Influence of Long-Term Fertilization on Carbon, Nitrogen, and Phosphorus Allocation and Homeostasis in Cotton Under the Regulation of Phosphorus Availability
Abstract
1. Introduction
2. Materials and Methods
3. Results
3.1. Effects of Different Fertilization Practices on Soil Carbon, Nitrogen and Phosphorus
3.2. Characteristics of Carbon, Nitrogen and Phosphorus Accumulation in Cotton Under Different Fertilization Measures
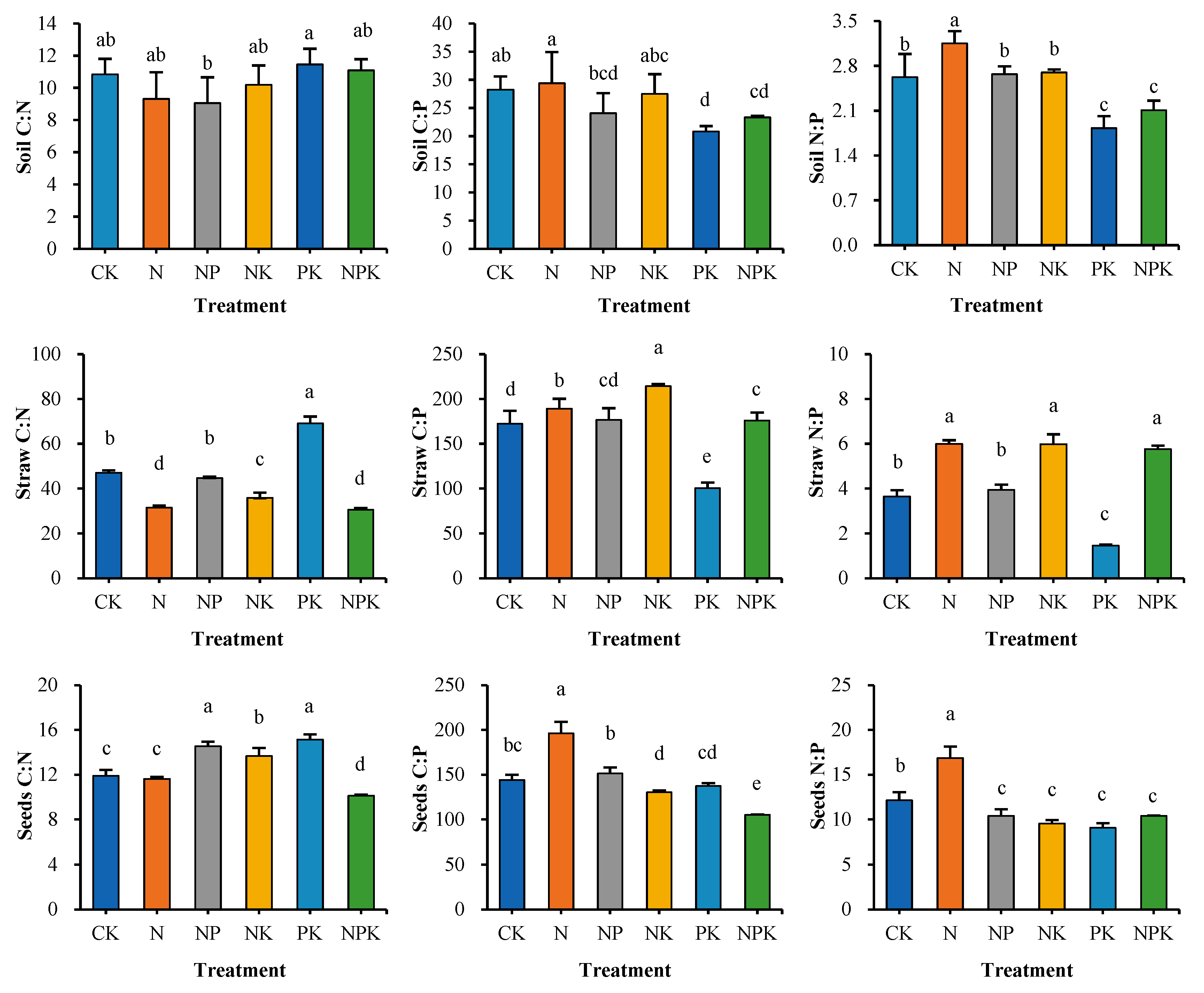
3.3. Changes in Soil Carbon, Nitrogen and Phosphorus Stoichiometric Ratios
3.4. Characteristics of Soil–Cotton Internal Stability After Long-Term Fertilization
3.5. Characterization of Ecological Stoichiometric Correlations of Carbon, Nitrogen and Phosphorus in Soil–Cotton Systems
4. Discussion
4.1. On-Farm Fertilization Regimes Drive Changes in Soil–Crop Carbon, Nitrogen and Phosphorus Stoichiometry
4.2. Association of Plant Tissue N:P Ratios with Soil Nutrient Limitation
4.3. Characterization of Cotton Internal Stability and Its Relation to Nutrient Availability, Growth Requirements and Elemental Limitation
5. Conclusions
Author Contributions
Funding
Data Availability Statement
Conflicts of Interest
References
- Sterner, R.W.; Elser, J.J. Ecological Stoichiometry: The Biology of Elements from Molecules to the Biosphere; Princeton University Press: Princeton, NJ, USA, 2003; ISBN 978-1-4008-8569-5. [Google Scholar]
- Zeng, D.; Chen, G. Ecological stoichiometry: A science to explore the complexity of living systems. Acta Phytoecol. Sin. 2005, 29, 1007. [Google Scholar] [CrossRef]
- Wang, S.; Yu, G. Ecological stoichiometry characteristics of ecosystem carbon, nitrogen and phosphorus elements. Acta Ecol. Sin. 2008, 28, 3937–3947. [Google Scholar]
- Michaels, A.F. The Ratios of Life. Science 2003, 300, 906–907. [Google Scholar] [CrossRef]
- Hessen, D.O.; Elser, J.J.; Sterner, R.W.; Urabe, J. Ecological Stoichiometry: An Elementary Approach Using Basic Principles. Limnol. Oceanogr. 2013, 58, 2219–2236. [Google Scholar] [CrossRef]
- Mao, R.; Chen, H.M.; Zhang, X.H.; Shi, F.X.; Song, C.C. Effects of P Addition on Plant C:N:P Stoichiometry in an N-Limited Temperate Wetland of Northeast China. Sci. Total Environ. 2016, 559, 1–6. [Google Scholar] [CrossRef]
- Minden, V.; Kleyer, M. Internal and External Regulation of Plant Organ Stoichiometry. Plant Biol. J. 2014, 16, 897–907. [Google Scholar] [CrossRef]
- Qaswar, M.; Ahmed, W.; Jing, H.; Hongzhu, F.; Xiaojun, S.; Xianjun, J.; Kailou, L.; Yongmei, X.; Zhongqun, H.; Asghar, W.; et al. Soil Carbon (C), Nitrogen (N) and Phosphorus (P) Stoichiometry Drives Phosphorus Lability in Paddy Soil under Long-Term Fertilization: A Fractionation and Path Analysis Study. PLoS ONE 2019, 14, e0218195. [Google Scholar] [CrossRef] [PubMed]
