Light Supplementation and Nicotinamide Influence the Growth and Pigment Production of Tropical Hydroponic Green Fodder
Abstract
1. Introduction
2. Material and Methods
2.1. Experimental Characterization
2.2. Experimental Design
2.3. Plant Material and Management
2.4. Evaluations Performed
2.4.1. Absolute Spectrum
2.4.2. Growth and Production Assessment
2.4.3. Leaf Pigments
2.5. Statistical Analysis
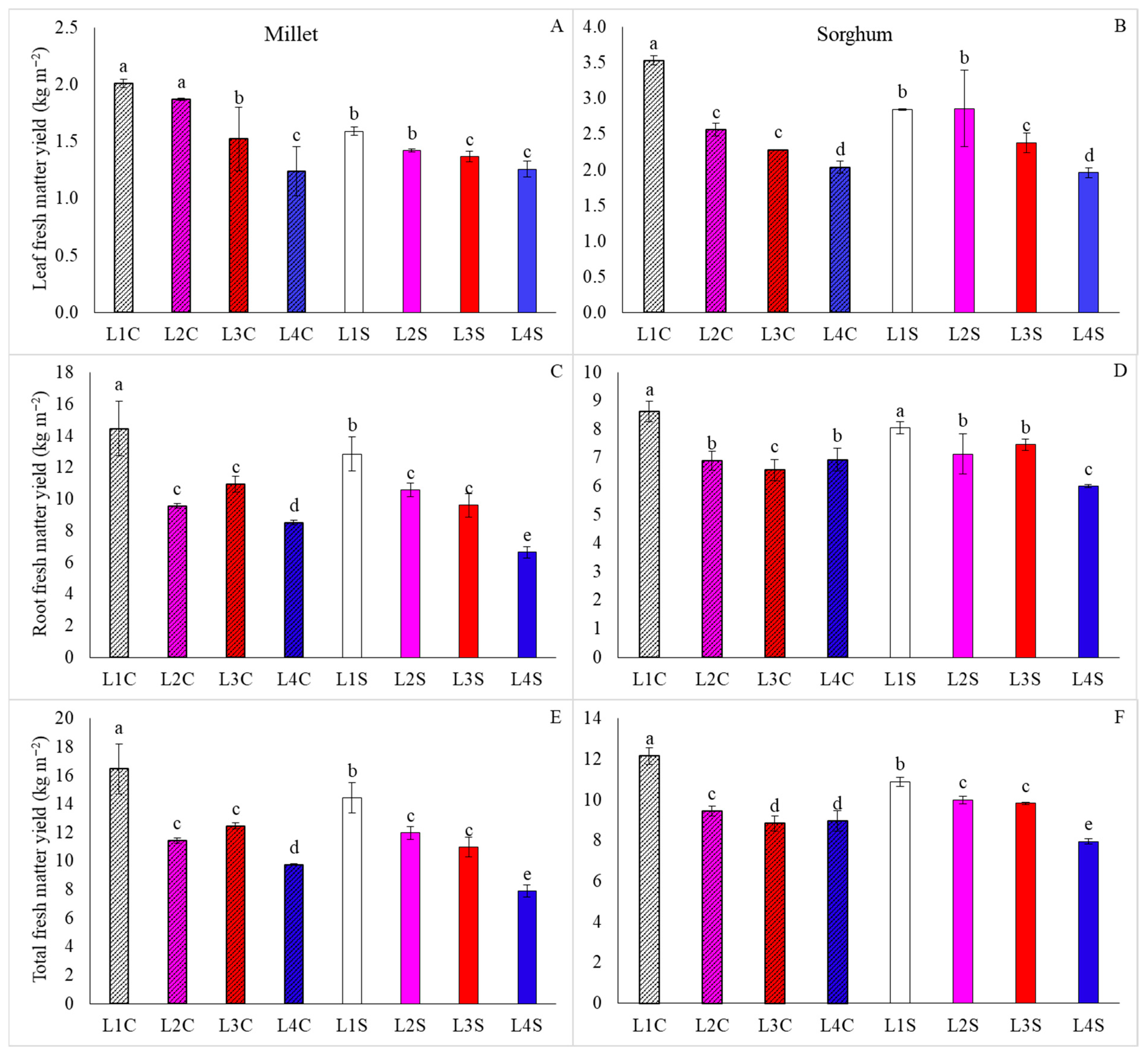
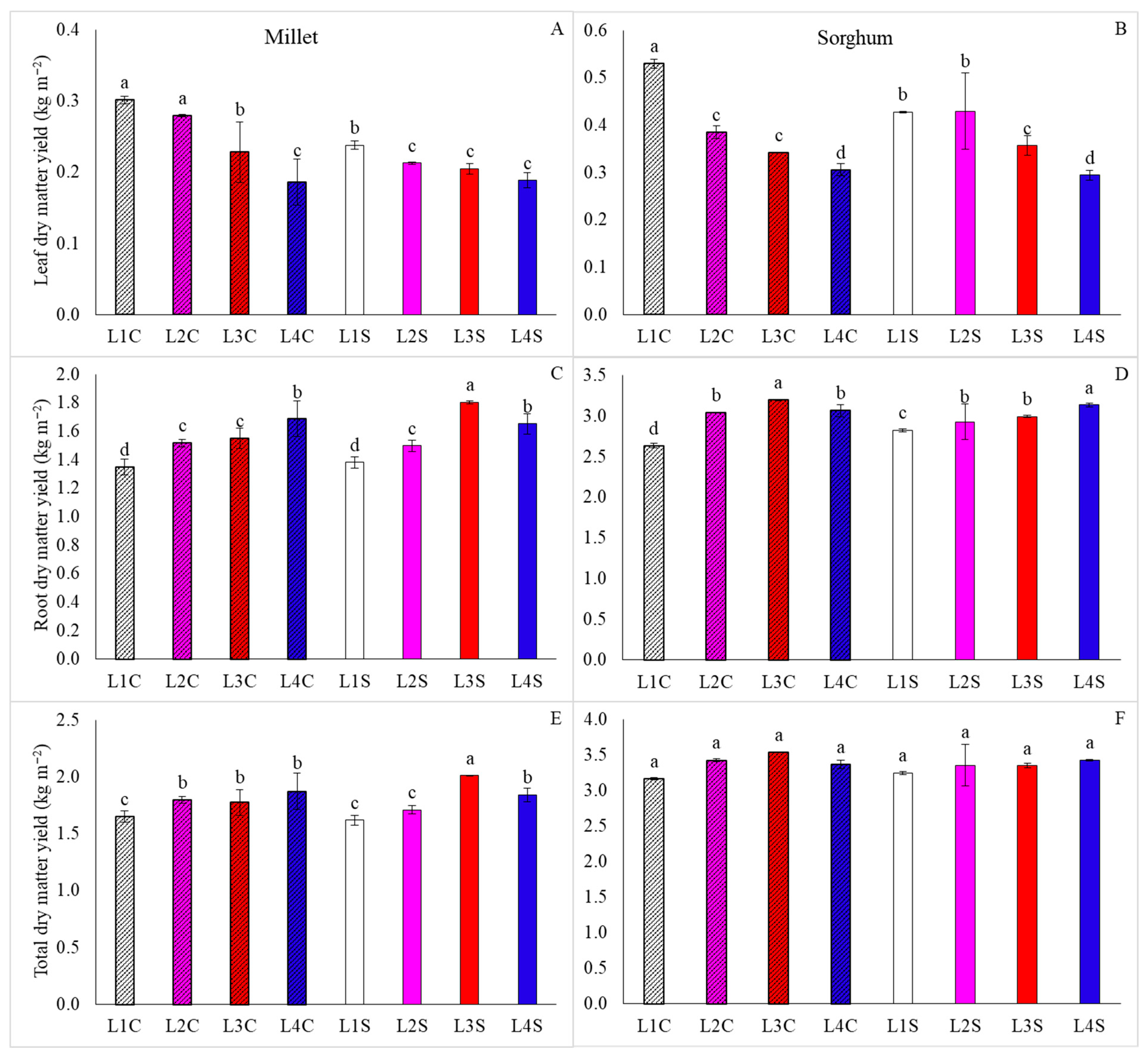
3. Results
4. Discussion
4.1. Light Supplementation
4.2. Exogenous Nicotinamide Application
5. Conclusions
Author Contributions
Funding
Data Availability Statement
Acknowledgments
Conflicts of Interest
References
- Bouadila, S.; Baddadi, S.; Skouri, S.; Ayed, R. Assessing heating and cooling needs of hydroponic sheltered system in mediterranean climate: A case study sustainable fodder production. Energy 2022, 261, 125274. [Google Scholar] [CrossRef]
- Ghasemi-Mobtaker, H.; Sharifi, M.; Taherzadeh-Shalmaei, N.; Afrasiabi, S. A new method for green forage production: Energy use efficiency and environmental sustainability. J. Clean Prod. 2022, 363, 132562. [Google Scholar] [CrossRef]
- Kumar, R.; Mathur, M.; Karnani, M.; Dutt Choudhary, S.; Jain, D. Hydroponics: An alternative to cultivated green fodder: A review. J. Entomol. Zool. Stud. 2018, 6, 791–795. [Google Scholar]
- Naik, P.K.; Swain, B.K.; Singh, N.P. Production and utilization of hydroponics fodder. Indian J. Anim. Nutr. 2015, 32, 1–9. [Google Scholar]
- Fuentes-Peñailillo, F.; Gutter, K.; Vega, R.; Silva, G.C. New Generation Sustainable Technologies for Soilless Vegetable Production. Horticulturae 2024, 10, 49. [Google Scholar] [CrossRef]
- Ahamed, M.S.; Sultan, M.; Shamshiri, R.R.; Rahman, M.M.; Aleem, M.; Balasundram, S.K. Present status and challenges of fodder production in controlled environments: A review. Smart Agric. Technol. 2023, 3, 100080. [Google Scholar] [CrossRef]
- Batista, D.S.; Felipe, S.H.S.; Silva, T.D.; Castro, K.M.; Mamedes-Rodrigues, T.C.; Miranda, N.A.; Rios-Rios, A.M.; Faria, D.V.; Fortini, E.A.; Chagas, K.; et al. Light quality in plant tissue culture: Does it matter? Vitro Cell Dev. Biol. Plant. 2018, 54, 195–215. [Google Scholar] [CrossRef]
