Sign in to use this feature.

Years

Between: -

Subjects

remove_circle_outline
remove_circle_outline
remove_circle_outline
remove_circle_outline
remove_circle_outline
remove_circle_outline
remove_circle_outline

Journals

Article Types

Countries / Regions

Search Results (31)

Search Parameters:
Keywords = nitrogen-deficient substrate

Order results
Result details
Results per page
Select all
Export citation of selected articles as:
16 pages, 2804 KB  
Article
Transcription Factor HusR (YnfL) Is a Novel Regulator for Hydroxyurea Sensitivity in Escherichia coli K-12
by Ikki Kobayashi, Sousuke Imamura, Ken Okamoto and Tomohiro Shimada
Microorganisms 2026, 14(1), 134; https://doi.org/10.3390/microorganisms14010134 - 7 Jan 2026
Viewed by 250
Abstract
Understanding the functions of all genes and their biological mechanisms based on comprehensive genome regulation mechanisms is an important issue in life sciences. YnfL is an uncharacterized LysR family transcription factor in Escherichia coli. Genomic SELEX screening was performed to identify YnfL [...] Read more.
Understanding the functions of all genes and their biological mechanisms based on comprehensive genome regulation mechanisms is an important issue in life sciences. YnfL is an uncharacterized LysR family transcription factor in Escherichia coli. Genomic SELEX screening was performed to identify YnfL regulatory targets in the E. coli genome and reveal the function of YnfL. Nine loci on the E. coli genome were identified as regulatory targets of YnfL, and the target genes were involved in supplying DNA substrates and DNA repair. RT-qPCR analysis in vivo revealed that YnfL activates its target genes during the stationary phase. Tests for drug resistance that causes DNA damage revealed that ynfL deficiency increased abnormal cell filamentation and the appearance of anucleate cells in the presence of hydroxyurea. Furthermore, ynfL deficiency reduced cell survival under long-term nitrogen starvation conditions. In summary, we propose renaming ynfL to hydroxyurea sensitivity regulator (husR). These findings contribute to understanding DNA maintenance and long-term survival through transcriptional regulation. Full article
(This article belongs to the Special Issue Transcriptional Regulation in Bacteria, 2nd Edition)
Show Figures

Figure 1

22 pages, 5767 KB  
Article
Rhizobacteriome Diversity and Morphophysiological Features of Three Tomato Plant Varieties Under Nitrogen Deficiency
by Maria Maleva, Galina Borisova, Anastasia Tugbaeva, Alina Malakheeva, Olga Voropaeva, Alexander Ermoshin and Anna Betekhtina
Nitrogen 2025, 6(4), 102; https://doi.org/10.3390/nitrogen6040102 - 12 Nov 2025
Viewed by 821
Abstract
The increasing biogeochemical imbalance of nitrogen (N) heightens the importance of studying rhizosphere bacteria, which aid crop nutrient uptake, and their responses to N deficiency. The aim of the study was to assess variety-specific responses of the tomatoes and their associated rhizobacteriome to [...] Read more.
The increasing biogeochemical imbalance of nitrogen (N) heightens the importance of studying rhizosphere bacteria, which aid crop nutrient uptake, and their responses to N deficiency. The aim of the study was to assess variety-specific responses of the tomatoes and their associated rhizobacteriome to low N availability. Three determinant varieties of Solanum lycopersicum L. were cultivated in pot-scale experiment during 10 weeks on low-fertility substrate (sod-podzolic soil:peat:clay:sand, 1:1:1:2, v/v), half of which were supplemented with ammonium nitrate (60 mg N kg−1 in total). A comprehensive methodology was employed, including 16S rRNA metagenomic Nanopore sequencing, quantitative assessment of N-cycling bacteria, and analysis of plant growth, photosynthetic pigments, total N in biomass, and fine root architecture. Results demonstrated that N deficiency significantly reduced plant biomass and photosynthetic pigments. The rhizosphere contained a diverse community of N-transforming bacteria (38 identified genera), whose composition and relative abundance were strongly influenced by both tomato variety and N fertilization. Nitrogen application increased the abundance of N-fixers and altered alpha-diversity in a variety-dependent manner. Significant correlations were found between the abundance of key bacterial genera (e.g., Stenotrophomonas, Rhizobium) and N parameters in plants and substrates. The study concludes that the response of the tomato rhizobacteriome to N availability is variety-specific, which is important for the development of microbiome management strategies for enhancing N use efficiency. Full article
(This article belongs to the Special Issue Nitrogen: Advances in Plant Stress Research)
Show Figures

