Abstract
Image analysis is widely applied in plant science for phenotyping and monitoring botanic and agricultural species. Although a lot of software is available, tools integrating image analysis and statistical assessment of seedling growth in large groups of plants are limited or absent, and do not cover the needs of researchers. In this study, we developed Morley, a free, open-source graphical user interface written in Python. Morley automates the following workflow: (1) group-wise analysis of a few thousand seedlings from multiple images; (2) recognition of seeds, shoots, and roots in seedling images; (3) calculation of shoot and root lengths and surface area; (4) evaluation of statistically significant differences between plant groups; (5) calculation of germination rates; and (6) visualization and interpretation. Morley is designed for laboratory studies of biotic effects on seedling growth, when the molecular mechanisms underlying the morphometric changes are analyzed. The performance was tested using cultivars of Triticum aestivum and Pisum sativum on seedlings of up to 1 week old. The accuracy of the measured morphometric parameters was comparable with that obtained using ImageJ and manual measurements. Possible applications of Morley include dose-dependent laboratory tests for germination affected by new bioactive compounds and fertilizers.
1. Introduction
Machine learning and computer vision are at the frontier of developing methods that solve multiple tasks in agriculture, including seed quality control [1]. As seed vigor and germination rates are key factors impacting crop production [2,3], intelligent assessment of germination and seedling growth has remained of high interest for years [4,5,6,7,8,9,10,11]. The need for effective seed quality control is derived from the development of automated procedures to replace or reduce manual labor [4,12]. Some computer vision software is designed for use in the field, while others focus on research applications. Field usage usually involves real-time monitoring implemented using video cameras and subsequent video data analysis. Laboratory usage, on the other hand, implies the research and development (R&D) of new bioactive chemicals, fertilizers, and crop cultivars, including an early stage before greenhouse and field trials. The R&D step often requires an analysis of multiple images taken with a photo camera under different conditions at different time points. The resulting images are used to determine the germination rates, lengths and shapes of shoots and roots, and other morphometric and phenotypic parameters. Software for intra-laboratory tests can solve a variety of tasks: germination tests, morphometry, and phenotyping of plant organs. The calculation of the germination rates (fraction of seeds with radicle emergence at the end of the experiment) is based on the classification of seeds into the germinated and non-germinated classes [11,13,14]. This classification can be supplemented with the recognition of different phenotypes [6] or specific structural subtypes of seedlings, computing the length of a seedling, growth speed, and vigor index [9]. Some methods for the evaluation of seed germination use color thresholds that require a sufficient contrast between the seed and radicle [8]. Another option is using machine learning instead of manual color adjustment to speed up the automated estimation of seed germination [5,11]. Some software for the analysis of seed germination over time is species-specific [7]. Typically, software aimed at germination tests is not capable of geometric morphometry, phenotyping, and statistical analysis of differences between plant groups.
A number of tools for image analysis perform plant morphometry and phenotyping [15,16,17,18,19,20]. Plant phenotyping toolkits provide high-throughput plant species identification using databases to classify and characterize the variance within species [21,22]. Phenotyping is based on accurate morphometric tools allowing for the reproducible extraction of phenotypic features. Morphometric parameters are also widely used to detect biotic and abiotic effects of biochemicals, fertilizers, and/or environmental conditions. In this case, the lengths, angles, surface areas, and numbers of plant organs are of interest. Leaf, shoot, and root lengths and surface areas of seedlings are often measured using ImageJ, a freely available tool for multi-purpose image analysis [23,24,25,26,27,28]. At the same time, analysis with ImageJ is often restricted to a few dozen plants due to the difficulty when manually pre-processing images in order to select the objects of interest. The Quantitative Plant database [29] lists over 180 software tools for plant image analysis, showcasing their diversity. However, an expert opinion emphasizes the lack of robust validation and long-term support of software [29].
In our experience, there is a lack of tools for integrating the following tasks in one automated workflow: image analysis of up to a few thousand plant objects, calculation of germination rates, measuring lengths and surface areas, and statistical interpretation of the differences in the geometric morphometry. Such a tool should provide on-the-fly conclusions on the differences between plant groups, allow for the processing of multiple plant images, and output the results of the statistical analysis. The software described above would be a useful supplement for the laboratory studies of molecular mechanisms of crop responses to new bioactive compounds. When preparing seedlings for molecular analyses (i.e., microelemental or biochemical, including omics technologies, etc.), researchers have to be sure that the expected changes in germination rates and geometric morphometry are reproduced in the experiment. Thus, the main objectives of our study became the development of a reliable tool containing necessary options for solving these tasks.
Here, we present Morley, an open source software for image analysis that automates the estimation of germination rates and statistically significant morphometric changes induced by treatments with (bio)chemical agents and the reproducibility of these effects across different experiments.
2. Materials and Methods
2.1. Seeds
Triticum aestivum L. winter wheat cultivars (Irishka and Alekseich) were obtained from P.P. Lukyanenko National Grain Center, Krasnodar, Russia. Triticum aestivum L. spring wheat cultivars (Zlata and Agata) were obtained from the Federal Research Center “Nemchinovka”. “Rocket” peas and “Moskovskaya 39” winter wheat were purchased from local food stores. To validate Morley, a number of experiments were performed. Experiments included the characterization of the germination rate depending on the day of growth, effect of pre-sowing seed treatment on seedling growth, and comparison of Morley with other tools for measuring morphometric parameters. Table 1 summarizes the species, numbers of biological replicates, and numbers of seeds per biological replicate used for different experiments.
Table 1.
Seed species used in this study. NPs Fe stands for ferric nanoparticles. Seed size is represented by the maximum seed length (the longest axis of the seed) and the maximum seed width (the second longest axis, perpendicular to the length axis). Number of biological replicates (#bio.rep.) is the number of paper rolls per plant group. Each paper roll is a simplified laboratory model of a field. Number of seeds (#seeds) is the number of seeds per paper roll.
2.2. Growth of Plants
The seeds were germinated for seven days in laboratory conditions using the paper roll method. A filter paper of 15 × 50 cm or 10 × 100 cm size was wet with distilled water. A total of 15, 25, or 50 seeds (Table 1) were placed on the paper in line at a distance of 2–3 cm from the top long edge. The paper strip with seeds was covered with a wet filter paper of the same size and loosely rolled. The rolls were placed into the 0.5 L glasses filled with 100 mL of distilled water and were germinated on a laboratory table at room temperature of 19 ± 2 °C (experiments #2–3, and #5, Table 1) or in a thermostat TC-1/80 CPU (Smolensk SKTB SPU, Smolensk, Russia) at a temperature of 20 ± 1 °C (experiments #1 and #4).
