Long-Term Organic Fertilization and Straw Return Affect Shajiang Black Soil (Vertisol) Nutrient Availability, Aggregate Stability, and Crop Yield with the Winter Wheat–Summer Maize Double-Cropping System in Northern China
Abstract
1. Introduction
2. Materials and Methods
2.1. Study Site Description
2.2. In Situ Field Experiment Design
2.3. Soil Sampling
2.4. Routine Soil Analysis
2.5. Soil Aggregate Stability Analysis
2.6. Statistical Analysis
3. Results
3.1. Effects of Long-Term Fertilization on Soil Basic Properties
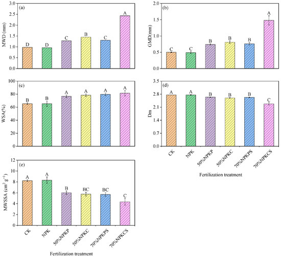
3.2. Distributions of Soil Aggregate Size and Soil Aggregate Stability Under Different Fertilization Treatments
3.3. Distributions of Wheat and Maize Yields Under Different Fertilizer
3.4. Relationship of Soil Aggregate Parameters and Soil Characteristics
3.5. Contribution of Soil Aggregate Parameters and Soil Characteristics on Wheat and Maize Yields
4. Discussion
4.1. Response of Soil Nutrients to Long-Term Integrated Organic Amendment and Straw Incorporation
4.2. Effect of Organic Fertilizer Application Combined with Straw Return on Soil Aggregate Size and Stability Distributions
4.3. Effects of Soil Aggregates and Nutrients on Crop Yield Under Long-Term Organic Fertilization and Straw Return
5. Conclusions
Author Contributions
Funding
Data Availability Statement
Conflicts of Interest
Abbreviations
| SOC | Soil organic carbon |
| MWD | Mean weight diameter |
| GMD | Geometric mean diameter |
| WSA | >0.25 mm water-stable aggregate content |
| Dm | Fractal dimension |
| MWSSA | Mean weight-specific surface area |
| LMA | Large macroaggregate (2~5 mm) |
| SMA | Small macroaggregate (0.5~2 mm) |
| MIA | Microaggregate (0.25~0.5 mm) |
| SCA | Small microaggregate (<0.25 mm) |
| SOM | Soil organic matter |
| TN | Total nitrogen |
| TP | Total phosphorus |
| TK | Total potassium |
| C/N | The ratio of soil organic carbon and total nitrogen |
| PCA | Principal component analysis |
| RDA | Redundancy analysis |
| CK | No-fertilizer treatment |
| NPK | Conventional chemical fertilizer treatment |
| 50%NPKP | 50% of conventional chemical fertilizer with pig manure |
| 50%NPKC | 50% of conventional chemical fertilizer with cattle manure |
| 70%NPKPS | 70% of conventional chemical fertilizer with pig manure and straw return |
| 70%NPKCS | 70% of conventional chemical fertilizer with cattle manure and straw return |
References
- Bao, Z.R.; Dai, W.N.; Li, H.; An, Z.F.; Lan, Y.; Jing, H.; Meng, J.; Liu, Z.Q. Long-Term biochar application improved aggregate K availability by affecting soil organic carbon content and composition. Land Degrad. Dev. 2024, 35, 5137–5148. [Google Scholar] [CrossRef]
- Zhu, Y.C.; Zhang, M.; Han, X.Z.; Lu, X.C.; Chen, X.; Feng, H.L.; Wu, Z.M.; Liu, C.Z.; Yan, J.; Zou, W.X. Evaluation of the soil aggregate stability under long term manure and chemical fertilizer applications: Insights from organic carbon and humic acid structure in aggregates. Agric. Ecosyst. Environ. 2024, 376, 109217. [Google Scholar] [CrossRef]
