Abstract
Barley (Hordeum vulgare) grain stands out among other cereals due to its high nutritional value. It results mainly from the high content of fiber and antioxidants, such as phenolic compounds. Barley grains can also be an important source of unsaturated fatty acids and carotenoids that are beneficial to health. This study assessed the effect of the foliar application of an amino-acid biostimulant on the content of phenolic compounds, carotenoids, and the composition of fatty acids in the grain of alternative, black-grain barley genotypes, and the commonly used ‘Soldo’ cultivar, grown in conventional and organic farming systems. The dark-pigmented grains contained significantly more phenolic acids and flavonoids than the yellow seed of the traditional cultivar and were characterized by a significantly higher proportion of unsaturated fatty acids. The application of the biostimulant significantly increased the concentration of phenolic compounds in grains, especially of alternative genotypes.
1. Introduction
Barley (Hordeum vulgare) has been considered a staple food for a long time, providing consumers with a good amount of proteins, carbohydrates, fiber, or vitamins [1]. In the last decade, a growing interest in foods with higher nutritional value has contributed to an intensification of research on minor bioactive compounds accumulated in barley grains [2]. Among the biochemicals that have attracted scientists’ attention, we can distinguish, for instance, carotenoids, polyphenols, or free fatty acids.
In the Poaceae family, phytopigments such as carotenoids and polyphenols play a key role. Those chemicals not only correspond to the plants’ color, but more importantly, they have health-promoting properties. Carotenoids are famous for their ability to give fruits and vegetables orange, red, or yellow color [3]. Lutein, zeaxanthin, and α- and β-carotene are the most important carotenoids [4]. α- and β-carotene are referred to as provitamin A, which is essential for the biochemical processes synthesizing vitamin A in animal organisms. In the body, carotenoids function as antioxidants and anti-inflammatory compounds [5]. Clinical studies also proved that a diet rich in carotenoids lowers the risk of cardiovascular disease, cancer, osteoporosis, and eye disease [6].
Other important plant substances–polyphenols include such groups as anthocyanins, flavonoids, and phenolic acids [7]. Polyphenols are characterized by an aromatic ring with an attached hydroxyl group, to which they owe their antioxidant properties.
All phenols are studied in terms of their biological functions and their beneficial effects on human and animal health. Anthocyanins and flavonoids have a beneficial effect on lipid and sugar metabolism and also prevent metabolic and cardiovascular disorders [3]. Moreover, it was proven that polyphenols prevent the development of cancer, are helpful in the treatment of allergies, strengthen the digestive system, eliminate infections, and stimulate the secretion of estrogens in female bodies [8]. Furthermore, due to their antioxidant nature, polyphenols play a vital role in protecting susceptible nutrients against oxidation.
Barley is also a source of lipids, which include fatty acids (FAs), such as saturated (SFAs), monounsaturated (MUFAs), and polyunsaturated fatty acids (PUFAs) [9]. The total value of lipids in the grains of various forms varies between 3–4% [10]. The most valuable are polyunsaturated fatty acids, especially essential FA, which must be provided by foods, where linoleic and linolenic acids belong [11]. Several studies reported the health benefits of PUFAs such as reducing the risk of ischemic heart disease, stroke, and myocardial infarction or lowering blood-cholesterol levels [12]. They were shown to have many other properties, such as neuroprotective effects, preventing Parkinson’s disease, and supporting cognitive and visual functions [13,14]. It was also reported that the excessive intake of saturated fatty acids could affect the development of heart and circulatory disease [15].
An assortment and concentration of phytonutrients could vary among genotypes of barley [16]. The particular forms of barley can be distinguished based on the grain color, which is a function of pigments (e.g., carotenoids, polyphenols) that are accumulated in them [17]. However, some landraces have their specific color due to a combination of a few different chemicals, not only one dye group [18]. In general, together with common barley, genotypes with deep yellow, blue, purple, or black seeds were described [19]. Several studies were conducted among pigmented cereals or pseudocereals to assess the composition of carotenoids, polyphenols, and other important compounds such as FAs [20,21]. In the majority of the research, colorful landraces were characterized by higher concentrations of those compounds than common genotypes [22,23]. Overall, it is believed that alternative genotypes present a higher ability to concentrate health-promoting compounds, as well as higher antioxidant potential than standard genotypes [24]. Intriguing findings in that area were reported for Highland Barley (HB), the native form of Tibet and the Qinghai region. According to Guo et al. [9] and Idehen et al. [25], the HB has a higher nutritional value than normal grains. It was confirmed that Highland Barley lessens the risk of diabetes, Alzheimer’s disease, atherosclerosis, cardiovascular disease, has anticancer potential, and much more [26]. Hordeum vulgare var. nigricans (Hordeum distichon var. nigricans) seems to have a comparable potential, likewise, Hordeum vulgare var. rimpaui. Both of them are representatives of black-seeded barley. Additionally, H. v. rimpaui belongs to hooded barley, which refers to spikes with reduced awns. However, little is known about these genotypes. H. v. nigricans can be found as a niche, local genotype in regions that are described as a fertile crescent, but more detailed information is limited [27].
The earlier studies report that the concentration of phytochemicals could be influenced not only by genotype but also by climatic, soil, and weather conditions, agronomic management, or the farming system [28,29]. From the consumer’s point of view and the growing demand for organic food, the influence of the farming system seems to be crucial. There are many studies that report that organic cultivation stimulated a higher accumulation of various chemicals. Nonetheless, some analyses showed no significant differences between the cultivation system and the nutritional value of plants [30,31]. These differences can be caused by treatments performed during the growing seasons of plants, e.g., the use of biostimulants, the popularity of which is growing in both organic and conventional agriculture. Biostimulants are products with a natural origin that enhance the plant metabolism without changes in those processes [32]. They are applied to intensify the uptake of nutrients, minimize the biotic and abiotic stress, and reduce the rates of fertilizers [33]. Among them, there are products composed of amino acids that affect the yield, as well as the quality and content, of the health-promoting compounds that are currently being studied [34]. The numerous studies have revealed that amino acids contribute to a higher accumulation of carotenoids, polyphenols, total chlorophyll, macronutrients, and micronutrients [35,36]. The effect of an amino-acid biostimulant was carefully examined in vegetables or fruits [37,38], but the effect on the quality of grains is still not well recognized.
The aim of the study was to evaluate the differences in the content of carotenoids, free fatty acids, and polyphenols in alternative genotypes (Hordeum vulgare L. var nigricans (Ser.) Körn and H. vulgare L. var. rimpaui Wittm) and common barley (H. vulgare L.), grown organically and conventionally, with the foliar application of an amino-acid biostimulant. It was assumed that the alternative genotypes with black grain differ from the modern cultivar of the barley with yellow grain and that organic cultivation and the use of a biostimulant stimulate the accumulation of health-promoting components in the grain.
2. Materials and Methods
2.1. Plant Material
The study was carried out on grains of three different genotypes of barley grown in organic and conventional farming systems. The first two genotypes are two-row, spring forms of common barley Hordeum vulgare L. var nigricans (Ser.) Körn and H. vulgare L. var. rimpaui Wittm; they are primary or similar to primary forms. The third genotype, ‘Soldo’ H. vulgare L., treated as comparative to the two previous ones, is a modern cultivar of two-row spring barley, commonly cultivated in Europe. The primary forms are formed by grains with dark pigmentation of the husk and fruit and seed coat, while the ‘Soldo’ variety forms grains with a yellow color typical for barley. H. vulgare var. nigricans and the ‘Soldo’ variety form the awned spike, while the inflorescence of H. vulgare var. rimpaui has reduced awns, the so-called hoods (hooded barley).
2.2. Field Experiments
The barley grain came from two field experiments, conducted in a split-plot design in three replicates, under organic and conventional cultivation conditions in Luchowo (53°15′40″ N, 17°16′26″ E) and Minikowo (53°10′02″ N, 17°44′22″ E) in central Poland in 2021 and 2022. The first-order factor was the different genotypes of barley: Hordeum vulgare L. var nigricans (Ser.) Körn and H. vulgare L. var. rimpaui Wittm and the modern cultivar ‘Soldo’. The second-order factor was the foliar application of the amino acid biostimulator Naturamin WSP (Supplementary Materials, Table S1), applied twice during the growing season in the BBCH 32 and BBCH 53 phases at a dose of 0.5 kg ha−1 in the form of an aqueous solution. The amount of the working liquid was 300 L ha−1; the treatments were performed in the early morning or evening, so as to obtain good assimilation of the preparation by plants. The control plots were not subjected to biostimulant application. The area of the experimental plots was 24 m2 in the conventional system and 13.47 m2 in the organic system. A 40 cm gap was used between the treatments to avoid contamination with the working liquid. The soil in Lóchów was characterized by the content of 23.7 mg P2O5/100 g soil, 19.7 mg K2O/100 g soil, 4.2 mg MgO/100 g soil, and pH 7.7 and, in Minikowo, 7.1 mg P2O5/100 g soil, 17.1 mg K2O/100 g soil, 4.5 mg MgO/100 g soil, and pH 4.7. The barley was sown in the conventional farming system between the 21st and 31st of March and in the organic system between the 1st and 10th of April with a row spacing of 12.5 cm and a density of 350 grains m−2. The fertilization of plants in the conventional system was applied only before sowing in rates of 70 kg N ha−1, 40 kg P2O5 ha−1, and 70 kg K2O ha−1. In this system, the weeds were chemically controlled using a mixture of 2,4-D, florasulam, and pinoxaden at rates of 180 g, 3.75 g, and 40 g a.i. ha−1 at the stem elongation stage. Fungicides were applied twice—tiophanate-methyl—in a dose of 700 g a.i. ha−1 at the beginning of stem elongation stage, and a mixture of tebuconazole and prothioconazole in doses 125 g a.i. and 125 g a.i. ha−1 was applied in the flag leaf stage. The cereal leaf beetle was controlled with cypermethrin at the flag leaf stage in a dose of 25 g a.i. ha−1. In the organic farming system, no natural or mineral fertilizers were applied, and no plant protection methods were used. The only treatment performed during cultivation was the use of an amino-acid biostimulant (excluding control treatments). Grain from both experiments was harvested at less than 14% water content between 21st and 31st July. The yield for each combination was calculated as a mean of three separate replications. The meteorology data were collected from the Polish Institute of Meteorology and Water Management. The biochemical composition of the barley grains was evaluated from grains harvested in 2021.
