Abstract
The aim of the paper is to assess the impact of Foliar Fertilizations (FF) on the yield and quality of sunflower seeds. This research was carried out in the agricultural years of 2019–2021 in the experimental field of the university. The method of planting in the field was carried out in subdivided plots with three repetitions and six fertilization options. The experimental variants were as follows: Control (Mt), V1—FF 10:10:10+ME (microelements), V2—FF 8:10:0+8B (Boron)+ME, V3—FF 15:0:0+2S (Sulfur)+1B+ME, V4—FF 15:0:0+4B+ME, and V5—FF 8:8:8+ME. FF treatments were carried out in the vegetation phases specific to the sunflower crop. These varied from 2–6 L ha−1, depending on the chemical composition of the product. The application of treatments with FF to the sunflower culture positively influenced both production and its quality expressed by specific quality indices, namely the content of proteins, lipids, carbohydrates, fibers, and minerals. The results were discussed not only in view of classical statistics but also using the Principal Components Analysis (PCA), which allows a more complex evaluation of the effects of foliar treatments on the production and quality of sunflower seeds.
1. Introduction
Sunflower (Helianthus annuus) is an important oilseed crop and one of the most versatile crops; it is adaptable to various environmental conditions, hence occupying an important agricultural area not only in Romania [1] but also at the European level [2] and worldwide [3]. In the context of the current political and social crisis at the European level, sunflower culture has attracted increased agricultural, industrial, and economic interest in many countries, including Romania [1]. Since 2015, Romania has consistently ranked first in the European Union with respect to sunflower production (with an average of approximately 2.3 t/ha), cultivated area, and export potential. Although this crop primarily produces edible oil for human consumption, it is also an important source of protein for livestock production. This study was designed to assess, from both the quantitative and qualitative points of view, the influence of foliar fertilizers on the yield and quality of sunflower seeds—an important link in the sunflower production chain. The chemistry of agricultural production is of particular importance regarding the yield per hectare and for facilitating the increase in agricultural output [4,5]. The aim of the present research was hence to investigate the problems related to increasing sunflower production and quality, at the expense of the controlled use of chemical fertilizers, in order to obtain new data and information that would serve to change the current concept of agriculture toward sustainable agriculture [6].
Modern agriculture relies on the extensive use of fertilizers to obtain high-quality production while keeping expenses as low as possible. As the cost of fertilizers has increased greatly over the past few decades due to high energy consumption (especially fossil energy), the use of foliar fertilizers is again a very hot topic. These fertilizers are characterized by a lower content of classical mineral fertilizers and the addition of oligo and microelements, which can favor the absorption and use of macroelements by plants. Their application is made in an aqueous solution, which implicitly provides plants with an important amount of water, one of the most important factors for plant development.
Since the 19th century, when it was first demonstrated that nutrients can be absorbed via leaves, foliar application (liquid fertilizer that is applied directly to plant leaves and not to the soil) has been a routinely used fertilization method. Although the movement of nutrients in the root system is well studied, relatively little is known about the absorption of nutrients by the follicle. Cuticles, stomata, and trichomes have all been proposed as potential pathways for the movement of nutrients applied to the leaves, but their relative contributions to foliar absorption are still unclear. Due to the chemical and structural complexity of the cuticle, the mechanisms and overall efficiency of follicle absorption are yet to be fully understood [7,8]. For the epidermis, it was suggested that there are two different pathways of epidermal penetration: (1) The lipophilic pathway for non-ionic, non-polar, and lipophilic compounds (e.g., insecticides) and herbicides; and (2) hydrophilic pathways for ionic, polar, and hydrophilic substances (e.g., mineral nutrients) [9,10].
The intensive cropping system has diminished the intrinsic soil fertility, resulting in a lack of key plant nutrients and, ultimately, inadequate productivity. Therefore, increasing the nutrient supply is critical for elevating sunflower productivity. Sustainable production requires efficient input utilization, including adequate and balanced fertilization [11]. The yield and its creation process are modulated via genetic, environmental, and agronomic factors, as well as by their interactions. Nitrogen (N), Phosphorus (P), and Potassium (K), in particular, play a key role in promoting crop development, yield, and quality [12]. For example, it was found that sunflower yield increased by 19 to 40% in response to Nitrogen application [13]. After Nitrogen, Phosphorus, and Potassium, Sulfur is the fourth most important macronutrient for plant growth. A Sulfur deficit is largely seen as being a result of increased crop yield, which results in a faster rate of Sulfur removal by crops, as well as a decrease in the use of Sulfur-containing fertilizers. Boron foliar sprays appear to mitigate the negative impacts of drought by overcoming drought-related molecular reactions and hence appear to improve sunflower growth under minimal-water circumstances [14].
Sulfur (S). Although Sulfur is less abundant in the soil crust (it occupies only 13th place in distribution), for the mineral nutrition of plants, it occupies an important 4th place, after Nitrogen, Phosphorus, and Potassium. In plants, it participates in the formation of chlorophyll and is necessary in the biosynthesis of S-amino acids such as cystine (27% S), cysteine (26% S), and methionine (21% S). Sulfur is also the cofactor/prosthetic group for the Fe-S grouping required in various redox enzyme systems. Sulfur can be absorbed in plants through the roots as sulfate or through the leaves as Sulfur dioxide gas from the atmosphere. In the environment, Sulfur is found mostly in an oxidized, inorganic form, while in living organisms, it is found in the reduced form of organic thiols. Only plants, algae, fungi, and some bacteria can assimilate inorganic Sulfur in oxidized form and convert it into organic Sulfur in reduced form in the form of various biomolecules. In plants, Sulfur participates in the metabolism of Nitrogen and Potassium, improving their efficiency [15,16]. Sulfur aids photosynthesis by being a constituent of succinyl CoA, which is involved in chlorophyll and speeds up photosynthesis, promoting vegetative development. Sulfur aids in the conversion of carbohydrates into oil, as well as the synthesis of the fatty acid-containing enzyme thiokinase, which is Sulfur-dependent. Although the symptoms of S deficiency resemble those of Nitrogen deficiency, i.e., leaf yellowing (chlorosis), in S deficiency, this symptom first appears in young leaves and persists even if the Nitrogen deficiency has been remedied. Sunflower, similar to other oilseed crops, generally requires more S than P, unlike other cereal crops. These elements can significantly increase oil production. It is considered that for a good qualitative and quantitative production of achenes, approximately 16–25 kg S ha−1 is required, applied to the ground [17,18].