- Fan, C.; Manivannan, A.; Wei, H. Light Quality-Mediated Influence of Morphogenesis in Micropropagated Horticultural Crops: A Comprehensive Overview. Biomed. Res. Int. 2022, 2022, 4615079. [Google Scholar] [CrossRef]
- Alrifai, O.; Hao, X.; Liu, R.; Lu, Z.; Marcone, M.F.; Tsao, R. LED-Induced Carotenoid Synthesis and Related Gene Expression in Brassica Microgreens. J. Agric. Food Chem. 2021, 69, 4674–4685. [Google Scholar] [CrossRef]
- Jones-Baumgardt, C.; Llewellyn, D.; Zheng, Y. Different Microgreen Genotypes Have Unique Growth and Yield Responses to Intensity of Supplemental PAR from Light-emitting Diodes during Winter Greenhouse Production in Southern Ontario, Canada. HortScience 2020, 55, 156–163. [Google Scholar] [CrossRef]
- Lima, S.F.; Vendruscolo, E.P.; Alves, V.C.D.; Arguelho, J.C.; Pião, J.A.; de Seron, C.; Martins, M.B.; Witt, T.W.; Serafim, G.M.; Contardi, L.M. Nicotinamide as a biostimulant improves soybean growth and yield. Open Agric. 2024, 9, 20220259. [Google Scholar] [CrossRef]
- Vendruscolo, E.P.; Silva Filho, M.X.; Costa, A.C.; Bortolheiro, F.P.A.; Serafim, G.M.; Lima, S.F.; Seron, C.C.; Martins, M.B.; Dantas Alves, V.C. Vitamins can ameliorate the effects of water deficit on the gas exchange and initial growth of maize. J. Crop Sci. Biotechnol. 2024, 27, 405–413. [Google Scholar] [CrossRef]
- Ferreira, E.S.; Binotti, F.F.; Costa, E.S.; Vendruscolo, E.P.; Binotti, E.D.C.; Salles, J.S.; Salles, S.S. Vitamin B3 with action on biological oxide/reduction reactions and growth biostimulant in Chlorella vulgaris cultivation. Algal. Res. 2023, 76, 103306. [Google Scholar] [CrossRef]
- Lichtenthaler, H.K. Chlorophylls and carotenoids: Pigments of photosynthetic biomembranes. Methods Enzymol. 1987, 148, 350–382. [Google Scholar]
- Taiz, L.; Zeiger, E.; Moller, I.M.; Murphy, A. Fisiologia e Desenvolvimento Vegetal; ArtMed: Porto Alegre, Brazil, 2017. [Google Scholar]
- Landi, M.; Agati, G.; Fini, A.; Guidi, L.; Sebastiani, F.; Tattini, M. Unveiling the shade nature of cyanic leaves: A view from the “blue absorbing side” of anthocyanins. Plant Cell Environ. 2021, 44, 1119–1129. [Google Scholar] [CrossRef]