2.3. Determination of Carotenoids
The carotenoid extracts were obtained from ground seeds (0.4 mg) that were triturated with a mixture of acetone and petroleum ether (1:1). Then, after separation of the plant tissue, the acetone and hydrophilic fraction were removed from the extract by washing with water. The result was an ether extract with a mixture of carotenoid pigments. The extract prepared in this way was concentrated in a vacuum evaporator at 35 °C until an oily residue was obtained and then digested in 2 mL of methanol (Merck, Rahway, NJ, USA) and subjected to chromatographic analysis. Lutein, zeaxanthin, and β-carotene were determined using Acquity UPLC (Waters, Milford, MA, USA) with a Waters Acquity PDA detector (Waters, USA). The chromatographic separation was performed on an Acquity UPLC® BEH C18 column (100 mm × 2.1 mm, particle size 1.7 μm) (Waters, Milford, MA, USA). Elution was carried out using a solvent—methanol, water, and tert-butyl methyl ether (TBME). A gradient was used at a flow of 0.4 mL/min. The column and samples were thermostated, the column temperature was 30 °C, and the test temperature was 10 °C. During the analysis, the solutions were degassed in a Waters apparatus. The injection volume was 10 μL. The recording was carried out at the wavelength of λ = 445 nm. The identification of compounds was based on spectra in the range from 200 to 600 nm, and the retention times were compared to standards.
2.4. Determination of Free Fatty Acids
The samples (100 mg) were placed into 17 mL culture tubes, suspended in 2 mL of methanol, treated with 0.5 mL of 2 M aqueous sodium hydroxide, and tightly sealed. The saponification process was carried out assisted by microwave radiation operating at 2450 MHz and 900 W maximum output. The samples were irradiated (370 W) for 20 s and, after approx. 5 min, for an additional 20 s. After 15 min, the contents of the culture tubes were neutralized with 1 M aqueous hydrochloric acid; 2 mL MeOH was added, and extraction with pentane (3–4 mL) was carried out within the culture tubes. The pentane extracts were evaporated to dryness in a nitrogen stream. In the next step, the extracts were methylated using a mixture of anhydrous methanol and sulfuric acid (1:5, v/v). The extract containing lipids was added with 0.5 mL of methanol, followed by the addition of a 0.15 mL methanol/sulfuric acid mixture (1:5, v/v). The samples were heated at 70 °C for 15 min. After the solution was cooled, 0.5 mL of n-hexane was added, followed by the addition of sufficient water to form two layers. The upper hexane layer was removed and analyzed on an Acquity H class UPLC system equipped with a Waters Acquity PDA detector (Waters, USA). The chromatographic separation was performed on an Acquity UPLC® BEH C18 column (150 mm × 2.1 mm, particle size 1.7 μm) (Waters, Ireland). The elution was carried out as a gradient using the following mobile phase composition: A:acetonitrile; B:2-propanol, flow 0.17 mL/min. The measurements of the sterols concentrations were performed using an external standard at wavelengths λ = 195–300. The compounds were identified based on a comparison of the retention times of the examined peak with that of the standard and by adding a specific amount of the standard to the tested sample and repeated analyses [39].
2.5. Determination of Polyphenols
