Hyperspectral Detection of Single and Combined Effects of Simulated Tree Shading and Alternaria alternata Infection on Sorghum bicolor, from Leaf to UAV-Canopy Scale
Abstract
1. Introduction
2. Materials and Methods
2.1. Experimental Material and Design
2.2. Assessment of Disease Incidence
2.3. Collection of Leaf and Ground-Canopy Hyperspectral Data
2.4. Collection of UAV-Canopy Hyperspectral Data
2.5. Analyses of Hyperspectral Signatures
2.6. Leaf Trait Estimation by Vegetation Spectral Indices
2.7. Statistical Analysis of Disease Incidence and Vegetation Spectral Indices
3. Results
3.1. Disease Incidence (Experiments 2023 and 2024)
3.2. Variations in Leaf and Ground-Canopy Spectral Signatures
3.3. Variations in UAV-Canopy Spectral Signatures
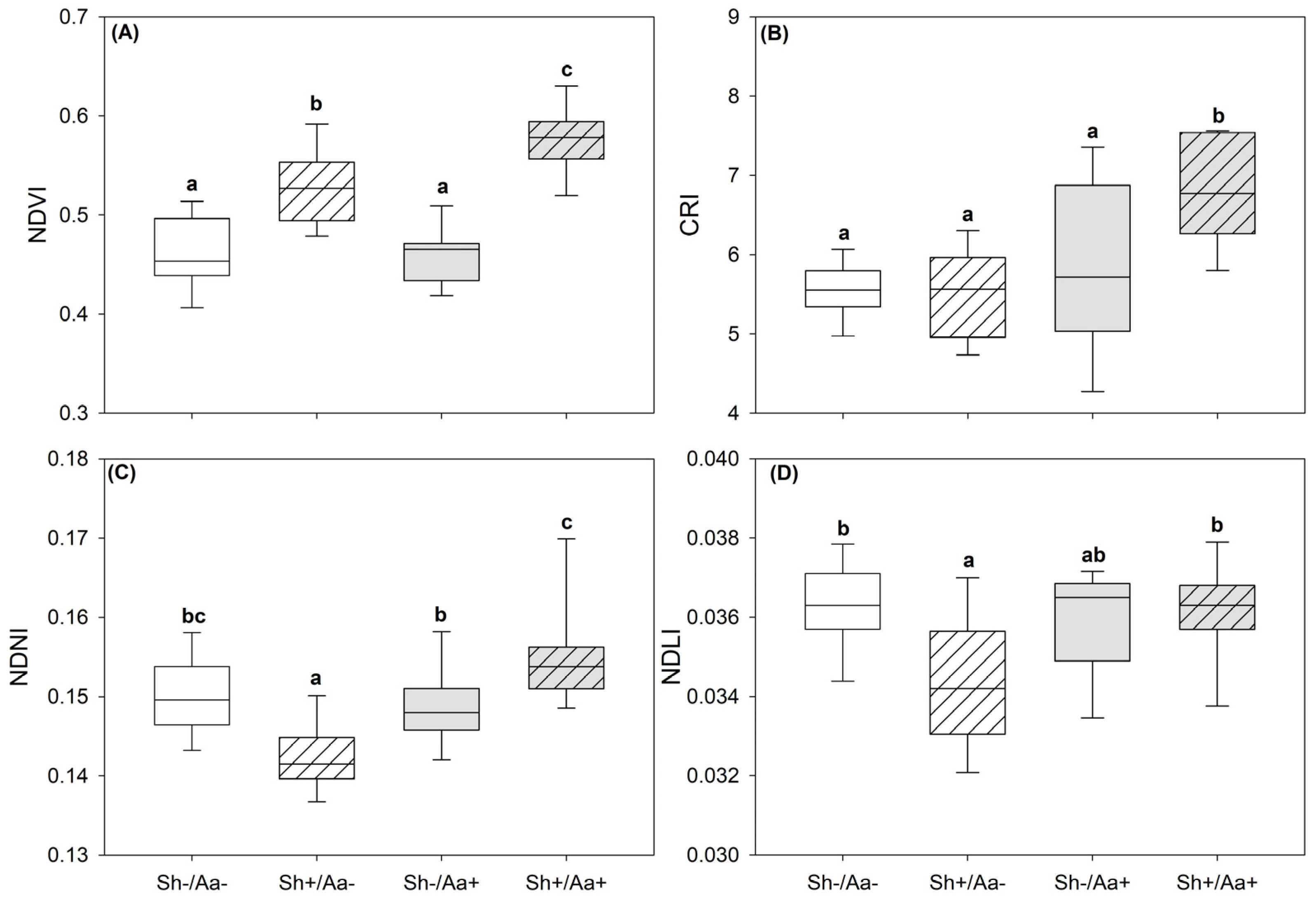
3.4. Variations in Vegetation Spectral Indices
4. Discussion
4.1. Shading Conditions Increase the Incidence of A. alternata Infection in Sorghum
4.2. Hyperspectral Data Differentiate Sorghum Responses to Shading and A. alternata Infection Across Scales
4.3. Vegetation Spectral Indices Reflect Combined Effects of Shading and A. alternata Infection on Sorghum Physiology and Stress
5. Conclusions
Supplementary Materials
Author Contributions
Funding
Data Availability Statement
Acknowledgments
Conflicts of Interest
Abbreviations
| Aa | Alternaria alternata infection |
| Acc | Accuracy |
| ANOVA | Analysis of variance |
| ARI | Anthocyanin reflectance index |
| C | Carbon |
| CFU | Colony-forming unit |
| CI | Chlorophyll index |
| CO2 | Carbon dioxide |
| CRI | Carotenoid reflectance index |
| H | Hydrogen |
| HSD | Honest significant difference |
| K | Kappa |
| N | Nitrogen |
| NDLI | Normalized difference lignin index |
| NDNI | Normalized difference nitrogen index |
| NDVI | Normalized difference vegetation index |
| NDWI | Normalized difference water index |
| NIR | Near-infrared |
| O | Oxygen |
| P | Phosphorus |
| PCoA | Principal coordinates analysis |
| PERMANOVA | Permutational multivariate analysis of variance |
| PSRI | Plant senescence reflectance index |
| PLS-DA | Partial least squares discriminant analysis |
| PDA | Potato dextrose agar |
| PRI | Photo-chemical reflectance index |
| RGB | Red, green, blue |
| Sh | Shading |
| SWIR | Short-wave infrared |
| UAV | Unmanned aerial vehicle |
| VSI | Vegetation spectral index |
| VIS | Visible |
References
- Nair, P.K.R. State-of-the-art of agroforestry research and education. Agrofor. Syst. 1993, 23, 95–119. [Google Scholar] [CrossRef]
- Antichi, D.; Mazzoncini, M.; Tramacere, L.G.; Sbrana, M.; Barberi, P.; Moonen, A.C.; Mele, M. Agroforestry systems for adaptation to and mitigation of climate change: Effects on soil fertility. Agrochimica 2019, 2019, 39–144. [Google Scholar]