Boron (B). Sunflower is a plant that has a high need for Boron (B) and, depending on soil conditions, other trace elements. To some extent, nutrient uptake by plant roots is influenced by soil characteristics (especially soil pH) and the availability of micronutrients in the soil. At the time of sunflower emergence, the critical Boron content is 20 mg kg−1 of soil [19,20]. This is costly to achieve by application of Boron to soil directly, this being the reason that farmers prefer foliar nutrition when applying micronutrients. Some researchers [21,22] have described the effects of Boron foliar application on sunflower growth and development, stating that the Boron content corresponding to the deficit is 32.5 mg B kg−1 of dry matter. The Boron requirement in sunflowers varies based on the stage of plant growth. The Boron critical concentration in sunflowers at 4 weeks is 46.0–63.0 mg B kg−1 dry matter, but 8-week-old plants require just 36.0 mg B kg−1 [23]. Sunflower plants with tissue Boron content ranging from 16.5 to 23.0 mg kg−1 dry matter require 300 g B ha−1, while plants with tissue Boron content ranging from 23 to 32.5 mg B kg−1 dry matter require 150 g B ha−1. In Indian conditions, Vala (2014) [15] obtained a substantial increase in sunflower production and quality by applying only 80 kg N ha−1 through calcium ammonium nitrate combined with considerable amounts of S (25 kg S ha−1) and B (1.50 kg B ha−1). Other researchers have also obtained good results through the foliar application of Boron, in much smaller quantities. Thus, through the application of Boron fertilizer at BBCH 15–16 stage (5–6 unfolded leaves), increased N content in the plant was achieved. Boron foliar spraying at a 0.2%–0.3% concentration twice at the BBCH 15–16 and BBCH 20–22 (10–12 unfolded leaves) stages was substantially greater than foliar spray at a 0.2% concentration at the BBCH 20–22 stage. The combined data demonstrated that Boron foliar application of 0.3% Boron twice at the BBCH 15–16 and BBCH 20–22 stages enhanced the amount of this element in the plant and increased sunflower plant yield. Boron fertilizer use at the BBCH 15–16 stage enhanced N content in the plant. Sunflower seed output was significantly higher with Boron foliar application at a 0.3% concentration twice during the BBCH 15–16 and BBCH 20–22 stages, and comparable with treatment at a 0.2% concentration at the BBCH 15–16 and BBCH 20–22 stages [15]. Treatments had no discernible influence on oil content or production [24]. Our research in the present study, with much lower amounts of Boron (0.01% w/w concentration solutions) but with foliar application together with macroelements, as well as some of the essential microelements, also resulted in higher yields than the control, both quantitatively and qualitatively (see experimental results).
The most important microelements that play a role in plant nutrition and are usually found in foliar fertilizers are Cu, Fe, Mn, and Zn.
Copper (Cu) is an essential metal micronutrient in the metabolism of plants and is involved in numerous physiological processes, such as photosynthetic and respiratory electron transport chains (photosystem II) and as a cofactor or as a part of the prosthetic group of many key enzymes involved in different metabolic pathways, including ATP synthesis [25]. It is also assumed that Cu is involved in the process of lignification of cell walls, but the mechanism is not yet fully elucidated [26,27]. On the other hand, the excess of Cu is toxic. It has also been shown to cause cell membrane damage by attaching to the sulfhydryl groups of membrane proteins and inducing lipid peroxidation. Furthermore, Cu is highly toxic and can catalyze the formation of reactive oxygen species in the cell via the Haber–Weiss reaction [26]. This dual behavior requires limiting the use of Cu to very small amounts in foliar fertilizers, as well as closely tracking the effects after treatment.
Iron (Fe) is also an important metal microelement for plant growth and development and is an integral part of many enzymatic functions. The most important participation of Fe is in the redox system that performs the biosynthesis of hemo-coenzymes, the chlorophyll molecule, and Fe-S proteins. Another important function of Fe is in the development of chloroplasts where, under conditions of Fe deficiency, protein synthesis is greatly reduced. The significant improvement could be attributed to the effective involvement of foliar-applied organic iron salts (for example, Fe-Aspartate) in improving the biosynthesis of photosynthetic pigments for better photosynthesis, enhanced maintenance of plant water relations through amino acid metabolism, and efficient improvement in nutrient acquisition and antioxidative defense mechanisms [27]. The tilacoid membrane contains approximately 20 Fe compounds that are involved in the I and II photosystems (PS I and II). Fe deficiency can also have a negative effect on the production of metabolites that have a direct impact on lipid metabolism since deficiency in Fe can cause lipid peroxidation in oilseeds. This has a direct impact on the stability and polymerization of lipid molecules and the viability and storage of seeds, respectively [28]. The translocation of foliar iron differs by species. This variation may be explained by the species’ stomatal and venal patterns. The grass species’ stomata are placed in regular longitudinal rows interspersed with venal tissue, so the distance between an individual stoma and conducting components is never very wide. Broadleaf species, similar to the sunflower, on the other hand, have a palmate venation pattern and a random distribution of stomata, so the distance from an individual stoma to conducting tissue varies greatly; in other words, the pathway to conducting tissue is more tortuous in broadleaf species than in grass species. As iron passes through the stomata, it is most likely absorbed by the parenchyma cells surrounding the substomatal chambers and symplastically translocated to the phloem, and the more cells it must pass through, the less iron that eventually reaches the phloem. In comparison to ferrous sulfate, the use of a surfactant and organic iron salts (for example, Fe-aspartate) significantly increased iron absorption [27,29]. Deficiency of Fe in plants is manifested especially in the early stages by yellowing of the intervals between the ribs of the young leaves [28].
Manganese (Mn) has a wide impact on plant growth and development, especially chloroplasts, given its decisive role in the functioning of Photosystem II (PS II) and the formation of the superoxide dismutase molecule (MnSOD). When Mn is deficient, the evolution of O2 in the younger and developing leaves can decrease by almost half, so the impact of Mn deficiency on the plant’s metabolism can be severe, participating in the onset of chlorosis. Manganese, as an element with low bioavailability, cannot be translocated from the lower leaves to the upper leaves. Deficiency symptoms manifest especially in young leaves. Furthermore, the tilacoid membrane of plants can be adversely affected by the lack or improper degradation of glycolipids and polyunsaturated fatty acids. The influence of Mn can be seen especially in seeds and developing embryos. Proteins and lipids in seeds are affected differently. As the concentrations of Mn in the oil crop, along with the increase in concentrations in sunflower seeds, the amount of oil in the seeds increases, but the quantity of protein decreases.
Qualitative observations indicate an influence of Mn on the oleic acid/linoleic acid ratio, with manganese favoring the formation of oleic acid [28,30]. Zinc (Zn) is present in many plant enzymes, especially those involved in the enzyme chain of carbonic anhydrase, and it has extensive involvement in carbohydrate metabolism as an activator of fructose 1.6-bisphosphatase and aldolase. The cellular organelles of sunflower leaves involved in foliar absorption of zinc are not stomata, but trichomes. The cuticle was also discovered to be significant, with Zn moving over it before accumulating in the walls of underlying cells. There was no significant accumulation of Zn within the stomatal cavity, indicating that Zn transport through the stomata was unlikely to be significant. Zn was found in the epidermal cells on both sides of the leaf after absorption. The BSEs (bundle sheath extensions) attached to the trichomes appear to be critical for the transport of Zn away from the overlaying trichomes in this regard. Furthermore, the absorption of nano-ZnO was significantly lower than that of ZnSO4, indicating that Zn was most likely moving across the leaf surface as soluble Zn rather than nanoparticles. Zn is also linked to the stability, integrity, and longevity of membranes. In particular, Zn helps bind with various complexes to create polypeptide and cysteine structures that, in turn, help protect against oxidative processes harmful to lipids [9].
Foliar fertilization of sunflowers with macroelements such as Boron, Sulfur, and so on is ideal for this crop. When administered early in the growth cycle, it promotes physiological processes such as budding, flowering, fertilization, and seed filling, as well as the development of roots and foliar mass. To optimize the stimulating effect of various types of foliar fertilizers, it is critical from an agronomic point of view to identify the time, frequency, methods, and doses of their administration [31].
The purpose of our research presented in this study is to evaluate the effect of different treatments with foliar fertilizers (FF) on the production and quality of sunflower seeds. The quality of sunflower seeds was evaluated using the following determinations: Moisture, ash, macro and microelements, lipids, raw protein, fiber, and carbohydrates. The evaluation of complex interactions between FF treatments and production was carried out using the PCA method. This chemometric technique allowed us to select the best model for determining the most effective foliar treatment for the production of sunflower seeds, both quantitatively and qualitatively.