Graphical abstract

16 pages, 1640 KB  
Article
Polydroxyalkanoates Production from Simulated Food Waste Condensate Using Mixed Microbial Cultures
by Konstantina Filippou, Evaggelia Bouzani, Elianta Kora, Ioanna Ntaikou, Konstantina Papadopoulou and Gerasimos Lyberatos
Polymers 2025, 17(15), 2042; https://doi.org/10.3390/polym17152042 - 26 Jul 2025
Cited by 1 | Viewed by 1987
Abstract
The growing environmental concerns associated with petroleum-based plastics require the development of sustainable, biodegradable alternatives. Polyhydroxyalkanoates (PHAs), a family of biodegradable bioplastics, offer a promising potential as eco-friendly substitutes due to their renewable origin and favorable degradation properties. This research investigates the use [...] Read more.
The growing environmental concerns associated with petroleum-based plastics require the development of sustainable, biodegradable alternatives. Polyhydroxyalkanoates (PHAs), a family of biodegradable bioplastics, offer a promising potential as eco-friendly substitutes due to their renewable origin and favorable degradation properties. This research investigates the use of synthetic condensate, mimicking the liquid fraction from drying and shredding of household food waste, as a viable substrate for PHA production using mixed microbial cultures. Two draw-fill reactors (DFRs) were operated under different feed organic concentrations (2.0 ± 0.5 and 3.8 ± 0.6 g COD/L), maintaining a consistent carbon-to-nitrogen ratio to selectively enrich microorganisms capable of accumulating PHAs through alternating nutrient availability and deficiency. Both reactors achieved efficient organic pollutant removal (>95% soluble COD removal), stable biomass growth, and optimal pH levels. Notably, the reactor with the higher organic load (DFR-2) demonstrated a modest increase in PHA accumulation (19.05 ± 7.18%) compared to the lower-loaded reactor (DFR-1; 15.19 ± 6.00%), alongside significantly enhanced biomass productivity. Polymer characterization revealed the formation of poly(3-hydroxybutyrate-co-3-hydroxyvalerate) (PHBV), influenced by the substrate composition. Microbial community analysis showed an adaptive shift towards Proteobacteria dominance, signifying successful enrichment of effective PHA producers. Full article
(This article belongs to the Special Issue Bioplastics)
Show Figures

Figure 1

18 pages, 3911 KB  
Article
Nutrient Solution Selection Modulates Growth Patterns and Leaf Elemental Accumulation in Alfalfa (Medicago sativa) Grown
by Jiaqing Li, Yingjian Zhu, Zhenwu Wei, Haowen Chen, Chuanjie Wang, Kai Cao and Xian Zhang
Agronomy 2025, 15(4), 902; https://doi.org/10.3390/agronomy15040902 - 4 Apr 2025
Viewed by 1805
Abstract
While forage grasses in southern China exhibit yield and nutritional advantages, the impact of nutrient solutions on alfalfa (Medicago sativa BC4) growth and elemental accumulation remains understudied. We conducted a pot-based controlled substrate cultivation trial using a nitrogen-poor substrate to [...] Read more.
While forage grasses in southern China exhibit yield and nutritional advantages, the impact of nutrient solutions on alfalfa (Medicago sativa BC4) growth and elemental accumulation remains understudied. We conducted a pot-based controlled substrate cultivation trial using a nitrogen-poor substrate to compare four treatments: MS, Hoagland, B5 nutrient solutions, and RO water (control). From the V1 to R1 stages, the plant height was monitored continuously, with leaf dimensions and soluble proteins (Bradford method) measured at R1. ICP-MS quantified macro elements (Na+, K+, and Mg2+) and microelements (Cu2+, Fe2+, Mn2+, and Zn2+). The growth rates followed the order: MS > Hoagland > RO water > B5. Both the MS and Hoagland solutions significantly increased the leaf length at the R1 stage (p < 0.001 vs control), with Hoagland showing the greatest leaf expansion. The soluble protein content decreased significantly in all groups (p < 0.05) except MS-treated plants. An elemental analysis revealed treatment-specific accumulation patterns, most notably 1.17-fold higher Fe and 1.48-fold higher Mn in the MS group versus control (p < 0.001). Magnesium levels showed no significant differences among treatments. These results demonstrate the MS nutrient solution’s superior efficacy in enhancing the alfalfa growth parameters (height and leaf size) while maintaining the soluble protein content and promoting Fe/Mn accumulation. The findings provide empirical evidence for optimizing alfalfa cultivation in a nitrogen-deficient soil-based mix substrate through nutrient solution selection. Full article
(This article belongs to the Section Soil and Plant Nutrition)
Show Figures