- Aerts, R.; Chapin, F.S., III. The Mineral Nutrition of Wild Plants Revisited: A Re-Evaluation of Processes and Patterns. In Advances in Ecological Research; Elsevier: Amsterdam, The Netherlands, 1999; Volume 30, pp. 1–67. ISBN 978-0-12-013930-9. [Google Scholar]
- Zeng, D.; Jiang, L.; Zeng, C.; Wang, W.; Wang, C. Reviews on the Ecological Stoichiometry Characteristics and Its Applications. Acta Ecol. Sin. 2013, 33, 5484–5492. [Google Scholar] [CrossRef]
- Du, E.; Terrer, C.; Pellegrini, A.F.A.; Ahlström, A.; van Lissa, C.J.; Zhao, X.; Xia, N.; Wu, X.; Jackson, R.B. Global Patterns of Terrestrial Nitrogen and Phosphorus Limitation. Nat. Geosci. 2020, 13, 221–226. [Google Scholar] [CrossRef]
- Sullivan, B.W.; Alvarez-Clare, S.; Castle, S.C.; Porder, S.; Reed, S.C.; Schreeg, L.; Townsend, A.R.; Cleveland, C.C. Assessing Nutrient Limitation in Complex Forested Ecosystems: Alternatives to Large-scale Fertilization Experiments. Ecology 2014, 95, 668–681. [Google Scholar] [CrossRef]
- Zheng, S.; Xia, Y.; Hu, Y.; Chen, X.; Rui, Y.; Gunina, A.; He, X.; Ge, T.; Wu, J.; Su, Y.; et al. Stoichiometry of Carbon, Nitrogen, and Phosphorus in Soil: Effects of Agricultural Land Use and Climate at a Continental Scale. Soil Tillage Res. 2021, 209, 104903. [Google Scholar] [CrossRef]
- Koerselman, W.; Meuleman, A.F.M. The Vegetation N:P Ratio: A New Tool to Detect the Nature of Nutrient Limitation. J. Appl. Ecol. 1996, 33, 1441–1450. [Google Scholar] [CrossRef]
- Güsewell, S.; Bollens, U. Composition of Plant Species Mixtures Grown at Various N:P Ratios and Levels of Nutrient Supply. Basic Appl. Ecol. 2003, 4, 453–466. [Google Scholar] [CrossRef]
- Zhang, L.; Bai, Y.; Han, X. Differential Responses of N:P Stoichiometry of Leymus Chinensis and Carex Korshinskyi to N Additions in a Steppe Ecosystem in Nei Mongol. Acta Bot. Sin. 2004, 46, 259–270. [Google Scholar] [CrossRef]
- Hessen, D.O.; Ågren, G.I.; Anderson, T.R.; Elser, J.J.; de Ruiter, P.C. Carbon Sequestration in Ecosystems: The Role of Stoichiometry. Ecology 2004, 85, 1179–1192. [Google Scholar] [CrossRef]
- Elser, J.J.; Fagan, W.F.; Kerkhoff, A.J.; Swenson, N.G.; Enquist, B.J. Biological Stoichiometry of Plant Production: Metabolism, Scaling and Ecological Response to Global Change. New Phytol. 2010, 186, 593–608. [Google Scholar] [CrossRef]
- Jeyasingh, P.D.; Weider, L.J.; Sterner, R.W. Genetically-based Trade-offs in Response to Stoichiometric Food Quality Influence Competition in a Keystone Aquatic Herbivore. Ecol. Lett. 2009, 12, 1229–1237. [Google Scholar] [CrossRef]
