Morley: Image Analysis and Evaluation of Statistically Significant Differences in Geometric Sizes of Crop Seedlings in Response to Biotic Stimulation
Abstract
1. Introduction
2. Materials and Methods
2.1. Seeds
2.2. Growth of Plants
2.3. Seed Treatments
2.4. Image Acquisition
2.5. Shoot and Root Morphometry
2.6. Morley Processing Algorithm and Code Availability
3. Results
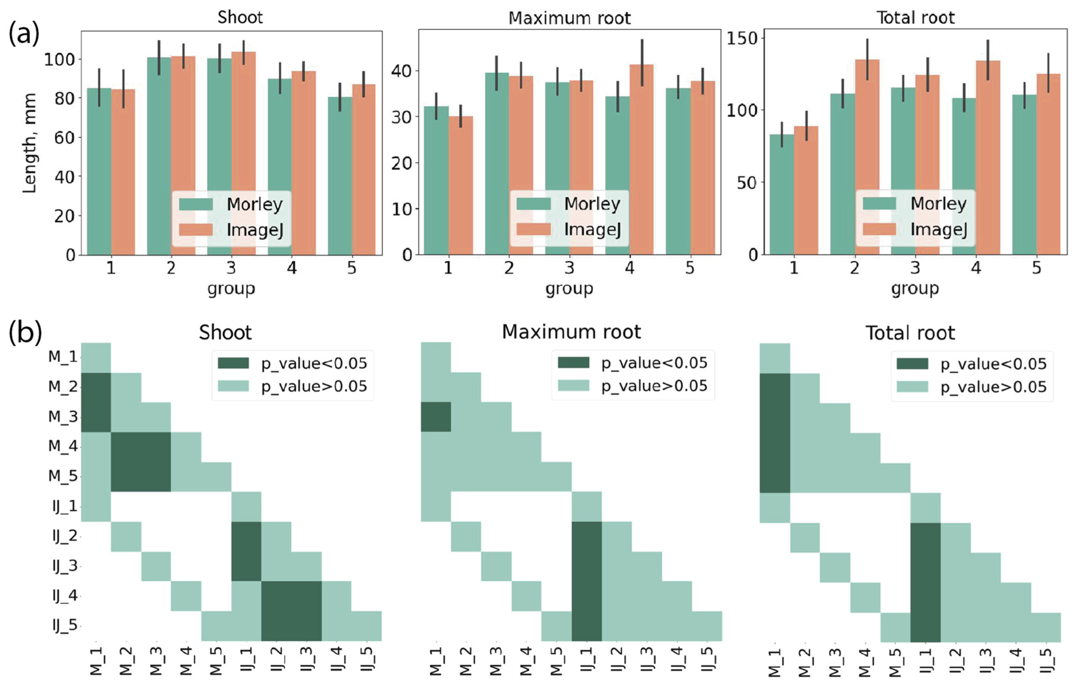
3.1. Comparison of Morley with ImageJ and Manual Measurements Demonstrates Agreement between Results
3.2. Morley Correctly Tracks Changes in Morphometry Depending on the Day of Growth
3.3. Tracking Morphometric Effects in 7-Day-Old Wheat Seedlings after Seed Treatments with Iron Compounds
3.4. Morley Tracks Inhibition of Pea Seedling Growth Due to Seed Treatment by Iron Sulfate
4. Discussion
5. Conclusions
Supplementary Materials
Author Contributions
Funding
Data Availability Statement
Acknowledgments
Conflicts of Interest
References
- Uddin, M.S.; Bansal, J.C. Computer Vision and Machine Learning in Agriculture; Algorithms for Intelligent Systems; Springer: Singapore, 2021; pp. 1–8. ISBN 978-981-336-423-3. [Google Scholar]
- Carrera-Castaño, G.; Calleja-Cabrera, J.; Pernas, M.; Gómez, L.; Oñate-Sánchez, L. An Updated Overview on the Regulation of Seed Germination. Plants 2020, 9, 703. [Google Scholar] [CrossRef] [PubMed]
- Rajjou, L.; Duval, M.; Gallardo, K.; Catusse, J.; Bally, J.; Job, C.; Job, D. Seed Germination and Vigor. Annu. Rev. Plant Biol. 2012, 63, 507–533. [Google Scholar] [CrossRef]
- Dell’ Aquila, A. Digital Imaging Information Technology Applied to Seed Germination Testing. A Review. Agron. Sustain. Dev. 2009, 29, 213–221. [Google Scholar] [CrossRef]
- Genze, N.; Bharti, R.; Grieb, M.; Schultheiss, S.J.; Grimm, D.G. Accurate Machine Learning-Based Germination Detection, Prediction and Quality Assessment of Three Grain Crops. Plant Methods 2020, 16, 157. [Google Scholar] [CrossRef]
- Awty-Carroll, D.; Clifton-Brown, J.; Robson, P. Using K-NN to Analyse Images of Diverse Germination Phenotypes and Detect Single Seed Germination in Miscanthus sinensis. Plant Methods 2018, 14, 5. [Google Scholar] [CrossRef] [PubMed]
- Masteling, R.; Voorhoeve, L.; IJsselmuiden, J.; Dini-Andreote, F.; de Boer, W.; Raaijmakers, J.M. DiSCount: Computer Vision for Automated Quantification of Striga Seed Germination. Plant Methods 2020, 16, 60. [Google Scholar] [CrossRef]
- Joosen, R.V.L.; Kodde, J.; Willems, L.A.J.; Ligterink, W.; van der Plas, L.H.W.; Hilhorst, H.W.M. GERMINATOR: A Software Package for High-Throughput Scoring and Curve Fitting of Arabidopsis Seed Germination. Plant J. Cell Mol. Biol. 2010, 62, 148–159. [Google Scholar] [CrossRef]