Figure 1

17 pages, 2795 KB  
Article
Solid Microbial Fertilizers Prepared with Different Carriers Have the Potential to Enhance Plant Growth
by Lianhao Sun, Yuexiang Zhou, Hui Nie, Chong Li, Xin Liu, Jie Lin, Xiongfei Zhang and Jinchi Zhang
Forests 2025, 16(3), 539; https://doi.org/10.3390/f16030539 - 19 Mar 2025
Viewed by 1044
Abstract
Microbial inoculants are vital for promoting plant growth and facilitating the ecological restoration of degraded forested regions near abandoned mine sites. However, the direct application of liquid microbial inoculants is often challenging due to low microbial activities and poor transport efficiencies, which limit [...] Read more.
Microbial inoculants are vital for promoting plant growth and facilitating the ecological restoration of degraded forested regions near abandoned mine sites. However, the direct application of liquid microbial inoculants is often challenging due to low microbial activities and poor transport efficiencies, which limit their effectiveness in complex soil environments. To tackle these challenges, this study utilized immobilized microbial technology to evaluate the effectiveness of solid microbial inoculants sourced from peat (P), biochar (BC), and spent mushroom substrates (SMSs) in enhancing the soil’s multifunctionality and promoting plant growth. Specifically, this research sought to assess the effectiveness of solid microbial inoculants derived from peat (P), biochar (B), and spent mushroom substrates (SMSs) in enhancing soil multifunctionality and promoting plant growth in nutrient-deficient soils that were affected by abandoned mine sites. We aimed to evaluate the performance of different solid microbial inoculants in improving the soil’s nutrient content and enzyme activities. A 24-week pot experiment was conducted using Medicago sativa L. in nutrient-poor soil. The results demonstrated that, in contrast to peat and biochar, SMSs effectively interacted with microbial inoculants and significantly improved the nutrient content and enzyme activities of nutrient-deficient soil. It was noted that β-1,4-glucosidase (BG), invertase, β-1,4-N-acetylglucosaminidase (NAG), urease, and soil available phosphorus increased by 204%, 405%, 118%, 198%, and 297%, respectively. The soil’s multifunctionality improved by 320% compared with the CK, and the plant biomass also increased significantly. Further, our random forest analysis indicated that the soil available phosphorus, ammonium nitrogen, total nitrogen, total carbon content, arylsulfatase, pH, total phosphorus, NAG, and BG were key environmental factors that induced changes in plant biomass. These findings highlighted the potential of SMSs as an effective carrier for immobilized microbial inoculants, which provides a sustainable approach for the restoration of forest soils surrounding abandoned mine sites, as well as a promising avenue for the valorization of agricultural waste. Full article
(This article belongs to the Section Forest Soil)
Show Figures

Figure 1

14 pages, 916 KB  
Review
Effect of Different Synthetic Nitrogen Forms and Levels on Nitrification and Denitrification Key Genes Abundances: Implications for Oligotrophic Forest Soil Management
by Muhammad Jamal Ameer, Yushan Liu, Xiaoting Zhao, Siyu Yan and Tongbao Qu
Nitrogen 2025, 6(1), 4; https://doi.org/10.3390/nitrogen6010004 - 10 Jan 2025
Cited by 5 | Viewed by 3342
Abstract
Climate change and anthropogenic nitrogen addition alter the soil physicochemical properties and microbial activity in oligotrophic forest soil. Unbalanced and non-selective nitrogen fertilizer application is lost as gas emissions (N2O, NO) and also contributed to eutrophication through NO3 leachate. [...] Read more.
Climate change and anthropogenic nitrogen addition alter the soil physicochemical properties and microbial activity in oligotrophic forest soil. Unbalanced and non-selective nitrogen fertilizer application is lost as gas emissions (N2O, NO) and also contributed to eutrophication through NO3 leachate. Similarly, NO3 infiltrates and contaminated drinking water sources lead to human thyroid dysfunction. In order to protect depleting timber growth due to nitrogen deficiency and increasing ecological concerns from nitrogen misapplication, we reviewed the effects of different synthetic nitrogen forms and levels on the biogeochemical process. In this review, we focused on the most recent findings from research articles, review articles, and meta-analyses on forest soil and also followed the complementary insights from agricultural soil so that we may be able to highlight how these observations contribute to the understanding of the forest soil nitrogen cycle. Firstly, we elaborated the role of nitrification and denitrification in the nitrogen transformation process. Secondly, we discussed the effect of different nitrogen forms and levels on nitrification and denitrification functional gene abundances. Thirdly, we analyzed the possible effect of gene abundances on the nitrogen conversion process. Finally, we revealed that different forms and levels of synthetic nitrogen not only alter the nitrogen conversion pathways by increasing the gene abundances through substrate availability but also shift the gene dominance, thereby modifying soil physicochemical properties, such as pH. This collectively changes the conditions, which are critical for gene expression potential involved in the nitrogen conversion process. These findings may create a direction for sustainable and eco-friendly fertilizer application in nitrogen-deficient soil. Full article
Show Figures