- Bayat, L.; Arab, M.; Aliniaeifard, S.; Seif, M.; Lastochkina, O.; Li, T. Effects of growth under different light spectra on the subsequent high light tolerance in rose plants. AoB Plants 2018, 10, ply052. [Google Scholar] [CrossRef]
- Aliniaeifard, S.; Seif, M.; Arab, M.; Mehrjerdi, M.Z.; Li, T.; Lastochkina, O. Growth and Photosynthetic Performance of Calendula Officinalis under Monochromatic Red Light. Int. J. Hortic. Sci. Technol. 2018, 5, 123–132. [Google Scholar]
- Nair, A.U.; Kundariya, H.S.; Samantaray, D.; Dopp, I.J.; Allu, A.D.; Mackenzie, S.A. Short-Term High Light Stress Analysis Through Differential Methylation Identifies Root Architecture and Cell Size Responses. Plant Cell Environ. 2025, 48, 3269–3280. [Google Scholar] [CrossRef]
- Liu, M.; Zhao, Y.; Fan, P.; Kong, J.; Wang, Y.; Xu, X.; Xu, M.; Wang, L.; Li, S.; Liang, Z.; et al. Grapevine plantlets respond to different monochromatic lights by tuning photosynthesis and carbon allocation. Hortic. Res. 2023, 10, uhad160. [Google Scholar] [CrossRef] [PubMed]
- Hashemifar, Z.; Sanjarian, F.; Naghdi Badi, H.; Mehrafarin, A. Varying levels of natural light intensity affect the phyto-biochemical compounds, antioxidant indices and genes involved in the monoterpene biosynthetic pathway of Origanum majorana L. BMC Plant Biol. 2024, 24, 1018. [Google Scholar] [CrossRef]
- Silva, L.Á.; Omena-Garcia, R.P.; Condori-Apfata, J.A.; Costa, P.M.; Silva, N.M.; DaMatta, F.M.; Zsogon, A.; Araujo, W.L.; de Toledo, P.E.A.; Sulpice, R. Specific leaf area is modulated by nitrogen via changes in primary metabolism and parenchymal thickness in pepper. Planta 2021, 253, 16. [Google Scholar] [CrossRef] [PubMed]
- Tanaka, A.; Ito, H. Chlorophyll Degradation and Its Physiological Function. Plant Cell. Physiol. 2025, 66, 139–152. [Google Scholar] [CrossRef]
- Zhang, Z.; Han, T.; Sui, J.; Wang, H. Cryptochrome-mediated blue-light signal contributes to carotenoids biosynthesis in microalgae. Front. Microbiol. 2022, 13, 1083387. [Google Scholar] [CrossRef]