- Mantino, A.; Pecchioni, G.; Tozzini, C.; Mele, M.; Ragaglini, G. Agronomic performance of soybean and sorghum in a short rotation poplar coppice alley-cropping system under Mediterranean conditions. Agrofor. Syst. 2023, 97, 1025–1039. [Google Scholar] [CrossRef]
- Friedlingstein, P.; O’Sullivan, M.; Jones, M.W.; Andrew, R.M.; Gregor, L.; Hauck, J.; Le Quéré, C.; Luijkx, I.T.; Olsen, A.; Peters, G.P.; et al. Global Carbon Budget 2022. Earth Syst. Sci. Data 2022, 14, 4811–4900. [Google Scholar] [CrossRef]
- Niether, W.; Armengot, L.; Andres, C.; Schneider, M.; Gerold, G. Shade trees and tree pruning alter throughfall and microclimate in cocoa (Theobroma cacao L.) production systems. Ann. For. Sci. 2018, 75, 38. [Google Scholar] [CrossRef]
- Lin, B.B. Agroforestry management as an adaptive strategy against potential microclimate extremes in coffee agriculture. Agr. For. Meteorol. 2007, 144, 85–94. [Google Scholar] [CrossRef]
- Tielbörger, K.; Kadmon, R. Indirect effects in a desert plant community: Is competition among annuals more intense under shrub canopies? Plant Ecol. 2000, 150, 53–63. [Google Scholar] [CrossRef]
- Valladares, F.; Niinemets, Ü. Shade tolerance, a key plant feature of complex nature and consequences. Annu. Rev. Ecol. Evol. Syst. 2008, 39, 237–257. [Google Scholar] [CrossRef]
- Valladares, F.; Laanisto, L.; Niinemets, Ü.; Zavala, M.A. Shedding light on shade: Ecological perspectives of understorey plant life. Plant Ecol. Divers. 2016, 9, 237–251. [Google Scholar] [CrossRef]
- Pumariño, L.; Sileshi, G.W.; Gripenberg, S.; Kaartinen, R.; Barrios, E.; Muchane, M.N.; Midega, C.; Jonsson, M. Effects of agroforestry on pest, disease and weed control: A meta-analysis. Basic Appl. Ecol. 2015, 16, 573–582. [Google Scholar] [CrossRef]
- Valladares, F.; Gianoli, E.; Gómez, J.M. Ecological limits to plant phenotypic plasticity. New Phytol. 2016, 219, 644–659. [Google Scholar] [CrossRef] [PubMed]
- Romero, F.; Cazzato, S.; Walder, F.; Vogelgsang, S.; Bender, S.F.; van der Heijden, M.G.A. Humidity and high temperature are important for predicting fungal disease outbreaks worldwide. New Phitol. 2022, 234, 1553–1556. [Google Scholar] [CrossRef] [PubMed]
- Tranchina, M.; Reubens, B.; Frey, M.; Mele, M.; Mantino, A. What challenges impede the adoption of agroforestry practices? A global perspective through a systematic literature review. Agrofor. Syst. 2024, 98, 1817–1837. [Google Scholar] [CrossRef]
