Influence of Nitrogen Addition on the Physicochemical Properties and Microbial Diversity of Spring Wheat Soil in the Loess Plateau
Abstract
1. Introduction
2. Materials and Methods
2.1. Experimental Site
2.2. Experimental Design
2.3. Sample Collection and Determination
2.4. Data Statistical Analysis
3. Results and Analysis
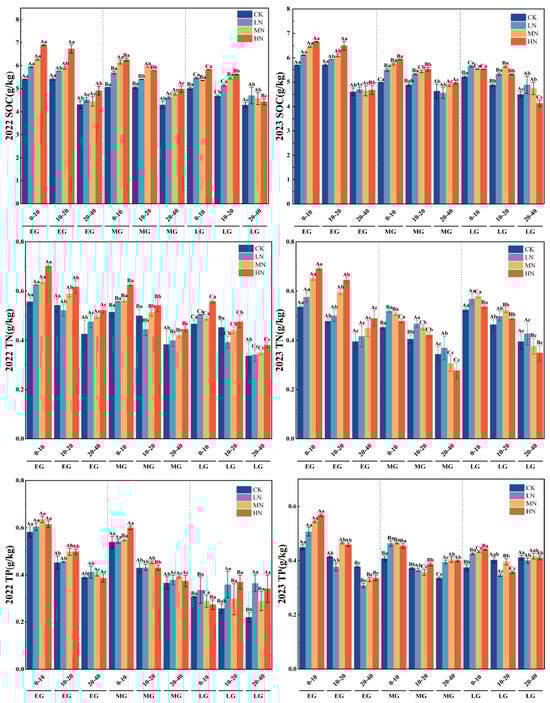
3.1. Effects of Nitrogen Levels on Basic Soil Properties
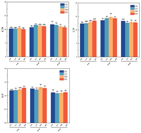
3.2. Effects of Nitrogen Application on Soil Chemical Stoichiometric Characteristics
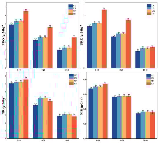
3.3. Effects of Nitrogen Application Levels on the Soil Enzyme Activity
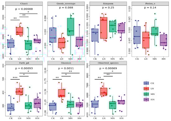
3.4. Effects of Nitrogen Application Levels on the Soil Microorganism
3.5. Relationship Analysis
4. Discussion
5. Conclusions
- (1)
- Nitrogen application increased the C:N ratio in the surface soil and altered soil stoichiometry;
- (2)
- Low to moderate nitrogen levels enhanced microbial diversity and enzyme activity, whereas excessive nitrogen led to a decline;
- (3)
- Changes in microbial community structure were closely associated with variations in soil nutrient availability and physical conditions.
Author Contributions
Funding
Data Availability Statement
Acknowledgments
Conflicts of Interest
References
- Zhou, Z.; Wang, C.; Zheng, M.; Jiang, L.; Luo, Y. Patterns and mechanisms of responses by soil microbial communities to nitrogen addition. Soil. Biol. Biochem. 2017, 115, 433–441. [Google Scholar] [CrossRef]
- Hawkesford, M.J. Reducing the reliance on nitrogen fertilizer for wheat production. J. Cereal Sci. 2014, 59, 276–283. [Google Scholar] [CrossRef] [PubMed]
- Frink, C.R.; Waggoner, P.E.; Ausubel, J.H. Nitrogen fertilizer: Retrospect and prospect. Proc. Natl. Acad. Sci. USA 1999, 96, 1175–1180. [Google Scholar] [CrossRef]
- Zhou, J.; Jiang, X.; Wei, D.; Zhao, B.; Ma, M.; Chen, S.; Cao, F.; Shen, D.; Guan, D.; Li, J. Consistent effects of nitrogen fertilization on soil bacterial communities in black soils for two crop seasons in China. Sci. Rep. 2017, 7, 3267. [Google Scholar] [CrossRef]
- Zhou, J.; Xia, F.; Liu, X.; He, Y.; Xu, J.; Brookes, P.C. Effects of nitrogen fertilizer on the acidification of two typical acid soils in South China. J. Soils Sediments 2014, 14, 415–422. [Google Scholar] [CrossRef]
- Wang, Y.; Ying, H.; Yin, Y.; Zheng, H.; Cui, Z. Estimating soil nitrate leaching of nitrogen fertilizer from global meta-analysis. Sci. Total Environ. 2019, 657, 96–102. [Google Scholar] [CrossRef]
- Liu, X.; Zhang, F. Nitrogen fertilizer induced greenhouse gas emissions in China. Curr. Opin. Environ. Sustain. 2011, 3, 407–413. [Google Scholar] [CrossRef]
- Krasilnikov, P.; Taboada, M.A.; Amanullah. Fertilizer use, soil health and agricultural sustainability. Agriculture 2022, 12, 462. [Google Scholar] [CrossRef]