- Hoffmaster, A.F.; Xu, L.; Fujimura, K.; Bennett, M.A.; Evans, A.F.; McDonald, M.B. The Ohio State University Seed Vigor Imaging System (SVIS) for Soybean and Corn Seedlings. Seed Technol. 2005, 27, 3–7. [Google Scholar]
- Belsare, M.P.P.; Dewasthale, M.M.M. Application of Image Processing for Seed Quality Assessment: A Survey. Int. J. Eng. Res. Technol. 2013, 2, 1–4. [Google Scholar]
- Škrubej, U.; Rozman, Č.; Stajnko, D. Assessment of Germination Rate of the Tomato Seeds Using Image Processing and Machine Learning. Eur. J. Hortic. Sci. 2015, 80, 68–75. [Google Scholar] [CrossRef]
- Huang, M.; Wang, Q.G.; Zhu, Q.B.; Qin, J.W.; Huang, G. Review of Seed Quality and Safety Tests Using Optical Sensing Technologies. Seed Sci. Technol. 2015, 43, 337–366. [Google Scholar] [CrossRef]
- Nguyen, T.T.; Hoang, V.-N.; Le, T.-L.; Tran, T.-H.; Vu, H. A Vision Based Method for Automatic Evaluation of Germination Rate of Rice Seeds. In Proceedings of the 2018 1st International Conference on Multimedia Analysis and Pattern Recognition (MAPR), Ho Chi Minh City, Vietnam, 5–6 April 2018; pp. 1–6. [Google Scholar]
- Ducournau, S.; Feutry, A.; Plainchault, P.; Revollon, P.; Vigouroux, B.; Wagner, M.H. An Image Acquisition System for Automated Monitoring of the Germination Rate of Sunflower Seeds. Comput. Electron. Agric. 2004, 44, 189–202. [Google Scholar] [CrossRef]
- Manacorda, C.A.; Asurmendi, S. Arabidopsis Phenotyping through Geometric Morphometrics. GigaScience 2018, 7, giy073. [Google Scholar] [CrossRef]
- Bastien, R.; Legland, D.; Martin, M.; Fregosi, L.; Peaucelle, A.; Douady, S.; Moulia, B.; Höfte, H. KymoRod: A Method for Automated Kinematic Analysis of Rod-Shaped Plant Organs. Plant J. 2016, 88, 468–475. [Google Scholar] [CrossRef]
- Smith, A.G.; Han, E.; Petersen, J.; Olsen, N.A.F.; Giese, C.; Athmann, M.; Dresbøll, D.B.; Thorup-Kristensen, K. RootPainter: Deep Learning Segmentation of Biological Images with Corrective Annotation. New Phytol. 2022, 236, 774–791. [Google Scholar] [CrossRef]
- Seethepalli, A.; Guo, H.; Liu, X.; Griffiths, M.; Almtarfi, H.; Li, Z.; Liu, S.; Zare, A.; Fritschi, F.B.; Blancaflor, E.B.; et al. RhizoVision Crown: An Integrated Hardware and Software Platform for Root Crown Phenotyping. Plant Phenomics 2020, 2020, 3074916. [Google Scholar] [CrossRef] [PubMed]
- Colombi, T.; Kirchgessner, N.; Le Marié, C.A.; York, L.M.; Lynch, J.P.; Hund, A. Next Generation Shovelomics: Set up a Tent and REST. Plant Soil 2015, 388, 1–20. [Google Scholar] [CrossRef]