- Güsewell, S. N:P Ratios in Terrestrial Plants: Variation and Functional Significance. New Phytol. 2004, 164, 243–266. [Google Scholar] [CrossRef] [PubMed]
- Limpens, J.; Berendse, F. Growth Reduction of Sphagnum Magellanicum Subjected to High Nitrogen Deposition: The Role of Amino Acid Nitrogen Concentration. Oecologia 2003, 135, 339–345. [Google Scholar] [CrossRef]
- Yu, Q.; Elser, J.J.; He, N.; Wu, H.; Chen, Q.; Zhang, G.; Han, X. Stoichiometric Homeostasis of Vascular Plants in the Inner Mongolia Grassland. Oecologia 2011, 166, 1–10. [Google Scholar] [CrossRef]
- Bai, Y.; Wu, J.; Clark, C.M.; Naeem, S.; Pan, Q.; Huang, J.; Zhang, L.; Han, X. Tradeoffs and Thresholds in the Effects of Nitrogen Addition on Biodiversity and Ecosystem Functioning: Evidence from Inner Mongolia Grasslands. Glob. Change Biol. 2010, 16, 358–372. [Google Scholar] [CrossRef]
- Chen, Y.; Li, Y.; Duan, Y.; Wang, L.; Wang, X.; Yao, C.; Chen, Y.; Cao, W.; Niu, Y. Patterns and Driving Factors of Soil Ecological Stoichiometry in Typical Ecologically Fragile Areas of China. CATENA 2022, 219, 106628. [Google Scholar] [CrossRef]
- Bindraban, P.S.; Dimkpa, C.; Nagarajan, L.; Roy, A.; Rabbinge, R. Revisiting Fertilisers and Fertilisation Strategies for Improved Nutrient Uptake by Plants. Biol. Fertil Soils 2015, 51, 897–911. [Google Scholar] [CrossRef]
- Bedford, B.L.; Walbridge, M.R.; Aldous, A. Patterns in Nutrient Availability and Plant Diversity of Temperate North American Wetlands. Ecology 1999, 80, 2151–2169. [Google Scholar] [CrossRef]
- Bao, S. Soil and Agricultural Chemical Analysis, 3rd ed.; China Agriculture Press: Beijing, China, 2000; ISBN 978-7-109-06644-1. [Google Scholar]
- Persson, J.; Fink, P.; Goto, A.; Hood, J.M.; Jonas, J.; Kato, S. To Be or Not to Be What You Eat: Regulation of Stoichiometric Homeostasis among Autotrophs and Heterotrophs. Oikos 2010, 119, 741–751. [Google Scholar] [CrossRef]
- Peng, Y.; Wu, J.; Cai, L.; Qi, P.; Zhang, R.; Luo, Z. Effects of no-tillage and straw mulching on carbon, nitrogen, and phosphorus ecological stoichiometry in spring wheat and soil. Chin. J. Ecol. 2021, 40, 1062–1072. [Google Scholar] [CrossRef]
- Makino, W.; Cotner, J.B.; Sterner, R.W.; Elser, J.J. Are Bacteria More like Plants or Animals? Growth Rate and Resource Dependence of Bacterial C:N:P Stoichiometry. Funct. Ecol. 2003, 17, 121–130. [Google Scholar] [CrossRef]
- Xing, W.; Wu, H.; Shi, Q.; Hao, B.; Liu, H.; Wang, Z.; Liu, G. Multielement Stoichiometry of Submerged Macrophytes across Yunnan Plateau Lakes (China). Sci. Rep. 2015, 5, 10186. [Google Scholar] [CrossRef]