Figure 1

18 pages, 9973 KB  
Article
New Toolset of Reporters Reveals That Glycogen Granules Are Neutral Substrates of Bulk Autophagy in Komagataella phaffii
by Nimna V. Wijewantha, Praneetha Battu, Kuangcai Chen, Ravinder Kumar and Taras Y. Nazarko
Int. J. Mol. Sci. 2024, 25(21), 11772; https://doi.org/10.3390/ijms252111772 - 1 Nov 2024
Cited by 1 | Viewed by 2662
Abstract
Glycogen, a branched polysaccharide organized into glycogen granules (GGs), is delivered from the cytoplasm to the lysosomes of hepatocytes by STBD1-driven selective autophagy (glycophagy). Recently, we developed Komagataella phaffii yeast as a simple model of GG autophagy and found that it proceeds non-selectively [...] Read more.
Glycogen, a branched polysaccharide organized into glycogen granules (GGs), is delivered from the cytoplasm to the lysosomes of hepatocytes by STBD1-driven selective autophagy (glycophagy). Recently, we developed Komagataella phaffii yeast as a simple model of GG autophagy and found that it proceeds non-selectively under nitrogen starvation conditions. However, another group, using Saccharomyces cerevisiae as a model, found that glycogen is a non-preferred cargo of nitrogen starvation-induced bulk autophagy. To clarify cargo characteristics of K. phaffii GGs, we used the same glycogen synthase-based reporter (Gsy1-GFP) of GG autophagy in K. phaffii as was used in S. cerevisiae. The K. phaffii Gsy1-GFP marked the GGs and reported on their autophagic degradation during nitrogen starvation, as expected. However, unlike in S. cerevisiae, glycogen synthase-marked GGs were delivered to the vacuole and degraded there with the same efficiency as a cytosolic glycogen synthase in glycogen-deficient cells, suggesting that glycogen is a neutral cargo of bulk autophagy in K. phaffii. We verified our findings with a new set of reporters based on the glycogen-binding CBM20 domain of human STBD1. The GFP-CBM20 and mCherry-CBM20 fusion proteins tagged GGs, reported about the autophagy of GGs, and confirmed that GGs in K. phaffii are neither preferred nor non-preferred substrates of bulk autophagy. They are its neutral substrates. Full article
(This article belongs to the Special Issue Autophagy in Health, Aging and Disease, 4th Edition)
Show Figures

Figure 1

15 pages, 1282 KB  
Article
Omitting the Application of Nitrogen or Potassium Reduced the Growth of Young Chestnut (Castanea sativa) Trees, While a Lack of Boron Decreased Fruit Yield
by Margarida Arrobas, Soraia Raimundo, Carlos Manuel Correia and Manuel Ângelo Rodrigues
Soil Syst. 2024, 8(4), 104; https://doi.org/10.3390/soilsystems8040104 - 30 Sep 2024
Cited by 4 | Viewed by 1939
Abstract
The chestnut tree (Castanea sativa Mill.) is gaining importance in the mountainous regions of southern Europe due to the high value of its fruits. It is essential to establish effective cultivation protocols, considering that this species is still relatively understudied. In this [...] Read more.
The chestnut tree (Castanea sativa Mill.) is gaining importance in the mountainous regions of southern Europe due to the high value of its fruits. It is essential to establish effective cultivation protocols, considering that this species is still relatively understudied. In this study, we present the outcomes of the initial establishment of a chestnut orchard conducted through a nutrient omission trial for four years. The treatments included a fertilization plan with nitrogen, phosphorus, potassium, and boron (NPKB), the control, and four other treatments corresponding to the omission of each nutrient (-NPKB, N-PKB, NP-KB, NPK-B). The -NPKB and NP-KB treatments showed significantly lower trunk circumferences and canopy volumes compared to the other treatments. The NPK-B treatment resulted in the lowest fruit production, with a total accumulated yield (2020–2022) of 0.56 kg tree–1, a value significantly lower than that of NPKB (1.12 kg tree–1) and N-PKB (1.19 kg tree–1). The assessment of nutrient concentrations in the leaves revealed plants with deficient levels of B and K in treatments that did not receive these nutrients. Conversely, N levels in the leaves in the -NPKB treatment fell within the sufficiency range (20 to 28 g kg–1). This suggests that the sufficiency range should be adjusted to higher values, given the treatment’s effect on tree growth. It was also observed that the -NPKB treatment led to lower soil organic matter compared to the other treatments, likely due to reduced herbaceous vegetation development under the canopy, leading to decreased organic substrate deposition in the soil. The main findings of this study are that N and K were crucial elements for the optimal growth of chestnut trees, while B played a significant role in fruit production. Full article
Show Figures