- Tranchina, M.; Burgess, P.; Cella, F.G.; Cumplido-Marin, L.; Gosme, M.; den Herder, M.; Kay, S.; Lawson, G.; Lojka, B.; Palma, J.; et al. Exploring agroforestry limiting factors and digitalization perspectives: Insights from a European multi-actor appraisal. Agrofor. Syst. 2024, 98, 2499–2515. [Google Scholar] [CrossRef]
- Peñuelas, J.; Filella, I. Visible and near-infrared reflectance techniques for diagnosing plant physiological status. Trends Plant Sci. 1998, 3, 151–156. [Google Scholar] [CrossRef]
- Cotrozzi, L.; Couture, J.J. Hyperspectral assessment of plant responses to multi-stress environments: Prospects for managing protected agrosystems. Plants People Planet 2020, 2, 244–258. [Google Scholar] [CrossRef]
- Gongora-Canul, C.; Salgado, J.D.; Singh, D.C.; Cruz, A.P.; Cotrozzi, L.; Couture, J.; Rivadeneira, M.G.; Cruppe, G.; Valent, B.; Todd, T.; et al. Temporal dynamics of wheat blast epidemics and disease measurements using multispectral imagery. Phytopathology 2020, 110, 393–405. [Google Scholar] [CrossRef]
- Mahlein, A.K.; Kuska, M.T.; Behmann, J.; Polder, G.; Walter, A. Hyperspectral sensors and imaging technologies in phytopathology: State of the art. Annu. Rev. Phytopathol. 2018, 56, 535–558. [Google Scholar] [CrossRef]
- Cotrozzi, L. Spectroscopic detection of forest diseases: A review (1970–2020). J. For. Res. 2022, 33, 21–38. [Google Scholar] [CrossRef]
- Cotrozzi, L.; Townsend, P.A.; Pellegrini, E.; Nali, C.; Couture, J.J. Reflectance spectroscopy: A novel approach to better understand and monitor the impact of air pollution on Mediterranean plants. Environ. Sci. Pollut. Res. 2018, 25, 8249–8267. [Google Scholar] [CrossRef]
- Ustin, S.L.; Jacquemoud, S. How the optical properties of leaves modify the absorption and scattering of energy and enhance leaf functionality. In Remote Sensing of Plant Biodiversity; Cavender-Bares, J., Gamon, J.A., Townsend, P.A., Eds.; Springer: Cham, Switzerland, 2020; pp. 349–384. [Google Scholar] [CrossRef]
- Gamon, J.A.; Field, C.B.; Goulden, M.L.; Griffin, K.L.; Hartley, A.E.; Joel, G.; Peñuelas, J.; Valentini, R. Relationships between NDVI, canopy structure, and photosynthesis in three Californian vegetation types. Ecol. Appl. 1995, 5, 28–41. [Google Scholar] [CrossRef]
- Berenji, J.; Dahlberg, J. Perspectives of sorghum in Europe. J. Agron. Crop Sci. 2004, 190, 332–338. [Google Scholar] [CrossRef]
- Orlandi, F.; Bonofiglio, T.; Ruga, L.; Fornaciari, M. Meteorological influences on pheno–morpho–yield data of grain sorghum varieties in Central Italy. Agron. J. 2017, 109, 2182–2189. [Google Scholar] [CrossRef]
- Aichinger, G.; Del Favero, G.; Warth, B.; Marko, D. Alternaria toxins–Still emerging? Compr. Rev. Food Sci. Food Saf. 2021, 20, 4390–4406. [Google Scholar] [CrossRef]