- Jing, Z.C.; Zhang, S.R.; Sun, Z.Q.; Liu, Z.H.; Liu, S.L.; Ding, X.D. Straw incorporation and nitrogen fertilization enhance soil organic carbon sequestration by promoting aggregate stability and iron oxide transformation. Agronomy 2025, 15, 871. [Google Scholar] [CrossRef]
- Wang, N.; Ai, Z.P.; Zhang, Q.Y.; Leng, P.F.; Qiao, Y.F.; Li, Z.; Tian, C.; Cheng, H.F.; Chen, G.; Li, F.D. Influence of long-term inorganic fertilization and straw incorporation on soil organic carbon: Roles of enzyme activity, labile organic carbon fractions, soil aggregates, and microbial traits. Agric. Ecosyst. Environ. 2025, 392, 109758. [Google Scholar] [CrossRef]
- Ge, Z.; Bol, R.; Wang, T.; Zhu, P.; An, T.; Li, S.; Wang, J. Long-Term Fertilization mediatesmicrobial keystone taxa to regulate straw-derived 13C incorporation in soil aggregates. Agronomy 2025, 15, 2116. [Google Scholar] [CrossRef]
- Cui, H.; Shutes, B.; Hou, S.N.; Wang, X.Y.; Zhu, H. Long-term organic fertilization increases phosphorus content but reduces its release in soil aggregates. Appl. Soil Ecol. 2024, 203, 105684. [Google Scholar] [CrossRef]
- Yang, H.B.; Xiao, Q.; Huang, Y.P.; Cai, Z.J.; Li, D.C.; Wu, L.; Meersmans, J.; Colinet, G.; Zhang, W.J. Long-term manuring facilitates glomalin-related soil proteins accumulation by chemical composition shifts and macro-aggregation formation. Soil Tillage Res. 2024, 235, 105904. [Google Scholar] [CrossRef]
- Ren, L.J.; Yang, H.; Li, J.; Zhang, N.; Han, Y.Y.; Zou, H.T.; Zhang, Y.L. Organic fertilizer enhances soil aggregate stability by altering greenhouse soil content of iron oxide and organic carbon. J. Integr. Agric. 2025, 24, 306–321. [Google Scholar] [CrossRef]
- Tantarawongsa, P.; Chidthaisong, A.; Aramrak, S.; Yagi, K.; Tripetchkul, S.; Sriphirom, P.; Onsamrarn, W.; Nobuntou, W.; Amornpon, W. Impacts of long-term tillage and fertilization on soil carbon stockand aggregate stability in tropical agriculture. Agric. Environ. Lett. 2025, 10, e70019. [Google Scholar] [CrossRef]
- Gioacchini, P.; Baldi, E.; Montecchio, D.; Mazzon, M.; Quartieri, M.; Toselli, M.; Marzadori, C. Effect of long-term compost fertilization on the distribution of organic carbon and nitrogen in soil aggregates. Catena 2024, 240, 107968. [Google Scholar] [CrossRef]
- Chen, H.Q.; Hao, Y.; Wang, C.L.; Liu, M.J.; Mehmood, I.; Fan, M.S.; Plante, A.F. Maize straw-based organic amendments and nitrogen fertilizer effects on soil and aggregate-associated carbon and nitrogen. Geoderma 2024, 443, 116820. [Google Scholar] [CrossRef]
- Mehran, M.; Huang, L.; Geng, M.J.; Gan, Y.F.; Cheng, J.Y.; Zhu, Q.; Ali-Ahmad, I.; Haider, S.; Mustafa, A. Co-utilization of green manure with straw return enhances the stability of soil organic carbon by regulating iron-mediated stabilization of aggregate-associated organic carbon in paddy soil. Soil Tillage Res. 2025, 252, 106624. [Google Scholar] [CrossRef]