The phenolic compounds in the samples were analyzed after alkaline and acidic hydrolysis [40,41]. The analysis was performed using an Acquity H class UPLC system equipped with a Waters Acquity PDA detector (Waters, USA). The chromatographic separation was performed on an Acquity UPLC® BEH C18 column (100 mm × 2.1 mm, particle size 1.7 μm) (Waters, Ireland). The elution was carried out as a gradient using the following mobile phase composition: A: acetonitrile with 0.1% formic acid, B: 1% aqueous formic acid mixture (pH = 2). The concentrations of the phenolic compounds were determined using an internal standard at wavelengths λ = 320 nm and 280 nm. The compounds were identified based on a comparison of the retention time of the analyzed peak with the retention time of the standard and by adding a specific amount of the standard to the analyzed samples and repeated analysis. The detection level is 1 μg g−1.
2.6. Statistics
The experimental data were analyzed using the Statistica 13.3 (TIBCO). All the results are shown as the means ± standard deviation from three replications. The general linear model (GLM) was used to determine the significant differences between combinations at p < 0.05. For correlation between the chosen polyphenols and free fatty acids, Pearson’s correlation was used. Principal component analysis (PCA) was conducted to represent the variation in the set of data using a minimal number of factors.
3. Results
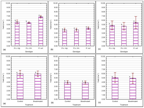
3.1. Yields of Barley
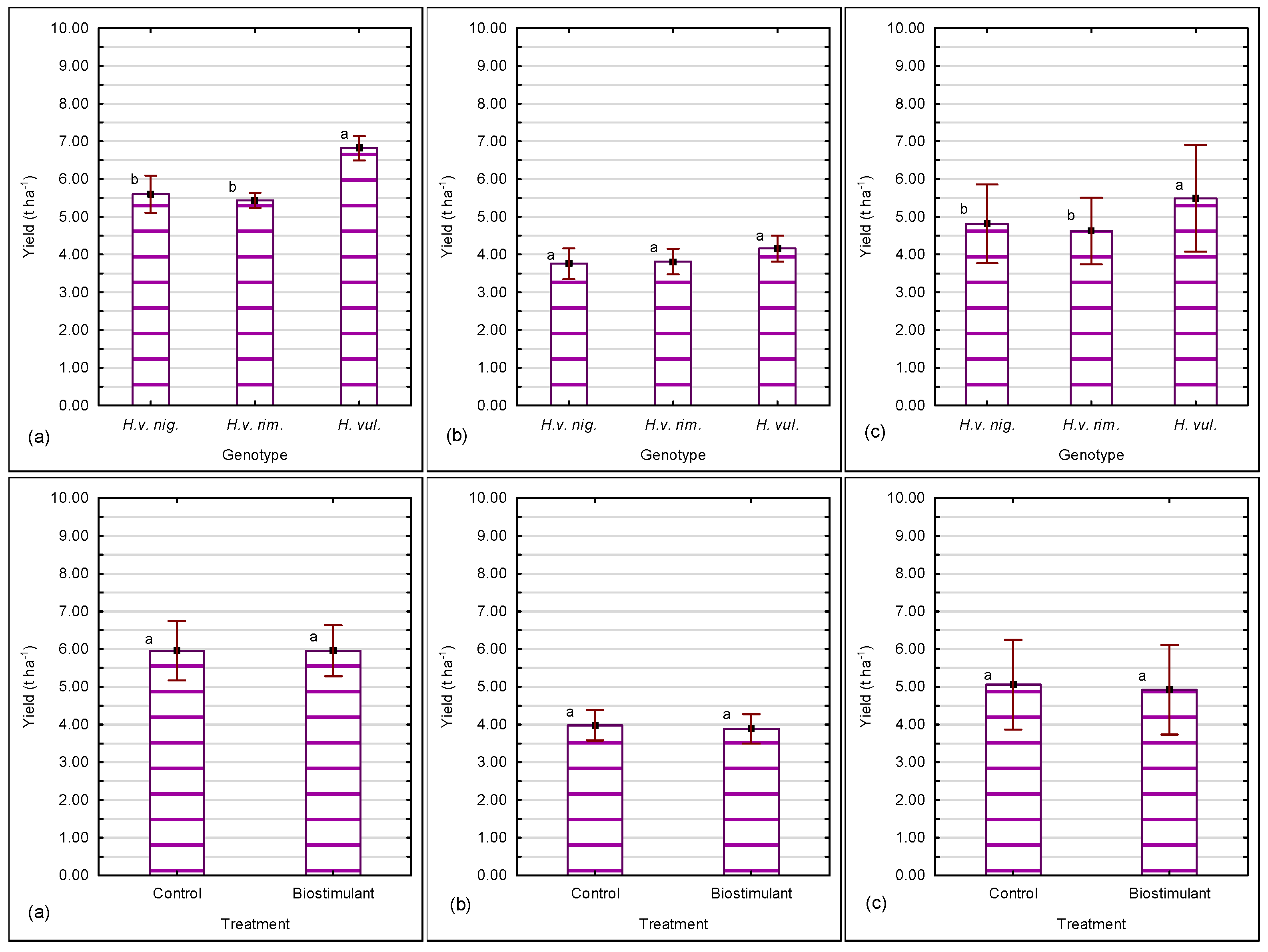
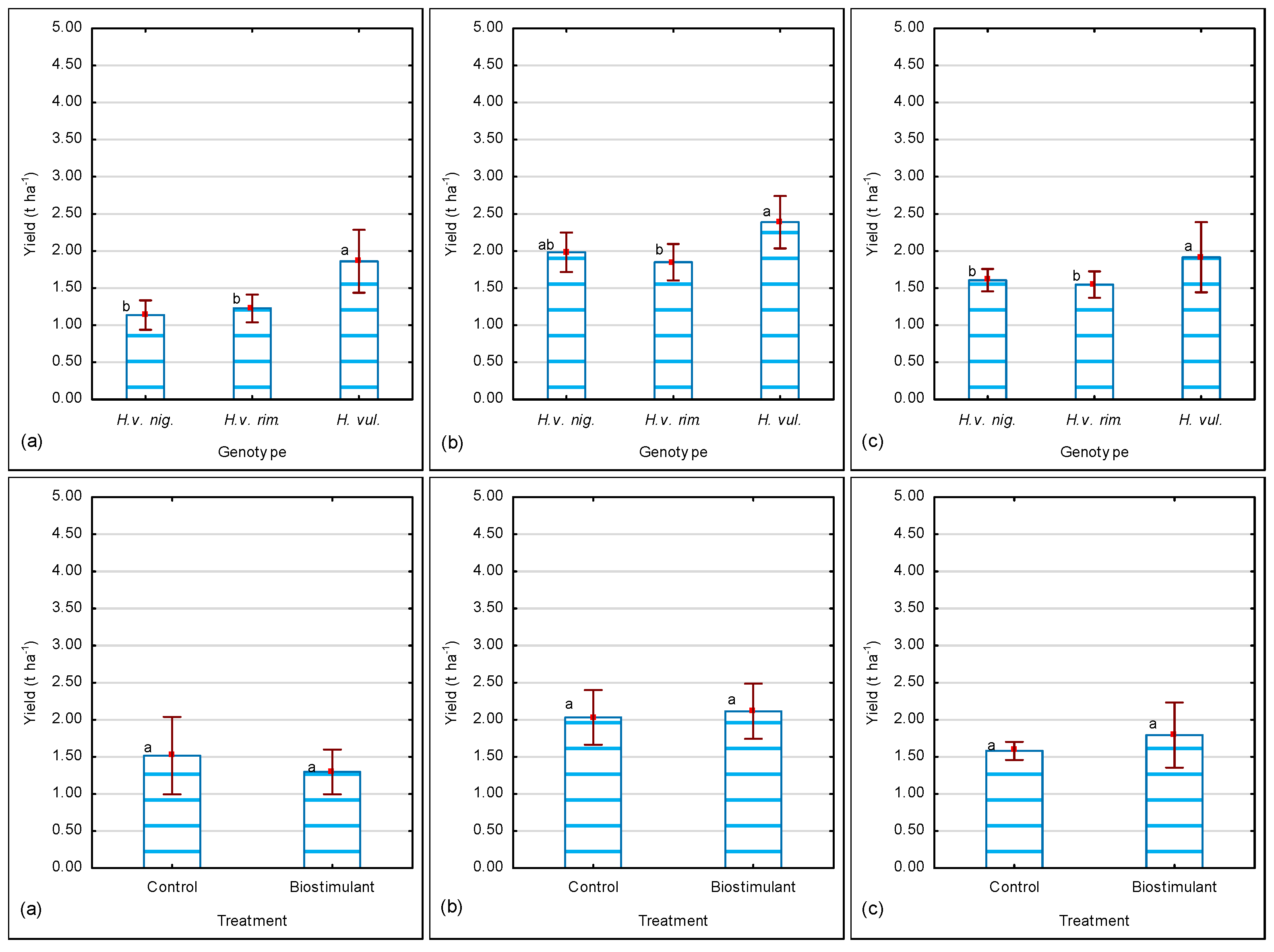
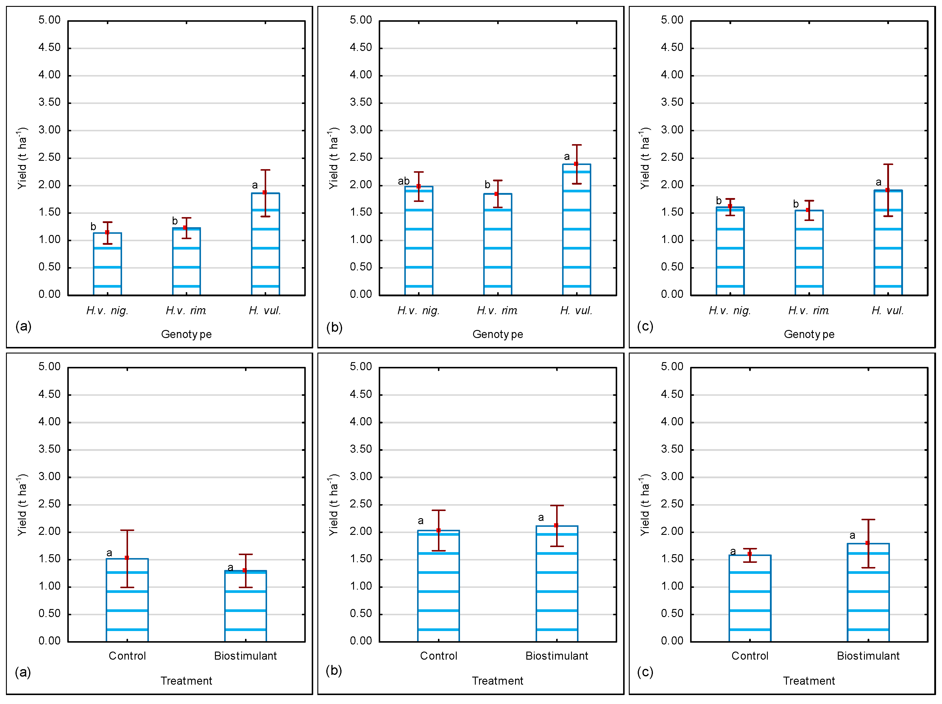
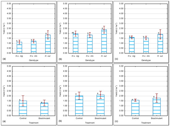
The yield of tested barley genotypes was an average of 4.92 t ha−1 in the traditional system and 1.74 t ha−1 in the organic system in 2021–2022 (Figure 1 and Figure 2). The highest grain yield in both farming systems was obtained for the genotype H. vulgare, which has a yield significantly higher than H. vulgare var. nigricans and H. vulgare var. rimpaui by 36.1% and 37.6% in the organic system and by 18.4% and 18.6% in the conventional system (Figure 1 and Figure 2). The yield of genotypes also differed in the years of study. In the conventional system, in 2021, the highest grain yield was produced by H. vulgare, which yielded 21.8% higher than H. vulgare var. nigricans and 25.6% higher than H. vulgare var. rimpaui, while in 2022, these differences were not significant (Figure 1). Similarly, in the organic system in 2021, the highest grain yields were obtained from H. vulgare. The genotypes of H. vulgare var. rimpaui and H. vulgare var. nigricans obtained a significantly lower yield under these conditions, by 38.7% and 33.9%, respectively. In 2022, organically grown H. vulgare yielded a significantly higher yield than H. vulgare var. rimpaui by 29.2% (Figure 2). The meteorology data for 2021 and 2022 are listed in the Supplementary Materials Table S2.
Figure 1.
The grain yield of H. v. nigricans (H. v. nig.), H. v. rimpaui (H. v. rim.) and H. vulgare (H. vul.), from the conventional farming system, presented as a mean for genotypes or for treatments, in (a) 2021, (b) 2022, (c) average from 2021 and 2022. The error bars indicate standard deviation. a, b—the mean values followed by different letters indicate significant differences p < 0.05.
Figure 2.
The grain yield of H. v. nigricans (H. v. nig.), H. v. rimpaui (H. v. rim.), and H. vulgare (H. vul.), from the organic farming system, presented as a mean for genotypes or for treatments, in (a) 2021, (b) 2022, (c) average from 2021 and 2022. The error bars indicate standard deviation. a, b—the mean values followed by different letters indicate significant differences p < 0.05.