- Agrios, G.N. Plant Pathology, 5th ed.; Academic Press: San Diego, CA, USA, 2005. [Google Scholar] [CrossRef]
- Ostry, V. Alternaria mycotoxins: An overview of chemical characterization, producers, toxicity, analysis and occurrence in foodstuffs. World Mycotoxin J. 2008, 1, 175–188. [Google Scholar] [CrossRef]
- European Food Safety Authority; Arcella, D.; Eskola, M.; Gómez Ruiz, J.A. Dietary exposure assessment to Alternaria toxins in the European population. EFSA J. 2016, 14, 4654. [Google Scholar] [CrossRef]
- Rodriguez-Herrera, R.; Rooney, W.L.; Rosenow, D.T.; Frederiksen, R.A. Inheritance of grain mold resistance in grain sorghum without a pigmented testa. Crop Sci. 2000, 40, 1573–1578. [Google Scholar] [CrossRef]
- Navi, S.S.; Bandyopadhyay, R.; Reddy, R.K.; Thakur, R.P.; Yang, X.B. Effects of wetness duration and grain development stages on sorghum grain mold infection. Plant Dis. 2005, 89, 872–878. [Google Scholar] [CrossRef]
- Ackerman, A.; Wenndt, A.; Boyles, R. The sorghum grain mold disease complex: Pathogens, host responses, and the bioactive metabolites at play. Front. Plant Sci. 2021, 12, 660171. [Google Scholar] [CrossRef]
- Van de Perre, E.; Jacxsens, L.; Liu, C.; Devlieghere, F.; De Meulenaer, B. Climate impact on Alternaria moulds and their mycotoxins in fresh produce: The case of the tomato chain. Food Res. Int. 2015, 68, 41–46. [Google Scholar] [CrossRef]
- Medina, A.; Akbar, A.; Baazeem, A.; Rodriguez, A.; Magan, N. Climate change, food security and mycotoxins: Do we know enough? Fungal Biol. Rev. 2017, 31, 143–154. [Google Scholar] [CrossRef]
- Chidoko, P.; Mhike, X.; Chemura, A.; Manyanga, M. Spectral characterization and discrimination of sorghum (Sorghum bicolor (L.) Moench) cultivars for remote sensing-based phenotyping and selection. J. Indian Soc. Remote Sens. 2025, 53, 1–13. [Google Scholar] [CrossRef]
- Li, J.; Shi, Y.; Veeranampalayam-Sivakumar, A.N.; Schachtman, D.P. Elucidating sorghum biomass, nitrogen and chlorophyll contents with spectral and morphological traits derived from unmanned aircraft system. Front. Plant Sci. 2018, 9, 1406. [Google Scholar] [CrossRef]
- Tunca, E.; Köksal, E.S.; Öztürk, E.; Akay, H.; Çetin Taner, S. Accurate estimation of sorghum crop water content under different water stress levels using machine learning and hyperspectral data. Environ. Monit. Assess. 2023, 195, 877. [Google Scholar] [CrossRef]
- Barion, G.; Hewidy, M.; Panozzo, A.; Aloia, A.; Vamerali, T. Effects of lightorientation and mechanical damage to leaves on isoflavone accumulation in soybean seeds. Agronomy 2021, 11, 589. [Google Scholar] [CrossRef]