2.3. Seed Treatments
For the treatment of wheat seeds (Zlata and Alekseich cultivars) with iron (II) sulfate and iron (II, III) nanoparticles (NPs Fe), the suspensions were prepared as described previously [30]. NPs Fe of a spherical shape with an average diameter of 55 nm consisted of 𝛼Fe and magnetite FeO∙Fe2O3 (70%:30%, w:w). A detailed description of the nanoparticles and their characterization are given in the Supporting Materials, Figure S1. Preparations with iron (II) sulfate and NPs Fe were made from solutions A and B. Film-forming solution A for the seed coating contained 0.56% sodium salt of carboxymethyl cellulose (Na-CMC), 1.4% polyethylene glycol 400 (PEG-400), and 0.0037% chelate compound—disodium salt of ethylenediaminetetraacetic acid (Na2-EDTA). Solution B was a water solution of iron (II) sulfate or a water suspension of NPs Fe prepared using the ultrasonic disintegrator UZDN-A (Akadempribor, Sumy, Ukraine) (0.5 A, 44 kHz, 30 s on/30 s off, three cycles, under ice cooling). The final iron concentration in solution B was 10−5%. The choice of concentrations was based on previous studies [30]. Solutions A and B were mixed at a ratio of 9:1 (v:v); the seeds were stirred with the solution for 10 min (5 mL of solution per 10 g of seeds) and dried. The control seed group was treated with solution A (Na-CMC + PEG-400 + Na2-EDTA) mixed with water at a ratio 9:1 (v:v). The untreated seeds were used as an additional control.
For FeSO4 (Khimmed, Moscow, Russia) treatment of peas (cultivar Rocket, Table 1), the seeds were placed overnight in 0.01% and 0.0025% solutions of iron (II) sulfate in distilled water. The choice of concentrations was based on the 3-day germination test in paper rolls using two-fold serial dilutions of FeSO4 stock solutions. For the two-fold dilutions of stock 1.0% FeSO4 solution, the seeds did not germinate. Therefore, the two-fold serial dilutions of stock 0.02% FeSO4 solution were tested to choose the salt concentrations providing moderate inhibition. The pea seeds from the control group were treated with distilled water.
2.4. Image Acquisition
Seedlings were aligned on a black mat background, avoiding overlapping between them. The number of seedlings per photo was from 13 to 20, depending on their sizes. The wheat roots were manually separated (as shown in Figure S2). The roots of the pea seedlings were left as is. The paper sticker of either 79 × 79 mm or 87 × 87 mm size was placed on a background above the shoots and used as a reference to convert pixels to millimeters. Images were acquired under scattered daylight using 12 MP and 16 MP smartphone cameras set on a tripod. The distance between the camera and background was 0.45 m. The smartphone was positioned parallel to the background, the camera lens was opposite the center of the background. The images were saved in JPEG format with a resolution of 72 dpi (4032 × 3024, WxH, pixels). A detailed procedure of the image acquisition is available at https://github.com/dashabezik/Morley/blob/main/doc/appendix_a.md (accessed on 23 July 2023).
The images were processed using Morley (https://github.com/dashabezik/Morley/, accessed on 23 July 2023) and ImageJ (http://rsb.info.nih.gov/ij/, accessed on 6 February 2023) following the methods described in the user guide (https://imagej.net/ij/docs/guide/146.html, accessed on 6 February 2023).
2.5. Shoot and Root Morphometry
The seedling shoot length (mm), maximum root length (mm), and total root length (mm) were measured using Morley, ImageJ, and/or manually. The shoot, root, and plant surface areas (mm2) were measured using Morley and ImageJ. The plant surface area was calculated as the sum of the shoot and root surface areas, excluding the seed surface area.
The germination rate G was calculated as follows:
where NG is the number of non-germinated seeds and TN is the total number of seeds. By default, Morley counts seeds as non-germinated if the shoot and root lengths are less than the seed size.
To evaluate the changes in seedling sizes depending on the day of germination, the images and manual measurements of the shoot and root lengths were made on the 3rd, 4th, 5th, 6th, and 7th days of growth. To evaluate the response to seed treatment, the images and manual measurements were taken on the 7th day of growth. Statistical analysis was performed using Scipy.stats [31]. Gauss distribution was tested using the Shapiro–Wilk test, with a p-value threshold of 0.05. Then, either a parametric Unpaired T-test or nonparametric Mann–Whitney test was applied, based on the output of the Shapiro–Wilk test. A p-value below 0.05 was used as the criterion of statistical significance.
2.6. Morley Processing Algorithm and Code Availability
Image analysis in Morley was implemented using the OpenCV library [32]. The general algorithm behind the developed software is presented in Figure 1. Morley requires the following input parameters: (1) paths to folders with seedling images, (2) paper sticker size, and (3) blurring and color range parameters. Data processing was accomplished in several steps. The first step includes the recognition of the seedling and paper sticker objects in the images. Contour recognition was performed using OpenCV methods for contour finding using the Canny method [33], blurring, and converting an image from one color space to another and morphological transformation. The second step was the recognition of the seed objects and their positions. The determined seed positions were used to separate the shoots from the roots in the image. The contour sorting methods from imutils library (https://pypi.org/project/imutils/ (accessed on 1 March 2022)) were used to recognize the seed images. Next, the program calculated the object surface areas, widths, lengths, and germination rate for each given plant group. Morley converts pixels to millimeters and supports a user-defined germination threshold (in mm). All seedlings with shoot and root lengths below the germination threshold were classified as non-germinated. It can be used for taking into account seeds with delayed germination. Finally, root and shoot lengths and plant surface areas were subjected to statistical evaluation and the results were saved. Scipy.stats [31] is used by Morley for statistical assessment of the morphometric data. Each sample group was tested for Gauss distribution using the Shapiro–Wilk test, with a p-value threshold of 0.05. Then, each two sample groups were compared using either the parametric Unpaired t-test or nonparametric Mann–Whitney test, depending on the results of normality testing. A p-value below 0.05 was used as the default criterion for statistical significance. The software processed one photo containing 13 to 20 seedlings (resolution of 72 dpi, size of 5 Mb) on a standard PC (Intel(R) Core(TM) i5-8265U CPU @ 1.60 GHz 1.80 GHz, 8.00 Gb RAM) in 7 s.