- Wu, J.; Wu, Q.; Pagès, L.; Yuan, Y.; Zhang, X.; Du, M.; Tian, X.; Li, Z. RhizoChamber-Monitor: A Robotic Platform and Software Enabling Characterization of Root Growth. Plant Methods 2018, 14, 44. [Google Scholar] [CrossRef] [PubMed]
- Xiong, J.; Yu, D.; Liu, S.; Shu, L.; Wang, X.; Liu, Z. A Review of Plant Phenotypic Image Recognition Technology Based on Deep Learning. Electronics 2021, 10, 81. [Google Scholar] [CrossRef]
- Gehan, M.A.; Fahlgren, N.; Abbasi, A.; Berry, J.C.; Callen, S.T.; Chavez, L.; Doust, A.N.; Feldman, M.J.; Gilbert, K.B.; Hodge, J.G.; et al. PlantCV v2: Image Analysis Software for High-Throughput Plant Phenotyping. PeerJ 2017, 5, e4088. [Google Scholar] [CrossRef]
- Schneider, C.A.; Rasband, W.S.; Eliceiri, K.W. NIH Image to ImageJ: 25 Years of Image Analysis. Nat. Methods 2012, 9, 671–675. [Google Scholar] [CrossRef]
- Hakla, H.R.; Sharma, S.; Urfan, M.; Yadav, N.S.; Rajput, P.; Kotwal, D.; Abdel Latef, A.A.H.; Pal, S. Gibberellins Target Shoot-Root Growth, Morpho-Physiological and Molecular Pathways to Induce Cadmium Tolerance in Vigna Radiata L. Agronomy 2021, 11, 896. [Google Scholar] [CrossRef]
- Sanada, A.; Agehara, S. Characterizing Root Morphological Responses to Exogenous Tryptophan in Soybean (Glycine Max) Seedlings Using a Scanner-Based Rhizotron System. Plants 2023, 12, 186. [Google Scholar] [CrossRef]
- Rodríguez-Lorenzo, J.L.; Martín-Gómez, J.J.; Tocino, Á.; Juan, A.; Janoušek, B.; Cervantes, E. New Geometric Models for Shape Quantification of the Dorsal View in Seeds of Silene Species. Plants 2022, 11, 958. [Google Scholar] [CrossRef]
- Rosatto, S.; Mariotti, M.; Romeo, S.; Roccotiello, E. Root and Shoot Response to Nickel in Hyperaccumulator and Non-Hyperaccumulator Species. Plants 2021, 10, 508. [Google Scholar] [CrossRef]
- Giacò, A.; De Giorgi, P.; Astuti, G.; Caputo, P.; Serrano, M.; Carballal, R.; Sáez, L.; Bacchetta, G.; Peruzzi, L. A Morphometric Analysis of the Santolina Chamaecyparissus Complex (Asteraceae). Plants 2022, 11, 3458. [Google Scholar] [CrossRef] [PubMed]
- Lobet, G. Image Analysis in Plant Sciences: Publish Then Perish. Trends Plant Sci. 2017, 22, 559–566. [Google Scholar] [CrossRef] [PubMed]
- Olkhovskaya, I.P.; Bogoslovskaya, O.A.; Yablokov, A.G.; Glushchenko, N.N. Spring barley yield after presowing seed treatment with metal nanoparticles. Nanotechnol. Russ. 2019, 14, 55–61. [Google Scholar] [CrossRef]
- Virtanen, P.; Gommers, R.; Oliphant, T.E.; Haberland, M.; Reddy, T.; Cournapeau, D.; Burovski, E.; Peterson, P.; Weckesser, W.; Bright, J.; et al. SciPy 1.0: Fundamental Algorithms for Scientific Computing in Python. Nat. Methods 2020, 17, 261–272. [Google Scholar] [CrossRef] [PubMed]