- Xiong, Z.H.; Gao, Z.Y.; Lu, J.W.; Zhang, Y.Y.; Li, X.K. Straw return combined with potassium fertilization improves potassium stocks in large-macroaggregates by increasing complex iron oxide under rice–oilseed rape rotation system. Soil Tillage Res. 2025, 248, 106404. [Google Scholar] [CrossRef]
- Zhang, J.J.; Wei, Y.X.; Liu, J.Z.; Yuan, J.C.; Liang, Y.; Ren, J.; Cai, H.G. Effects of maize straw and its biochar application on organic and humic carbon in water-stable aggregates of a Mollisol in Northeast China: A five-year field experiment. Soil Tillage Res. 2019, 190, 1–9. [Google Scholar] [CrossRef]
- Zhang, J.; Zhang, F.H.; Yang, L. Continuous straw returning enhances the carbon sequestration potential of soil aggregates by altering the quality and stability of organic carbon. J. Environ. Manag. 2024, 358, 120903. [Google Scholar] [CrossRef]
- Sun, Q.; Zhang, P.; Liu, X.; Zhang, H.; Liu, S.; Sun, X.; Jiang, W. Long-term tillage alters soil properties and rhizosphere bacterial community in lime concretion black soil under Winter wheat-summer maize double-cropping system. Agronomy 2023, 13, 790. [Google Scholar] [CrossRef]
- Yin, A.J.; Zhang, S.W.; Chen, F.K.; Zhou, S.Y.; Hu, R.X. Effects of modified coal gangue addition on CO2 release and organic carbon sequestration in Shajiang black soil. Environ. Technol. Innov. 2024, 36, 103872. [Google Scholar] [CrossRef]
- Chen, L.; Li, F.; Li, W.; Ning, Q.; Li, W.J.; Zhang, J.B.; Ma, D.H.; Zhang, C.Z. Organic amendment mitigates the negative impacts of mineral fertilization on bacterial communities in Shajiang black soil. Appl. Soil Ecol. 2020, 150, 103457. [Google Scholar] [CrossRef]
- Chen, Y.M.; Zhang, Z.B.; Gao, L.; Guo, Z.C.; Xiong, P.; Jiang, F.H.; Peng, X.H. Pore shrinkage capacity of Shajiang black soils (Vertisols) on the North China Plain and its influencing factors. Pedosphere 2024, 34, 620–630. [Google Scholar] [CrossRef]
- Cao, M.H.; Duan, Y.; Li, M.H.; Tang, C.G.; Kan, W.J.; Li, J.Y.; Zhang, H.L.; Zhong, W.L.; Wu, L.F. Manure substitution improves maize yield by promoting soil fertility and mediating the microbial community in lime concretion black soil. J. Integr. Agric. 2024, 23, 698–710. [Google Scholar] [CrossRef]
- Wang, J.F.; Wang, Z.Z.; Gu, F.X.; Liu, H.; Kang, G.Z.; Feng, W.; Wang, Y.H.; Guo, T.C. Tillage and irrigation increase wheat root systems at deep soil layer and grain yields in lime concretion black soil. Sci. Rep. 2021, 11, 6394. [Google Scholar] [CrossRef]
- Ding, T.Y.; Guo, Z.C.; Qian, Y.Q.; Wang, Y.K.; Jiang, F.H.; Zhang, Z.B.; Peng, X.H. Interaction between POM and pore structure during straw decomposition in two soils with contrasting texture. Soil Tillage Res. 2025, 245, 106288. [Google Scholar] [CrossRef]
- Ding, T.Y.; Guo, Z.C.; Hua, K.K.; Yu, Z.Z.; Li, J.Q.; Chen, Y.M.; Guo, Z.B.; Wang, D.Z.; Liu, J.L.; Peng, X.H. Effects of legume-cover crop rotations on soil pore characteristics and particulate organic matter distributions in Vertisol based on X-ray computed tomography. Geoderma 2025, 461, 117464. [Google Scholar] [CrossRef]
- Zhang, G.L.; Gong, Z.T. Soil Survey Laboratory Methods; Science Press: Beijing, China, 2012; pp. 92–103. [Google Scholar]