- Huché-Thélier, L.; Crespel, L.; Le Gourrierec, J.; Morel, P.; Sakr, S.; Leduc, N. Light signaling and plant responses to blue and UV radiations—Perspectives for applications in horticulture. Environ. Exp. Bot. 2016, 121, 22–38. [Google Scholar] [CrossRef]
- Singh, P.; Singh, A.; Choudhary, K.K. Revisiting the role of phenylpropanoids in plant defense against UV-B stress. Plant Stress 2023, 7, 100143. [Google Scholar] [CrossRef]
- Olson, D.R.; Ruhland, C.T. Ultraviolet-B Stress Increases Epidermal UV-Screening Effectiveness and Alters Growth and Cell-Wall Constituents of the Brown Midrib bmr6 and bmr12 Mutants of Sorghum bicolor. J. Agron. Crop Sci. 2024, 210, e12723. [Google Scholar] [CrossRef]
- Hernández, R.; Kubota, C. Physiological responses of cucumber seedlings under different blue and red photon flux ratios using LEDs. Environ. Exp. Bot. 2016, 121, 66–74. [Google Scholar] [CrossRef]
- Bartucca, M.L.; Guiducci, M.; Falcinelli, B.; Del Buono, D.; Benincasa, P. Blue: Red LED Light Proportion Affects Vegetative Parameters, Pigment Content, and Oxidative Status of Einkorn (Triticum monococcum L. ssp. monococcum) Wheatgrass. J. Agric. Food Chem. 2020, 68, 8757–8763. [Google Scholar] [CrossRef]
- Abdouli, D.; Soufi, S.; Bettaieb, T.; Werbrouck, S.P.O. Effects of Monochromatic Light on Growth and Quality of Pistacia vera L. Plants 2023, 12, 1546. [Google Scholar] [CrossRef]
- Al Murad, M.; Razi, K.; Jeong, B.R.; Samy, P.M.A.; Muneer, S. Light Emitting Diodes (LEDs) as Agricultural Lighting: Impact and Its Potential on Improving Physiology, Flowering, and Secondary Metabolites of Crops. Sustainability 2021, 13, 1985. [Google Scholar] [CrossRef]
- Song, J.; Cao, K.; Hao, Y.; Song, S.; Su, W.; Liu, H. Hypocotyl elongation is regulated by supplemental blue and red light in cucumber seedling. Gene 2019, 707, 117–125. [Google Scholar] [CrossRef]
- Araújo, T.A.N.; Vendruscolo, E.P.; Binotti, F.F.S.; Costa, E.; Lima, S.F.; Sant’Ana, G.R.; Bartolheiro, F.P.A. Nicotinamide Increases the Physiological Performance and Initial Growth of Maize Plant. Int. J. Agron. 2024, 2024, 5567314. [Google Scholar] [CrossRef]
- Smolik, B.; Sędzik-Wójcikowska, M. Examining Nicotinamide Application Methods in Alleviating Lead-Induced Stress in Spring Barley. Agronomy 2024, 14, 1314. [Google Scholar] [CrossRef]