Figure 1

19 pages, 8433 KB  
Article
Validation of In-House Imaging System via Code Verification on Petunia Images Collected at Increasing Fertilizer Rates and pHs
by Kahlin Wacker, Changhyeon Kim, Marc W. van Iersel, Mark Haidekker, Lynne Seymour and Rhuanito Soranz Ferrarezi
Sensors 2024, 24(17), 5809; https://doi.org/10.3390/s24175809 - 6 Sep 2024
Viewed by 1492
Abstract
In a production environment, delayed stress recognition can impact yield. Imaging can rapidly and effectively quantify stress symptoms using indexes such as normalized difference vegetation index (NDVI). Commercial systems are effective but cannot be easily customized for specific applications, particularly post-processing. We developed [...] Read more.
In a production environment, delayed stress recognition can impact yield. Imaging can rapidly and effectively quantify stress symptoms using indexes such as normalized difference vegetation index (NDVI). Commercial systems are effective but cannot be easily customized for specific applications, particularly post-processing. We developed a low-cost customizable imaging system and validated the code to analyze images. Our objective was to verify the image analysis code and custom system could successfully quantify the changes in plant canopy reflectance. ‘Supercascade Red’, ‘Wave© Purple’, and ‘Carpet Blue’ Petunias (Petunia × hybridia) were transplanted individually and subjected to increasing fertilizer treatments and increasing substrate pH in a greenhouse. Treatments for the first trial were the addition of a controlled release fertilizer at six different rates (0, 0.5, 1, 2, 4, and 8 g/pot), and for the second trial, fertilizer solution with four pHs (4, 5.5, 7, and 8.5), with eight replications with one plant each. Plants were imaged twice a week using a commercial imaging system for fertilizer and thrice a week with the custom system for pH. The collected images were analyzed using an in-house program that calculated the indices for each pixel of the plant area. All cultivars showed a significant effect of fertilizer on the projected canopy size and dry weight of the above-substrate biomass and the fertilizer rate treatments (p < 0.01). Plant tissue nitrogen concentration as a function of the applied fertilizer rate showed a significant positive response for all three cultivars (p < 0.001). We verified that the image analysis code successfully quantified the changes in plant canopy reflectance as induced by increasing fertilizer application rate. There was no relationship between the pH and NDVI values for the cultivars tested (p > 0.05). Manganese and phosphorus had no significance with chlorophyll fluorescence for ‘Carpet Blue’ and ‘Wave© Purple’ (p > 0.05), though ‘Supercascade Red’ was found to have significance (p < 0.01). pH did not affect plant canopy size. Chlorophyll fluorescence pixel intensity against the projected canopy size had no significance except in ‘Wave© Purple’ (p = 0.005). NDVI as a function of the projected canopy size had no statistical significance. We verified the ability of the imaging system with integrated analysis to quantify nutrient deficiency-induced variability in plant canopies by increasing pH levels. Full article
(This article belongs to the Section Smart Agriculture)
Show Figures

Figure 1

25 pages, 1718 KB  
Review
Oxidative Metabolism as a Cause of Lipid Peroxidation in the Execution of Ferroptosis
by Junichi Fujii and Hirotaka Imai
Int. J. Mol. Sci. 2024, 25(14), 7544; https://doi.org/10.3390/ijms25147544 - 9 Jul 2024
Cited by 35 | Viewed by 5085
Abstract
Ferroptosis is a type of nonapoptotic cell death that is characteristically caused by phospholipid peroxidation promoted by radical reactions involving iron. Researchers have identified many of the protein factors that are encoded by genes that promote ferroptosis. Glutathione peroxidase 4 (GPX4) is a [...] Read more.
Ferroptosis is a type of nonapoptotic cell death that is characteristically caused by phospholipid peroxidation promoted by radical reactions involving iron. Researchers have identified many of the protein factors that are encoded by genes that promote ferroptosis. Glutathione peroxidase 4 (GPX4) is a key enzyme that protects phospholipids from peroxidation and suppresses ferroptosis in a glutathione-dependent manner. Thus, the dysregulation of genes involved in cysteine and/or glutathione metabolism is closely associated with ferroptosis. From the perspective of cell dynamics, actively proliferating cells are more prone to ferroptosis than quiescent cells, which suggests that radical species generated during oxygen-involved metabolism are responsible for lipid peroxidation. Herein, we discuss the initial events involved in ferroptosis that dominantly occur in the process of energy metabolism, in association with cysteine deficiency. Accordingly, dysregulation of the tricarboxylic acid cycle coupled with the respiratory chain in mitochondria are the main subjects here, and this suggests that mitochondria are the likely source of both radical electrons and free iron. Since not only carbohydrates, but also amino acids, especially glutamate, are major substrates for central metabolism, dealing with nitrogen derived from amino groups also contributes to lipid peroxidation and is a subject of this discussion. Full article
(This article belongs to the Special Issue Programmed Cell Death and Oxidative Stress 2.0)
Show Figures