3.2. Composition of Carotenoids
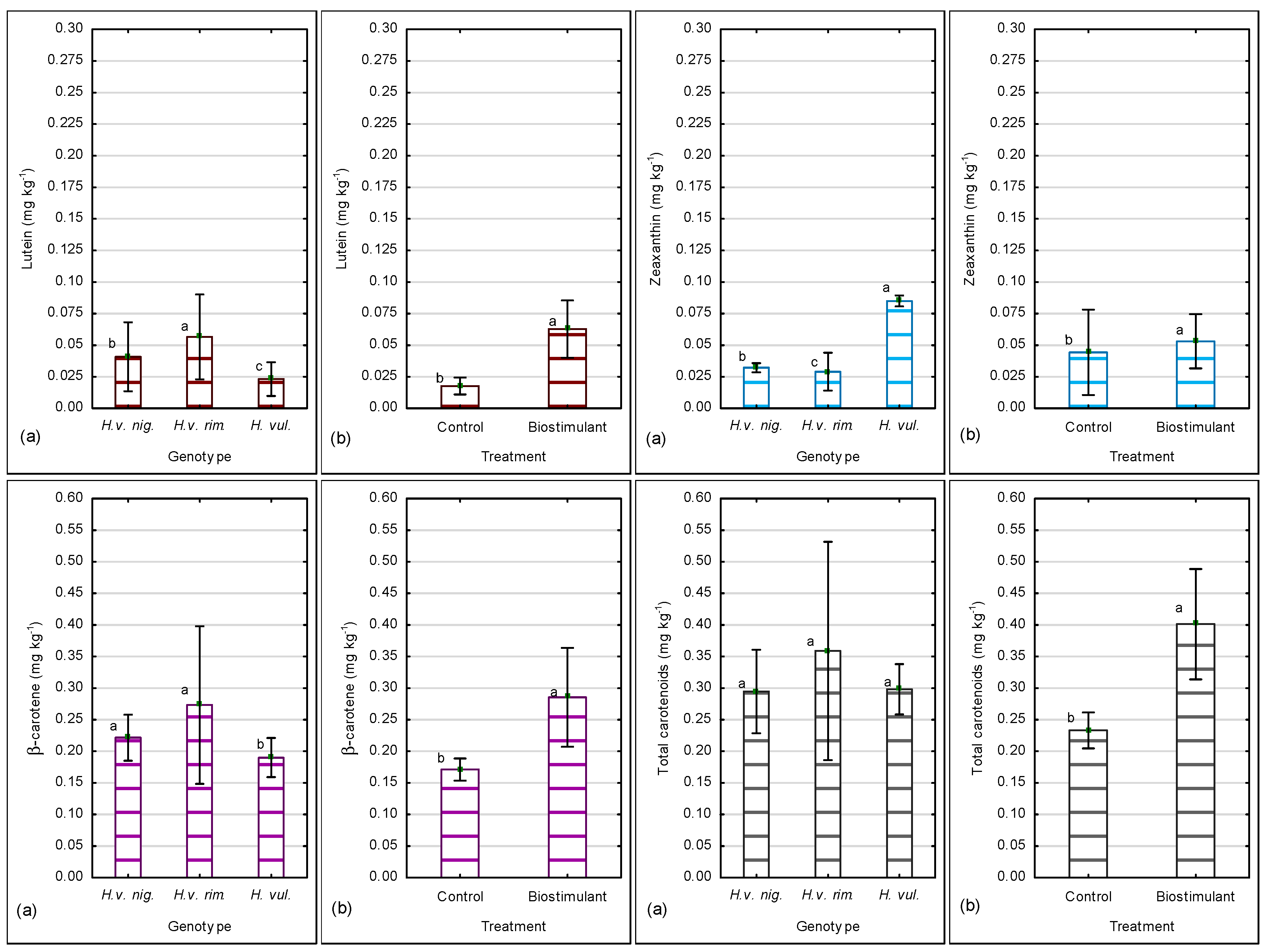
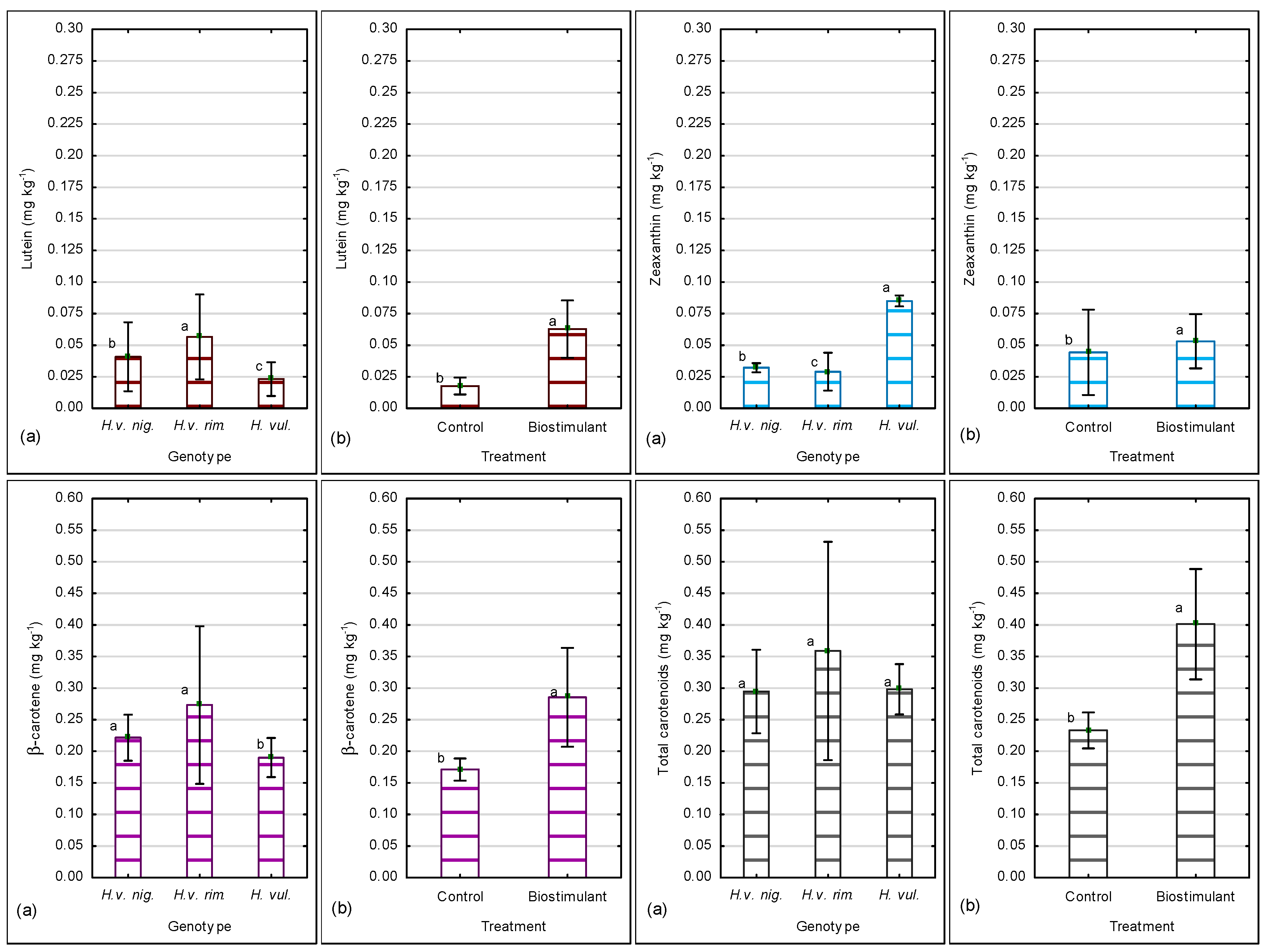
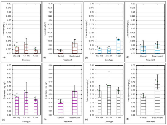
The research showed the influence of the barley genotype, as well as the application of the biostimulant, on the content of β-carotene, lutein, and zeaxanthin in the grain (Figure 3 and Figure 4). The biostimulant application, on average for genotypes, significantly increased the content of these compounds, as well as total carotenoids, both in conventional and organic cultivation. The biostimulant had the strongest effect on lutein, the amount of which, after application of the preparation, increased more than three times in both farming systems, while the smallest effect was noted for zeaxanthin.
Figure 3.
The content of lutein, zeaxanthin, β-carotene, and total carotenoids in the grain of H. v. nigricans (H. v. nig.), H. v. rimpaui (H. v. rim.), and H. vulgare (H. vul.), from the conventional farming system, presented as: (a) the mean for genotype and (b) the mean for treatment. The error bars indicate standard deviation. a, b, c—the mean values followed by different letters indicate significant differences p < 0.05.
Figure 4.
The content of lutein, zeaxanthin, β-carotene, and total carotenoids in the grain of H. v. nigricans (H. v. nig.), H. v. rimpaui (H. v. rim.), and H. vulgare (H. vul.), from the organic farming system presented as: (a) the mean for genotype and (b) the mean for treatment. The error bars indicate standard deviation. a, b, c—the mean values followed by different letters indicate significant differences p < 0.05.
Among the analyzed carotenoids, β-carotene had the largest share in the grain (Figure 3 and Figure 4). In conventional farming, the average content of β-carotene was higher in the primary genotypes (H. v. nigricans, H. v. rimpaui) compared to H. vulgare (Figure 3). However, the analysis of genotype–biostimulant interactions indicates that only H. v. rimpaui accumulated significantly more β-carotene compared to H. vulgare, and even more than H. v. nigricans, but only if, during the growing season, it was treated with a biostimulant (Table 1).
Table 1.
The content of carotenoids in barley grain from the conventional system.
The average lutein content was significantly higher in the primary genotypes compared to H. vulgare and, at the same time, the highest in H. v. rimpaui, both in the conventional and organic farming systems (Figure 3 and Figure 4). However, as in the case of β-carotene, the lutein content in the primary genotypes was higher than in the modern cultivar only in the variant with the biostimulant (Table 1 and Table 2).
Table 2.
The content of carotenoids in the barley grain from the organic system.
Common barley H. vulgare with yellow grain was characterized by the highest content of zeaxanthins, both in conventional and organic farming (Figure 3 and Figure 4). The application of the biostimulant had no effect on the zeaxanthin content in the modern barley variety but increased it in the primary genotypes (Table 1 and Table 2).