- Vendruscolo, E.P.; Souza, M.I.; Bastos, A.A.; Bortolheiro, F.P.A.P.; Seron, C.C.; Martins, M.B.; de Lima, S.F.; Dantas Alves, V.C. Vitamins enhance the physiological characteristics of coffee cultivated in the Brazilian Cerrado. Vegetos 2024, 38, 1093–1099. [Google Scholar] [CrossRef]
- Ribeiro, V.; Vendruscolo, E.P.; Conceição, J.S.; Lima, S.F.; Binotti, F.F.S.; Bortolheiro, F.P.A.P.; de Silva Oliveira, C.E.; Costa, E.; Lafleur, L. Plant–Vitamin–Microorganism Interaction in Hydroponic Melon Cultivation. Horticulturae 2024, 10, 1329. [Google Scholar] [CrossRef]
- Vendruscolo, E.P.; Sant’Ana, G.R.; Lima, S.F.; Gaete, F.I.M.; Bortolheiro, F.P.A.P.; Serafim, G.M. Biostimulant potential of Azospirillum brasilense and nicotinamide for hydroponic pumpkin cultivation. Rev. Bras. Eng. Agríc. Ambient. 2024, 28, e278962. [Google Scholar] [CrossRef]
- Vendruscolo, E.P.; Seron, C.C.; Leonel, E.A.S.; Lima, S.F.; Araujo, S.L.; Martins, M.B. Do vitamins affect the morphophysiology of lettuce in a hydroponic system? Rev. Bras. Eng. Agríc. Ambient. 2023, 27, 698–703. [Google Scholar] [CrossRef]
- Hong, Y.; Wang, Z.; Shi, H.; Yao, J.; Liu, X.; Wang, F.; Zeng, L.; Xie, Z.; Zhu, J.-K. Reciprocal regulation between nicotinamide adenine dinucleotide metabolism and abscisic acid and stress response pathways in Arabidopsis. PLoS Genet. 2020, 16, e1008892. [Google Scholar] [CrossRef] [PubMed]
- Ahmad, Z.; Bashir, K.; Matsui, A.; Tanaka, M.; Sasaki, R.; Oikawa, A.; Hirai, M.Y.; Chaomurilege; Zu, Y.; Kawai-Yamada, M.; et al. Overexpression of nicotinamidase 3 (NIC3) gene and the exogenous application of nicotinic acid (NA) enhance drought tolerance and increase biomass in Arabidopsis. Plant Mol. Biol. 2021, 107, 63–84. [Google Scholar] [CrossRef]
- Laurell, C.; Berglund, T.; Ohlsson, A.B. Transcriptome analysis shows nicotnamide seed treatment alters expression of genes involved in defense and epigenetic processes in roots of seedlings of Picea abies. J. For. Res. 2022, 33, 1365–1375. [Google Scholar] [CrossRef]