- Jia, X.; Zhong, Y.; Liu, J.; Zhu, G.; Shangguan, Z.; Yan, W. Effects of nitrogen enrichment on soil microbial characteristics: From biomass to enzyme activities. Geoderma 2020, 366, 114256. [Google Scholar] [CrossRef]
- Wang, Q.; Ma, M.; Jiang, X.; Guan, D.; Wei, D.; Zhao, B.; Chen, S.; Cao, F.; Li, L.; Yang, X.; et al. Impact of 36 years of nitrogen fertilization on microbial community composition and soil carbon cycling-related enzyme activities in rhizospheres and bulk soils in northeast China. Appl. Soil. Ecol. 2019, 136, 148–157. [Google Scholar] [CrossRef]
- Hu, Q.; Liu, T.; Ding, H.; Li, C.; Tan, W.; Yu, M.; Liu, J.; Cao, C. Effects of nitrogen fertilizer on soil microbial residues and their contribution to soil organic carbon and total nitrogen in a rice-wheat system. Appl. Soil. Ecol. 2023, 181, 104648. [Google Scholar] [CrossRef]
- Touhami, D.; McDowell, R.W.; Condron, L.M.; Bouray, M. Nitrogen fertilization effects on soil phosphorus dynamics under a grass-pasture system. Nutr. Cycl. Agroecosyst. 2022, 124, 227–246. [Google Scholar] [CrossRef]
- Yevdokimov, I.; Gattinger, A.; Buegger, F.; Munch, J.C.; Schloter, M. Changes in microbial community structure in soil as a result of different amounts of nitrogen fertilization. Biol. Fertil. Soils 2008, 44, 1103–1106. [Google Scholar] [CrossRef]
- Wu, J.; Liu, W.; Zhang, W.; Shao, Y.; Duan, H.; Chen, B.; Wei, X.; Fan, H. Long-term nitrogen addition changes soil microbial community and litter decomposition rate in a subtropical forest. Appl. Soil. Ecol. 2019, 142, 43–51. [Google Scholar] [CrossRef]
- Marschner, P. Structure and function of the soil microbial community in a long-term fertilizer experiment. Soil. Biol. Biochem. 2003, 35, 453–461. [Google Scholar] [CrossRef]
- Liu, G. Soil conservation and sustainable agriculture on the Loess Plateau: Challenges and prospects. Ambio 1999, 8, 663–668. [Google Scholar]
- Wang, J.; Fu, B.; Qiu, Y.; Chen, L. Analysis on soil nutrient characteristics for sustainable land use in Danangou catchment of the Loess Plateau, China. Catena 2003, 54, 17–29. [Google Scholar] [CrossRef]
- Wang, J.; Fu, B.; Qiu, Y.; Chen, L. Soil nutrients in relation to land use and landscape position in the semi-arid small catchment on the loess plateau in China. J. Arid Environ. 2001, 48, 537–550. [Google Scholar] [CrossRef]
- Xu, M.; Wang, J.; Zhu, Y.; Han, X.; Ren, C.; Yang, G. Plant biomass and soil nutrients mainly explain the variation of soil microbial communities during secondary succession on the Loess Plateau. Microb. Ecol. 2022, 83, 114–126. [Google Scholar] [CrossRef]
- Yang, Y.; Chen, X.; Liu, L.; Li, T.; Dou, Y.; Qiao, J.; Wang, Y.; An, S.; Chang, S.X. Nitrogen fertilization weakens the linkage between soil carbon and microbial diversity: A global meta-analysis. Glob. Change Biol. 2022, 28, 6446–6461. [Google Scholar] [CrossRef]
- Beltran-Garcia, M.J.; Martínez-Rodríguez, A.; Olmos-Arriaga, I.; Valdes-Salas, B.; Di Mascio, P.; White, J.F. Nitrogen fertilization and stress factors drive shifts in microbial diversity in soils and plants. Symbiosis 2021, 84, 379–390. [Google Scholar] [CrossRef]