Figure 1.
Software algorithm. * Standard PC stands for Intel(R) Core(TM) i5-8265U CPU @ 1.60 GHz 1.80 GHz, 8.00 Gb RAM.
Morley generates output files that include CSV tables with p-values corresponding to all pairwise comparisons between the sample groups, the calculated germination rate, shoot lengths, maximum root lengths, total root lengths, and plant surface areas, as well as figures characterizing the distributions of the measured parameters, bar plots with mean values and standard deviations (95% CI), and heatmaps visualizing the conclusions on statistical significance of the morphometric differences. Code, user guide, and examples are available at https://github.com/dashabezik/Morley (accessed on 23 July 2023) and https://github.com/dashabezik/plants/ (accessed on 23 July 2023), respectively. Morley is available as a graphical user interface and a command line tool.
3. Results
3.1. Comparison of Morley with ImageJ and Manual Measurements Demonstrates Agreement between Results
ImageJ [23] is widely applied for image analysis of plants and seedlings [24,25,26,27,28] and solves similar tasks as Morley. ImageJ allows for the calculation of the surface areas, lengths, mean values, and standard deviations. However, image analysis of thousands of seedlings with ImageJ is time consuming, requires manual pre-processing of images, and has no built-in options for statistical analysis. Morley, on the other hand, is specifically designed for the analysis of multiple images, including statistical evaluation and visualization.
Figure 2 demonstrates the results of the comparison between Morley, ImageJ, and manual measurements. The shoot lengths, maximum root lengths, and total root lengths using four cultivars of winter (Figure 2a,d) and spring (Figure 2b,c) wheat were estimated. The comparison of the shoot lengths revealed complete agreement within the standard deviations. For maximum and total root lengths of wheat seedlings, the results exhibited some variations; however, no significant differences were observed. The larger variance in root lengths could be explained by the presence of hidden and/or extra-thin roots that can be hard to detect in the images due to low contrast and noise. As a good agreement was observed between all measurements, we further used either ImageJ or manual measurements as a benchmark for Morley in our tests. Importantly, wheat roots should be split from each other before camera imaging (compare the images in Figure S2, Supporting Material), otherwise, some of them will not be detected in the image analysis. This could result in an underestimation of root lengths for both Morley and ImageJ.
Figure 2.
Comparison of Morley, ImageJ, and manual measurements by shoot, and maximum and total root lengths. Bars with whiskers correspond to the mean ± SD in 95% CI. Four cultivars of T. aestivum were used: (a) spring wheat, cultivar Agata, 31 seedlings; (b) winter wheat, cultivar Alekseich, 44 seedlings; (c) winter wheat, cultivar Irishka, 46 seedlings; (d) spring wheat, cultivar Zlata, 20 seedlings.
3.2. Morley Correctly Tracks Changes in Morphometry Depending on the Day of Growth
To validate Morley, two germination tests were performed: (1) using seeds of Triticum aestivum, cultivar Moskovskaya 39, and (2) using seeds of Pisum sativum, cultivar Rocket.
Wheat seeds were grown in paper rolls for four, five, six, and seven days. Examples of wheat seedlings on different days of growth are shown in Figure 3a. The results of the manual and Morley measurements of shoot lengths, and maximum and total root lengths coincided within the standard deviation for all comparisons (Figure 3b). Statistical testing did not reveal any differences between manual measurements and Morley (Figure 3c). Statistically significant differences between days of germination were observed for the shoot, and maximum and total root lengths (Figure 3c). The significance of changes in shoot and root lengths depending on the growth day were in full agreement between the Morley and manual measurements (Figure 3c). The germination rates on the 4th, 5th, 6th, and 7th days increased from 69% to 84% for both the manual and digital evaluations (Figure 3d).
Figure 3.
Tracking the changes in the seedlings of Triticum aestivum depending on the day of growth. (a) Photographs of seedlings depending on growth day. (b) Shoot lengths, and maximum and total root lengths measured using Morley and manually. Bars with whiskers correspond to the mean ± SD in 95% CI. (c) Significant (p-value < 0.05) and non-significant (p-value > 0.05) differences in pairwise comparisons between growth days: manual vs. Morley. Data followed a non-Gaussian distribution (Shapiro–Wilk p-value < 0.05). The Mann–Whitney test was used. Tick labels: “Mor_” or “Man_” stand for automatic or manual measurements, respectively; “4”, “5”, “6”, and “7” indicate the growth day. Search parameters are listed in Table S1. (d) Germination rates measured manually and using Morley.
Figure 4 demonstrates the results of the germination test of P. sativum seeds. Measurements were performed on the 3rd, 4th, 5th, 6th, and 7th day of growth. Measurements of the shoot and maximum root lengths (Figure 4a) and germination rates (Figure 4c) were well matched to each other. Figure 4b summarizes the results of the statistical testing that shows that Morley and manual evaluation produced identical morphometric differences for the maximum root length. As pea seedlings had a rod-like root system with very small lateral roots that could not be measured by hand, only the maximum root lengths were compared. In this test, pea seeds demonstrated a delayed germination, and shoot lengths were below 3 mm for the first five days, which explains the missing data in Figure 4a (shoot). Single shoots or roots with a length less than the seed minimum length (5 mm in case of our peas) were not used in the image analysis by Morley.
Figure 4.
Tracking changes in seedlings of P. sativum depending on the day of growth. (a) Shoot and maximum root lengths. Bars with whiskers correspond to the mean ± SD in 95% CI. (b) Significant (p-value < 0.05) and non-significant (p-value > 0.05) differences in pairwise comparisons between growth days for manual and Morley measurements. Data follow a non-Gaussian distribution (Shapiro–Wilk p-value < 0.05). Mann–Whitney test was used. (c) Germination rates measured using Morley and manually. Tick labels: “Mor_” and “Man_” stand for Morley and manual measurements, respectively; “3”, “4”, “5”, “6”, and “7” indicate the growth day.
3.3. Tracking Morphometric Effects in 7-Day-Old Wheat Seedlings after Seed Treatments with Iron Compounds
Growth-stimulating and antifungal agents for seed treatment can affect seed quality and seedling growth. Monitoring changes in seedling morphometry is essential when developing new types of fertilizers and pre-sowing seed treatments. Therefore, we treated wheat seeds (Zlata and Alekseich cultivars, Table 1 in M&M) with a suspension of NP Fe (𝛼-Fe 70.1%, FeO∙Fe2O3 29.9%, w/w) and FeSO4 solutions, and tracked the morphometric changes in the 7-day-old seedlings using Morley and ImageJ.