- Gabarrón, M.; Faz, A.; Acosta, J.A. Use of Multivariable and Redundancy Analysis to Assess the Behavior of Metals and Arsenic in Urban Soil and Road Dust Affected by Metallic Mining as a Base for Risk Assessment. J. Environ. Manag. 2018, 206, 192–201. [Google Scholar] [CrossRef]
- Xu, S.; Sardans, J.; Zhang, J.; Peuelas, J. Variations in Foliar Carbon∶nitrogen and Nitrogen∶phosphorus Ratios under Global Change: A Meta-Analysis of Experimental Field Studies. Sci. Rep. 2020, 10, 12156. [Google Scholar] [CrossRef] [PubMed]
- Yuan, Z.Y.; Chen, H.Y.H. Decoupling of Nitrogen and Phosphorus in Terrestrial Plants Associated with Global Changes. Nat. Clim. Change 2015, 5, 465–469. [Google Scholar] [CrossRef]
- Vitousek, P.M.; Porder, S.; Houlton, B.Z.; Chadwick, O.A. Terrestrial Phosphorus Limitation: Mechanisms, Implications, and Nitrogen–Phosphorus Interactions. Ecol. Appl. 2010, 20, 5–15. [Google Scholar] [CrossRef]
- Batjes, N.H. Total Carbon and Nitrogen in the Soils of the World. Eur. J. Soil Sci. 2014, 65, 10–21. [Google Scholar] [CrossRef]
- González-Alcaraz, M.N.; Egea, C.; Jiménez-Cárceles, F.J.; Párraga, I.; María-Cervantes, A.; Delgado, M.J.; Álvarez-Rogel, J. Storage of Organic Carbon, Nitrogen and Phosphorus in the Soil-Plant System of Phragmites Australis Stands from a Eutrophicated Mediterranean Salt Marsh. Geoderma 2012, 185–186, 61–72. [Google Scholar] [CrossRef]
- Luo, Y.; Gong, L.; Zhu, M.; An, S. Stoichiometry characteristics of leaves and soil of four shrubs in the upper reaches of the Tarim River Desert. Acta Ecol. Sin. 2017, 37, 8326–8335. [Google Scholar] [CrossRef]
- Wassen, M.J.; Olde Venterink, H.G.M.; De Swart, E.O.A.M. Nutrient Concentrations in Mire Vegetation as a Measure of Nutrient Limitation in Mire Ecosystems. J. Veg. Sci. 1995, 6, 5–16. [Google Scholar] [CrossRef]
- Dibar, D.T.; Zhang, K.; Yuan, S.; Zhang, J.; Zhou, Z.; Ye, X. Ecological Stoichiometric Characteristics of Carbon (C), Nitrogen (N) and Phosphorus (P) in Leaf, Root, Stem, and Soil in Four Wetland Plants Communities in Shengjin Lake, China. PLoS ONE 2020, 15, e0230089. [Google Scholar] [CrossRef]
- Davide, F.; Elke, S.; Guillaume, L.; Tesfaye, W.; Francois, B.; Thomas, R. Mineral vs. Organic Amendments: Microbial Community Structure, Activity and Abundance of Agriculturally Relevant Microbes Are Driven by Long-Term Fertilization Strategies. Front. Microbiol. 2016, 7, 1446. [Google Scholar] [CrossRef]
- Xie, H.; Yu, M.; Cheng, X. Leaf Non-Structural Carbohydrate Allocation and C:N:P Stoichiometry in Response to Light Acclimation in Seedlings of Two Subtropical Shade-Tolerant Tree Species. Plant Physiol. Biochem. 2018, 124, 146–154. [Google Scholar] [CrossRef]
- Ghimire, R.; Khanal, B.R. Soil Organic Matter Dynamics in Semiarid Agroecosystems Transitioning to Dryland. PeerJ 2020, 8, e10199. [Google Scholar] [CrossRef]