2. Materials and Methods
2.1. Natural Framework of Experimentation
The study was conducted in 2019–2021 in the Cioreni experimental fields (N 45°48.298′, E 21°09.350′, 79 m altitude, Garmin device GPSMAP 64 st) of the University of Life Sciences “King Michael I” from Timișoara, located in the Western Plain of Romania. The climate of this area is temperate-continental, with slight Mediterranean and Oceanic influences [32]. The average annual temperature is 10.6 °C and the warmest month is July. (Figure 1) It can therefore be inferred that, from a climatic point of view, the selected provides optimal conditions for the cultivation of sunflowers [33].
Figure 1.
The average monthly temperatures (°C) recorded in Timisoara, (2019–2021) [32].
The average annual precipitation is frequently around 600 mm. In June, as a rule, the maximum pluviometric occurs (Figure 2).
Figure 2.
The monthly rainfall (mm) recorded in Timisoara, (2019–2021) [32].
2.2. Geomorphology and the Physical and Chemical Properties of the Soil
The soil was a cambic low-gleyed chernozem, which otherwise displays the typical features of local soils. From a geomorphological point of view, the studied area is part of the low subsistence plain. It is a typical region of holocene divagation, in which both local subsidence and general subsidence in the lower Tisa River resulted in partial coverage of loessoid deposits and older alluvium and their mixing with recent alluvial materials. The minimum elevation of the relief is approximately 80.8 m, in which case the groundwater level is found very close to the surface [34].
Granulometric analysis was carried out using the Kacinschi method. The distribution of granulometric fractions was balanced, which gives a medium-fine texture. The composition of the granulometric fractions was specific to a quiet sedimentation area, in which the materials were sorted in an aquatic, basic, quiet environment. This statement is confirmed by the way in which the fine sand fractions (28–33%) and clay fractions (40–42.0%) predominate. Coarse sand fractions (0.3–0.6%), which indicate a mean of transport and hectic deposition, occurred in a small proportion; the dusty fractions occurred in a normal proportion (27–30%). The measured density (2.45–2.73 g cm−3) was quite high, indicating advanced mineralization of organic matter and increased melanization of the upper horizons.
The highest values of the apparent density were determined in the processed horizon (Ap) of 1.50 g cm−3. The total porosity revealed small to medium values (43–47%), with the aeration porosity being very low in the processed horizon (12%)—most likely due to the destruction of non-capillary pores. At depth, where anthropic action (with machines and agricultural equipment) is lower, the aeration porosity was markedly increased towards average values—normal values for soils evolved on loessoid deposits and in the middle stages of evolution [35].
The reaction of the soil solution is weakly acidic in the upper horizons (pH = 6.16) to weakly alkaline (pH = 8.4) in the lower horizons. They are closely correlated with the values characteristic of the carbonate content. As a result of the accentuated debasification of the upper horizons, the carbonates were eluvied in depth, at 95 cm. Calcium salts are completely removed from the upper third of the soil profile, leaving behind a eubasic environment, where calcium ions in the soil solution are still found in significant amounts. The humus content is between 1.8% and 3.3%, which reflects a good supply of organic matter; these values are specific to mollisols. Total Nitrogen oscillates from 0.120% to 0.221%, being strongly dependent on soil humus content. The supply of mobile Phosphorus is small, being between 4.1 and 23 ppm, which also explains the need to administer chemical fertilizers along with Phosphorus. The supply of mobile Potassium ranges from 120 to 138 ppm, with data indicating a medium supply of this nutrient [36,37].
2.3. Sowing and Fertilization, Experimental Scheme
The sowing was performed in the optimal period, based on our previous experience. The Neoma hybrid from Syngenta Company was used as a sunflower model, with the sowing density at 58,000 seeds ha−1. The sunflower crop was fertilized with 120 kg ha−1 solid chemical fertilizer 18:46:0 (N, P2O5, K2O-in the autumn), followed by two foliar fertilizations in the doses recommended by the manufacturer and in the vegetation phases specific to the sunflower crop, according to the data in the literature, respectively, in stages: BBCH scale 15–16 (5–6 unfolded leaves) for the first application and BBCH scale 20–22 (10–12 unfolded leaves) for the second application when there is intense growth and the requirements of plants are at a maximum [4,15]. Because sunflower has a slow growth rate in the early vegetation phases, early weed control was ensured by herbicide application [38]. Doses of foliar fertilizer ranged from 2 to 6 L ha−1, depending on the chemical composition of the product. Single fertilization was applied using solid chemical fertilizers in the autumn. The method of settlement in the field was in subdivided plots with three repetitions and six fertilization variants; the harvestable area of the experimental plot was 24.5 m2 (length = 7 m, width = 3.5 m), with the path between variants having a width of 1 m. The treatments applied were V1—FF 10:10:10+ME dose of 6 L ha−1; V2—FF 8:10:0+ 8B+ME, dose of 2 L ha−1; V3—FF 15:0:0+2S+1B+ME, dose of 6 L ha−1; V4—FF 15:0:0+4B+ME, dose of 4 L ha−1; V5—FF 8:8:8+ME, dose of 6 L ha−1; Mt–control; where FF is the foliar fertilizer with different doses of soluble Nitrogen (N-first digit), soluble Phosphorus (P2O5-second digit), and soluble Potassium (K2O-third digit), expressed in %, w/w. B (0.01% w/w) represents forms of soluble Boron and S (1% w/w) represents forms of soluble Sulfur, also expressed in % w/w. ME is a sum of trace elements, that is Fe (0.057), Cu (0.006), Mn (0.026), Zn (0.008), and Co (0.002), chelated with EDTA and soluble Mo (0.004), with concentrations also expressed as % w/w.
2.4. Methods of Chemical Analysis and Statistical Processing of Data
Sample processing and chemical analyses were carried out in the Soil Science Laboratory of O.S.P.A. Timisoara from U.S.V.T., RENAR authorized laboratory (the organization in charge of standardization in Romania [39]). The methods used to characterize the quality of sunflower seeds were in agreement with the Romanian ISO-accredited standards [40]. These methods are:
- Humidity (%): Drying at 130 °C, using ovens (POL-EKO-Aparatura, Nitech, Bucharest, Romania), SR EN ISO 712:2010 [41].
- Ash (%): Calcination at 550 °C, using a calcination furnace (Lenton Thermal Design, Derbyshire, UK), SR ISO 2171:2002 [42].
- Raw protein (%): Classical Kjeldahl method, using VELP kit (DK20 heating digestion and UDK 149 distillation unit) [43].
- Lipids (%): Soxhlet extraction, SR ISO 1443:2008; of which saturated fatty acids using the GS_MS method, by GCMS QP 2010 (Shimadzu, Kyoto, Japan) equipment [44,45].
- Dietary fiber (%): Using the FOSS Fibertec device and method 2010 & M6 [46].
- Carbohydrates (%): Determined by the calculation.
- Metal analyses were performed by the atomic absorption method, in an air-acetylene flame, using a VARIAN AA 240 FS (Australia) fast sequential atomic absorption spectrometer [47,48] and total Phosphorus content was assessed by the colorimetric method using a CINTA (GBC Australia) spectrophotometer.
Vegetal samples mineralization was run by calcination and wet mineralization using concentrated HNO3 + HCl in a ratio of 1:3 (aqua regia), followed by an appropriate dilution.