- Zhao, J.S.; Chen, S.; Hui, R.G.; Li, Y.Y. Aggregate stability and size distribution of red soils under different land uses integrally regulated by soil organic matter, and iron and aluminum oxides. Soil Tillage Res. 2017, 167, 73–79. [Google Scholar] [CrossRef]
- Tang, X.; Hamoud, Y.A.; Shaghaleh, H.; Zhao, J.; Wang, H.; Wang, J.; Zhao, T.; Li, B.; Lu, Y. Responses of soil labile organic carbon on aggregate stability across different collapsing-gully erosion positions from Acric Ferralsols of South China. Agronomy 2023, 13, 1869. [Google Scholar] [CrossRef]
- Elliott, E.T. Aggregate structure and carbon, nitrogen, and phosphorus in native and cultivated soils. Soil Sci. Soc. Am. J. 1986, 50, 627–633. [Google Scholar] [CrossRef]
- Tang, X.; Qiu, J.C.; Xu, Y.Q.; Li, J.H.; Chen, J.H.; Li, B.; Lu, Y. Responses of soil aggregate stability to organic C and total N as controlled by land-use type in a region of south China affected by sheet erosion. Catena 2022, 218, 106543. [Google Scholar] [CrossRef]
- Lu, J.; Zheng, F.L.; Li, G.F.; Bian, F.; An, J. The effects of raindrop impact and runoff detachment on hillslope soil erosion and soil aggregate loss in the Mollisol region of Northeast China. Soil Tillage Res. 2016, 161, 79–85. [Google Scholar] [CrossRef]
- Zhu, G.Y.; Shang-Guan, Z.P.; Deng, L. Soil aggregate stability and aggregate-associated carbon and nitrogen in natural restoration grassland and Chinese red pine plantation on the Loess Plateau. Catena 2017, 149, 253–260. [Google Scholar] [CrossRef]
- Zheng, J.Y.; Zhao, J.S.; Shi, Z.H.; Wang, L. Soil aggregates are key factors that regulate erosion-related carbon loss in citrus orchards of southern China: Bare land vs. grass-covered land. Agric. Ecosyst. Environ. 2021, 309, 107254. [Google Scholar] [CrossRef]
- Tagar, A.A.; Adamowski, J.; Memon, M.S.; Do, M.C.; Mashori, A.S.; Soomro, A.S.; Bhayo, W.A. Soil fragmentation and aggregate stability as affected by conventional tillage implements and relations with fractal dimensions. Soil Tillage Res. 2020, 197, 104494. [Google Scholar] [CrossRef]
- Yan, L.; Jiang, X.X.; Ji, X.N.; Zhou, L.T.; Li, S.Y.; Chen, C.; Li, P.Y.; Zhu, Y.C.; Dong, T.H.; Meng, Q.F. Distribution of water-stable aggregates under soil tillage practices in a black soil hillslope cropland in Northeast China. J. Soils Sediments 2020, 20, 24–31. [Google Scholar] [CrossRef]
- Ren, F.; Zhang, R.; Sun, N.; Li, Y.; Xu, M.; Zhang, F.; Xu, W. Patterns and driving factors of soil organic carbon sequestration efficiency under various manure regimes across Chinese croplands. Agric. Ecosyst. Environ. 2024, 359, 108723. [Google Scholar] [CrossRef]
- Song, H.; Yang, B.; Liang, Y.; Yang, L.; Song, J.; Li, T. Combined application of balanced chemical and organic fertilizers on improving crop yield by affecting soil macroaggregation and carbon sequestration. Agronomy 2024, 14, 2813. [Google Scholar] [CrossRef]