- Nath, C.P.; Dutta, A.; Hazra, K.K.; Praharaj, C.S.; Kumar, N.; Singh, S.S.; Singh, U.; Das, K. Long-term impact of pulses and organic amendments inclusion in cropping system on soil physical and chemical properties. Sci. Rep. 2023, 13, 6508. [Google Scholar] [CrossRef]
- Sadiq, M.; Rahim, N.; Tahir, M.M.; Alasmari, A.; Alqahtani, M.M.; Albogami, A.; Ghanem, K.Z.; Abdein, M.A.; Ali, M.; Mehmood, N.; et al. Conservation tillage: A way to improve yield and soil properties and decrease global warming potential in spring wheat agroecosystems. Front. Microbiol. 2024, 15, 1356426. [Google Scholar] [CrossRef]
- Yuan, J.; Yan, L.; Li, G.; Sadiq, M.; Rahim, N.; Wu, J.; Ma, W.; Xu, G.; Du, M. Effects of conservation tillage strategies on soil physicochemical indicators and N2O emission under spring wheat monocropping system conditions. Sci. Rep. 2022, 12, 7066. [Google Scholar] [CrossRef] [PubMed]
- Herai, Y.; Kouno, K.; Hashimoto, M.; Nagaoka, T. Relationships between microbial biomass nitrogen, nitrate leaching and nitrogen uptake by corn in a compost and chemical fertilizer-amended regosol. Soil. Sci. Plant Nutr. 2006, 2, 186–194. [Google Scholar] [CrossRef]
- Du, M.; Yao, Y.; Liu, S.; Li, G.; Yuan, J. Reducing nitrogen application rates and straw mulching can alleviate greenhouse gas emissions from wheat field soil and improve soil quality. Agronomy 2024, 14, 2087. [Google Scholar] [CrossRef]
- Tan, Y.; Chai, Q.; Li, G.; Hu, F.; Yu, A.; Zhao, C.; Fan, Z.; Yin, W.; Fan, H. No-till and nitrogen fertilizer reduction improve nitrogen translocation and productivity of spring wheat (Triticum aestivum L.) via promotion of plant transpiration. Front. Plant Sci. 2022, 13, 988211. [Google Scholar] [CrossRef]
- Wu, J.; Wang, H.; Li, G.; Chen, N. Effects of nitrogen deposition on soil nitrogen fractions and enzyme activities in wet meadow of the Qinghai-Tibet Plateau. Sci. Rep. 2024, 14, 31848. [Google Scholar] [CrossRef] [PubMed]
- Singh, D.K.; Kumar, S. Nitrate reductase, arginine deaminase, urease and dehydrogenase activities in natural soil (ridges with forest) and in cotton soil after acetamiprid treatments. Chemosphere 2008, 71, 412–418. [Google Scholar] [CrossRef] [PubMed]
- Ye, M.; Yin, C.; Fan, X.; Gao, Z.; Chen, H.; Tan, L.; Chang, S.X.; Zhao, Y.; Liang, Y. Procyanidin inhibited N2O emissions from paddy soils by affecting nitrate reductase activity and nirS- and nirK-denitrifier populations. Biol. Fertil. Soils 2021, 57, 935–947. [Google Scholar] [CrossRef]
- Arunrat, N.; Sansupa, C.; Kongsurakan, P.; Sereenonchai, S.; Hatano, R. Soil Microbial Diversity and Community Composition in Rice–Fish Co-Culture and Rice Monoculture Farming System. Biology 2022, 11, 1242. [Google Scholar] [CrossRef]
- Williams, A.; Birt, H.W.G.; Raghavendra, A.; Dennis, P.G. Cropping System Diversification Influences Soil Microbial Diversity in Subtropical Dryland Farming Systems. Microb. Ecol. 2023, 85, 1473–1484. [Google Scholar] [CrossRef]