Figure 5a for the Zlata cultivar compares the shoot lengths, and maximum and total root lengths measured using both tools for image analysis. The statistical test proves that ImageJ and Morley were consistent in the measurements (Figure 5b). Combining the results provided by both tools, we conclude that no effects in shoot and root lengths were induced by the seed treatments; all variations stayed within the biological variance and accuracy of the length measurements.
Figure 5.
Morphometry of the 7-day-old seedlings of spring wheat, cultivar Zlata, grown from seeds treated with iron (II, III) compounds. Bars with whiskers correspond to the mean ± SD in 95% CI. (a) Shoot lengths, and maximum and total root lengths measured using Morley and manually. (b) Significant (p-value < 0.05) and non-significant (p-value > 0.05) differences in pairwise comparisons, ImageJ (IJ_) vs. Morley (M_). Data did not conform to a normal distribution (Shapiro–Wilk p-value < 0.05). Mann–Whitney test was used. Treatment groups: 1—untreated, 2—film-forming solution; 3—10−5% FeSO4 in film-forming solution; 4—10−5% NP Fe (II, III) in film-forming solution. Search parameters are listed in Table S1.
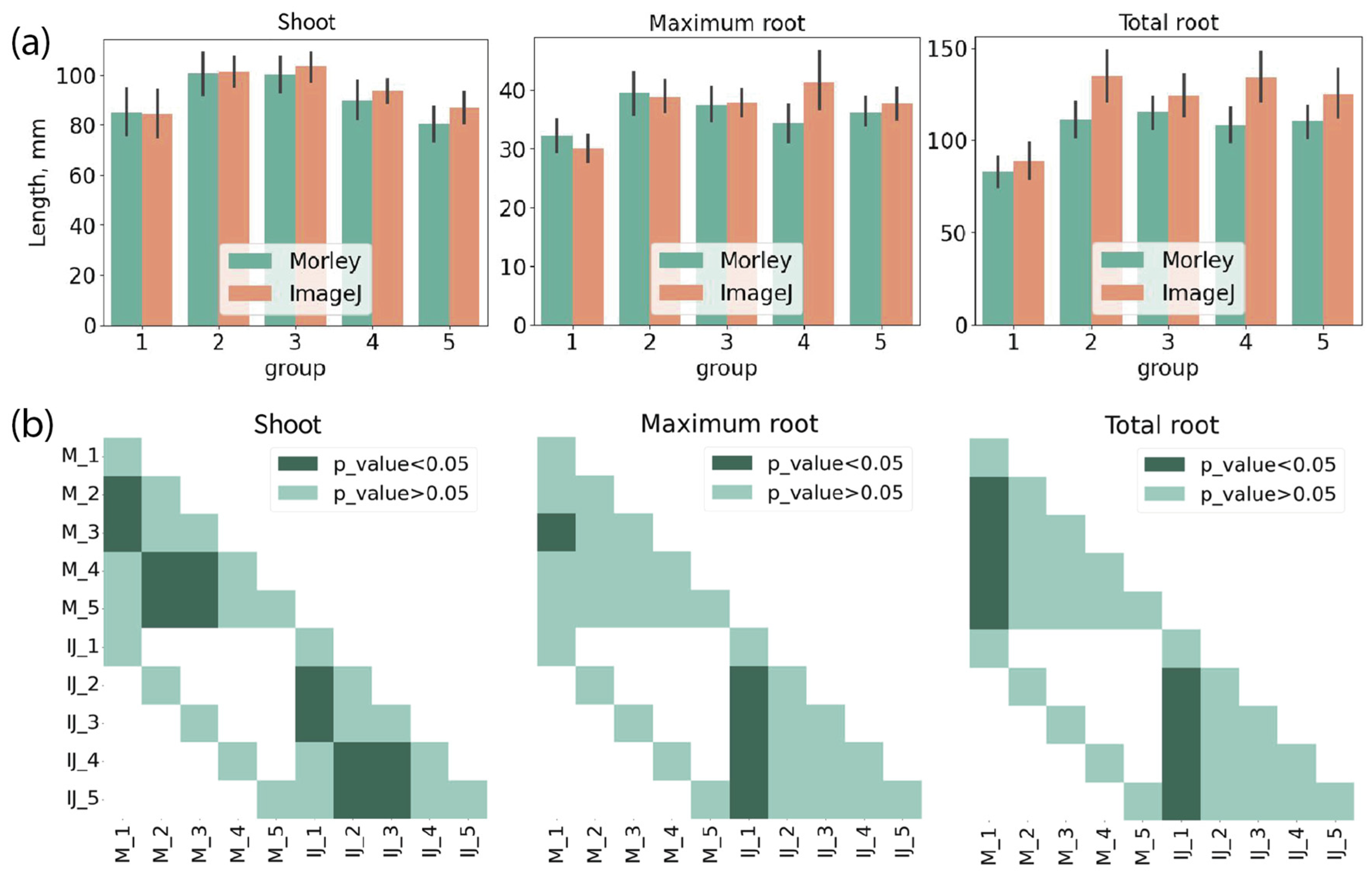
Figure 6a summarizes the Morley and ImageJ analyses of the shoot, and maximum and total root lengths for the Alekseich cultivar. This data further show that length measurements are well matched between tools. Here, we draw attention to a statistically significant difference between treatment groups 1 and 2 (Figure 6b). These groups are biological replicates grown from untreated seeds to demonstrate the biological variations that should not be erroneously mixed with effects from pre-sowing seed treatments. Taking into account the biological variations, we conclude no actual effects from seed treatments were observed, regardless of whether statistical tests provided some difference.
Figure 6.
Morphometry of the 7-day-old seedlings of winter wheat, cultivar Alekseich, grown from seeds treated with iron (II, III) compounds. Bars with whiskers correspond to the mean ± SD in 95% CI. (a) Shoot lengths, maximum and total root lengths measured using Morley and ImageJ. (b) Significant (p-value < 0.05) and non-significant (p-value > 0.05) differences in pairwise comparisons, Morley (M_) vs. ImageJ (IJ_). Morley measurements conform to a normal distribution (Shapiro–Wilk p-value > 0.05), Student’s t-test was used. ImageJ measurements did not conform to a normal distribution (Shapiro-Wilk p-value < 0.05). Mann–Whitney test was used for Morley-to-IJ and IJ-to-IJ comparisons. Treatment groups: 1—untreated, bio replicates #1–2; 2—untreated, bio replicates #3–4; 3—film-forming solution; 4—10−5% FeSO4 in film-forming solution; 5—10−5 NP Fe in film-forming solution. Search parameters are listed in Table S1.