Figure 1

31 pages, 2909 KB  
Article
CLPP-Null Eukaryotes with Excess Heme Biosynthesis Show Reduced L-arginine Levels, Probably via CLPX-Mediated OAT Activation
by Jana Key, Suzana Gispert, Arvind Reddy Kandi, Daniela Heinz, Andrea Hamann, Heinz D. Osiewacz, David Meierhofer and Georg Auburger
Biomolecules 2024, 14(2), 241; https://doi.org/10.3390/biom14020241 - 19 Feb 2024
Cited by 1 | Viewed by 3234
Abstract
The serine peptidase CLPP is conserved among bacteria, chloroplasts, and mitochondria. In humans and mice, its loss causes Perrault syndrome, which presents with growth deficits, infertility, deafness, and ataxia. In the filamentous fungus Podospora anserina, CLPP loss leads to longevity. CLPP substrates [...] Read more.
The serine peptidase CLPP is conserved among bacteria, chloroplasts, and mitochondria. In humans and mice, its loss causes Perrault syndrome, which presents with growth deficits, infertility, deafness, and ataxia. In the filamentous fungus Podospora anserina, CLPP loss leads to longevity. CLPP substrates are selected by CLPX, an AAA+ unfoldase. CLPX is known to target delta-aminolevulinic acid synthase (ALAS) to promote pyridoxal phosphate (PLP) binding. CLPX may also influence cofactor association with other enzymes. Here, the evaluation of P. anserina metabolomics highlighted a reduction in arginine/histidine levels. In Mus musculus cerebellum, reductions in arginine/histidine and citrulline occurred with a concomitant accumulation of the heme precursor protoporphyrin IX. This suggests that the increased biosynthesis of 5-carbon (C5) chain deltaALA consumes not only C4 succinyl-CoA and C1 glycine but also specific C5 delta amino acids. As enzymes responsible for these effects, the elevated abundance of CLPX and ALAS is paralleled by increased OAT (PLP-dependent, ornithine delta-aminotransferase) levels. Possibly as a consequence of altered C1 metabolism, the proteome profiles of P. anserina CLPP-null cells showed strong accumulation of a methyltransferase and two mitoribosomal large subunit factors. The reduced histidine levels may explain the previously observed metal interaction problems. As the main nitrogen-storing metabolite, a deficiency in arginine would affect the urea cycle and polyamine synthesis. Supplementation of arginine and histidine might rescue the growth deficits of CLPP-mutant patients. Full article
(This article belongs to the Section Molecular Biology)
Show Figures