- Tramacere, L.G.; Antichi, D.; Mele, M.; Ragaglini, G.; Mantino, A. Effects of intercropping on the herbage production of a binary grass-legume mixture (Hedysarum coronarium L. and Lolium multiflorum Lam.) under artificial shade in Mediterranean rainfed conditions. Agrofor. Syst. 2024, 98, 1445–1460. [Google Scholar] [CrossRef]
- Varella, A.C.; Moot, D.J.; Pollock, K.M.; Peri, P.L.; Lucas, R.J. Do light and alfalfa responses to cloth and slatted shade represent those measured under an agroforestry system? Agrofor. Syst. 2011, 81, 157–173. [Google Scholar] [CrossRef]
- Mantino, A.; Tozzini, C.; Bonari, E.; Mele, M.; Ragaglini, G. Competition for Light Affects Alfalfa Biomass Production More Than Its Nutritive Value in an Olive-Based Alley-Cropping System. Forests 2021, 12, 233. [Google Scholar] [CrossRef]
- Pisuttu, C.; Pellegrini, E.; Cotrozzi, L.; Nali, C.; Lorenzini, G. Ecophysiological and biochemical events associated with the challenge of Verticillium dahliae to eggplant. Eur. J. Plant Pathol. 2020, 158, 879–894. [Google Scholar] [CrossRef]
- Prom, L.K.; Garcia, M.F.; Herrington, M.C. Morphological and molecular characterization of sorghum grain mold pathogens in relation to disease severity. Plant Pathol. 2020, 69, 1765–1775. [Google Scholar] [CrossRef]
- Anderson, M.J. A new method for non-parametric multivariate analysis of variance. Austral. Ecol. 2001, 26, 32–46. [Google Scholar] [CrossRef]
- Dixon, P. VEGAN, a package of R functions for community ecology. J. Veg. Sci. 2003, 14, 927–930. [Google Scholar] [CrossRef]
- Chevallier, S.; Bertand, D.; Kohler, A.; Courcoux, P. Application of PLS-DA in multivariate image analysis. J. Chemom. 2006, 20, 221–229. [Google Scholar] [CrossRef]
- Kuhn, M. Building predictive models in R using the caret package. J. Stat. Softw. 2008, 28, 5. [Google Scholar] [CrossRef]
- Gitelson, A.A.; Merzlyak, M.N.; Chivkunova, O.B. Optical properties and nondestructive estimation of anthocyanin content in plant leaves. Photochem. Photobiol. 2001, 74, 38–45. [Google Scholar] [CrossRef]
- Gamon, J.A.; Serrano, L.; Surfus, J.S. The photochemical reflectance index: An optical indicator of photosynthetic radiation use efficiency across species, functional types, and nutrient levels. Oecologia 1997, 112, 492–501. [Google Scholar] [CrossRef]
- Gao, B.C. NDWI-a normalized difference water index for remote sensing of vegetation liquid from space. Remote Sens. Environ. 1996, 58, 257–266. [Google Scholar] [CrossRef]
- Gitelson, A.A.; Zur, Y.; Chivkunova, O.B.; Merzlyak, M.N. Assessing carotenoid content in plant leaves with reflectance spectroscopy. Photochem. Photobiol. 2002, 75, 272–281. [Google Scholar] [CrossRef]