3.4. Morley Tracks Inhibition of Pea Seedling Growth Due to Seed Treatment by Iron Sulfate
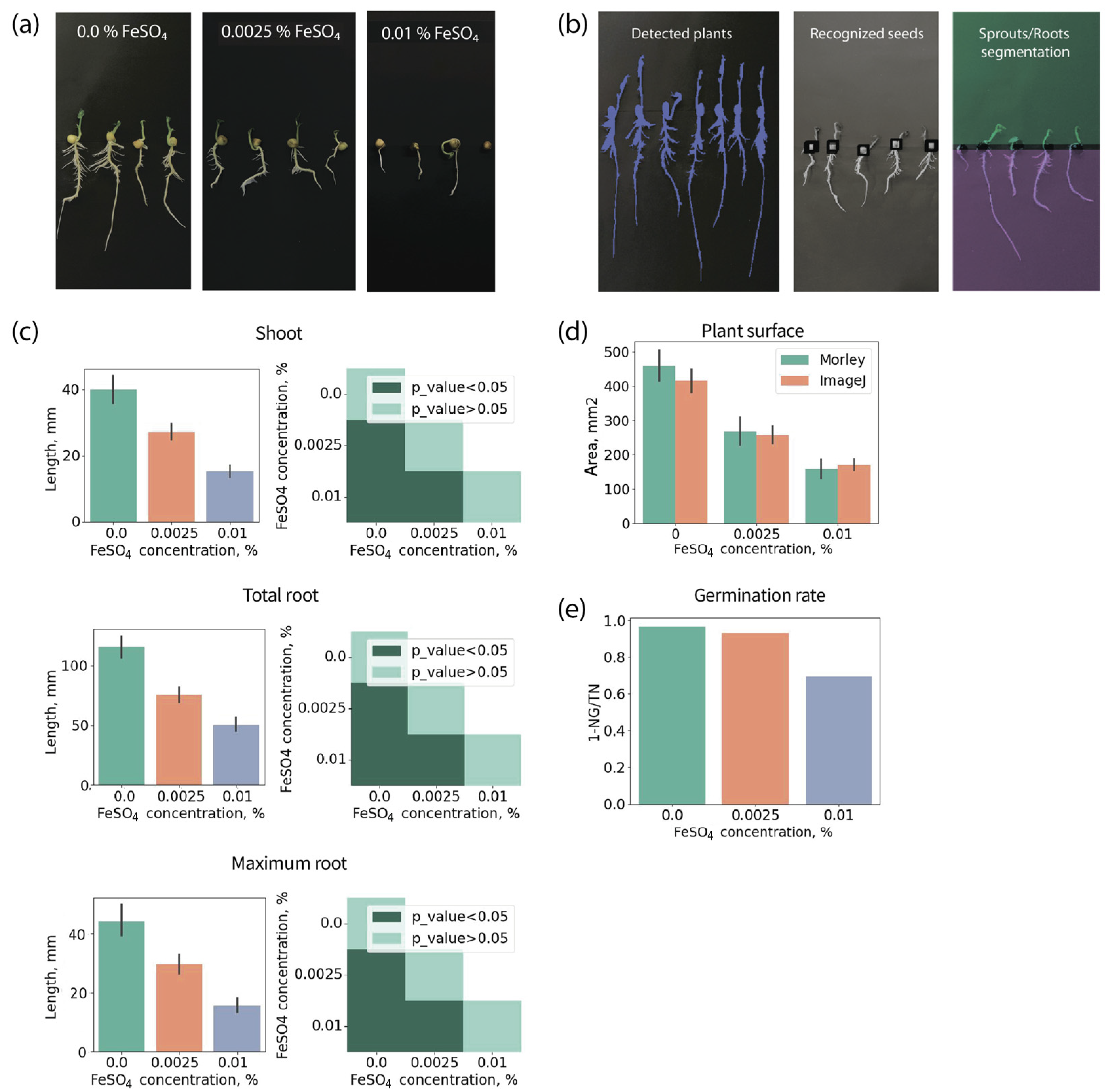
Pea seeds were treated overnight with different concentrations of iron sulfate, and then the morphometric changes were measured on the 7th day of growth using Morley. Treatment with 0.01% FeSO4 caused changes in seed color from light-yellow to gray-yellow, suggesting toxic effects. Inhibition of seedling growth was observed (Figure 7a). Figure 7b shows how Morley recognized seedling contours and segmented plant images into the seed, shoot, and root parts. Figure 7c reveals an approximately 2.5-fold decrease in shoot length and 2-fold decrease in the maximum and total root lengths when 0.01% FeSO4 was used. Figure 7d shows a 3-fold decrease in plant surface area revealed by both ImageJ and Morley. We only compared plant areas here because the ImageJ measurements of shoots, main roots, and lateral roots of 630 pea seedlings required too much time for manual image pre-processing. A toxic effect due to 0.01% FeSO4 treatment resulted in a 25% decrease in germination rate (Figure 7e). Interestingly, the germination rate on the 7th day of growth in the 0.0025% FeSO4 treatment group was not changed compared with the untreated control, although the plant sizes were significantly decreased. These data demonstrate that Morley can be applied for germination tests and measuring the morphometric effects from new fertilizers or pre-sowing treatments in wheat and pea seedlings.
Figure 7.
Morley measures the inhibition of pea growth induced by toxic concentrations of iron sulfate applied for pre-sowing seed treatments. Bars with whiskers correspond to the mean ± SD in 95% CI. (a) Seedling images demonstrating the growth inhibition. (b) Seedling object recognition and image segmentation to seed, shoot, and root. (c) Shoot length, maximum root length, total root length, (d) plant surface area, and (e) germination rate calculated using Morley. Data followed a non-Gauss distribution (Shapiro–Wilk p-value < 0.05); Mann–Whitney test was used for the analyses. Search parameters are available in Table S1.