Figure 1

19 pages, 3731 KB  
Article
Nutrient Variations and Their Use Efficiency of Pinus massoniana Seedling Tissues in Response to Low Phosphorus Conditions
by Jin Xu, Zunji Jian, Yuanzheng Zhang, Xiuxiu Deng, Lei Lei, Lixiong Zeng, Wenfa Xiao and Yanyan Ni
Forests 2024, 15(2), 351; https://doi.org/10.3390/f15020351 - 11 Feb 2024
Cited by 6 | Viewed by 1969
Abstract
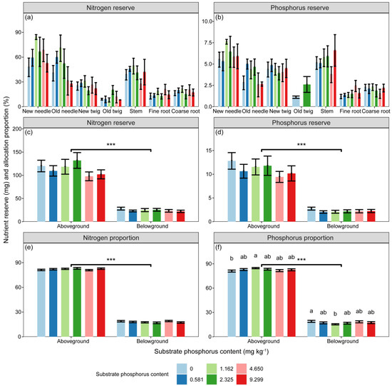
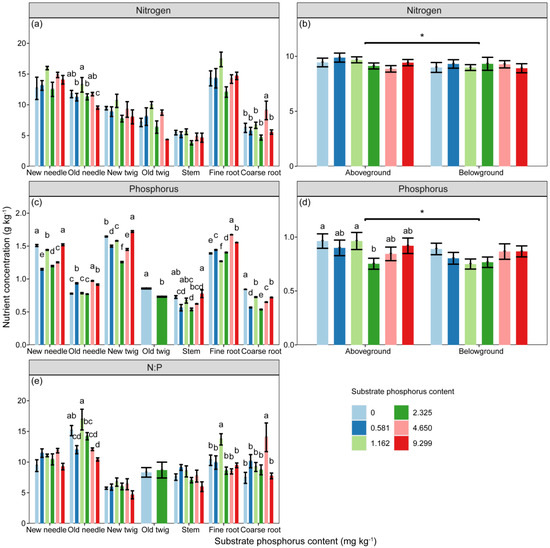
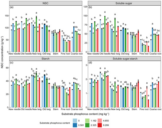
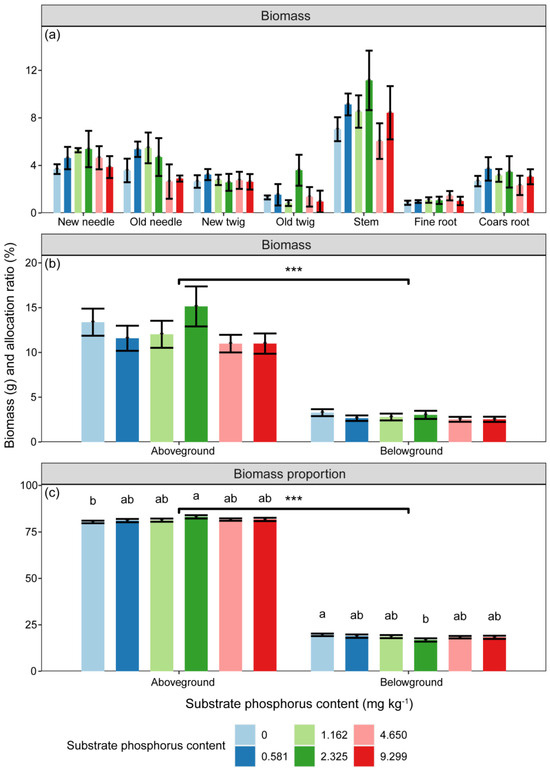
Investigating the mechanisms by which plants adapt to low phosphorus content in ecosystems is crucial for nutrient dynamics division. Our study investigated the growth adaptation strategies of Pinus massoniana seedlings to low phosphorus conditions, including nutrient and non-structural carbohydrate (NSC) allocation, nutrient stoichiometry, [...] Read more.
Investigating the mechanisms by which plants adapt to low phosphorus content in ecosystems is crucial for nutrient dynamics division. Our study investigated the growth adaptation strategies of Pinus massoniana seedlings to low phosphorus conditions, including nutrient and non-structural carbohydrate (NSC) allocation, nutrient stoichiometry, and changes in nutrient resorption efficiency along a fact-based gradient. Our results showed that the total biomass and aboveground biomass proportion increased with substrate phosphorus content, reaching maximum biomass in the one-time phosphorus treatment. The nutrient concentration of components remained relatively stable, with the allocating preference to roots and needles under low phosphorus conditions. NSC was allocated as starch in fine roots and as soluble sugar in needles. Seedlings did not show signs of phosphorus limitation, even in the non-phosphorus group. The nitrogen resorption efficiency to phosphorus resorption efficiency ratio (NRE: PRE) of needles significantly varied between the high and low phosphorus treatments. In response to phosphorus deficiency, seedlings demonstrated homeostatic adjustments to maintain the relative stability of nutrient concentration. Fine roots and needles were prioritized to ensure nutrient uptake and photosynthetic product production. Additionally, it was necessary to differentiate the indicative function of nitrogen/phosphorus for various species and components, and NRE: PRE potentially provides a sensitive indicator of nutrient limitation status. Full article
(This article belongs to the Section Forest Ecophysiology and Biology)
Show Figures

Figure 1

14 pages, 9696 KB  
Article
Addition of Exogenous Organic Ameliorants Mediates Soil Bacteriome and Microbial Community Carbon Source Utilization Pattern in Coastal Saline–Alkaline Soil
by Binxian Gu, Tianyang Qin, Meihua Qiu, Jie Yu, Li Zhang and Yunlong Li
Agriculture 2024, 14(1), 44; https://doi.org/10.3390/agriculture14010044 - 26 Dec 2023
Cited by 2 | Viewed by 2116
Abstract
Knowledge regarding how abiotic and biotic environmental factors operate in soil microbiome reassembly remains rudimentary in coastal saline–alkaline soils amended by different organic ameliorants. In this study, field trials were conducted to investigate the impacts and underlying mechanisms of sewage sludge (S) and [...] Read more.
Knowledge regarding how abiotic and biotic environmental factors operate in soil microbiome reassembly remains rudimentary in coastal saline–alkaline soils amended by different organic ameliorants. In this study, field trials were conducted to investigate the impacts and underlying mechanisms of sewage sludge (S) and sludge-based vermicompost (V) at the application amounts of 0, 50, and 100 t ha−1 on soil physicochemical characteristics, carbon source utilization pattern, and bacteriome in coastal saline–alkaline soils. Results revealed that impacts of the organic ameliorants on soil’s physicochemical and microbial attributes were highly dependent upon the carbon types and amounts applied. Unsurprisingly, applying sewage sludge and vermicompost significantly alleviated environmental constraints, such as saline–alkaline stress and nutrient deficiency, with lower pH, salinity, and higher soil organic carbon content observed in organics-amended soils. Specifically, higher microbial substrate metabolic activity, but lower diversity was observed in saline–alkaline soils amended by organic ameliorants. In addition, reassembled bacteriomes harboring distinguishable core and unique community profiles were observed in reclaimed soils as compared to unamended saline–alkaline soil. Procrustes analysis showed that the soil microbial utilization pattern of carbon sources was significantly related to the alterations in their physicochemical property and bacterial core microbiome. Additionally, Redundancy Analysis (RDA) revealed that soil core bacteriome reassembly was dominated by the integrated impacts of soil salinity, successively followed by carbohydrates, amino acids, polymers, pH, soil organic carbon (SOC), and available nitrogen (AN). Overall, this study provides a comprehensive understanding of soil abiotic and biotic determinants in bacteriome assembly in coastal saline–alkaline soil remediation mediated by organic ameliorants. Full article
(This article belongs to the Special Issue Saline–Alkali Land Ecology and Soil Management)
Show Figures