- Zhang, H.; Niu, L.; Hu, K.; Hao, J.; Li, F.; Wang, X.; Chen, H. Long-term Effects of Nitrogen and Phosphorus Fertilization on Soil Aggregate Stability and Aggregate-associated Carbon and Nitrogen in the North China Plain. Soil Sci. Soc. Amer. J. 2021, 85, 732–745. [Google Scholar] [CrossRef]
- Han, S.W.; Luo, Q.; Qin, Z.H.; Liu, W.S.; Li, H.R.; Lal, R.; Dang, Y.P.; Smith, P.; Zhao, X.; Zhang, H.L. Aridity Drives the Response of Soil Organic Carbon and Inorganic Carbon to Drought in Cropland. Glob Change Biol. 2025, 31, e70622. [Google Scholar] [CrossRef]
- Naasko, K.I.; Naylor, D.; Graham, E.B.; Couvillion, S.P.; Danczak, R.; Tolic, N.; Nicora, C.; Fransen, S.; Tao, H.; Hofmockel, K.S.; et al. Influence of Soil Depth, Irrigation, and Plant Genotype on the Soil Microbiome, Metaphenome, and Carbon Chemistry. mBio 2023, 14, e01758-23. [Google Scholar] [CrossRef] [PubMed]
- Yang, X.; Zhong, Y.; Liu, K.; Li, D.; Yang, T.; Liu, W.; Huang, Y.; Jin, H. Fertility changes and comprehensive quality evaluation of dryland red soil under different long-term fertilization patterns. Chin. J. Appl. Ecol. 2025, 36, 3007–3016. [Google Scholar] [CrossRef]
- Liu, J.; Zhou, J.; Sun, M.; Zhu, M.; Zhao, Y.; Xu, J.; Chen, T.; Shakouri, M.; Zheng, L.; Sui, P.; et al. Iron-Tuned Depth-Dependent P Transformation on Calcium Carbonate Coprecipitates: The Impact of Fe and P Loadings. Environ. Sci. Technol. 2025, 59, 15151–15158. [Google Scholar] [CrossRef]
- Göran, I. Ågren Stoichiometry and Nutrition of Plant Growth in Natural Communities. Annu. Rev. Ecol. Evol. Syst. 2008, 39, 153–170. [Google Scholar] [CrossRef]
- Craine, J.M.; Morrow, C.; Stock, W.D. Nutrient Concentration Ratios and Co-limitation in South African Grasslands. New Phytol. 2008, 179, 829–836. [Google Scholar] [CrossRef]
- Drenovsky, R.E.; Richards, J.H. Critical N:P Values: Predicting Nutrient Deficiencies in Desert Shrublands. Plant Soil 2004, 259, 59–69. [Google Scholar] [CrossRef]
- Tian, D.; Yan, Z.; Fang, J. Review on characteristics and main hypotheses of plant ecological stoichiometry. Chin. J. Plant Ecol. 2021, 45, 682–713. [Google Scholar] [CrossRef]
- Wei-Ping, Z.; Dario, F.; Guang-Cai, L.; Josep, P.; Jordi, S.; Jian-Hao, S.; Li-Zhen, Z.; Long, L. Interspecific Interactions Affect N and P Uptake Rather than N:P Ratios of Plant Species: Evidence from Intercropping. J. Plant Ecol. 2022, 15, 223–236. [Google Scholar] [CrossRef]
- Han, W.; Tang, L.; Chen, Y.; Fang, J. Relationship between the Relative Limitation and Resorption Efficiency of Nitrogen vs Phosphorus in Woody Plants. PLoS ONE 2013, 8, e83366. [Google Scholar] [CrossRef]
