You are currently viewing a new version of our website. To view the old version click .
Agronomy
  • This is an early access version, the complete PDF, HTML, and XML versions will be available soon.
  • Article
  • Open Access

15 December 2025

Identification of the Chalcone Synthase Gene Family: Revealing the Molecular Basis for Floral Colour Variation in Wild Aquilegia oxysepala in Northeast China

,
,
,
,
,
and
College of Horticulture, Jilin Agricultural University, Changchun 130118, China
*
Authors to whom correspondence should be addressed.
These authors contributed equally to this work.
This article belongs to the Section Horticultural and Floricultural Crops

Abstract

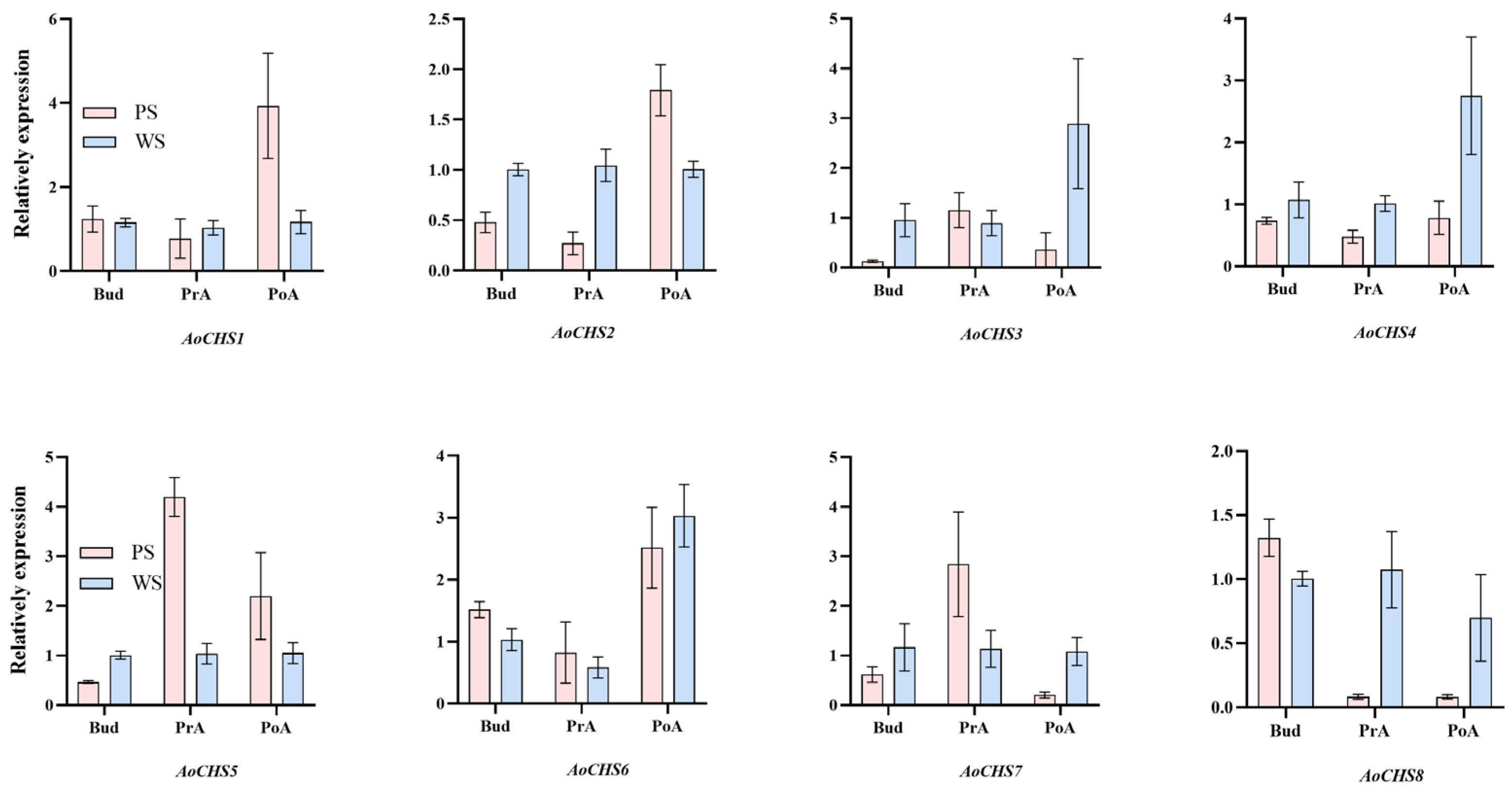
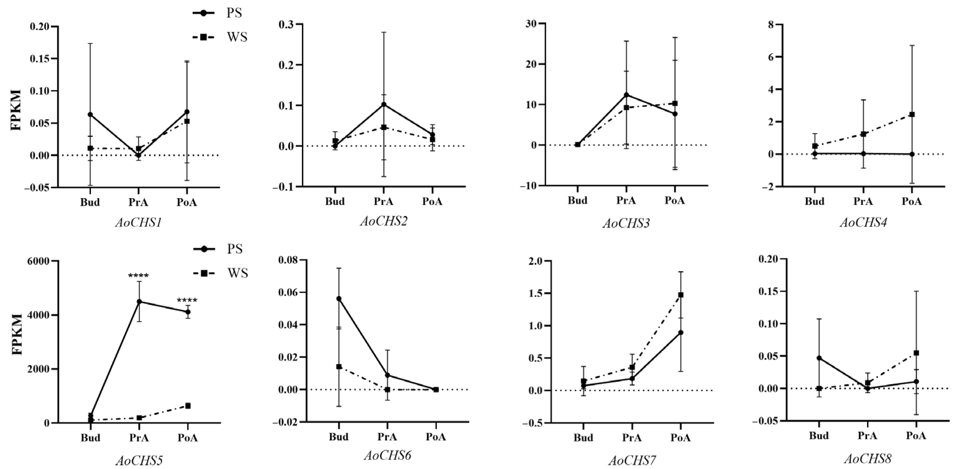
Aquilegia (Ranunculaceae), a genus of perennial herbs characterized by elegant leaves and unique flowers, exhibits promising application prospects in Northeast China. Chalcone synthase participates in the first enzymatic reaction of the anthocyanin biosynthesis pathway and plays a crucial role in flower color formation. In the present study, eight AoCHSs were identified and a comprehensive analysis of AoCHSs was then carried out, considering physical and chemical properties, conservative motifs, phylogenetic relationships, and cis-acting elements. The expression patterns of the AoCHSs were analyzed based on the transcriptome of A. oxysepala, which differs in sepal color between two species, to identify the candidate genes involved in flower color variation. AoCHS2/3/5 expression levels were found to be upregulated at PrA stage in A. oxysepala with dark purple sepals, while remaining consistently low in the pale-yellow species. Combining KEGG annotations and expression patterns, AoCHS5 was identified as a key gene for anthocyanin biosynthesis in Aquilegia that could play a role in the variation in flower color. The results of correlation network analysis showed that AoCHS5 was highly associated with MYB, bHLH, and WRKY. These results provided genetic resources for accelerating the molecular breeding of innovative Aquilegia flower colors.

Article Metrics

Citations

Article Access Statistics

Multiple requests from the same IP address are counted as one view.