Mathematical processing and interpretation of primary data were conducted via classical statistical methods [49], using the Statistica software package. Because the volume and complexity of agricultural data are always increasing, statistical methods able to reduce their dimensionality in an interpretable way are needed in order to reliably analyze such datasets and draw pertinent conclusions. Principal Component Analysis (PCA) is frequently applied to obtain a small number of linear combinations (principal components—PCs) of a set of variables that retain as much information from the original variables as possible [50]. In this study, PCA analysis was performed using PAST software. PCA estimates the correlational structure of the variables by finding hypothetical new variables (PCs) that account for as much as possible of the variance (or correlation) in a multidimensional data set. These PCs are linear combinations of the original variables (in our case, the yield and concentration of qualitative parameters of sunflower seeds) [51]. This method helps us to identify groups of variables (i.e., qualitative parameters of sunflower seeds) based on the loadings and groups of samples (i.e., type of foliar treatment) based on the scores. The PCA model is not restricted in the number of variables, and is thus distinct from the rule for Multiple Regression: That the number of variables must be smaller than the number of objects.
The closer the similarity between the samples, the fewer the number of terms needed in the expansion to achieve certain approximation fitness, and only two or three variables (the first 2–3 components) may be used for reduction of the dataset in order to simplify plotting and to better explain the dispersion structure [50,51]. Given the wide range of values for macronutrients and mineral concentrations (from units to thousands), logarithmic data transformation was conducted to standardize datasets [52,53]. In order to better visualize and understand the complexity of the correlations between the applied treatments and the analyzed parameters, two PCA models were used; namely, PCA-nutrients, which describes the interactions between treatments and the production of the main quality parameters of sunflower seeds (moisture, protein, lipids, saturated fatty acids, carbohydrates, and fibers); and PCA-minerals, which describes the interactions between foliar treatments and ash, along with macro and micromineral content.
3. Results and Discussion
Abiotic stress can have a detrimental effect on the yield and on the growth of plants and the quality and quantity of oil obtained [15,33]. A relevant example is the imbalance in the nutrition and fertility of plants. Plants require macro- and micronutrients to optimize their growth process and yield and complete their life cycle, especially at critical times in their development [13,31]. Foliar fertilization can replenish the lack of nutrients at such critical times, with a direct impact on yield, especially in sunflower crops [54].
3.1. Impact on Production
The production achieved and the humidity of the seeds using the foliar treatments used here is shown in Table 1.
Table 1.
Influence of foliar fertilizers on sunflower seed production and water content at harvest.
In all the foliar fertilized variants, the production obtained was significantly elevated compared to the control (Mt). The highest yield, approximately 3700 kg ha−1, was obtained in the V2 and V4 variants, for which Nitrogen and Phosphorus were supplemented with microelements, especially Boron. Generally, foliar Nitrogen fertilizers are known to exert favorable effects on grain production in most crops [55].
The humidity of sunflower seeds in all foliar fertilized variants was lower than in the control group (Mt), especially for the V2 variant, in which case the difference was statistically significant. The positive impact of Boron on seed production was observed in other oilseeds such as brassica, especially if they were associated with Zn and Mo application [56]. These data suggest that Boron may be a limiting factor in the production of oilseeds [28].
3.2. The Impact on the Content of Proteins, Lipids, Carbohydrates, and Fiber
The content of raw protein, total lipids, and the fraction of saturated lipids, carbohydrates, and fiber are given in Table 2.
Table 2.
The protein, lipids, saturated fatty acids (SFAs), carbohydrates (glucides), and fiber content of sunflower seeds following different foliar treatments (% dry matter).
Similar to other crops, the impact of mineral fertilization on the qualitative parameters of production is particularly relevant [57,58]. Thus, the average content in the raw protein varied here between 19.73% in the control and 21.41% in the V2, variant. The difference seen for the later experimental group, showing an increase of approximately 2%, was statistically very significant. The presence of Nitrogen in the foliar fertilizer implies that the raw protein content in all the fertilized variants was higher than in the control, with variable statistical assurance, from insignificant (V3) to significant (V1, V4, and V5) and very significant (V2). The lipid content ranged from 51.32% in the control to 54.02% for the V2 variant, which again showed statistical significance—for an increase of approximately 3%. For all fertilized variants, increased average values were recorded compared to the case of the control variant, generally well and very well statistically assured. Similar results on the production and quality of sunflower seeds were obtained by Milev [31] under similar soil and climate conditions [31]. An interesting situation can be seen in the percentage of saturated fats, which, under the influence of foliar treatments, decreased, especially when Nitrogen predominates—as in the case of the V1 variant, which had the lowest percentage of saturated fats, a value very well assured statistically. The carbohydrate content lay between 7.46% for the V1 variant and 20.69% for the control variant. Similarly, the foliar treatment with predominant Nitrogen (V1) reduced the carbohydrate content. This effect was statistically well ensured for all foliar fertilized variants. The fiber contents ranged between 10.52% in controls and 12.15% in the V5 variant, which shows the highest value (an increase of approximately 2%), well statistically assured, and a minimum of 8.00% for the V2 variant, also well assured statistically.
An interesting perspective of the effect of different types of foliar fertilizers on the production and composition of macronutrients (or minerals) is obtained by treating data using analysis of principal components (PCA) [50,51]. Principal Component Analysis was used with PAST software to understand the relationship between yield and plant data analysis and foliar fertilizer treatments. PCA was used to obtain a small number of linear combinations (principal components) of a set of variables that retain as much information on the large original variables (in our case, yield, humidity, ash, protein, lipid, fiber, and carbohydrates contents, and also macro and micromineral contents) as possible [59].
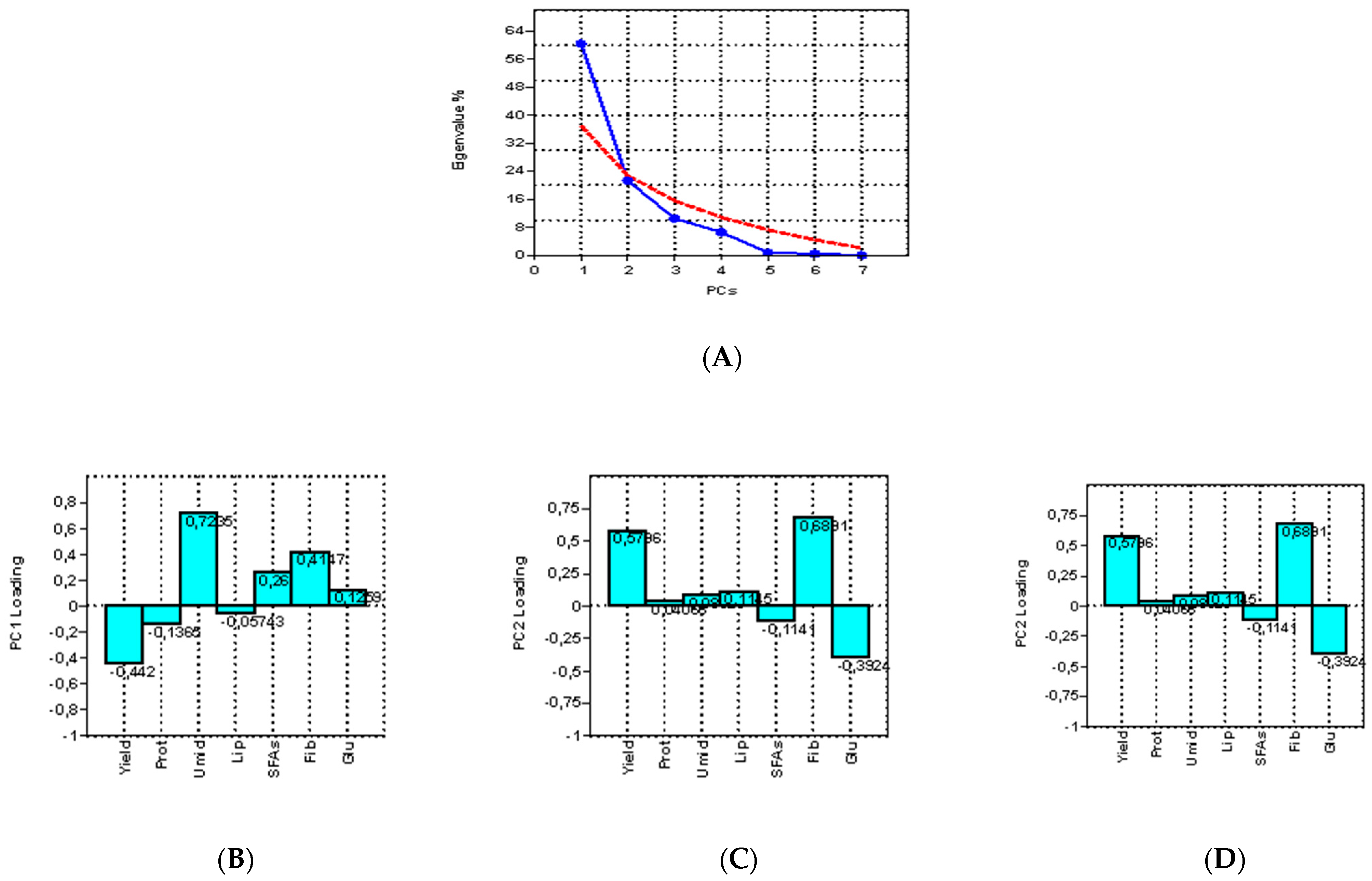
To avoid overloading the graphic representations, the associations between the types of fertilization and macronutrients using the PCA-nutrients model (Figure 3, Figure 4 and Figure 5) and minerals using the PCA-minerals model (Figure 5 and Figure 6) were analyzed separately. From the screen plot graph of eigenvalues of the PCA-nutrients model (Figure 3A), it can be seen that the first three PCs are enough to explain more than 92% of the pattern variation. PC1 explained 60% of the pattern variation, PC2 explained 20%, and PC3 explained 12%.