- Zhang, Y.; E, S.; Wang, Y.; Su, S.; Bai, L.; Wu, C.; Zeng, X. Long-term manure application enhances the stability of aggregates and aggregate-associated carbon by regulating soil physicochemical characteristics. Catena 2021, 203, 105342. [Google Scholar] [CrossRef]
- Ghimire, R.; Machado, S.; Bista, P. Decline in soil organic carbon and nitrogen limits yield in wheat-fallow systems. Plant Soil 2018, 422, 423–435. [Google Scholar] [CrossRef]
- Han, Z.; Wu, X.; Gao, H.; Jia, A.; Gao, Q. Long-term conservation tillage increases soil organic carbon stability by modulating microbial nutrient limitations and aggregate protection. Agronomy 2025, 15, 1571. [Google Scholar] [CrossRef]
- Zhang, B.; Li, Y.; Ren, T.; Tian, Z.; Wang, G.; He, X.; Tian, C. Short-term effect of tillage and crop rotation on microbial community structure and enzyme activities of a clay loam soil. Biol. Fertil. Soils 2014, 50, 1077–1085. [Google Scholar] [CrossRef]
- Kan, Z.R.; Liu, W.X.; Liu, W.S.; Lal, R.; Dang, Y.P.; Zhao, X.; Zhang, H.L. Mechanisms of soil organic carbon stability and its response to no-till: A global synthesis and perspective. Glob. Change Biol. 2022, 28, 693–710. [Google Scholar] [CrossRef]
- Suleiman, A.K.A.; Gonzatto, R.; Aita, C.; Lupatini, M.; Jacques, R.J.S.; Kuramae, E.E.; Antoniolli, Z.I.; Roesch, L.F.W. Temporalvariability of soil microbial communities after application of dicyandiamide-treated swine slurry and mineral fertilizers. Soil Biol. Biochem. 2016, 97, 71–82. [Google Scholar] [CrossRef]
- Nieman, C.C.; Coblentz, W.K.; Moore, P.A., Jr.; Akins, M.S. Effect of poultry litter application method and rainfall and delayed wrapping on warm-season grass baleage. Agronomy 2023, 13, 1896. [Google Scholar] [CrossRef]
- Ye, G.; Lin, Y.; Liu, D.; Chen, Z.; Luo, J.; Bolan, N.; Fan, J.; Ding, W. Long-term application of manure over plant residues mitigates acidification, builds soil organic carbon and shifts prokaryotic diversity in acidic Ultisols. Appl. Soil Ecol. 2019, 133, 24–33. [Google Scholar] [CrossRef]
- Li, X.; Li, J.; Zhao, Z.; Zhou, K.; Zhan, X.; Wang, Y.; Liu, N.; Han, X.; Li, X. Soil organic carbon and humus characteristics: Response and evolution to long-term direct/carbonized straw return to field. Agronomy 2024, 14, 2400. [Google Scholar] [CrossRef]
- Mustafa, A.; Hu, X.; Shah, S.A.A.; Abrar, M.M.; Maitlo, A.A.; Kubar, K.A.; Saeed, Q.; Kamran, M.; Naveed, M.; Boren, W.; et al. Long-term fertilization alters chemical composition and stability of aggregate-associated organic carbon in a Chinese red soil: Evidence from aggregate fractionation, C mineralization, and 13C NMR analyses. J. Soils Sediments 2021, 21, 2483–2496. [Google Scholar] [CrossRef]
- Yang, C.D.; Lu, S.G. Effects of five different biochars on aggregation, water retention and mechanical properties of paddy soil: A field experiment of three-season crops. Soil Tillage Res. 2021, 205, 104798. [Google Scholar] [CrossRef]
- Zhang, X.; Xin, X.; Zhu, A.; Yang, W.; Zhang, J.; Ding, S.; Mu, L.; Shao, L. Linking macroaggregation to soil microbial community and organic carbon accumulation under different tillage and residue managements. Soil Tillage Res. 2018, 178, 99–107. [Google Scholar] [CrossRef]