- Barak, P.W.U.M.; Jobe, B.O.; Krueger, A.R.; Peterson, L.A.; Laird, D.A. Effects of long-term soil acidification due to nitrogen fertilizer inputs in Wisconsin. Plant Soil. 1997, 197, 61–69. [Google Scholar] [CrossRef]
- Zhang, L.; Zhao, Z.; Jiang, B.; Baoyin, B.; Cui, Z.; Wang, H.; Li, Q.; Cui, J. Effects of Long-Term Application of Nitrogen Fertilizer on Soil Acidification and Biological Properties in China: A Meta-Analysis. Microorganisms 2024, 12, 1683. [Google Scholar] [CrossRef]
- Fu, C.; Ma, W.; Qiang, B.; Jin, X.; Zhang, Y.; Wang, M. Effect of Chemical Fertilizer with Compound Microbial Fertilizer on Soil Physical Properties and Soybean Yield. Agronomy 2023, 13, 2488. [Google Scholar] [CrossRef]
- Tong, Y.; Dong, Q.; Yu, Y.; Cao, Q.; Yang, X.; Liu, W.; Yang, Z.; Zhang, X.; Liu, Y.; Zhang, C. Nitrogen application increases the productivity of perennial alpine cultivated grassland by improving soil physicochemical properties and microbial community characteristics. Plant Soil. 2024, 505, 559–579. [Google Scholar] [CrossRef]
- Mori, H.; Maruyama, F.; Kato, H.; Toyoda, A.; Dozono, A.; Ohtsubo, Y.; Nagata, Y.; Fujiyama, A.; Tsuda, M.; Kurokawa, K. Design and experimental application of a novel non-degenerate universal primer set that amplifies prokaryotic 16S rRNA genes with a low possibility to amplify eukaryotic rRNA genes. DNA Res. 2014, 21, 217–227. [Google Scholar] [CrossRef]
- McAndrew, D.W.; Malhi, S.S. Long-term N fertilization of a solonetzic soil: Effects on chemical and biological properties. Soil. Biol. Biochem. 1992, 7, 619–623. [Google Scholar] [CrossRef]
- Alvarez, R.; Alvarez, R. A review of nitrogen fertilizer and conservation tillage effects on soil organic carbon storage. Soil. Use Manag. 2005, 21, 38–52. [Google Scholar] [CrossRef]
- Wang, J.; Liu, W.Z.; Dang, T.H.; Sainju, U.M. Nitrogen fertilization effect on soil water and wheat yield in the Chinese Loess Plateau. Agron. J. 2013, 105, 143–149. [Google Scholar] [CrossRef]
- Sun, J.; Li, W.; Li, C.; Chang, W.; Zhang, S.; Zeng, Y.; Zeng, C.; Peng, M. Effect of different rates of nitrogen fertilization on crop yield, soil properties and leaf physiological attributes in banana under subtropical regions of China. Front. Plant Sci. 2020, 11, 613760. [Google Scholar] [CrossRef] [PubMed]
- Cui, Z.; Chen, X.; Zhang, F. Current nitrogen management status and measures to improve the intensive wheat–maize system in China. Ambio 2010, 39, 376–384. [Google Scholar] [CrossRef]
- El-Sharkawi, H.M. Effect of nitrogen sources on microbial biomass nitrogen under different soil types. Int. Sch. Res. Not. 2012, 2012, 310727. [Google Scholar] [CrossRef]
- Kowalczyk, W.; Wrona, D.; Przybyłko, S. Effect of Nitrogen Fertilization of Apple Orchard on Soil Mineral Nitrogen Content, Yielding of the Apple Trees and Nutritional Status of Leaves and Fruits. Agriculture 2022, 12, 2169. [Google Scholar] [CrossRef]