Figure 3.
Eigenvalueplot (A) and loadings for PC1 (B), PC2 (C), and PC3 (D) in the PCA-nutrients model.
Figure 4.
Variance-covariance view of biplot scatter for the first two PCs, PC1, and PC2, in the PCA-nutrients model. The colored areas represent the distribution of experimental data over the three years of study, with the colors being specific to each experimental variant.
Figure 5.
Variance-covariance view of biplot scatter for the PC1 and PC3 in the PCA-nutrients model. The colored areas represent the distribution of experimental data over the 3 years of study, with the colors being specific to each experimental variant.
Figure 6.
Eigenvalue plot (A) and loadings for PC1 (B) and PC2 (C) in the PCA-minerals model.
These graphic images (Figure 4 and Figure 5) showed that the V2 variant (8:10:0+B+ME)—representing foliar fertilization with Nitrogen, Phosphorus, Boron, and microelements—is clearly differentiated, in all aspects, both from the control and from the other fertilization options, especially influencing production (highest) and humidity (lowest). The variants V1 (10:10:10+ME) and V5 (8:8:8+B+ME), which have a similar composition of Nitrogen, Phosphorus, Potassium, and microelements, also displayed a similar influence on the composition in macronutrients, especially regarding fibers and carbohydrates. The V3 variant (15:0:0+1B+2S) and the V4 variant (15:0:0+4B+ME), which also shared a similar composition in macroelements (Nitrogen) and microelements, exerted comparable effects on the investigated parameters, and especially on yield, saturated fatty acids, and humidity. The total protein and total lipid content were affected to a similar extent by all types of FF treatments used, especially when Boron and Sulfur were present, as already reported by other authors [14,31,60].
3.3. Impact on Mineral Contents
Minerals along with proteins, lipids, and polyglucides are the basic constituent of plants, participating both in the formation of their body (macrominerals: K, Ca, and Mg) and in key enzymatic processes (microelements or trace metals, especially Fe, Mn, Zn, Cu, and Mo). This polyfunctionality of metals involves strong genetic control and a wide variety in terms of their content in the plant kingdom [16]. In addition to the genetic control of metal content in plants, environmental conditions, especially their content in soil, water, and air, can influence their rate of penetration and accumulation in crops. Numerous studies carried out in different environmental conditions and on different plants clearly show an increase in metal content when their concentration in the soil, groundwater, or irrigation water, as well as the air, is high [61]. Both organic and mineral fertilization can contribute, within certain genetically controlled limits, to the increase in the content of macrominerals (K, Ca, and Mg) and micro-favorable elements (Zn, Cu, Fe, Mn, and Mo), from plant sources used in human or animal food. In addition to this favorable effect, serious contamination of plants and vegetable food can occur when metal exposure is too high. These contamination events can have no visible effects on plants as they generally have a high defense capacity against metals but can exert serious harmful effects on their consumers [62].
3.3.1. The Impact on Macroelements
These are primarily represented by K, Mg, and Ca, in the form of various inorganic or organic salts [63]. The impact of foliar fertilization on the macromineral content of sunflower seeds is shown in Table 3.
Table 3.
Ash content and macroelements of sunflower seeds in the studied variants.
Potassium is involved in the regulation and transport of water and backup substances, positively inflating photosynthetic capacity, flowering, and firmness of tissues, as well as carbohydrate synthesis, nitrate absorption, and enzymatic activity. A deficiency in Potassium favors the attack of fungi, as well as a reduced resistance to the stress of drought or low temperatures [12]. This, in turn, results in a lack of balance among other nutrients, such as calcium, magnesium, and Nitrogen. Physiologically, the deficiency in this important macroelement is apparent as dark spots on the leaves [17,63]. In the seeds of the V2 variants (8:10:0+1B+ME) and V3 variants (15:0:0+1B+2S+ME), there was a significant enhancement in Potassium content; that is, approximately 9 and 11 ppm (1.4–1.7%), respectively, compared to the control variant.
Magnesium, the main mineral constituent of chlorophyll, is the macromineral decisive for photosynthesis and plant development, being the main activator of most enzymes. It has a decisive influence on the absorption and transport of Phosphorus, as well as the storage of sugars in plants. Magnesium deficiencies yield weak stalks, a loss of greenness in the oldest leaves, and the appearance of yellow and brown spots, even though the leaves’ veins remain green [17]. Although the increase in magnesium was relatively low compared to the control, it was constantly found in the seeds of all foliar fertilized variants, with a maximum of 6–9 ppm (1.9–2.8%) in the V2 variant (8:10:0+1B+ME) and the V4 variant (15:0:0+4B+ME).
Calcium is involved in the growth and development of plant cells, especially the components of the walls of plant tissues, both in the stem and in the roots. It occurs primarily in the walls of plant tissues, contributing to the improvement of plant vigor and stimulating root formation and the transport of other mineral nutrients. This macroelement also helps to neutralize the toxic effects of various toxic substances and produce healthy seeds. Calcium deficiency causes yellow and brown spots on the leaves, while also retarding plant growth and development [17]. The improvement of calcium content was seen here in the seeds of all foliar fertilized variants; it ranged from 2 ppm to 4 ppm (2.6–5.2%), with the best increase being identified in the V4 (15:0:0+4B+ME) and V5 (8:8:8+ME) variants.
Phosphorus—along with calcium, Potassium, and magnesium—is one of the main macroelements necessarily involved in the fertilization of sunflowers. It not only positively influences the formation of roots and the flowering process but is also actively involved in all the physiological processes of growth, development, and fruiting, being indispensable in the various organic substances participating in energy metabolism. Phosphorus deficiency reduces the ability of sunflowers to withstand the different forms of stress that occur during the growing season, thereby reducing both production and quality. The external manifestation of such a deficiency is similar to calcium deficiency, i.e., the browning and curling of leaves [17]. The seeds of V2 (8:10:0+1B+ME), V3 (15:0:0+1B+2S+ME), and V4 (15:0:0+4B+ME) displayed the best content in Phosphorus versus the control variant, with the growth being small (2–4 ppm and 0.3–0.6%) but significant.