- Yang, C.; Sainju, U.M.; Li, C.; Fu, X.; Zhao, F.; Wang, J. Long-term chemical and organic fertilization differently affect soil aggregates and associated carbon and nitrogen in the Loess Plateau of China. Agronomy 2023, 13, 1466. [Google Scholar] [CrossRef]
- Zhou, M.; Liu, C.; Wang, J.; Meng, Q.; Du, W. Soil aggregates stability and storage of soil organic carbon respond to cropping systems on Black Soils of Northeast China. Sci. Rep. 2020, 10, 265. [Google Scholar] [CrossRef]
- Bhattacharyya, R.; Prakash, V.; Kundu, S.; Srivastva, A.K.; Gupta, H.S.; Mitra, S. Long term effects of fertilization on carbon and nitrogen sequestration and aggregate associated carbon and nitrogen in the Indian sub-Himalayas. Nutr. Cycl. Agroecosyst. 2010, 86, 1–16. [Google Scholar] [CrossRef]
- Li, S.X.; Wang, Z.H.; Miao, Y.F.; Li, S.Q. Soil organic nitrogen and its contribution to crop production. J. Integr. Agric. 2014, 13, 2061–2080. [Google Scholar] [CrossRef]
- Wang, J.; Sun, X.; Zhang, Y.; Fang, Y.; Zhan, Y.; Guo, R.; Qian, R.; Cai, T.; Liu, T.; Jia, Z.; et al. Soil aggregates and aggregateassociated carbon and nitrogen in farmland in relation to long-term fertilization on the Loess Plateau, China. Agronomy 2023, 13, 1312. [Google Scholar] [CrossRef]
- Zhang, X.F.; Xin, X.L.; Zhu, A.N.; Zhang, J.B.; Yang, W.L. Effects of tillage and residue managements on organic C accumulation and soil aggregation in a sandy loam soil of the North China Plain. Catena 2017, 156, 176–183. [Google Scholar] [CrossRef]
- Mikha, M.M.; Rice, C.W. Tillage and manure effects on soil and aggregate-associated carbon and nitrogen. Soil Sci. Soc. Am. J. 2004, 68, 809–816. [Google Scholar] [CrossRef]







| Treatment | Fertilization Regime | N (kg ha−1) | P2O5 (kg ha−1) | K2O (kg ha−1) | Pig Manure (kg ha−1) | Cattle Manure (kg ha−1) | Straw Return (Dry Weight, t ha−1) |
|---|---|---|---|---|---|---|---|
| CK | No fertilizer | 0.00/0.00 | 0.00/0.00 | 0.00/0.00 | 0.00/0.00 | 0.00/0.00 | 0.00/0.00 |
| NPK | Chemical fertilizer | 300/250 | 120/45 | 100/45 | 0.00/0.00 | 0.00/0.00 | 0.00/0.00 |
| 50%NPKP | 50% of chemical fertilizer plus pig manure | 150/125 | 60/22.5 | 50/22.5 | 6000/6000 | 0.00/0.00 | 0.00/0.00 |
| 50%NPKC | 50% of chemical fertilizer plus cattle manure | 150/125 | 60/22.5 | 50/22.5 | 0.00/0.00 | 6000/6000 | 0.00/0.00 |
| 70%NPKPS | 70% of chemical fertilizer plus pig manure and straw return | 210/175 | 84/31.5 | 70/31.5 | 6000/6000 | 0.00/0.00 | 5.62/16.56 |
| 70%NPKCS | 70% of chemical fertilizer plus cattle manure and straw return | 210/175 | 84/31.5 | 70/31.5 | 0.00/0.00 | 6000/6000 | 5.21/16.29 |
| Parameters 1 | Principal Component | |
|---|---|---|
| PC1 | PC2 | |
| MWD | −0.37 | −0.15 |
| GMD | −0.38 | −0.06 |
| Dm | 0.38 | 0.08 |
| WSA | −0.30 | 0.44 |
| MWSSA | 0.35 | −0.30 |
| LMA | −0.36 | −0.26 |
| SMA | 0.17 | 0.62 |
| MIA | 0.33 | 0.18 |
| SCA | 0.30 | −0.44 |
| Eigenvalue | 6.80 | 1.87 |
| Contributionrate (%) | 75.58 | 20.80 |
