H2O | – | 150 | – |
| (NH4)2HPO4 | – | – | 115 |
| KNO3 | 1900 | 2500 | – |
| KSO3 | – | – | 607 |
| MgSO4·7H2O | 370 | 122.09 | 493 |
| Micro Elements (mg/L) | |||
| KI | 0.83 | 0.75 | – |
| H3BO3 | 6.2 | 3 | 2.86 |
| Na2B4O7·5H2O | 0 | 0 | 4.5 |
| MnSO4·4H2O | 22.3 | – | – |
| MnSO4·H2O | – | 10 | 2.13 |
| ZnSO4·7H2O | 8.6 | 2 | 0.22 |
| Na2MoO4·2H2O | 0.25 | 0.25 | – |
| CuSO4·5H2O | 0.025 | 0.025 | 0.05 |
| CoCl2·6H2O | 0.025 | 0.025 | – |
| Na2·EDTA | 37.3 | 37.3 | – |
| FeSO4·7H2O | 27.8 | 27.8 | 15 |
| Fe2Na EDTA | – | – | 20 |
| Organic Compounds (mg/L) | |||
| Myoinositol | 100 | 100 | – |
| Nicotinic acid | 0.5 | 1 | – |
| Pyridoxin-HCl | 0.5 | 1 | – |
| Thiamine-HCl | 0.1 | 10 | – |
| Glisin | 2 | – | – |
| Stage | Power (W) | Temperature Ascent Slope (min) | Temperature Control (°C) | Time Holding (min) |
|---|---|---|---|---|
| 1 | 1600 | 7 | 120 | 3 |
| 2 | 1600 | 5 | 150 | 5 |
| 3 | 1600 | 10 | 180 | 15 |
| Treatment | FHR 1 | Anomaly (%) 2 |
|---|---|---|
| HL | 3.846 | −12.55 |
| B5 | 6.000 | +36.42 |
| MS | 3.947 | −10.25 |
| CK | 3.800 | −13.60 |
| Elements | SSB | η2 | df | F | Sig. |
|---|---|---|---|---|---|
| Fe | 401.404 | 0.982 | [3, 8] | 144.888 | <0.001 |
| Cu | 30.334 | 0.998 | [3, 8] | 1090.181 | <0.001 |
| Mn | 2239.729 | 0.999 | [3, 8] | 1925.241 | <0.001 |
| Zn | 297.294 | 0.993 | [3, 8] | 372.782 | <0.001 |
| Mg | 0.922 | 0.994 | [3, 8] | 477.745 | <0.001 |
| Na | 95,491.843 | 1.000 | [3, 8] | 8562.832 | <0.001 |
| K | 911.338 | 0.999 | [3, 8] | 2596.890 | <0.001 |
Disclaimer/Publisher’s Note: The statements, opinions and data contained in all publications are solely those of the individual author(s) and contributor(s) and not of MDPI and/or the editor(s). MDPI and/or the editor(s) disclaim responsibility for any injury to people or property resulting from any ideas, methods, instructions or products referred to in the content. |
© 2025 by the authors. Licensee MDPI, Basel, Switzerland. This article is an open access article distributed under the terms and conditions of the Creative Commons Attribution (CC BY) license (https://creativecommons.org/licenses/by/4.0/).
Share and Cite
Li, J.; Zhu, Y.; Wei, Z.; Chen, H.; Wang, C.; Cao, K.; Zhang, X. Nutrient Solution Selection Modulates Growth Patterns and Leaf Elemental Accumulation in Alfalfa (Medicago sativa) Grown. Agronomy 2025, 15, 902. https://doi.org/10.3390/agronomy15040902
Li J, Zhu Y, Wei Z, Chen H, Wang C, Cao K, Zhang X. Nutrient Solution Selection Modulates Growth Patterns and Leaf Elemental Accumulation in Alfalfa (Medicago sativa) Grown. Agronomy. 2025; 15(4):902. https://doi.org/10.3390/agronomy15040902
Chicago/Turabian StyleLi, Jiaqing, Yingjian Zhu, Zhenwu Wei, Haowen Chen, Chuanjie Wang, Kai Cao, and Xian Zhang. 2025. "Nutrient Solution Selection Modulates Growth Patterns and Leaf Elemental Accumulation in Alfalfa (Medicago sativa) Grown" Agronomy 15, no. 4: 902. https://doi.org/10.3390/agronomy15040902
APA StyleLi, J., Zhu, Y., Wei, Z., Chen, H., Wang, C., Cao, K., & Zhang, X. (2025). Nutrient Solution Selection Modulates Growth Patterns and Leaf Elemental Accumulation in Alfalfa (Medicago sativa) Grown. Agronomy, 15(4), 902. https://doi.org/10.3390/agronomy15040902