Disclaimer/Publisher’s Note: The statements, opinions and data contained in all publications are solely those of the individual author(s) and contributor(s) and not of MDPI and/or the editor(s). MDPI and/or the editor(s) disclaim responsibility for any injury to people or property resulting from any ideas, methods, instructions or products referred to in the content. |
© 2025 by the authors. Licensee MDPI, Basel, Switzerland. This article is an open access article distributed under the terms and conditions of the Creative Commons Attribution (CC BY) license (https://creativecommons.org/licenses/by/4.0/).
Share and Cite
Sant’Ana, G.R.; Binotti, F.F.d.S.; Binotti, E.D.C.; Carrasco, G.; Bortolheiro, F.P.d.A.P.; de Lima, S.F.; Oliveira, C.E.d.S.; Costa, E.; Teixeira Filho, M.C.M.; Vendruscolo, E.P. Light Supplementation and Nicotinamide Influence the Growth and Pigment Production of Tropical Hydroponic Green Fodder. Agronomy 2025, 15, 2797. https://doi.org/10.3390/agronomy15122797
Sant’Ana GR, Binotti FFdS, Binotti EDC, Carrasco G, Bortolheiro FPdAP, de Lima SF, Oliveira CEdS, Costa E, Teixeira Filho MCM, Vendruscolo EP. Light Supplementation and Nicotinamide Influence the Growth and Pigment Production of Tropical Hydroponic Green Fodder. Agronomy. 2025; 15(12):2797. https://doi.org/10.3390/agronomy15122797
Chicago/Turabian StyleSant’Ana, Gabriela Rodrigues, Flávio Ferreira da Silva Binotti, Eliana Duarte Cardoso Binotti, Gilda Carrasco, Fernanda Pacheco de Almeida Prado Bortolheiro, Sebastião Ferreira de Lima, Carlos Eduardo da Silva Oliveira, Edilson Costa, Marcelo Carvalho Minhoto Teixeira Filho, and Eduardo Pradi Vendruscolo. 2025. "Light Supplementation and Nicotinamide Influence the Growth and Pigment Production of Tropical Hydroponic Green Fodder" Agronomy 15, no. 12: 2797. https://doi.org/10.3390/agronomy15122797
APA StyleSant’Ana, G. R., Binotti, F. F. d. S., Binotti, E. D. C., Carrasco, G., Bortolheiro, F. P. d. A. P., de Lima, S. F., Oliveira, C. E. d. S., Costa, E., Teixeira Filho, M. C. M., & Vendruscolo, E. P. (2025). Light Supplementation and Nicotinamide Influence the Growth and Pigment Production of Tropical Hydroponic Green Fodder. Agronomy, 15(12), 2797. https://doi.org/10.3390/agronomy15122797