- Serrano, L.; Peñuelas, J.; Ustin, S.L. Remote sensing of nitrogen and lignin in Mediterranean vegetation from AVIRIS data: Decomposing biochemical from structural signals. Remote Sens. Environ. 2002, 81, 355–364. [Google Scholar] [CrossRef]
- Merzlyak, M.N.; Gitelson, A.A.; Chivkunova, O.B.; Rakitin, V.Y. Non-destructive optical detection of pigment changes during leaf senescence and fruit ripening. Physiol. Plant. 1999, 106, 135–141. [Google Scholar] [CrossRef]
- Katul, L.; Wan, S.; Hung, W.; Collins, S. Effect of microclimate on fungal spore germination and disease development. Plant Pathol. 2012, 61, 25–36. [Google Scholar] [CrossRef]
- Thomma, B.P.H.J. Alternaria spp.: From general saprophyte to specific parasite. Mol. Plant Pathol. 2003, 4, 225–236. [Google Scholar] [CrossRef] [PubMed]
- Isah, T. Stress and defense responses in plant secondary metabolites production. Biol. Res. 2019, 52, 39. [Google Scholar] [CrossRef] [PubMed]
- Ballaré, C.L. Light regulation of plant defense. Annu. Rev. Plant Biol. 2014, 65, 335–363. [Google Scholar] [CrossRef] [PubMed]
- Weir, T.L.; Park, S.W.; Vivanco, J.M. Biochemical and physiological mechanisms mediated by allelochemicals. Curr. Opin. Plant Biol. 2004, 7, 472–479. [Google Scholar] [CrossRef]
- Doehlemann, G.; Ökmen, B.; Zhu, W.; Sharon, A. Plant pathogenic fungi and oomycetes: A case of cross-kingdom horizontal gene transfer? PLoS Pathog. 2008, 4, e1000165. [Google Scholar] [CrossRef]
- Cerda, R.; Avelino, J.; Harvey, C.A.; Gary, C.; Tixier, P.; Allinne, C. Coffee agroforestry systems capable of reducing disease-induced yield and economic losses while providing multiple ecosystem services. Crop Prot. 2020, 134, 105149. [Google Scholar] [CrossRef]
- Gitelson, A.A.; Merzlyak, M.N.; Lichtenthaler, H.K. Detection of red edge spectral shift caused by chlorophyll decrease in plant leaves. Photochem. Photobiol. 2003, 71, 366–373. [Google Scholar] [CrossRef]
- Blackburn, G.A. Hyperspectral remote sensing of plant pigments. J. Exp. Bot. 2007, 58, 855–867. [Google Scholar] [CrossRef]
- Carter, G.A.; Knapp, A.K. Leaf optical properties in higher plants: Linking spectral characteristics to stress and chlorophyll concentration. Am. J. Bot. 2001, 88, 677–684. [Google Scholar] [CrossRef]
- Curran, P.J. Remote sensing of foliar chemistry. Remote Sens. Environ. 1989, 30, 271–278. [Google Scholar] [CrossRef]
- Serbin, S.P.; Singh, A.; McNeil, B.E.; Kingdon, C.C.; Townsend, P.A. Spectroscopic determination of leaf morphological and biochemical traits for northern temperate and boreal tree species. Ecol. Appl. 2014, 24, 1651–1669. [Google Scholar] [CrossRef] [PubMed]