- Li, Y.; Long, Y.; Liu, T.; Zhang, D.; He, M.; Xie, Q.; Zhang, Z. The role of soil microorganisms and physicochemical properties in determining the germinate of invasive Solidago canadensis L. Plant Soil. 2025, 507, 897–914. [Google Scholar] [CrossRef]
- Rutkowski, K.; Łysiak, G.P. Effect of Nitrogen Fertilization on Tree Growth and Nutrient Content in Soil and Cherry Leaves (Prunus cerasus L.). Agriculture 2023, 13, 578. [Google Scholar] [CrossRef]
- Hu, W.; Jiao, Z.; Wu, F.; Liu, Y.; Dong, M.; Ma, X.; Fan, T.; An, L.; Feng, H. Long-term effects of fertilizer on soil enzymatic activity of wheat field soil in Loess Plateau, China. Ecotoxicology 2014, 23, 2069–2080. [Google Scholar] [CrossRef]
- Pintarič, M.; Štuhec, A.; Tratnik, E.; Langerholc, T. Specific Fertilization Practices Reveal Important Insights into the Complex Interaction Between Microbes and Enzymes in Soils of Different Farming Systems. Life 2024, 14, 1562. [Google Scholar] [CrossRef]
- Tian, X.; Hu, H.; Ding, Q.; Song, M.; Xu, X.; Zheng, Y.; Guo, L. Influence of nitrogen fertilization on soil ammonia oxidizer and denitrifier abundance, microbial biomass, and enzyme activities in an alpine meadow. Biol. Fertil. Soils 2014, 50, 703–713. [Google Scholar] [CrossRef]
- Balotf, S.; Kavoosi, G.; Kholdebarin, B. Nitrate reductase, nitrite reductase, glutamine synthetase, and glutamate synthase expression and activity in response to different nitrogen sources in nitrogen-starved wheat seedlings. Biotechnol. Appl. Biochem. 2016, 63, 220–229. [Google Scholar] [CrossRef]
- Zhang, M.; Zhang, X.; Zhang, L.; Zeng, L.; Liu, Y.; Wang, X.; He, P.; Li, S.; Liang, G.; Zhou, W.; et al. The stronger impact of inorganic nitrogen fertilization on soil bacterial community than organic fertilization in short-term condition. Geoderma 2021, 382, 114752. [Google Scholar] [CrossRef]
- Huang, L.; Gao, X.; Liu, M.; Du, G.; Guo, J.; Ntakirutimana, T. Correlation among soil microorganisms, soil enzyme activities, and removal rates of pollutants in three constructed wetlands purifying micro-polluted river water. Ecol. Eng. 2012, 46, 98–106. [Google Scholar] [CrossRef]
- Li, Y.; Tu, Q.; Liu, S.; Ding, W.; Min, X.; Zhou, S.; Zhang, J.; Li, J.; Yuan, C. Effects of the combined compost of grape branches and sheep manure on a soil-microorganism-chardonnay (Vitis vinifera L.) plant ecosystem. Sci. Hortic. 2024, 336, 113430. [Google Scholar] [CrossRef]
- Ren, N.; Wang, Y.; Ye, Y.; Zhao, Y.; Huang, Y.; Fu, W.; Chu, X. Effects of continuous nitrogen fertilizer application on the diversity and composition of rhizosphere soil bacteria. Front. Microbiol. 2020, 11, 1948. [Google Scholar] [CrossRef]
- Li, C.H.; Ma, B.L.; Zhang, T.Q. Soil bulk density effects on soil microbial populations and enzyme activities during the growth of maize (Zea mays L.) planted in large pots under field exposure. Can. J. Plant Sci. 2002, 82, 147–154. [Google Scholar] [CrossRef]