- Yan, Z.; Tian, D.; Han, W.; Tang, Z.; Fang, J. An Assessment on the Uncertainty of the Nitrogen to Phosphorus Ratio as a Threshold for Nutrient Limitation in Plants. Ann. Bot. 2017, 120, 937–942. [Google Scholar] [CrossRef]
- Zhang, T.; Liu, W.; Huang, J.; Hu, T.; Tang, D.; Chen, Q. Characteristics of plant ecological stoichiometry homeostasis. Guihaia 2019, 39, 701–712. [Google Scholar] [CrossRef]
- Leal, M.C.; Seehausen, O.; Matthews, B. The Ecology and Evolution of Stoichiometric Phenotypes. Trends Ecol. Evol. 2017, 32, 108–117. [Google Scholar] [CrossRef]
- Yu, Q.; Chen, Q.; Elser, J.J.; He, N.; Wu, H.; Zhang, G.; Wu, J.; Bai, Y.; Han, X. Linking Stoichiometric Homoeostasis with Ecosystem Structure, Functioning and Stability. Ecol. Lett. 2010, 13, 1390–1399. [Google Scholar] [CrossRef] [PubMed]
- Wang, M.; Larmola, T.; Murphy, M.T.; Moore, T.R.; Bubier, J.L. Stoichiometric Response of Shrubs and Mosses to Long-Term Nutrient (N, P and K) Addition in an Ombrotrophic Peatland. Plant Soil 2016, 400, 403–416. [Google Scholar] [CrossRef]
- Ding, D.; Arif, M.; Liu, M.; Li, J.; Hu, X.; Geng, Q.; Yin, F.; Li, C. Plant-Soil Interactions and C:N:P Stoichiometric Homeostasis of Plant Organs in Riparian Plantation. Front. Plant Sci. 2022, 13, 979023. [Google Scholar] [CrossRef] [PubMed]
- Luo, Y. Charateristics Ecological Stoichiometry of Oasis Farmland Ecosystem in the Northern Marigin of Tarim Basin. Master’s Thesis, Xinjiang University, Ürümqi, China, 2018. [Google Scholar]
- Zhu, X.; Wang, Z.; Zhang, C.; Wang, Y.; Wang, X.; Yu, H.; Sheng, J. Effects of combined applications of nitrogen, phosphorus and potassium fertilizers on cotton nutrient absorption, yield and fertilizer utilization efficiency. Chin. J. Soil Sci. 2024, 55, 121–129. [Google Scholar] [CrossRef]
- Zhu, Z.; Chen, L.; Yang, G.; Song, X.; Wang, D.; Chen, Q.; Bataung, M. Study progress on dry matter and nutrient accumulation distribution of China cotton. Jiangxi Cotton 2011, 33, 7–9+19. [Google Scholar] [CrossRef]







| Soil Physical and Chemical Properties | Value |
|---|---|
| Soil organic carbon (SOC, g kg−1) | 8.81 |
| Soil total nitrogen (STN, g kg−1) | 0.868 |
| Soil total phosphorus (STP, g kg−1) | 0.667 |
| Soil total potassium (STK, g kg−1) | 23.0 |
| Alkaline hydrolyzable nitrogen (AN, mg kg−1) | 55.2 |
| Available phosphorus (AP, mg kg−1) | 3.4 |
| Available potassium (AK, mg kg−1) | 288 |
| Slow-acting potassium (SAK, mg kg−1) | 1764 |
| pH (soil to water ratio = 1:2.5) | 8.1 |
| Cation exchange capacity (CEC, cmol(+) kg−1) | 16.2 |
| Bulk density (BD, g cm−3) | 1.25 |
| Treatment | 1990–1994 (kg ha−1) | Post-1995 (kg ha−1) | ||||
|---|---|---|---|---|---|---|