- Mahlein, A.K. Plant disease detection by imaging sensors. Parallels and specific demands for precision agriculture and plant phenotyping. Plant Dis. 2016, 100, 241–251. [Google Scholar] [CrossRef]
- Carretero, R.; Serrago, R.A.; Bancal, M.O.; Perelló, A.E.; Miralles, D.J. Absorbed radiation and radiation use efficiency as affected by foliar diseases in relation to their vertical position into the canopy in wheat. Field Crops Res. 2010, 116, 184–195. [Google Scholar] [CrossRef]
- Liu, C.; Du, T.; Kang, S.; Zhang, J.; Ding, R. Effects of disease on plant canopy structure and light interception. Ecol. Indic. 2019, 99, 98–108. [Google Scholar] [CrossRef]
- Haboudane, D.; Miller, J.R.; Pattey, E.; Zarco-Tejada, P.J.; Strachan, I.B. Hyperspectral vegetation indices and novel algorithms for predicting green LAI of crop canopies: Modeling and validation in the context of precision agriculture. Remote Sens. Environ. 2004, 90, 337–352. [Google Scholar] [CrossRef]
- López-López, J.A.; Kokaly, R.F.; Asner, G.P. The challenge of monitoring complex biotic stress interactions using UAV hyperspectral data. Remote Sens. 2020, 12, 1423. [Google Scholar] [CrossRef]
- Thenkabail, P.S.; Lyon, J.G.; Huete, A. Hyperspectral Remote Sensing of Vegetation; CRC Press: Boca Raton, FL, USA, 2012. [Google Scholar] [CrossRef]
- Gamon, J.A.; Qiu, H.L.; Sanchez-Azofeifa, A. Ecological applications of remote sensing at multiple scales. In Functional Plant Ecology; CRC Press: Boca Raton, FL, USA, 2007; pp. 655–684. [Google Scholar] [CrossRef]
- Jose, S. Agroforestry for ecosystem services and environmental benefits: An overview. Agrofor. Syst. 2009, 76, 1–10. [Google Scholar] [CrossRef]
- Carter, G.A. Reflectance Wavebands and Indices for Remote Estimation of Photosynthesis and Stomatal Conductance in Pine Canopies. Remote Sens. Environ. 1998, 63, 77–85. [Google Scholar] [CrossRef]




| Effect | df | Leaf | Ground-Canopy | ||||
|---|---|---|---|---|---|---|---|
| F | p | R2 | F | p | R2 | ||
| Sh | 1 | 12.66 | *** | 0.18 | 8.72 | ** | 0.09 |
| Aa | 1 | 2.32 | ns | 0.03 | 19.25 | *** | 0.20 |
| Sh × Aa | 1 | 3.58 | * | 0.07 | 8.92 | ** | 0.09 |
| Leaf | Ground-Canopy | |||||||
|---|---|---|---|---|---|---|---|---|
| Sh−/Aa− | Sh+/Aa− | Sh−/Aa+ | Sh+/Aa+ | Sh−/Aa− | Sh+/Aa− | Sh−/Aa+ | Sh+/Aa+ | |
| Sh−/Aa− | 0.98 | 0.00 | 0.02 | 0.00 | 0.83 | 0.02 | 0.14 | 0.01 |
| Sh+/Aa− | 0.15 | 0.73 | 0.02 | 0.10 | 0.09 | 0.86 | 0.03 | 0.02 |
| Sh−/Aa+ | 0.38 | 0.00 | 0.53 | 0.09 | 0.03 | 0.01 | 0.94 | 0.02 |
| Sh+/Aa+ | 0.00 | 0.02 | 0.01 | 0.97 | 0.01 | 0.00 | 0.02 | 0.97 |
| Effect | df | UAV-Canopy | ||
|---|---|---|---|---|
| F | p | R2 | ||
| Sh | 1 | 7.13 | * | 0.09 |
| Aa | 1 | 11.27 | ** | 0.14 |
| Sh × Aa | 1 | 0.04 | ns | 0.00 |