- Udawatta, R.P.; Kremer, R.J.; Garrett, H.E.; Anderson, S.H. Soil enzyme activities and physical properties in a watershed managed under agroforestry and row-crop systems. Agric. Ecosyst. Environ. 2009, 131, 98–104. [Google Scholar] [CrossRef]
- Barka, E.A.; Vatsa, P.; Sanchez, L.; Gaveau-Vaillant, N.; Jacquard, C.; Klenk, H.; Clément, C.; Ouhdouch, Y.; van Wezel, G.P. Taxonomy, physiology, and natural products of Actinobacteria. Microbiol. Mol. Biol. Rev. 2016, 80, 1–43. [Google Scholar] [CrossRef]
- Kim, H.; Lee, S.; Jo, H.Y.; Finneran, K.T.; Kwon, M.J. Diversity and composition of soil Acidobacteria and Proteobacteria communities as a bacterial indicator of past land-use change from forest to farmland. Sci. Total Environ. 2021, 797, 148944. [Google Scholar] [CrossRef]
- Kalam, S.; Basu, A.; Ahmad, I.; Sayyed, R.Z.; El-Enshasy, H.A.; Dailin, D.J.; Suriani, N.L. Recent understanding of soil acidobacteria and their ecological significance: A critical review. Front. Microbiol. 2020, 11, 580024. [Google Scholar] [CrossRef] [PubMed]
- Ramirez, K.S.; Lauber, C.L.; Knight, R.; Bradford, M.A.; Fierer, N. Consistent effects of nitrogen fertilization on soil bacterial communities in contrasting systems. Ecology 2010, 91, 3463–3470. [Google Scholar] [CrossRef]
- Liu, J.; Zhang, X.; Wang, H.; Hui, X.; Wang, Z.; Qiu, W. Long-term nitrogen fertilization impacts soil fungal and bacterial community structures in a dryland soil of Loess Plateau in China. J. Soils Sediments 2018, 18, 1632–1640. [Google Scholar] [CrossRef]









| Treatment | Soil Horizon | BD (kg/m3) | SWC (%) | NO3−-N (mg/kg) | NH4+-N (mg/kg) | MBN (mg/kg) |
|---|---|---|---|---|---|---|
| CK | 0–10 | 1147.0 ± 3.61 Bc | 10.81 ± 0.18 Ac | 30.49 ± 1.93 Ba | 17.85 ± 0.76 Ca | 27.01 ± 0.27 Ca |
| 10–20 | 1169.3 ± 2.03 Cb | 12.31 ± 0.25 ABb | 28.53 ± 0.37 Ba | 15.49 ± 0.85 Cb | 23.52 ± 0.62 Bb | |
| 20–40 | 1183.0 ± 3.21 Ba | 14.75 ± 0.34 Aa | 25.16 ± 0.84 Bb | 12.04 ± 0.42 Cc | 19.29 ± 0.17 ABc | |
| 0–40 | 1166.4 ± 5.46 a | 12.62 ± 1.74 a | 28.06 ± 0.075 b | 15.12 ± 2.60 b | 23.27 ± 1.13 A | |
| LN | 0–10 | 1149.0 ± 1.15 Bc | 10.15 ± 0.16 Bc | 31.23 ± 1.05 Ba | 20.92 ± 0.46 Ba | 30.07 ± 0.06 Ba |
| 10–20 | 1173.0 ± 2.08 BCb | 11.85 ± 0.06 BCb | 28.52 ± 0.47 Bb | 17.99 ± 0.75 Bb | 24.36 ± 0.62 Bb | |
| 20–40 | 1186.0 ± 1.53 Ba | 13.51 ± 0.14 Ba | 25.56 ± 0.85 Bc | 13.79 ± 0.74 Bc | 18.23 ± 0.75 Bc | |
| 0–40 | 1169.3 ± 5.48 a | 11.84 ± 1.46 a | 28.44 ± 2.56 b | 17.57 ± 3.16 ab | 24.22 ± 1.73 A | |
| MN | 0–10 | 1153.3 ± 0.88 ABc | 10.74 ± 0.13 Ac | 32.41 ± 0.64 Ba | 21.2 ± 0.21 Ba | 30.07 ± 0.06 Ba |
| 10–20 | 1176.7 ± 1.20 ABb | 12.35 ± 0.3 Ab | 28.44 ± 0.56 Bb | 17.54 ± 0.43 Bb | 24.36 ± 0.62 Bb | |
| 20–40 | 1185.3 ± 0.33 Ba | 14.32 ± 0.23 Aa | 26.26 ± 1.09 ABc | 14.62 ± 0.41 Bbc | 18.23 ± 0.75 Bc | |
| 0–40 | 1171.8 ± 4.804 a | 12.47 ± 1.57 a | 29.04 ± 2.794 b | 17.79 ± 2.87 ab | 24.22 ± 1.73 A | |
| HN | 0–10 | 1158.7 ± 1.20 Ac | 9.78 ± 0.03 Cc | 37.57 ± 1.24 Aa | 23.76 ± 0.48 Aa | 35.56 ± 0.18 Aa |