4. Discussion
The development of new biotechnologies, including nanomaterials, has inspired researchers to explore new bioactive compounds for improving seed quality [34,35,36]. The research and development of such compounds includes complex characterization of biotic effects and molecular mechanisms using morphometric, (bio)chemical, omics, and other analyses [3,37,38]. Such integrative studies assume adequate biological replicating to prove the biotic effects. At least five or six replicates should be performed in biochemical and omics studies to account for the biological variance and to accurately measure the effects of a treatment [39]. This means time-consuming preparation of a few thousand plants that should be dissected and conserved. Tracking morphometry changes in such samples is an essential preliminary step in the characterization of the biotic effects. Although this need is obvious and many tools for image analysis are available to date [29], we did not find a program that automates measuring the shoot, maximum and total root lengths, surface areas, germination rates, and their statistical assessment from multiple seedling images. This fact motivated us to develop our own software, Morley, to address the above-described tasks. Based on the results shown in Figure 2, Figure 3, Figure 4, Figure 5, Figure 6 and Figure 7, we conclude that the program can achieve accuracy comparable with ImageJ and manual measurements of the shoot, maximum and total root lengths, and surface areas. Hence, we propose Morley for use in agriculture-oriented laboratory studies of molecular mechanisms underlying morphometric changes.
Germination tests for wheat and pea seeds demonstrated that Morley correctly tracks changes in germination rates, shoot and root lengths depending on the day of growth (Figure 3 and Figure 4). Since we initially aimed at morphometric evaluation of seedlings with well-formed shoot-and-root structures, the algorithm behind Morley measures the shoot and root lengths that exceed the seed size. Therefore, Morley can be less accurate at the stage of radicle emergence (first 3–4 days of seed germination), compared with other tools for germination rate assessment [11].
In the next step, the morphometric parameters of 7-day-old wheat seedlings after seed treatments with iron compounds were evaluated (Figure 5 and Figure 6). Using two cultivars of wheat and through comparison with the ImageJ analysis, we demonstrated that Morley correctly concluded if the morphometric effects were absent or within biological variability. For accurate measurement of the total root length in fibrous root systems, manual separation of roots before imaging is required. This step is time consuming, but mandatory if you target morphometry results accurately matching manual measurements. From our experience gained in this work, if wheat roots are not separated, it can contribute to a systematic underestimation of total root lengths. In this case, correct conclusions on the morphometry changes were still possible; however, at the cost of lower accuracy. Here, we also emphasize that the key gain from using Morley is the possibility to analyze large numbers of seedlings, thus, increasing the accuracy of conclusions. Using Morley, we analyzed five parameters (shoot lengths, maximum and total root lengths, surface area, and germination rate) from 400 to 630 seedlings per dataset. Studies citing ImageJ [24,26] have reported evaluation of morphometric parameters in datasets smaller by an order of magnitude.
Finally, Morley was tested for measuring the decrease in pea seedling growth and germination rate due to seed treatment with toxic concentrations of iron (II) sulfate (Figure 7). The results presented in Figure 7d further prove the applicability of Morley for the correct calculation of the plant surface areas across datasets of up to 630 seedlings. Our goal with further Morley upgrades is an automated analysis of datasets containing up to a few thousand plants per treatment group. We believe these statistics are sufficient to resolve morphometric effects within 10–12%, induced by treatment using bioactive compounds.
In total, our data confirm that Morley achieves a good accuracy for 4–7-day-old seedlings of crops with a hypogeal germination type, fibrous and tap root systems, and rod-like shoots. Our results prove Morley for the assessment of the germination tests and measuring changes in seedling sizes induced by bioactive compounds.
5. Conclusions
This study introduces a new open-source software, Morley, meant for laboratory studies of the biotic effects on seedling growth. Operating through GUI and CLI, Morley automates the group-wise analysis of a few thousand seedlings from multiple images; calculates the shoot and root lengths, surface areas, and germination rates; and analyzes and visualizes statistically significant changes in morphometric parameters, simplifying data interpretation. The accuracy of Morley is comparable with ImageJ and manual measurements; however, Morley automates measurements and statistical assessment, making the entire procedure more efficient. Morley is designed for agriculture-oriented laboratory studies of molecular machinery underlying morphometric changes. Morley was validated using nine datasets collected for T. aestivum and P. sativum, containing a total of 250 images with 3000 plants. Validation experiments included germination tests and growth tests of 7-day-old seedlings affected by pre-sowing seed treatments with biotic and toxic concentrations of iron compounds. Morley provides accurate measurements of shoot and root lengths of 4–7-day-old seedlings of crops with a hypogeal germination type, fibrous and tap root systems, and rod-like shoots. The tool can be applied for plant structures similar to wheat and peas after additional validation experiments. The future development of Morley will focus on applicability for other plant species and boosting the performance and accuracy of object recognition.
Supplementary Materials
The following supporting information can be downloaded at: https://www.mdpi.com/article/10.3390/agronomy13082134/s1: Method of obtaining iron nanoparticles. Figure S1: Iron nanoparticles characterization by X-ray diffraction (XRD) and transmission electron microscopy (TEM). Figure S2: Image examples with separated and not separated roots. Table S1: Morley parameters for datasets used in the study.
Author Contributions
Conceptualization, I.A.T.; methodology, I.A.T., A.N.Z., M.V.I., O.A.B. and N.N.G.; formal analysis, D.D.E., E.M.K., T.T.K., L.I.L. and M.L.K.; investigation, D.D.E. and L.I.L.; resources, I.A.T., A.N.Z. and N.N.G.; writing—original draft preparation, I.A.T. and D.D.E.; writing—review and editing, I.A.T., L.I.L., E.M.K., I.P.O. and O.A.B.; visualization, D.D.E.; supervision, I.A.T.; funding acquisition, I.A.T. All authors have read and agreed to the published version of the manuscript.
Funding
The study was supported by the Russian Science Foundation, grant #22-26-00109.
Data Availability Statement
Program code, GUI, user guide and example data are available at https://github.com/dashabezik/Morley (accessed on 23 July 2023) and https://github.com/dashabezik/plants/ (accessed on 23 July 2023).
Acknowledgments
The authors thank Olga M. Zhigalina and Dmitri N. Khmelenin (Shubnikov Institute of Crystallography, FSRC “Crystallography and Photonics”, RAS) for collecting high-quality TEM images of iron nanoparticles and Nadezhda G. Berezkina (N.N. Semenov Federal Research Center for Chemical Physics, RAS) for professional work and outstanding diligence when processing and measuring more than 5000 particle TEM images. I.A.T. warmly thanks all volunteers for their invaluable help with extraction of seedlings from the substrate and manual morphometric measurements: Marina L. Pridatchenko, Maksim Yu. Brazhnikov, Arthur G. Yablokov, Valery Postoenko, Ivan I. Fedorov, Leyla A. Garibova, Ivan Emekeev, and Leonid M. Brazhnikov.