- Bradski, G.; Kaehler, A. Learning OpenCV: Computer Vision with the OpenCV Library; O’Reilly: Sebastopol, CA, USA, 2008; pp. 16–90. [Google Scholar]
- Canny, J. A Computational Approach to Edge Detection. In Readings in Computer Vision; Fischler, M.A., Firschein, O., Eds.; Morgan Kaufmann: San Francisco, CA, USA, 1987; pp. 184–203. ISBN 978-0-08-051581-6. [Google Scholar]
- Dadlani, M.; Yadava, D.K. Seed Science and Technology: Biology, Production, Quality; Springer: Singapore, 2023; pp. 1–13. ISBN 978-981-19588-8-5. [Google Scholar]
- Zhao, L.; Lu, L.; Wang, A.; Zhang, H.; Huang, M.; Wu, H.; Xing, B.; Wang, Z.; Ji, R. Nano-Biotechnology in Agriculture: Use of Nanomaterials to Promote Plant Growth and Stress Tolerance. J. Agric. Food Chem. 2020, 68, 1935–1947. [Google Scholar] [CrossRef]
- Mahakham, W.; Sarmah, A.K.; Maensiri, S.; Theerakulpisut, P. Nanopriming Technology for Enhancing Germination and Starch Metabolism of Aged Rice Seeds Using Phytosynthesized Silver Nanoparticles. Sci. Rep. 2017, 7, 8263. [Google Scholar] [CrossRef] [PubMed]
- Abdelkader, Y.; Perez-Davalos, L.; LeDuc, R.; Zahedi, R.P.; Labouta, H.I. Omics Approaches for the Assessment of Biological Responses to Nanoparticles. Adv. Drug Deliv. Rev. 2023, 200, 114992. [Google Scholar] [CrossRef] [PubMed]
- Shin, T.H.; Nithiyanandam, S.; Lee, D.Y.; Kwon, D.H.; Hwang, J.S.; Kim, S.G.; Jang, Y.E.; Basith, S.; Park, S.; Mo, J.-S.; et al. Analysis of Nanotoxicity with Integrated Omics and Mechanobiology. Nanomaterials 2021, 11, 2385. [Google Scholar] [CrossRef] [PubMed]
- Schurch, N.J.; Schofield, P.; Gierliński, M.; Cole, C.; Sherstnev, A.; Singh, V.; Wrobel, N.; Gharbi, K.; Simpson, G.G.; Owen-Hughes, T.; et al. How Many Biological Replicates Are Needed in an RNA-Seq Experiment and Which Differential Expression Tool Should You Use? RNA 2016, 22, 839–851. [Google Scholar] [CrossRef]







| Species | Cultivar | Origin | Seed Size, mm × mm | #Bio.Rep./#Seeds | Experiment Type |
|---|---|---|---|---|---|
| Triticum aestivum L. | Zlata | Russia | 5 × 3 | 1/50 | 1. Comparison of Morley, ImageJ and manual measurements using the untreated wheat seeds |
| Triticum aestivum L. | Alekseich | Russia | 5 × 3 | 1/50 | |
| Triticum aestivum L. | Irishka | Russia | 5 × 3 | 1/50 | |
| Triticum aestivum L. | Agata | Russia | 5 × 3 | 1/50 | |
| Triticum aestivum L. | Moskovskaya 39 | Russia | 5 × 3 | 5/25 | 2. Wheat germination |
| Pisum sativum L. | Rocket | Germany | 8 × 5 | 5/25 | 3. Peas germination |