Although the ash content is statistically influenced to an insignificant extent by the foliar treatments applied, a difference was observed between the minerals. Thus, calcium, magnesium, Potassium, and Phosphorus, which are the dominant macroelements, showed a higher concentration, well highlighted statistically, especially in the V2 variant, where the presence of Boron was noticeable. Moreover, with different degrees of statistical significance, it can be appreciated that foliar fertilizers increase the content of the main macroelements in all treated variants (Table 3).
3.3.2. The Impact of Foliar Fertilization on the Content of Essential Microelements
Although micronutrients are needed in smaller amounts than macronutrients inside the plant, they are necessary elements. When the levels of a microelement fall below a critical range, negative impacts on plant growth and development, physiological functions, and metabolic pathways are observed, influencing both seed and embryo development [28]. The content in the main microelements (Fe, Zn, Cu, and Mn) are shown in Table 4.
Table 4.
The content of microelements in sunflower seeds under the influence of applied foliar treatments.
Table 4 displays Fe, Mn, Zn, and Cu, found in the form of various salts with organic acids from plants. These elements play an important physiological role, both for sunflower plants and their animal consumers, with vegetal food being the main supplier of microelements for animals, including humans [62,63]. Fe, Cu, and Mn revealed, in all the treated variants, values above those measured in controls with variable statistical meanings, from insignificant to very significant. The V2 variant had significantly higher Fe and Mn contents compared to the control. Similar results were obtained for Cu in the V3 variant. In addition, Zn showed significantly lower values than the control group, especially for the V1, V2, and V4 variants.
From the plot of eigenvalues of the PCA minerals model (Figure 6A), it can be seen that the first two PCs are enough to explain more than 90% of the pattern variation; PC1 explains more than 85% and PC2 explains approximately 5% of the pattern variation. From the loading coefficients (Figure 6B,C) it can be seen that only Fe, Zn, and Na were the main variables explaining most of the variation observed in the two PCs. Based on these results, a sharp differentiation of the applied treatments was obtained—as can be seen in Figure 7. Thus, all fertilization variants were grouped separately compared to the control. The V2 and V4 variants (15:0:0+4B+ME), and separately the V3 variant (15:0:0+S+1B+ME), with a highly differentiated chemical composition, both with respect to macro- and micro-fertilizers, form two distinct central clusters corresponding to the variants V1 (10:10:10+ME) and V5 (8:8:8+ME)—which are pooled together, being similar in qualitative chemical composition.
Figure 7.
Variance-covariance view of biplot scatter for the first two PCs, PC1 and PC2. The color has the same significance as in Figure 4 and Figure 5. The colored areas represent the distribution of experimental data over the 3 years of study, and the colors are specific to each experimental variant.
The fertilization of V2 (8:10:0+B+ME) and V4 (15:0:0+4B+ME), both with Boron and ME, had a positive effect on the content in Fe, while the fertilizing composition of V3 (15:0:0+S+1B+ME), with Sulphur and Boron, primarily influences the Na content (positively) and the Zn content (negatively) of sunflower seeds. The fertilizers in V1 (10:10:10+ME) and V5 (8:8:8+ME), both variants with the same qualitative composition, similarly influenced the composition of macro (K, Ca, Mg, and P) and some microminerals (Cu, Mn, and Zn) of sunflower seeds. In general, except for Fe and Zn among the microelements and Na among the macroelements, the contents of the other micro- and macroelements were not influenced by any of the applied foliar treatments.
4. Conclusions
All tested foliar fertilizers had a positive effect on seed yield. The V2 variant with the fertilizer recipe 8:10:0+B+ME, 2 L ha−1 had the most significant positive influence on seed yield and also on protein and lipids content, and also had the minimum % of humidity. It also displayed the highest contents in Mg, K, P, Fe, and Mn. These results indicate that this foliar treatment has the strongest effect in terms of both the quantity and quality of sunflower seeds. This differentiation of the V2 variant, both from the control variant and from all the other four variants, is also very clear from the two PCA models used (Figure 4, Figure 5 and Figure 7). From the PCA-nutrients model, it can be seen that the variants V1 (10:10:10+ME) and V4 (15:0:0+4B+ME) are the closest to the superior foliar fertilization variant V2, especially in terms of quality, while variant V5 (8:8:8+ME) has the highest fiber content and the V3 variant (15:0:0+S+1B+ME) the highest saturated fatty acid content. According to the mineral content, the closest variant to V2 is V4 (15:0:0+4B+ME), as can be seen from the PCA-minerals model (Figure 7). It was hence concluded that the combined foliar application of Nitrogen, Phosphorus, microelements, and Boron was the optimal treatment for maximum plant seed yield of sunflower crops.
Using the PCA analysis of the complex interactions between foliar fertilizers and chemical composition allows a more suggestive and pragmatic approach to the use of different compositions of foliar fertilizers to obtain products (in this case, seeds) with certain compositional characteristics desired or, in contrast, to be avoided. We believe that the information from this study will help to improve the design and use of foliar fertilizers, as necessary, to increase the quality and quantity of crop plants, and to be able to ensure both security and food safety in sustainable agriculture.
Author Contributions
Conceptualization, F.C. and D.N.M.; methodology, I.R. and I.G.; software, M.B.; validation, F.C., D.N.M. and M.B.; formal analysis, I.G. and A.A.I.; investigation, F.I. and F.C.; resources, F.I. and I.B.D.; data curation, A.A.I.; writing—original draft preparation, I.G. and D.N.M.; writing—review and editing, I.B.D.; visualization, A.A.I.; supervision, F.I. and D.N.M.; project administration, I.B.D.; funding acquisition, I.R. All authors have read and agreed to the published version of the manuscript.
Funding
This research paper is supported by the project “Increasing the impact of excellence research on the capacity for innovation and technology transfer within ULS Timișoara” code 6PFE, submitted in the competition Program 1—Development of the national system of research-development, Subprogram 1.2—Institutional performance, Institutional development projects-Development projects of excellence in RDI.
Acknowledgments
The authors sincerely thank the teachers and students for their excellent help during the experiment. We are grateful to OSPA Timisoara (www.ospatimisoara.ro, accessed on 10 July 2023), especially the laboratory team (Clara Tudor and Liliana Brei) for the technical and material support offered in performing heavy metal analyzes, and TMT from NY University for improving the translation.
Conflicts of Interest
The authors declare no conflict of interest.
References
- Available online: https://insse.ro/cms/ro/tags/anuarul-statistic-al-romaniei (accessed on 12 April 2023).
- Available online: https://ec.europa.eu/eurostat/cros/content/institutul-national-de-statistica-romania_en (accessed on 2 May 2023).
- The Food and Agriculture Organization (FAO). Available online: www.fao.org/faostat/en/#compare (accessed on 9 March 2022).