3.3. Composition of Free Fatty Acids
Among the analyzed free fatty acids, polyunsaturated fatty acids (PUFAs) had the largest proportion in the fat stored in the grain with an average of 60% (Figure 5 and Figure 6). In conventional farming, the average content of PUFAs was the highest in H. v. rimpaui (Figure 5), while in organic farming, it was highest in H. v. nigricans (Figure 6). On average, for genotypes, the biostimulant reduced the proportion of PUFAs, both in conventional and organic cultivation. However, in some genotypes (H. v. vulgare and H. v. nigricans, in conventional and organic cultivation, respectively), the proportion of PUFAs after biostimulant application and without treatment was similar (Table 3 and Table 4).
Figure 5.
The content of saturated fatty acids, monounsaturated fatty acids, and polyunsaturated fatty acids in the grain of H. v. nigricans (H. v. nig.), H. v. rimpaui (H. v. rim.), and H. vulgare (H. vul.), from the conventional farming system, presented as: (a) the mean for genotype and (b) the mean for treatment. The error bars indicate standard deviation. a, b, c—the mean values followed by different letters indicate significant differences p < 0.05.
Figure 6.
The content of saturated fatty acids, monounsaturated fatty acids, and polyunsaturated fatty acids in the grain of H. v. nigricans (H. v. nig.), H. v. rimpaui (H. v. rim.), and H. vulgare (H. vul.), from the organic farming system presented as: (a) the mean for genotype and (b) the mean for treatment. The error bars indicate standard deviation. a, b, c—the mean values followed by different letters indicate significant differences p < 0.05.
Table 3.
The content of free fatty acids in barley grain from the conventional system.
Table 4.
The content of free fatty acids in barley grain from the organic system.
In conventional cultivation, the highest proportion of monounsaturated fatty acids (MUFAs) was found in H. vulgare, while in organic cultivation, it was found in H. v. rimpaui (Figure 5 and Figure 6). On average for genotypes, the biostimulant significantly increased the proportion of MUFAs in barley grain fat from both farming systems (organic and conventional). No effect of the biostimulant on the content of MUFAs was found in H. vulgare in conventional cultivation (Table 3) and in H. v. nigricans in organic cultivation (Table 4).
The average proportion of saturated fatty acids (SFAs) was the highest in the H. vulgare grain cultivated organically, while in conventional cultivation, the barley genotypes were similar in terms of this trait (Figure 5 and Figure 6). On average for genotypes, the biostimulant increased the proportion of SFAs; however, the analysis of genotype and biostimulant interactions showed that only H. v. rimpaui responded with a significant increase in SFA concentration after application of the preparation, both in the conventional and organic systems (Table 3 and Table 4).
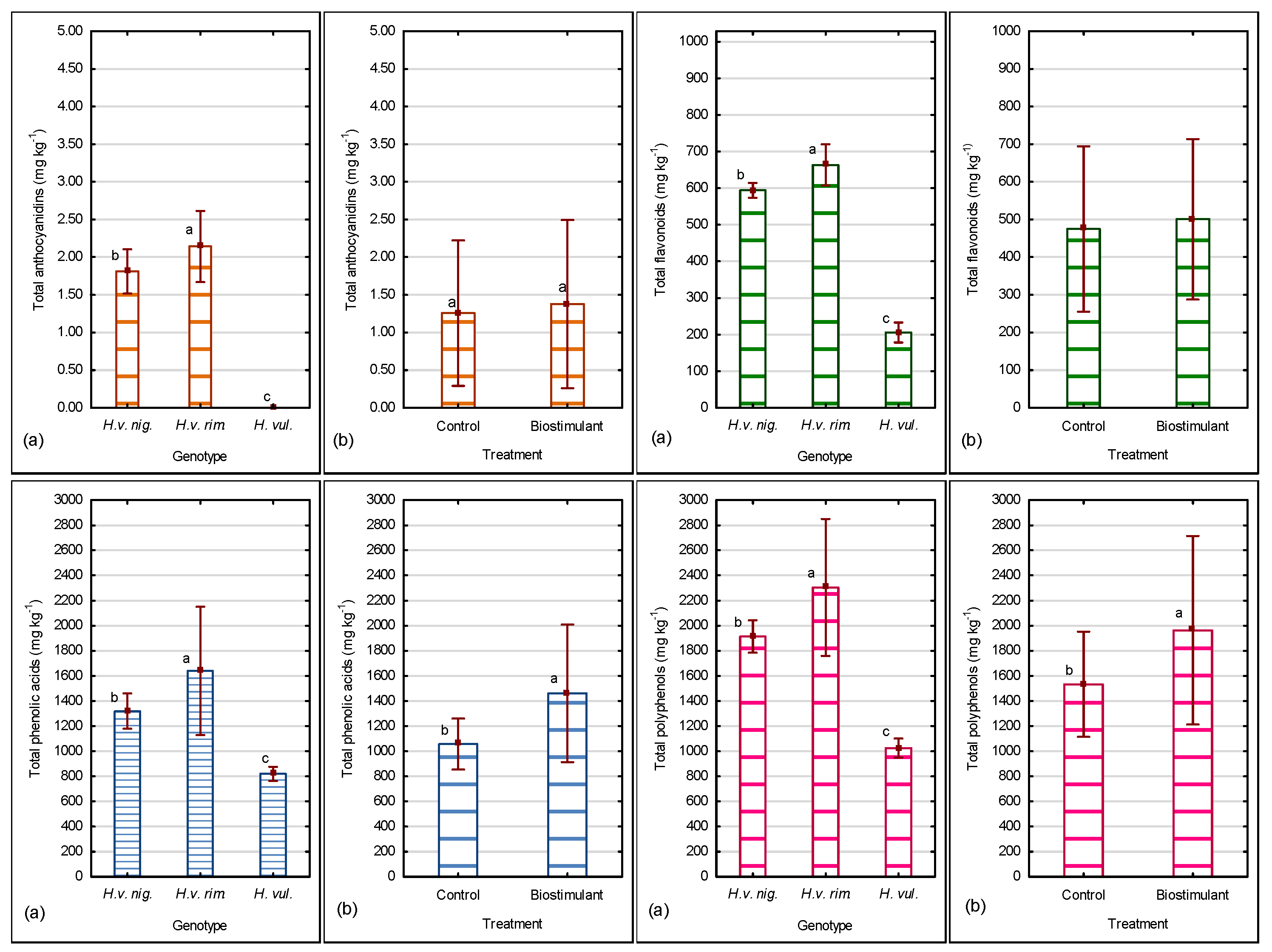
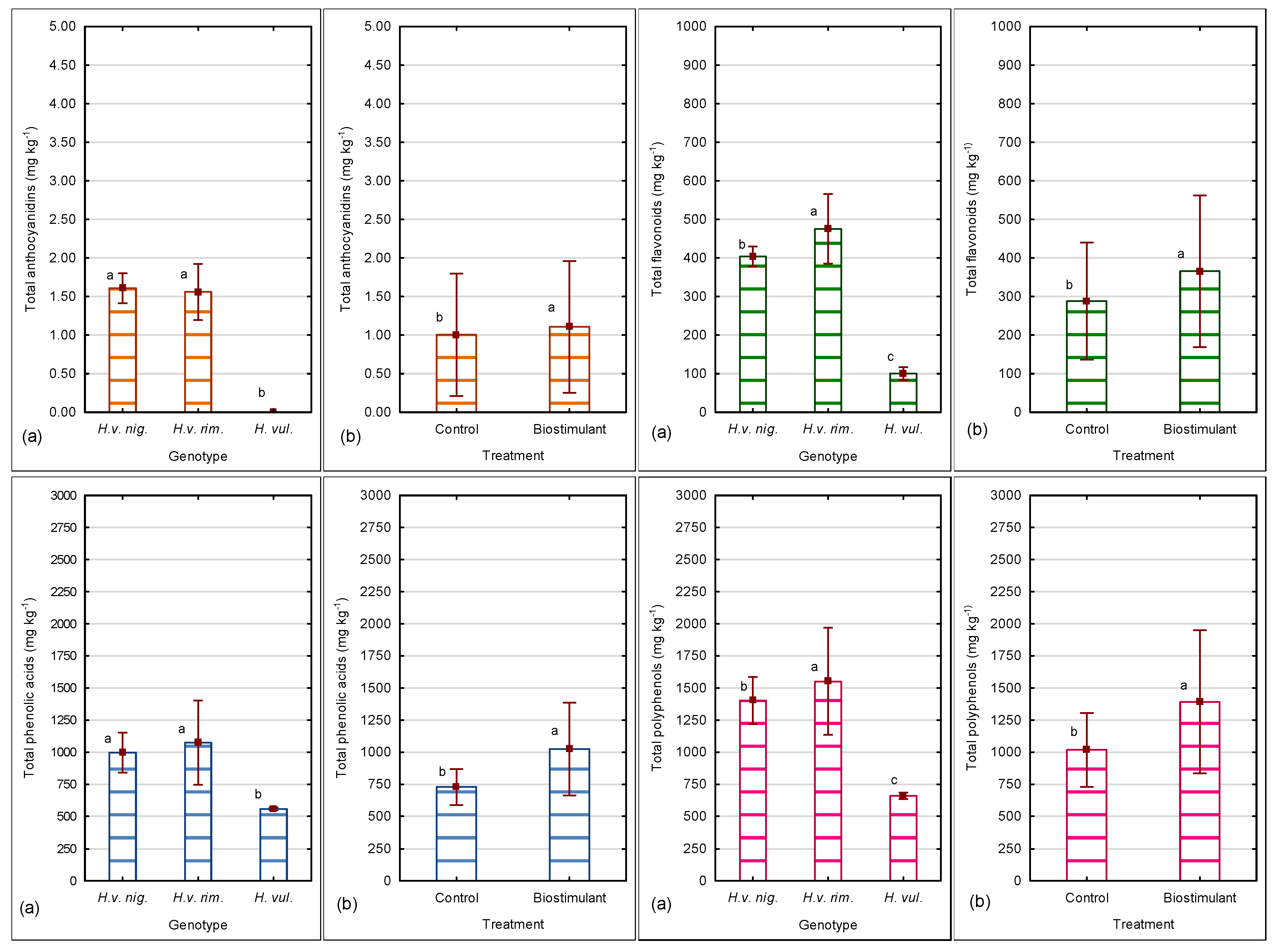
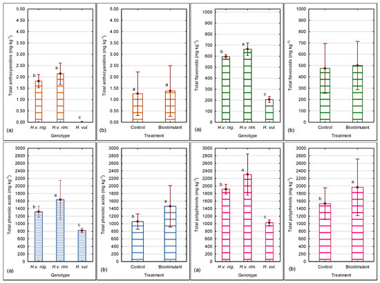
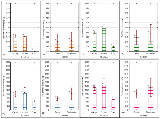
3.4. Comparsion of Polyphenols
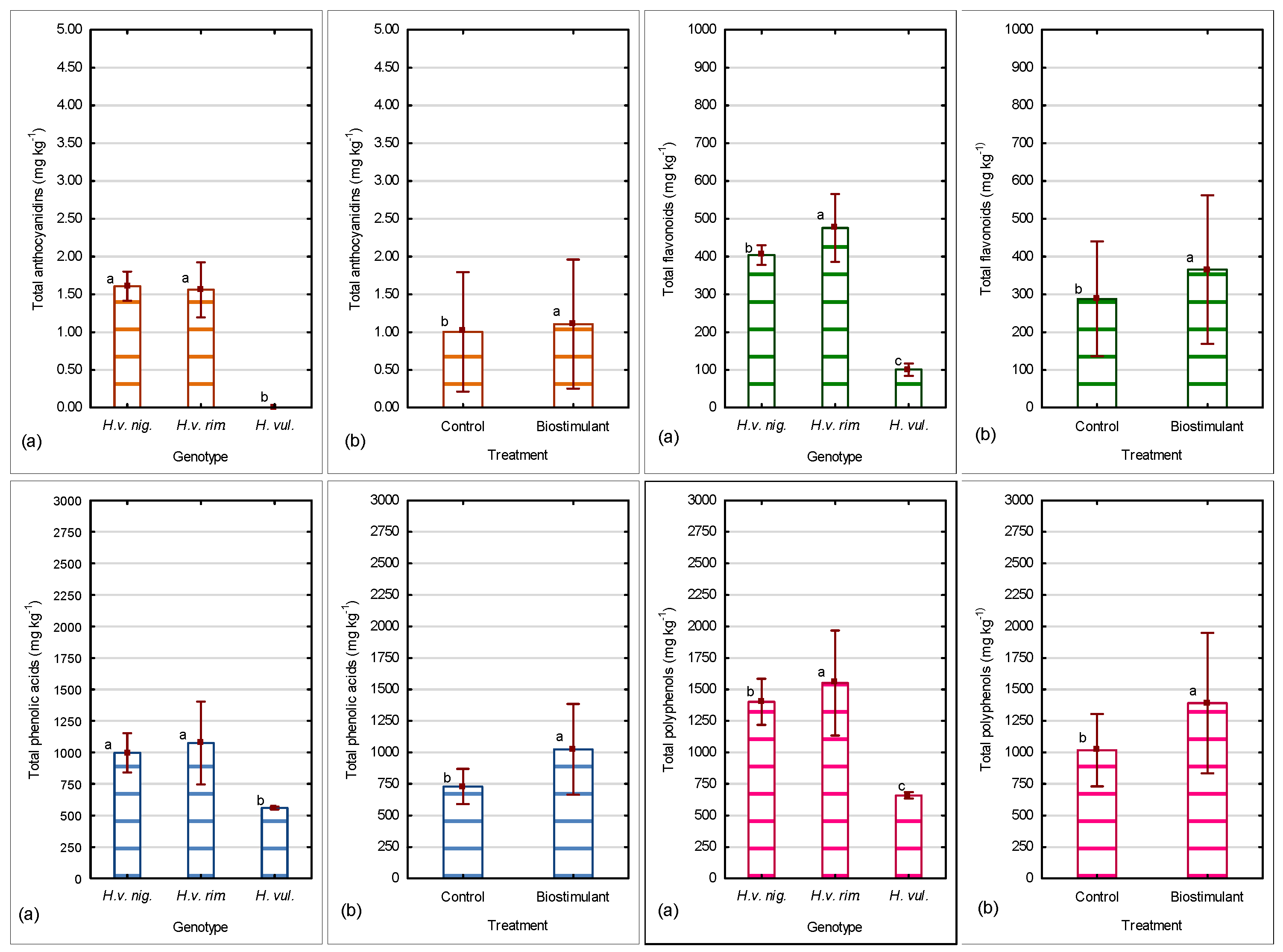
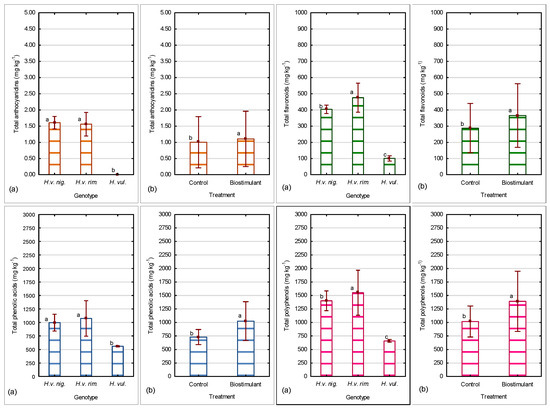
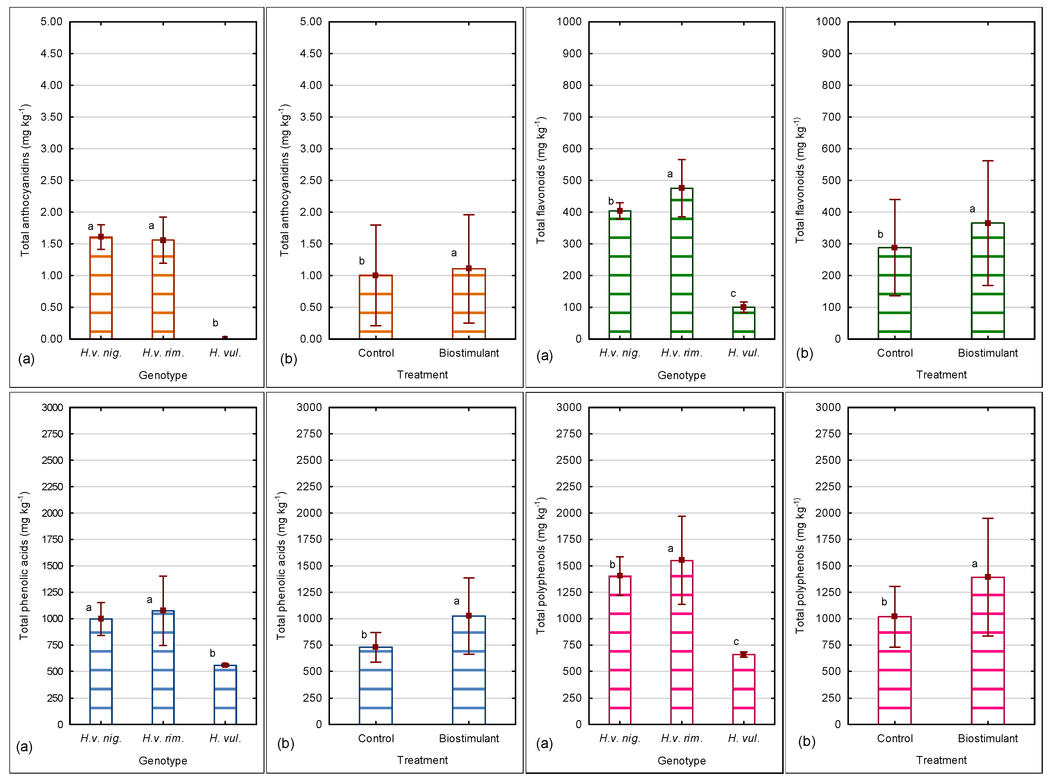
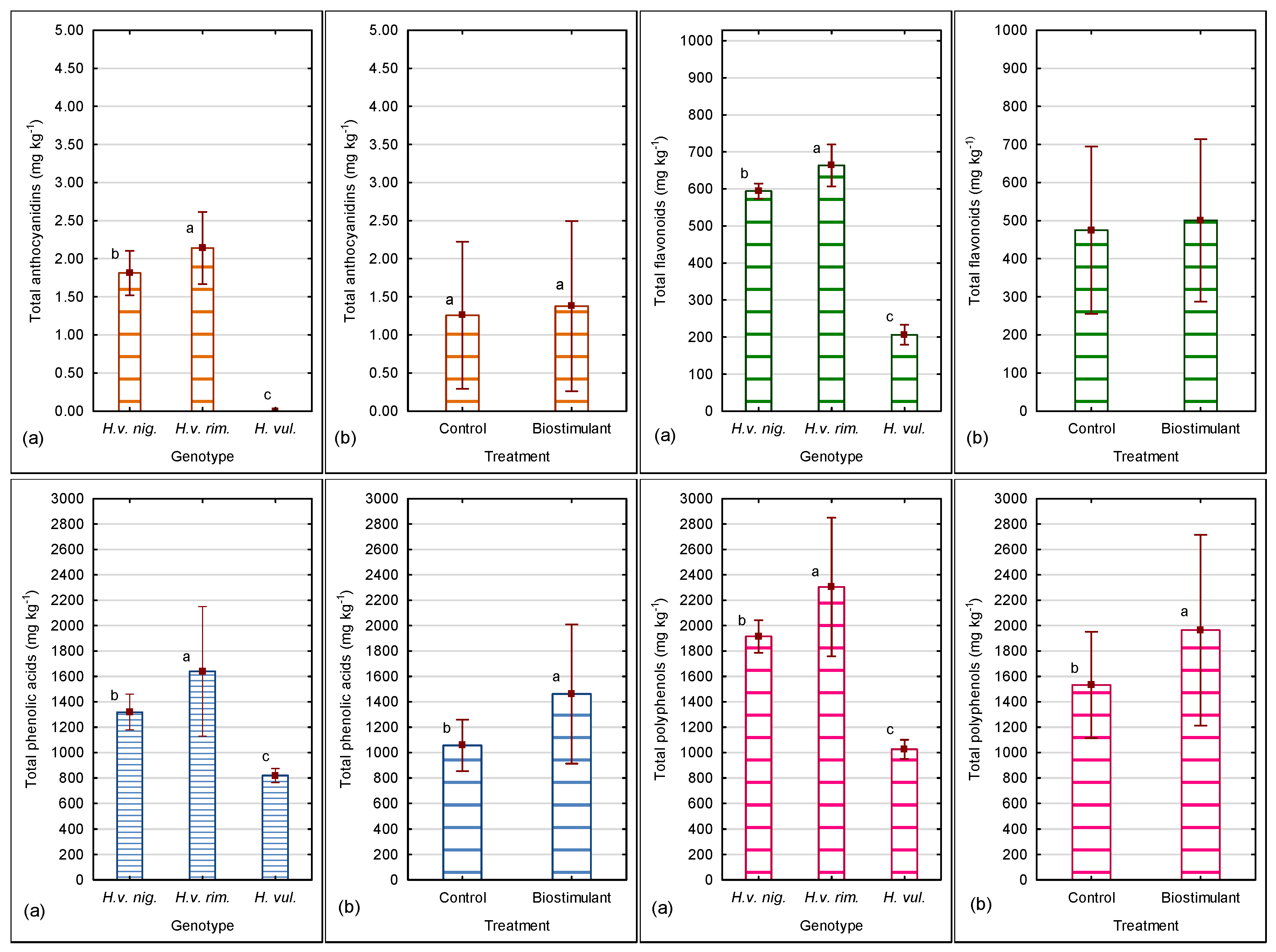