Conflicts of Interest
The authors declare no conflict of interest.
References
- Uddin, M.S.; Bansal, J.C. Computer Vision and Machine Learning in Agriculture; Algorithms for Intelligent Systems; Springer: Singapore, 2021; pp. 1–8. ISBN 978-981-336-423-3. [Google Scholar]
- Carrera-Castaño, G.; Calleja-Cabrera, J.; Pernas, M.; Gómez, L.; Oñate-Sánchez, L. An Updated Overview on the Regulation of Seed Germination. Plants 2020, 9, 703. [Google Scholar] [CrossRef] [PubMed]
- Rajjou, L.; Duval, M.; Gallardo, K.; Catusse, J.; Bally, J.; Job, C.; Job, D. Seed Germination and Vigor. Annu. Rev. Plant Biol. 2012, 63, 507–533. [Google Scholar] [CrossRef]
- Dell’ Aquila, A. Digital Imaging Information Technology Applied to Seed Germination Testing. A Review. Agron. Sustain. Dev. 2009, 29, 213–221. [Google Scholar] [CrossRef]
- Genze, N.; Bharti, R.; Grieb, M.; Schultheiss, S.J.; Grimm, D.G. Accurate Machine Learning-Based Germination Detection, Prediction and Quality Assessment of Three Grain Crops. Plant Methods 2020, 16, 157. [Google Scholar] [CrossRef]
- Awty-Carroll, D.; Clifton-Brown, J.; Robson, P. Using K-NN to Analyse Images of Diverse Germination Phenotypes and Detect Single Seed Germination in Miscanthus sinensis. Plant Methods 2018, 14, 5. [Google Scholar] [CrossRef] [PubMed]
- Masteling, R.; Voorhoeve, L.; IJsselmuiden, J.; Dini-Andreote, F.; de Boer, W.; Raaijmakers, J.M. DiSCount: Computer Vision for Automated Quantification of Striga Seed Germination. Plant Methods 2020, 16, 60. [Google Scholar] [CrossRef]
- Joosen, R.V.L.; Kodde, J.; Willems, L.A.J.; Ligterink, W.; van der Plas, L.H.W.; Hilhorst, H.W.M. GERMINATOR: A Software Package for High-Throughput Scoring and Curve Fitting of Arabidopsis Seed Germination. Plant J. Cell Mol. Biol. 2010, 62, 148–159. [Google Scholar] [CrossRef]
- Hoffmaster, A.F.; Xu, L.; Fujimura, K.; Bennett, M.A.; Evans, A.F.; McDonald, M.B. The Ohio State University Seed Vigor Imaging System (SVIS) for Soybean and Corn Seedlings. Seed Technol. 2005, 27, 3–7. [Google Scholar]
- Belsare, M.P.P.; Dewasthale, M.M.M. Application of Image Processing for Seed Quality Assessment: A Survey. Int. J. Eng. Res. Technol. 2013, 2, 1–4. [Google Scholar]
- Škrubej, U.; Rozman, Č.; Stajnko, D. Assessment of Germination Rate of the Tomato Seeds Using Image Processing and Machine Learning. Eur. J. Hortic. Sci. 2015, 80, 68–75. [Google Scholar] [CrossRef]
- Huang, M.; Wang, Q.G.; Zhu, Q.B.; Qin, J.W.; Huang, G. Review of Seed Quality and Safety Tests Using Optical Sensing Technologies. Seed Sci. Technol. 2015, 43, 337–366. [Google Scholar] [CrossRef]
- Nguyen, T.T.; Hoang, V.-N.; Le, T.-L.; Tran, T.-H.; Vu, H. A Vision Based Method for Automatic Evaluation of Germination Rate of Rice Seeds. In Proceedings of the 2018 1st International Conference on Multimedia Analysis and Pattern Recognition (MAPR), Ho Chi Minh City, Vietnam, 5–6 April 2018; pp. 1–6. [Google Scholar]
- Ducournau, S.; Feutry, A.; Plainchault, P.; Revollon, P.; Vigouroux, B.; Wagner, M.H. An Image Acquisition System for Automated Monitoring of the Germination Rate of Sunflower Seeds. Comput. Electron. Agric. 2004, 44, 189–202. [Google Scholar] [CrossRef]
- Manacorda, C.A.; Asurmendi, S. Arabidopsis Phenotyping through Geometric Morphometrics. GigaScience 2018, 7, giy073. [Google Scholar] [CrossRef]
- Bastien, R.; Legland, D.; Martin, M.; Fregosi, L.; Peaucelle, A.; Douady, S.; Moulia, B.; Höfte, H. KymoRod: A Method for Automated Kinematic Analysis of Rod-Shaped Plant Organs. Plant J. 2016, 88, 468–475. [Google Scholar] [CrossRef]
- Smith, A.G.; Han, E.; Petersen, J.; Olsen, N.A.F.; Giese, C.; Athmann, M.; Dresbøll, D.B.; Thorup-Kristensen, K. RootPainter: Deep Learning Segmentation of Biological Images with Corrective Annotation. New Phytol. 2022, 236, 774–791. [Google Scholar] [CrossRef]
- Seethepalli, A.; Guo, H.; Liu, X.; Griffiths, M.; Almtarfi, H.; Li, Z.; Liu, S.; Zare, A.; Fritschi, F.B.; Blancaflor, E.B.; et al. RhizoVision Crown: An Integrated Hardware and Software Platform for Root Crown Phenotyping. Plant Phenomics 2020, 2020, 3074916. [Google Scholar] [CrossRef] [PubMed]
- Colombi, T.; Kirchgessner, N.; Le Marié, C.A.; York, L.M.; Lynch, J.P.; Hund, A. Next Generation Shovelomics: Set up a Tent and REST. Plant Soil 2015, 388, 1–20. [Google Scholar] [CrossRef]
- Wu, J.; Wu, Q.; Pagès, L.; Yuan, Y.; Zhang, X.; Du, M.; Tian, X.; Li, Z. RhizoChamber-Monitor: A Robotic Platform and Software Enabling Characterization of Root Growth. Plant Methods 2018, 14, 44. [Google Scholar] [CrossRef] [PubMed]
- Xiong, J.; Yu, D.; Liu, S.; Shu, L.; Wang, X.; Liu, Z. A Review of Plant Phenotypic Image Recognition Technology Based on Deep Learning. Electronics 2021, 10, 81. [Google Scholar] [CrossRef]