| 10–20 | 1181.3 ± 0.88 Ab | 11.71 ± 0.29 Cb | 32.53 ± 0.38 Ab | 19.55 ± 1.15 Ab | 27.18 ± 0.87 Ab | |
| 20–40 | 1200.7 ± 3.38 Aa | 13.75 ± 0.23 Ba | 28.24 ± 1.57 Ac | 16.57 ± 0.23 Ac | 20.38 ± 0.58 Ac | |
| 0–40 | 1180.2 ± 6.16 a | 11.74 ± 1.73 a | 32.78 ± 4.17 a | 19.96 ± 3.19 a | 27.71 ± 2.22 a |
| Variable | SWC | BD | NO3−-N | NH4+-N | MBN | SOC | TN | TP | URE | PRO | NR | NIR |
|---|---|---|---|---|---|---|---|---|---|---|---|---|
| SWC | 1 | |||||||||||
| BD | 0.819 ** | 1 | ||||||||||
| NO3−-N | −0.191 | −0.561 ** | 1 | |||||||||
| NH4+-N | −0.16 | −0.611 ** | 0.894 ** | 1 | ||||||||
| MBN | −0.389 * | −0.739 ** | 0.928 ** | 0.923 ** | 1 | |||||||
| SOC | −0.152 | −0.594 ** | 0.837 ** | 0.906 ** | 0.890 ** | 1 | ||||||
| TN | −0.347 * | −0.740 ** | 0.871 ** | 0.904 ** | 0.932 ** | 0.940 ** | 1 | |||||
| TP | −0.423 * | −0.781 ** | 0.816 ** | 0.875 ** | 0.902 ** | 0.814 ** | 0.902 ** | 1 | ||||
| URE | −0.325 | −0.708 ** | 0.925 ** | 0.923 ** | 0.959 ** | 0.937 ** | 0.949 ** | 0.866 ** | 1 | |||
| PRO | −0.347 * | −0.710 ** | 0.937 ** | 0.943 ** | 0.960 ** | 0.848 ** | 0.919 ** | 0.915 ** | 0.946 ** | 1 | ||
| NR | −0.590 ** | −0.903 ** | 0.787 ** | 0.852 ** | 0.919 ** | 0.828 ** | 0.906 ** | 0.920 ** | 0.895 ** | 0.906 ** | 1 | |
| NIR | −0.553 ** | −0.866 ** | 0.803 ** | 0.865 ** | 0.925 ** | 0.886 ** | 0.939 ** | 0.891 ** | 0.931 ** | 0.895 ** | 0.967 ** | 1 |
Disclaimer/Publisher’s Note: The statements, opinions and data contained in all publications are solely those of the individual author(s) and contributor(s) and not of MDPI and/or the editor(s). MDPI and/or the editor(s) disclaim responsibility for any injury to people or property resulting from any ideas, methods, instructions or products referred to in the content. |
© 2025 by the authors. Licensee MDPI, Basel, Switzerland. This article is an open access article distributed under the terms and conditions of the Creative Commons Attribution (CC BY) license (https://creativecommons.org/licenses/by/4.0/).
Share and Cite
Li, J.; Li, G. Influence of Nitrogen Addition on the Physicochemical Properties and Microbial Diversity of Spring Wheat Soil in the Loess Plateau. Agronomy 2025, 15, 2584. https://doi.org/10.3390/agronomy15112584
Li J, Li G. Influence of Nitrogen Addition on the Physicochemical Properties and Microbial Diversity of Spring Wheat Soil in the Loess Plateau. Agronomy. 2025; 15(11):2584. https://doi.org/10.3390/agronomy15112584
Chicago/Turabian StyleLi, Jingbo, and Guang Li. 2025. "Influence of Nitrogen Addition on the Physicochemical Properties and Microbial Diversity of Spring Wheat Soil in the Loess Plateau" Agronomy 15, no. 11: 2584. https://doi.org/10.3390/agronomy15112584
APA StyleLi, J., & Li, G. (2025). Influence of Nitrogen Addition on the Physicochemical Properties and Microbial Diversity of Spring Wheat Soil in the Loess Plateau. Agronomy, 15(11), 2584. https://doi.org/10.3390/agronomy15112584