In barley grains, the dominant group of polyphenols was phenolic acids, the proportion of which was, on average, 69–85% (Figure 7 and Figure 8). In both farming systems, the average content of phenolic acids was higher in the primary genotypes than in H. vulgare (Figure 7 and Figure 8). The dominant genotype in terms of the content of these compounds was H. v. rimpaui, especially when subjected to the application of a biostimulant (Table 5 and Table 6). The biostimulant had a very strong effect on phenolic acids, the content of which, after its application, increased on average for all genotypes by almost 41% in the conventional system and by 38% in the organic system (Figure 7 and Figure 8). However, the interaction analysis showed a stimulating effect of the biostimulant on the concentration of phenolic acids only in primary genotypes of barley, while there was no such effect in H. vulgare (Table 5 and Table 6).
Figure 7.
The content of total anthocyanidins, total flavonoids, total phenolic acids, and total polyphenols in the grain of H. v. nigricans (H. v. nig.), H. v. rimpaui (H. v. rim.), and H. vulgare (H. vul.), from the conventional farming system presented as: (a) the mean for genotype and (b) the mean for treatment. The error bars indicate standard deviation. a, b, c—the mean values followed by different letters indicate significant differences p < 0.05.
Figure 8.
The content of total anthocyanidins, total flavonoids, total phenolic acids, and total polyphenols in the grain of H. v. nigricans (H. v. nig.), H. v. rimpaui (H. v. rim.), and H. vulgare (H. vul.), from the organic farming system presented as: (a) the mean for genotype and (b) the mean for treatment. The error bars indicate standard deviation. a, b, c—the mean values followed by different letters indicate significant differences p < 0.05.
Table 5.
The content of polyphenols in barley grain from the conventional system.
Table 6.
The content of polyphenols in barley grain from the organic system.
As in the case of phenolic acids, the content of flavonoids was higher in the primary barley than in the modern cultivar, and the highest content in both farming systems was found in H. v. rimpaui (Figure 7 and Figure 8). This genotype accumulated more than four times more flavonoids in conventional cultivation and more than three times in organic cultivation compared to H. vulgare. In conventional cultivation only, on average for genotypes, the biostimulant had a positive effect on the concentration of flavonoids. In this farming system, H. v. rimpaui treated with the biostimulant accumulated even more flavonoids than H. v. nigricans (Table 5).
Anthocyanidins were only accumulated in the primary genotypes H. v. nigricans and H. v. rimpaui, (Figure 7 and Figure 8, Table 5 and Table 6). In organic cultivation, H. v. rimpaui accumulated more anthocyanidins than H. v. nigricans, regardless of the biostimulant application (Figure 8). This genotype, both organically and conventionally cultivated, accumulated the most anthocyanidins when treated with a biostimulant (Table 5 and Table 6).
Similarly to phenolic acids, flavonoids, and anthocyanins, the content of total polyphenols was significantly higher in the primary genotypes than in the modern cultivar cultivated both organically and conventionally. The biostimulant, regardless of the farming system, on average for genotypes, significantly increased the concentration of total polyphenols (Figure 7 and Figure 8). The genotype of H. v. rimpaui, originating from both farming systems, was characterized by the significantly highest content of total polyphenols, but only when it was treated with an amino-acid preparation. Similarly to individual phenolic compounds, H. v. vulgare did not respond with an increase in the total amount of polyphenols after application of the biostimulant in any of the farming systems (Table 5 and Table 6).