Figure 1

20 pages, 5072 KB  
Article
Diversity, Ecology and Phytogeography of Bryophytes across Temperate Forest Communities—Insight from Mt. Papuk (Croatia, SE Europe)
by Antun Alegro, Vedran Šegota, Anja Rimac and Beáta Papp
Plants 2023, 12(19), 3346; https://doi.org/10.3390/plants12193346 - 22 Sep 2023
Cited by 2 | Viewed by 3235
Abstract
It has been widely documented that the complex structure of forest ecosystems supports considerable bryophyte species and functional diversity. In this study, we assessed the diversity, distribution and ecological and phytogeographical features of bryophytes across a gradient of temperate forest types on Mt. [...] Read more.
It has been widely documented that the complex structure of forest ecosystems supports considerable bryophyte species and functional diversity. In this study, we assessed the diversity, distribution and ecological and phytogeographical features of bryophytes across a gradient of temperate forest types on Mt. Papuk. This is the largest and highest mountain in the lowland, Pannonian part of Croatia, with high geological diversity and various temperate forests covering 95% of the mountain. According to the predominant tree species (oak vs. beech), geological bedrock (calcareous vs. siliceous) and soil reaction (alkaline vs. acidic), 21 study plots were classified into four distinct forest types. In all, 184 bryophyte species (35 liverworts and 149 mosses) were recorded. Although the forest types investigated did not differ significantly with respect to species richness, each was characterized by a considerable number of diagnostic bryophyte species. According to our results, one of the main ecological factors determining the variability of the forest bryophyte composition was geological bedrock and the associated soil reaction. Basiphilous forests developed on carbonate bedrock harbored more thermophilous and nitrophilous bryophytes and were characterized by southern-temperate and Mediterranean–Atlantic biogeographic elements. In contrast, acidophilous forests growing on silicate bedrock were characterized by wide-boreal and boreo-arctic–montane elements, i.e., bryophytes indicating cooler habitats and nitrogen-deficient soils. Based on the results, we hypothesized that the main latitudinal biogeographic distinction between southern and northern biogeographic elements is driven more by geological substrate than by the main tree species in forest communities. The present study confirmed previous findings that bryophytes are good and specific habitat indicators and show associations with different forest types, which can help to understand the complexity, ecological microconditions and biogeographic characteristics of forest communities. Full article
(This article belongs to the Section Plant Ecology)
Show Figures

Figure 1

17 pages, 1727 KB  
Article
Soil Characteristics and Fertility of the Unique Jarrah Forest of Southwestern Australia, with Particular Consideration of Plant Nutrition and Land Rehabilitation
by Amin Soltangheisi, Suman George and Mark Tibbett
Land 2023, 12(6), 1236; https://doi.org/10.3390/land12061236 - 16 Jun 2023
Cited by 4 | Viewed by 4942
Abstract
The jarrah forest is a natural ecosystem with significant endemism in the flora and fauna. The forest stands on the western edge of the ancient Great Plateau of Western Australia on the granitic shield of the Yilgarn craton (2.5 Gya). The long-term migration [...] Read more.
The jarrah forest is a natural ecosystem with significant endemism in the flora and fauna. The forest stands on the western edge of the ancient Great Plateau of Western Australia on the granitic shield of the Yilgarn craton (2.5 Gya). The long-term migration of soluble iron and aluminium led to the formation of bauxite ore. The regolith ore is bound by surficial topsoil and deep pallid zone kaolinite clays, primarily used in land rehabilitation. We investigated the chemical fertility of the substrates, along with key physical properties. We found the capacity of these soils to provide a stable growth medium differed considerably in their ability to retain and supply nutrients. These substrates are deficient in nitrogen, phosphorus, and micronutrients. In the topsoil, 15% of total P is plant-available, while in the pallid zone layer, only 1% of total P is available. 31P-NMR showed no organic P in the pallid zone, whereas the topsoil had significant organic P and, consequently, a supply of phosphate ions. This shows the importance of organic P in the topsoil for ecosystem nutrition when inorganic fertilisers are not applied in state-of-the-art restoration schemes. Full article
Show Figures

Figure 1

Back to TopTop