- Aboudrare, A.; Debaeke, P.; Bouaziz, A.; Chekli, H. Effects of soil tillage and fallow management on soil water storage and sunflower production in a semi-arid Mediterranean climate. Agric. Water Manag. 2006, 83, 183–196. [Google Scholar] [CrossRef]
- Aowad, M.M.; Mohamed, A.A.A. The effect of bio, organic and mineral fertilization on productivity of sunflower seed and oil yields. J. Agric. Res. 2009, 35, 1013–1027. [Google Scholar]
- Radulov, I.; Lațo, A.; Berbecea, A.; Lațo, I.; Crista, F. Nitrate Pollution of Water in Romanian Serbia Cross-Border Area as a Consequence of Agricultural Practices. In Proceedings of the 16th International Multidisciplinary Scientific GeoConference, SGEM 2016, Vienna, Austria, 2–5 November 2016; Volume III, p. 205. [Google Scholar]
- Fernández, V.; Sotiropoulos, T.; Brown, P. Foliar Fertilization: Scientific Principles and Field Practices; International Fertilizer Industry Association (IFA): Paris, France, 2013. [Google Scholar]
- Fernández, V.; Bahamonde, H.A.; Peguero-Pina, J.J.; Gil-Pelegrín, E.; Sancho-Knapik, D.; Gil, L.; Goldbach, H.E.; Eichert, T. Physicochemical properties of plant cuticles and their functional and ecological significance. J. Exp. Bot. 2017, 68, 5293–5306. [Google Scholar] [CrossRef] [PubMed]
- Li, C.; Wang, P.; Van der Ent, A.; Cheng, M.; Jiang, H.; Read, T.L.; Lombi, E.; Tang, C.; de Jonge, M.D.; Menzies, N.W.; et al. Absorption of foliar-applied Zn in sunflower (Helianthus annuus): Importance of the cuticle, stomata and trichomes. Ann. Bot. 2019, 123, 57–68. [Google Scholar] [CrossRef] [PubMed]
- Schreiber, L.; Schönherr, J. Water and Solute Permeability of Plant Cuticles. Measurement and Data Analysis; Springer: Berlin/Heidelberg, Germany, 2009; pp. 1–29. [Google Scholar] [CrossRef]
- Marschner, H. Mineral Nutrition of Higher Plants; Academic Press: San Diego, CA, USA, 1995. [Google Scholar] [CrossRef]
- Li, S.T.; Duan, Y.; Guo, T.W.; Zhang, P.L.; He, P.; Majumdar, K. Sunflower response to potassium fertilization and nutrient requirement estimation. J. Integr. Agric. 2018, 17, 2802–2812. [Google Scholar] [CrossRef]
- Zubillaga, M.M.; Aristi, J.P.; Lavado, R.S. Effect of Phosphorus and Nitrogen Fertilization on Sunflower (Helianthus annus L.) Nitrogen Uptake and Yield. J. Agron. Crop Sci. 2002, 188, 267–274. [Google Scholar] [CrossRef]
- Singh, F.; Ghosh, G.; Debbarma, V. Effect of Different Levels of Nitrogen, Sulphur and Foliar Application of Boron in Sunflower (Helianthus annuus L.). Int. J. Curr. Microbiol. App. Sci. 2017, 6, 1336–1342. [Google Scholar] [CrossRef]
- Vala, G.S.; Vaghani, J.J.; Gohil, V.N. Effect of Sulphur on Yield and Oil Content of Sunflower. In Proceedings of the Conference: Soil Health: A Key to Unlock and Sustain Production Potential, Jabalpur, India, 3–4 September 2014. [Google Scholar] [CrossRef]
- Kumar, S.; Mohapatra, T. Interaction Between Macro- and Micro-Nutrients in Plants. Front. Plant Sci. 2021, 12, 665. [Google Scholar] [CrossRef]
- Available online: https://www.agqlabs.us.com/macronutrients-in-plants/ (accessed on 10 May 2022).
- Kumar, K.A.; Reddy, S.; Kaur, G.; Chhabra, V. Effect of Sulphur Fertilization on Growth and Yield of Sunflower Crop-A Review. Indian J. Agric. Allied Sci. 2002, 8, 31–35. [Google Scholar]
- Asad, A. Boron requirements for sunflower and beet. J. Plant Nutr. 2002, 25, 885–889. [Google Scholar] [CrossRef]
- Asad, A.; Blamey, F.P.C.; Edwards, D.G. Effect of foliar boron application on vegetative and reproductive growth of sunflower. Ann. Bot. 2003, 92, 565–570. [Google Scholar] [CrossRef] [PubMed]
- Zerrari, N.; Moustaoui, D. The fertilisation of the sunflower (Helianthus annus L.) in boron field calibration trials of plant analysis and recommendations for foliar fertilization. Agrochemicals 2005, 49, 182–189. [Google Scholar]
- Skarpa, P. Effect of Boron foliar aplication at critical growth stage on sunflower (Heliantus annuus), yeld and quality. J. Elem. 2013, 18, 449–459. [Google Scholar] [CrossRef]
- Rashid, A.; Rafique, E. Internal boron requirements of young sunflower plants, proposed diagnostic criteria. Community Soil Sci. Plant Ann. 2005, 36, 2113–2119. [Google Scholar] [CrossRef]
- Prabhakar, K.; Laksmi Kalyani, D.; Balaji Nayak, S.; Venkataramanamma, K.; Neelima, S.; Sampath Kumar, D. Effect of boron foliar application at Critical growth stages on sunflower (Helianthus annuus L.) seed yield and oil yield. Pharma Innov. J. 2021, 10, 910–913. [Google Scholar] [CrossRef]
- Sharma, R.K.; Agrawal, M. Biological Effects of Heavy Metals: An Overview. J. Environ. Biol. 2005, 26 (Suppl. 2), 301–313. [Google Scholar]
- Faraz, A.M.; Jamil, M.; Ahmad, K.; Bakar, A.M.; Abbas, M.S.; Nadeem, M.; Batool, T. Effect of Copper on Sunflower (Helianthus annus L.). Int. J. Sci. Res. Publ. 2020, 10, 205. [Google Scholar] [CrossRef]
- Qasim, A.; Shafaqat, A.; Mohamed, A.; El-Esawi Rizwan, M.; Azeem, M.; Abdullah, I.H.; Perveen, R.; El-Sheikh, M.A.; Nasser, M.; Wijaya, A.L. Tolerance in Sunflflower as Compared with FeSO4: Yield Traits, Osmotic Adjustment, and Antioxidative Defense Mechanisms. Biomolecules 2020, 10, 1217. [Google Scholar] [CrossRef]
- Cockson, P.; Veazie, P.; Davis, M.; Barajas, G.; Post, A.; Crozier, C.R.; Leon, R.G.; Patterson, R.; Whipker, B.E. The Impacts of Micronutrient Fertility on the Mineral Uptake and Growth of Brassica carinata. Agriculture 2021, 11, 221. [Google Scholar] [CrossRef]
- Eddings, J.L.; Brown, L. Absorption and Translocation of Foliar-Applied Iron. Plant Phxysiol. 1967, 42, 15–19. [Google Scholar] [CrossRef]
- Ramesh, V.; Manjunath, J.; Saravanaperumal, M.; Bheemanna, R. Effect of Micro Nutrient Management in Hybrid Sunflower on Growth and Yield. Int. J. Curr. Microbiol. Appl. Sci. 2019, 8, 1222–1231. [Google Scholar] [CrossRef]
- Milev, G. Effect of foliar fertilization on sunflower (Helianhtus annuus L.). Agric. Sci. Technol. 2015, 7, 324–327. [Google Scholar]
- Available online: https://www.meteoromania.ro/servicii/date-meteorologice/ (accessed on 19 May 2023).