| VSI | Sh (df:1) | Aa (df:1) | Sh × Aa (df:1) |
|---|---|---|---|
| NDVI | 65.06 *** | 7.42 ** | 6.47 * |
| PRI | 30.03 *** | 0.70 ns | 1.30 ns |
| PSRI | 20.67 *** | 2.45 ns | 1.77 ns |
| NDWI | 5.47 * | 4.39 * | 0.56 ns |
| CI | 71.83 *** | 4.54 * | 1.51 ns |
| CRI | 6.00 * | 15.85 ** | 6.98 * |
| NDNI | 0.38 ns | 18.52 *** | 27.64 *** |
| NDLI | 1.70 ns | 3.48 ns | 12.00 *** |
| ARI | 52.18 *** | 2.88 ns | 0.19 ns |
Disclaimer/Publisher’s Note: The statements, opinions and data contained in all publications are solely those of the individual author(s) and contributor(s) and not of MDPI and/or the editor(s). MDPI and/or the editor(s) disclaim responsibility for any injury to people or property resulting from any ideas, methods, instructions or products referred to in the content. |
© 2025 by the authors. Licensee MDPI, Basel, Switzerland. This article is an open access article distributed under the terms and conditions of the Creative Commons Attribution (CC BY) license (https://creativecommons.org/licenses/by/4.0/).
Share and Cite
Pippi, L.; Alibani, M.; Acito, N.; Antichi, D.; Caruso, G.; Fontanelli, M.; Moretti, M.; Nali, C.; Pampana, S.; Pellegrini, E.; et al. Hyperspectral Detection of Single and Combined Effects of Simulated Tree Shading and Alternaria alternata Infection on Sorghum bicolor, from Leaf to UAV-Canopy Scale. Agronomy 2025, 15, 2458. https://doi.org/10.3390/agronomy15112458
Pippi L, Alibani M, Acito N, Antichi D, Caruso G, Fontanelli M, Moretti M, Nali C, Pampana S, Pellegrini E, et al. Hyperspectral Detection of Single and Combined Effects of Simulated Tree Shading and Alternaria alternata Infection on Sorghum bicolor, from Leaf to UAV-Canopy Scale. Agronomy. 2025; 15(11):2458. https://doi.org/10.3390/agronomy15112458
Chicago/Turabian StylePippi, Lorenzo, Michael Alibani, Nicola Acito, Daniele Antichi, Giovanni Caruso, Marco Fontanelli, Michele Moretti, Cristina Nali, Silvia Pampana, Elisa Pellegrini, and et al. 2025. "Hyperspectral Detection of Single and Combined Effects of Simulated Tree Shading and Alternaria alternata Infection on Sorghum bicolor, from Leaf to UAV-Canopy Scale" Agronomy 15, no. 11: 2458. https://doi.org/10.3390/agronomy15112458
APA StylePippi, L., Alibani, M., Acito, N., Antichi, D., Caruso, G., Fontanelli, M., Moretti, M., Nali, C., Pampana, S., Pellegrini, E., Peruzzi, A., Risoli, S., Sileoni, G., Silvestri, N., Tramacere, L. G., & Cotrozzi, L. (2025). Hyperspectral Detection of Single and Combined Effects of Simulated Tree Shading and Alternaria alternata Infection on Sorghum bicolor, from Leaf to UAV-Canopy Scale. Agronomy, 15(11), 2458. https://doi.org/10.3390/agronomy15112458