| N | P | K | N | P | K | |
| CK | 0 | 0 | 0 | 0 | 0 | 0 |
| N | 99.4 | 0 | 0 | 241.5 | 0 | 0 |
| NK | 99.4 | 0 | 19.2 | 241.5 | 0 | 51.4 |
| NP | 99.4 | 29.2 | 0.0 | 241.5 | 60.3 | 0 |
| PK | 0 | 29.2 | 19.2 | 0 | 60.3 | 51.4 |
| NPK | 99.4 | 29.2 | 19.2 | 241.5 | 60.3 | 51.4 |
| Parameters | Stoichiometric | ||||||
|---|---|---|---|---|---|---|---|
| C | N | P | C:N | C:P | N:P | ||
| Seed–Soil | Fitting equation | y = 978.32x−0.399 | y = 33.81x0.124 | y = 6.26x0.677 | y = 35.53x−0.422 | y = 10.54x0.804 | y = 10.48x0.827 |
| R2 | 0.53 | 0.01 | 0.39 | 0.03 | 0.27 | 0.52 | |
| Homeostasis coefficient (1/H) | −0.40 | 0.12 | 0.68 | 0.42 | 0.80 | 0.83 | |
| Straw–Soil | Fitting equation | y = 1268.30x−0.564 | y = 12.40x1.454 | y = 4.35x0.579 | y = 0.42x1.888 | y = 1.20x1.526 | y = 0.69x1.945 |
| R2 | 0.92 | 0.45 | 0.11 | 0.17 | 0.60 | 0.49 | |
| Homeostasis coefficient (1/H) | −0.64 | 1.45 | 0.58 | 1.89 | 1.53 | 1.95 | |
Disclaimer/Publisher’s Note: The statements, opinions and data contained in all publications are solely those of the individual author(s) and contributor(s) and not of MDPI and/or the editor(s). MDPI and/or the editor(s) disclaim responsibility for any injury to people or property resulting from any ideas, methods, instructions or products referred to in the content. |
© 2025 by the authors. Licensee MDPI, Basel, Switzerland. This article is an open access article distributed under the terms and conditions of the Creative Commons Attribution (CC BY) license (https://creativecommons.org/licenses/by/4.0/).
Share and Cite
Wang, X.; Yang, J.; Liu, H.; Qu, X.; Xu, W. Influence of Long-Term Fertilization on Carbon, Nitrogen, and Phosphorus Allocation and Homeostasis in Cotton Under the Regulation of Phosphorus Availability. Agronomy 2025, 15, 2886. https://doi.org/10.3390/agronomy15122886
Wang X, Yang J, Liu H, Qu X, Xu W. Influence of Long-Term Fertilization on Carbon, Nitrogen, and Phosphorus Allocation and Homeostasis in Cotton Under the Regulation of Phosphorus Availability. Agronomy. 2025; 15(12):2886. https://doi.org/10.3390/agronomy15122886
Chicago/Turabian StyleWang, Xihe, Jinyu Yang, Hua Liu, Xiaohui Qu, and Wanli Xu. 2025. "Influence of Long-Term Fertilization on Carbon, Nitrogen, and Phosphorus Allocation and Homeostasis in Cotton Under the Regulation of Phosphorus Availability" Agronomy 15, no. 12: 2886. https://doi.org/10.3390/agronomy15122886
APA StyleWang, X., Yang, J., Liu, H., Qu, X., & Xu, W. (2025). Influence of Long-Term Fertilization on Carbon, Nitrogen, and Phosphorus Allocation and Homeostasis in Cotton Under the Regulation of Phosphorus Availability. Agronomy, 15(12), 2886. https://doi.org/10.3390/agronomy15122886