| Triticum aestivum L. | Zlata | Russia | 5 × 3 | 2/50 | 4. Growth unaffected by NPs Fe (II, III) and iron (II) sulfate treatments |
| Triticum aestivum L. | Alekseich | Russia | 5 × 3 | 2/50 | |
| Pisum sativum L. | Rocket | Germany | 8 × 5 | 14/15 | 5. Growth inhibition from iron (II) sulfate treatment |
Disclaimer/Publisher’s Note: The statements, opinions and data contained in all publications are solely those of the individual author(s) and contributor(s) and not of MDPI and/or the editor(s). MDPI and/or the editor(s) disclaim responsibility for any injury to people or property resulting from any ideas, methods, instructions or products referred to in the content. |
© 2023 by the authors. Licensee MDPI, Basel, Switzerland. This article is an open access article distributed under the terms and conditions of the Creative Commons Attribution (CC BY) license (https://creativecommons.org/licenses/by/4.0/).
Share and Cite
Emekeeva, D.D.; Kusainova, T.T.; Levitsky, L.I.; Kazakova, E.M.; Ivanov, M.V.; Olkhovskaya, I.P.; Kuskov, M.L.; Zhigach, A.N.; Glushchenko, N.N.; Bogoslovskaya, O.A.; et al. Morley: Image Analysis and Evaluation of Statistically Significant Differences in Geometric Sizes of Crop Seedlings in Response to Biotic Stimulation. Agronomy 2023, 13, 2134. https://doi.org/10.3390/agronomy13082134
Emekeeva DD, Kusainova TT, Levitsky LI, Kazakova EM, Ivanov MV, Olkhovskaya IP, Kuskov ML, Zhigach AN, Glushchenko NN, Bogoslovskaya OA, et al. Morley: Image Analysis and Evaluation of Statistically Significant Differences in Geometric Sizes of Crop Seedlings in Response to Biotic Stimulation. Agronomy. 2023; 13(8):2134. https://doi.org/10.3390/agronomy13082134
Chicago/Turabian StyleEmekeeva, Daria D., Tomiris T. Kusainova, Lev I. Levitsky, Elizaveta M. Kazakova, Mark V. Ivanov, Irina P. Olkhovskaya, Mikhail L. Kuskov, Alexey N. Zhigach, Nataliya N. Glushchenko, Olga A. Bogoslovskaya, and et al. 2023. "Morley: Image Analysis and Evaluation of Statistically Significant Differences in Geometric Sizes of Crop Seedlings in Response to Biotic Stimulation" Agronomy 13, no. 8: 2134. https://doi.org/10.3390/agronomy13082134
APA StyleEmekeeva, D. D., Kusainova, T. T., Levitsky, L. I., Kazakova, E. M., Ivanov, M. V., Olkhovskaya, I. P., Kuskov, M. L., Zhigach, A. N., Glushchenko, N. N., Bogoslovskaya, O. A., & Tarasova, I. A. (2023). Morley: Image Analysis and Evaluation of Statistically Significant Differences in Geometric Sizes of Crop Seedlings in Response to Biotic Stimulation. Agronomy, 13(8), 2134. https://doi.org/10.3390/agronomy13082134