| Cumulative contributionrate (%) | 75.58 | 96.38 |
| Fertilizer Treatments 1 | PC1 Score | PC2 Score | Comprehensive Score |
|---|---|---|---|
| CK | 0.96 | −0.66 | 0.61 |
| NPK | 1.01 | −0.69 | 0.64 |
| 50%NPKP | 0.06 | 0.79 | 0.22 |
| 50%NPKC | −0.18 | 0.53 | −0.02 |
| 70%NPKPS | −0.01 | 1.02 | 0.21 |
| 70%NPKCS | −1.85 | −0.99 | −1.66 |
| Item 1 | Regression Equation 2 | R-Squared 3 |
|---|---|---|
| MWD | MWD = 0.033 × LMA + 0.011 × SMA + 0.002 × MIA | 1.000 *** |
| GMD | GMD = 0.015 × LMA − 0.014 × SCA + 0.756 | 0.979 *** |
| WSA | WSA = 100 − SCA | 1.000 *** |
| Dm | Dm = 0.006 × SCA − 0.008 × LMA + 2.657 | 0.986 *** |
| MWSSA | MWSSA = 0.175 × SCA + 0.054 × MIA + 0.012 × SMA + 0.649 | 1.000 *** |
| wheat yield | wheat yield = 27.418 × TN − 11.89 × pH − 6.362 × MWD + 90.917 | 0.931 ** |
| maize yield | maize yield = 23.936 × TN + 0.961 × SOM + 46.744 | 0.925 *** |
Disclaimer/Publisher’s Note: The statements, opinions and data contained in all publications are solely those of the individual author(s) and contributor(s) and not of MDPI and/or the editor(s). MDPI and/or the editor(s) disclaim responsibility for any injury to people or property resulting from any ideas, methods, instructions or products referred to in the content. |
© 2025 by the authors. Licensee MDPI, Basel, Switzerland. This article is an open access article distributed under the terms and conditions of the Creative Commons Attribution (CC BY) license (https://creativecommons.org/licenses/by/4.0/).
Share and Cite
Zhao, J.; Tang, Y.; Qu, Y.; Chen, S.; Wang, F.; Li, X.; Wu, H.; Tang, X. Long-Term Organic Fertilization and Straw Return Affect Shajiang Black Soil (Vertisol) Nutrient Availability, Aggregate Stability, and Crop Yield with the Winter Wheat–Summer Maize Double-Cropping System in Northern China. Agronomy 2025, 15, 2558. https://doi.org/10.3390/agronomy15112558
Zhao J, Tang Y, Qu Y, Chen S, Wang F, Li X, Wu H, Tang X. Long-Term Organic Fertilization and Straw Return Affect Shajiang Black Soil (Vertisol) Nutrient Availability, Aggregate Stability, and Crop Yield with the Winter Wheat–Summer Maize Double-Cropping System in Northern China. Agronomy. 2025; 15(11):2558. https://doi.org/10.3390/agronomy15112558
Chicago/Turabian StyleZhao, Jianrong, Yingying Tang, Yangfan Qu, Songling Chen, Fuwei Wang, Xiaoliang Li, Hongsheng Wu, and Xian Tang. 2025. "Long-Term Organic Fertilization and Straw Return Affect Shajiang Black Soil (Vertisol) Nutrient Availability, Aggregate Stability, and Crop Yield with the Winter Wheat–Summer Maize Double-Cropping System in Northern China" Agronomy 15, no. 11: 2558. https://doi.org/10.3390/agronomy15112558
APA StyleZhao, J., Tang, Y., Qu, Y., Chen, S., Wang, F., Li, X., Wu, H., & Tang, X. (2025). Long-Term Organic Fertilization and Straw Return Affect Shajiang Black Soil (Vertisol) Nutrient Availability, Aggregate Stability, and Crop Yield with the Winter Wheat–Summer Maize Double-Cropping System in Northern China. Agronomy, 15(11), 2558. https://doi.org/10.3390/agronomy15112558