- Gehan, M.A.; Fahlgren, N.; Abbasi, A.; Berry, J.C.; Callen, S.T.; Chavez, L.; Doust, A.N.; Feldman, M.J.; Gilbert, K.B.; Hodge, J.G.; et al. PlantCV v2: Image Analysis Software for High-Throughput Plant Phenotyping. PeerJ 2017, 5, e4088. [Google Scholar] [CrossRef]
- Schneider, C.A.; Rasband, W.S.; Eliceiri, K.W. NIH Image to ImageJ: 25 Years of Image Analysis. Nat. Methods 2012, 9, 671–675. [Google Scholar] [CrossRef]
- Hakla, H.R.; Sharma, S.; Urfan, M.; Yadav, N.S.; Rajput, P.; Kotwal, D.; Abdel Latef, A.A.H.; Pal, S. Gibberellins Target Shoot-Root Growth, Morpho-Physiological and Molecular Pathways to Induce Cadmium Tolerance in Vigna Radiata L. Agronomy 2021, 11, 896. [Google Scholar] [CrossRef]
- Sanada, A.; Agehara, S. Characterizing Root Morphological Responses to Exogenous Tryptophan in Soybean (Glycine Max) Seedlings Using a Scanner-Based Rhizotron System. Plants 2023, 12, 186. [Google Scholar] [CrossRef]
- Rodríguez-Lorenzo, J.L.; Martín-Gómez, J.J.; Tocino, Á.; Juan, A.; Janoušek, B.; Cervantes, E. New Geometric Models for Shape Quantification of the Dorsal View in Seeds of Silene Species. Plants 2022, 11, 958. [Google Scholar] [CrossRef]
- Rosatto, S.; Mariotti, M.; Romeo, S.; Roccotiello, E. Root and Shoot Response to Nickel in Hyperaccumulator and Non-Hyperaccumulator Species. Plants 2021, 10, 508. [Google Scholar] [CrossRef]
- Giacò, A.; De Giorgi, P.; Astuti, G.; Caputo, P.; Serrano, M.; Carballal, R.; Sáez, L.; Bacchetta, G.; Peruzzi, L. A Morphometric Analysis of the Santolina Chamaecyparissus Complex (Asteraceae). Plants 2022, 11, 3458. [Google Scholar] [CrossRef] [PubMed]
- Lobet, G. Image Analysis in Plant Sciences: Publish Then Perish. Trends Plant Sci. 2017, 22, 559–566. [Google Scholar] [CrossRef] [PubMed]
- Olkhovskaya, I.P.; Bogoslovskaya, O.A.; Yablokov, A.G.; Glushchenko, N.N. Spring barley yield after presowing seed treatment with metal nanoparticles. Nanotechnol. Russ. 2019, 14, 55–61. [Google Scholar] [CrossRef]
- Virtanen, P.; Gommers, R.; Oliphant, T.E.; Haberland, M.; Reddy, T.; Cournapeau, D.; Burovski, E.; Peterson, P.; Weckesser, W.; Bright, J.; et al. SciPy 1.0: Fundamental Algorithms for Scientific Computing in Python. Nat. Methods 2020, 17, 261–272. [Google Scholar] [CrossRef] [PubMed]
- Bradski, G.; Kaehler, A. Learning OpenCV: Computer Vision with the OpenCV Library; O’Reilly: Sebastopol, CA, USA, 2008; pp. 16–90. [Google Scholar]
- Canny, J. A Computational Approach to Edge Detection. In Readings in Computer Vision; Fischler, M.A., Firschein, O., Eds.; Morgan Kaufmann: San Francisco, CA, USA, 1987; pp. 184–203. ISBN 978-0-08-051581-6. [Google Scholar]
- Dadlani, M.; Yadava, D.K. Seed Science and Technology: Biology, Production, Quality; Springer: Singapore, 2023; pp. 1–13. ISBN 978-981-19588-8-5. [Google Scholar]
- Zhao, L.; Lu, L.; Wang, A.; Zhang, H.; Huang, M.; Wu, H.; Xing, B.; Wang, Z.; Ji, R. Nano-Biotechnology in Agriculture: Use of Nanomaterials to Promote Plant Growth and Stress Tolerance. J. Agric. Food Chem. 2020, 68, 1935–1947. [Google Scholar] [CrossRef]
- Mahakham, W.; Sarmah, A.K.; Maensiri, S.; Theerakulpisut, P. Nanopriming Technology for Enhancing Germination and Starch Metabolism of Aged Rice Seeds Using Phytosynthesized Silver Nanoparticles. Sci. Rep. 2017, 7, 8263. [Google Scholar] [CrossRef] [PubMed]
- Abdelkader, Y.; Perez-Davalos, L.; LeDuc, R.; Zahedi, R.P.; Labouta, H.I. Omics Approaches for the Assessment of Biological Responses to Nanoparticles. Adv. Drug Deliv. Rev. 2023, 200, 114992. [Google Scholar] [CrossRef] [PubMed]
- Shin, T.H.; Nithiyanandam, S.; Lee, D.Y.; Kwon, D.H.; Hwang, J.S.; Kim, S.G.; Jang, Y.E.; Basith, S.; Park, S.; Mo, J.-S.; et al. Analysis of Nanotoxicity with Integrated Omics and Mechanobiology. Nanomaterials 2021, 11, 2385. [Google Scholar] [CrossRef] [PubMed]
- Schurch, N.J.; Schofield, P.; Gierliński, M.; Cole, C.; Sherstnev, A.; Singh, V.; Wrobel, N.; Gharbi, K.; Simpson, G.G.; Owen-Hughes, T.; et al. How Many Biological Replicates Are Needed in an RNA-Seq Experiment and Which Differential Expression Tool Should You Use? RNA 2016, 22, 839–851. [Google Scholar] [CrossRef]
Disclaimer/Publisher’s Note: The statements, opinions and data contained in all publications are solely those of the individual author(s) and contributor(s) and not of MDPI and/or the editor(s). MDPI and/or the editor(s) disclaim responsibility for any injury to people or property resulting from any ideas, methods, instructions or products referred to in the content. |
© 2023 by the authors. Licensee MDPI, Basel, Switzerland. This article is an open access article distributed under the terms and conditions of the Creative Commons Attribution (CC BY) license (https://creativecommons.org/licenses/by/4.0/).