- Șmuleac, L.; Rujescu, C.; Șmuleac, A.; Imbrea, F.; Radulov, I.; Manea, D.N.; Ienciu, A.; Adamov, T.; Pașcalău, R. Impact of Climate Change in the Banat Plain, Western Romania, on the Accessibility of Water for Crop Production in Agriculture. Agriculture 2020, 10, 437. [Google Scholar] [CrossRef]
- Crista, F. Conservarea Fertilității Solului Și Managementul Nutrienților, 2nd ed.; Eurobit: Timișoara, Romania, 2017; pp. 66–71. ISBN 978-973-132-377-0. [Google Scholar]
- Radulov, I.; Sala, F.; Berbecea, A.; Crista, F. Changes of soil microelements content after intesive mineral fertilization. Res. J. Agric. Sci. 2009, 41, 487–492. [Google Scholar]
- Berbecea, A.; Radulov, I.; Sala, F.; Crista, F.; Lațo, A. Interrelation between metal availability, soil pH and mineral fertilization. Res. J. Agric. Sci. 2011, 43, 19–22. [Google Scholar]
- Crista, F.; Radulov, I.; Crista, L.; Berbecea, A.; Lațo, A. Influence of mineral fertilization on the amino acid content and raw protein of wheat grain. J. Food Agric. Environ. (JFAE) 2012, 1, 47–50. [Google Scholar]
- Manea, D.N.; Ştef, R.; Şmuleac, L.J.; Cărăbeţ, A.; Ienciu, A.A. Chemical control of weeds in sunflower crops. Ann. Univ. Oradea Fascicle Environ. Prot. 2019, XXXIII, 37–42. [Google Scholar]
- Available online: www.renar.ro (accessed on 15 February 2023).
- Available online: www.ospatimisoara.ro (accessed on 15 February 2023).
- SR EN ISO 712:2010 Determinarea Umidității. Available online: https://magazin.asro.ro/ro/standard/181049 (accessed on 23 December 2022).
- SR ISO 2171:2002, Determinarea Cenușii la Cereale. Available online: https://magazin.asro.ro/ro/standard/28087 (accessed on 18 November 2022).
- SR EN ISO 20483:2014, Metoda Kjeldahl, Cereale. Available online: https://magazin.asro.ro/ro/standard/226094 (accessed on 1 March 2023).
- Norma Sanitară-Veterinară din 21 februarie 2007, Metoda Soxhlet. Available online: https://legislatie.just.ro/Public/DetaliiDocument/80122 (accessed on 22 April 2023).
- Hărmănescu, M. Comparative researches on two direct transmethylation without prior extraction methods for fatty acids analysis in vegetal matrix with low fat content. Chem. Cent. J. 2012, 6, 8. [Google Scholar] [CrossRef]
- Available online: https://www.servitechexpres.ro/analizoare-furaje/sistem-determinare-fibra-foss-fibertec-8000/ (accessed on 4 February 2023).
- Nica, D.V.; Bordean, D.M.; Hărmănescu, M.; Bura, M.; Gergen, I. Interactions among heavy metals (Cu, Cd, Zn, Pb) and metallic macroelements (K, Ca, Na, Mg) in roman snail (Helix pomatia) soft tissues. Acta Metallomica MEEMB 2014, 11, 65–71. [Google Scholar]
- Corches, M.T.; Lațo, A.; Popa, M.; Radulov, I.; Berbecea, A.; Crista, F.; Niță, L.; Lațo, K.I. Evaluation of Cu, Mn and Zn Content in Ploughed Soil Layer. Sci. Pap. Ser. E Land Reclam. Earth Obs. Surv. Environ. Eng. 2017, 6, 120–123. [Google Scholar]
- Boldea, M.; Sala, F.; Radulov, I.; Crista, F. A Mathematical Model on the Dependence between the Agricultural Production and Chemical Fertilizer. AIP Conf. Proc. 2010, 1281, 1363–1366. [Google Scholar] [CrossRef]
- Olive, D.J. Principal Component Analysis. In Robust Multivariate Analysis; Springer: Cham, Switzerland, 2017; pp. 189–217. [Google Scholar]
- Gergen, I.; Hărmănescu, M. Application of principal component analysis in the pollution assessment with heavy metals of vegetable food chain in the old mining areas. Chem. Cent. J. 2012, 6, 156. [Google Scholar] [CrossRef] [PubMed]
- The PAST Software. Available online: https://www.nhm.uio.no/english/research/resources/past/ (accessed on 15 March 2023).
- Jongman, R.H.; Ter Braak, C.J.F.; Van Tongeren, O.F.R. Data Analysis in Community and Landscape Ecology; Pudoc: Wageningen, The Netherlands, 1987; Available online: https://edepot.wur.nl/410376 (accessed on 20 November 2022).
- Kaleri, A.A.; Laghari, G.M.; Gandahi, A.W.; Kaleri, A.H.; Nizamani, M.M. Integrated foliar fertilizer effects on growth and yield of sunflower. Pak. J. Agric. Agric. Eng. Vet. Sci. 2019, 35, 25–28. [Google Scholar]
- Cassim, B.M.A.R.; Martins Machado, A.P.; Fortune, D.; Moreira, F.R.; De Oliveira Zampar, E.J.; Batistand, M.A. Effects of Foliar Application of Urea and Urea-Formaldehyde/Triazone on Soybean and Corn Crops. Agronomy 2020, 10, 1549. [Google Scholar] [CrossRef]
- Yang, M.; Shi, L.; Xu, F.-S.; Lu, J.-W.; Wang, Y.-H. Effects of Bo, Mo, Zn, and Their Interactions on Seed Yield of Rapeseed (Brassica napus L.). Pedosphere 2009, 19, 53–59. [Google Scholar] [CrossRef]
- Crista, F.; Radulov, I.; Borza, I.; Sala, F.; Berbecea, A.; Lațo, A.; Gaica, I. Mineral fertilization influence upon soil chemical properties. In Proceedings of the 47th Croatian and 7th International Symposium on Agriculture, Opatija, Croatia, 13–17 February 2012; pp. 48–50. [Google Scholar]
- Crista, F.; Radulov, I.; Crista, L.; Lațo, A.; Stroia, C.; Băghină, N.; Gaica, I. Changing quality indicators of maize grain following mineral fertilizers application. Curr. Opin. Biotechnol. 2013, 24, S69. [Google Scholar] [CrossRef]
- Ferraz, G.A.S.; Ferraz, P.F.P.; Martins, F.B.; Silva, F.M.; Damasceno, F.A.; Barbari, M. Principal components in the study of soil and plant properties in precision coffee farming. Agron. Res. 2019, 17, 418–429. [Google Scholar] [CrossRef]
- Al-Amery, M.M.; Hamza, J.H.; Fuller, M.P. Effect of Boron Foliar Application on Reproductive Growth of Sunflower (Helianthus annuus L.). Int. J. Agron. 2011, 2011, 230712. [Google Scholar] [CrossRef]
- Kabata, A.; Pendias, H. Trace Elements in Soils and Plants, 3rd ed.; CRC Press: Boca Raton, FL, USA, 2001; pp. 19–43. ISBN 0-8493-1575-1. [Google Scholar]
- McDowell, L.R. Minerals in Animal and Human Nutrition; Academic Press: New York, NY, USA, 1992. [Google Scholar]
- Available online: https://www.vedantu.com/biology/role-of-macronutrients-and-micronutrients (accessed on 15 February 2023).
Disclaimer/Publisher’s Note: The statements, opinions and data contained in all publications are solely those of the individual author(s) and contributor(s) and not of MDPI and/or the editor(s). MDPI and/or the editor(s) disclaim responsibility for any injury to people or property resulting from any ideas, methods, instructions or products referred to in the content. |
© 2023 by the authors. Licensee MDPI, Basel, Switzerland. This article is an open access article distributed under the terms and conditions of the Creative Commons Attribution (CC BY) license (https://creativecommons.org/licenses/by/4.0/).