Pearson’s correlation analysis was additionally performed for phenolic compounds and free fatty acids. In conventional barley grains, a positive, moderately strong correlation was noted between phenolic acids, flavonoids, anthocyanins, and linoleic acid (C18:2). On the other hand, for genotypes cultivated organically, a relationship was found between the listed phenolic compounds and γ-linolenic acid (C18:3, n6) (Table 7).
Table 7.
Pearson’s correlation for phenolic acids, flavonoids, anthocyanidins, total phenols, and chosen PUFA from barley grains.
3.5. Principal Component Analysis (PCA)
In order to understand the impact of genotype and biostimulant on the concentration of the analyzed biochemical parameters and how plants respond to different growing systems, a principal component analysis (PCA) was conducted. For the conventional system, the biplot (PCA) explained 53.83% of the first principal component (PC1) and 40.96% of the second principal component (PC2) from 94.79% of the total variance, and for the organic farming system, PC1 defined 55.46% and PC2 defined 36.94% from the total 92.40% of the total variance, which means that the variables in both biplots are highly represented by those two components (Figure 9a,b).
Figure 9.
Biplot principal component analysis (PCA) of biochemical parameters in grains of H. v. nigricans, H. v. rimpaui, and H. vulgare from: (a) conventional and (b) organic systems, depending on the foliar biostimulant application. B—biostimulant, C—control. The sign “*” relates to coexistence of two factors: genotype * treatment.
In both biplots, the angles between total anthocyanins and total flavonoids, as well as total phenolics, lutein, and β-carotene, are very narrow, which indicates that they are highly correlated. The other directions and wide angles between zeaxanthin or PUFA suggest they both are not correlated with the rest of the dependents. In the PCA analysis for conventional and organic farming, total anthocyanins and total flavonoids, as well as total phenolics, lutein, and β-carotene, together with saturated fatty acids, are better described by PC2; on the contrary, the polyunsaturated fatty acids (PUFA) are represented by PC1. The comparison of PCA for each farming system indicated that only zeaxanthin, in both biplots, is located in the positive PC1 and PC2 side (Figure 9a,b).
H. vulgare, treated or non-treated with the biostimulant and from organic and conventional farming, was characterized by the highest concentration of zeaxanthin. H. v. rimpaui and H. v. nigricans, untreated with the biostimulant in conventional and organic farming systems, separated the PUFAs from other variables. On the negative side of PC1, the alternative genotypes of barley treated with the biostimulant (H. v. rimpaui and H. v. nigricans) from conventional farming, as well as organic, were characterized by high contents of β-carotene, lutein, total phenolic acids, total flavonoids, and total anthocyanidins. The relationship between SFAs, MUFAs, and genotypes with or without the biostimulant application varies between farming systems (Figure 9a,b).
4. Discussion
The black-grain genotypes H. v. rimpaui and H. v. nigricans generally gave lower yields than the modern yellow-grain barley H. vulgare, but the significance of these differences depended on the year of the study (Figure 1 and Figure 2). A significantly greater variation between the modern genotype and the alternative genotypes was noted, especially in the conventional system and especially in 2021, which was characterized by slightly higher rainfall totals during the growing season (Table S2). This indicates a higher production potential of the modern variety compared to the alternative genotypes, especially under conditions that favor high yields, such as greater water availability and intensive farming. Many researchers believe that wild forms of barley are more tolerant of adverse environmental conditions than modern cultivated varieties [42,43]. However, modern varieties are characterized by a high harvest index, which, according to Simpson and Siddique [44], increases transport of water and nutrients to the ear, resulting in higher yields. These traits may explain the increased differences in yields between genotypes at the potentially better availability of nutrients and water, resulting from the year and cultivation conditions.
The foliar application of the biostimulant had no effect on the grain yield of the genotypes tested. Similar results were obtained by Staugaitis et al. [45], where the application of an amino-acid biostimulant significantly increased the yield of wheat grain only in one of the five years of the study. Under the influence of the foliar biostimulation of plants with amino acids, the macro- and micronutrient content of leaves increased [46] as well as the content of bioactive compounds such as guaiacol peroxidase, having a levelling effect on the effects of environmental stress [47]. The yield-forming effect of such a treatment may, therefore, be mainly due to stress mitigation. During the present study, the plants were treated with the biostimulant at the full stem elongation stage and at ear emergence. The above-mentioned developmental stages occurred in May and June, where in both years of the study, these months were quite heavy with rainfall, which, in itself, may have had a stimulating effect on the plants and obliterated the yield-forming effect of the biostimulant application. Despite the lack of yield-forming effect, the application of the biostimulant had a positive effect on the quality and, especially, the health-promoting characteristics of the barley grain.
In our research, the concentration of individual carotenoid compounds depended on the genotype of the barley. The yellow grain of H. vulgare was characterized by the highest concentration of zeaxanthin, which is the pigment that gives the yellow color to plant organs [48]. The H. v. rimpaui genotype, grown in both systems, accumulated the most lutein. The content of dominant β-carotene was higher in the dark grains of H. v. nigricans and H. v. rimpaui compared to H. vulgare (Figure 3 and Figure 4). The differences in the content of individual carotenoids among barley genotypes with the different grain colors were also demonstrated by Iannucci et al. [49].
Among the determined carotenoids, the highest content of β-carotene was found in the grain of H. v. nigricans, H. v. rimpaui, and H. vulgare, grown conventionally and organically (Table 1 and Table 2). Other researchers indicate that the dominant carotenoid in barley was zeaxanthin [1,50]. The high accumulation of β-carotene in barley grain, shown in our research, may be valuable for consumers as it is a precursor to the synthesis of vitamin A, which is essential for the proper functioning of the body [6].
Under experimental conditions, no significant differences in total carotenoid concentrations were observed between the genotypes of barley cultivated both conventionally and organically. However, it is worth noting the tendency to accumulate more total carotenoids in the grain of H. v. rimpaui (Table 1 and Table 2). The results of the previous research on the concentration of total carotenoids in the grains of different colors are ambiguous. Many researchers have indicated that genotypes with colorful grains accumulated higher amounts of total carotenoids than genotypes with common grains. It was observed in purple wheat (interspecific hybrid) [51], as well as in wheat (Triticum aestivum) with other colors of grains [52]. On the contrary, Bassolino et al. [53] indicated that common barley and wheat have higher total carotenoid concentrations than barley or wheat with colorful grains. It follows from the above that more comprehensive research would be needed to clarify this issue.
In all studied barley genotypes, the concentration of PUFAs was higher than MUFAs and SFAs (Figure 5 and Figure 6). PUFAs included such free fatty acids as linoleic acid, linolenic acid, or γ-linolenic acid. The second was SFAs, where palmitic and stearic acid are considered. The least share was obtained for MUFAs such as, e.g., oleic acid. These data are in accordance with Liu’s previous research, in which different genotypes of barley (‘Baronesse’ and ‘Merlin’) were characterized by the highest content of linoleic acid, then palmitic acid, and the lowest amount of oleic acid [54]. It was also similar to other research, where linoleic acid dominated and palmitic acid scored second place [55]. The same pattern could be observed in the study of alternative barley genotypes (H. v. var. nudum Hook.) [56]. In general, scientists state that linoleic, linolenic, palmitic, stearic, and oleic acid represent above 90% of the total free fatty acids in cereals, but the composition could differ among cereals and their species or varieties [57]. In our research, it was demonstrated that H. v. rimpaui from conventional farming and H. v. nigricans from both farming systems accumulated a higher amount of PUFAs than H. vulgare (Table 4 and Table 5). It could be concluded that some alternative forms of barley can be better in terms of nutritional value, especially when grown organically.
In our study, it was found that black-grain genotypes (H. v. nigricans, H. v. rimpaui) are characterized by a higher content of total polyphenols than yellow barley (H. vulgare) (Figure 7 and Figure 8). Similarly, in the study by Abdel-Aal et al. [58], higher total concentrations of total polyphenols were found in black (‘Hongqingluo’) and blue (‘Huiliqingluo’) barley grains compared to common barley. In our study, the majority of the polyphenols in the grain of each of the analyzed genotypes were phenolic acids. Ge et al. [59], while analyzing barley with different colors of kernels, also noticed that black barley concentrated the most polyphenols, including phenolic acids and flavonoids. In our experiment, the primary genotypes H. v. nigricans and H. v. rimpaui accumulated anthocyanidins, while in the modern cultivar H. vulgare, the presence of these compounds was not found (Table 5 and Table 6). Similarly, the study by Pereira-Caro et al. [60] found a high concentration of anthocyanidins in rice (Oryza sativa) with black grains (‘Artemide’), but they were not detected in white rice. Many researchers claim that the colorful genotypes of cereals, due to the higher concentration of various phenolic compounds, have a stronger antioxidant effect than the traditional forms of these species [59,61]. Polyphenols exhibit their antioxidant activity, e.g., in the protection of fat, including unsaturated fatty acids, against free radicals [26], which may explain the significant correlation observed in our experiment between phenolic compounds and linoleic acid for conventionally cultivated plants and linolenic acid for organic barley (Table 7).
A positive correlation between phenols, carotenoids, and SFAs with the PC2 component and a stronger PUFA correlation with the PC1 component may result from negative environmental effects and indicate that plants experience oxidative stress during vegetation. Both phenolic compounds [3] and carotenoids [4] are known for their antioxidant and protective properties, and their metabolism in plants is induced by oxidative stress. Studies on wheat by Ullach et al. [62] show that during drought stress, plants introduce changes also in the fatty acid profile by increasing the content of palmitic acid (SFA) at the expense of linoleic and linolenic acids, while after the drought period, during reconstruction, the proportion of lauric, myristic, palmitic, and stearic acids belonging to the group of saturated acids (SFA) increases. Plants try to repair oxidative damage to plasma membranes by regulating the proportion of fatty acids that perform different functions in the metabolism.
The effect of various types of biostimulants on the yield and quantitative characteristics of cereals is relatively well researched, but there is no detailed research on their impact on grain quality parameters. In our study, which concerns this little-known area, a significant effect of the amino-acid biostimulant on the content of carotenoids, free fatty acids, and polyphenols was demonstrated. The amino acids contained in the applied biostimulant are precursors and activators of many biochemical processes, thus, modulating the amount of individual bioactive compounds contained in the plant [37]. This phenomenon is confirmed by a number of studies conducted on various plants, e.g., in the cultivation of wheat [63]. In soybeans, the application of amino acids contributed to the change in the concentration of carotenoids and the ratio of unsaturated to saturated fatty acids [64] or phenolic acids and flavonoids [65]. In our experiment, a significant increase in the content of carotenoids was observed after the application of the biostimulant (Table 1 and Table 2). The foliar application of an amino-acid biostimulant in bean cultivation, in addition to increasing the content of β-carotene, resulted in an increase in the content of flavonoids, anthocyanins, and phenolic acids [65], which was also observed in our study. Biostimulants can also affect free fatty acids because amino acids are a necessary substrate in their biosynthesis [65]. The application of a biostimulant with the addition of amino acids changed the ratio of free fatty acids in favor of polyunsaturated acids in rapeseed [66] and soybean [67]. However, in our own study and an experiment conducted on a hazelnut [68], it was noticed that a biostimulant reduced the amount of PUFAs while increasing the content of saturated and monounsaturated fatty acids (Table 3 and Table 4). The obtained differences may result from a different composition of the biostimulants used. The preparation applied in our study, as well as on hazelnut, was based on pure plant amino acids, while the other preparations also contained microelements. Iron is an addition to many biostimulants. It is necessary for the formation of ferredoxin, which plays an important role in NADPH as an electron donor for stearyl desaturase, an enzyme necessary in the formation of unsaturated fatty acids [69]. It can, therefore, be assumed that amino acids themselves affect the change in the composition of free fatty acids, while the direction of changes: saturated–unsaturated, is more significantly affected by other components, e.g., iron. This thesis is confirmed by the study by Tousi et al. [70], where the content of unsaturated fatty acids in soybean significantly increased after the application of a preparation with iron, while after the application of pure amino acids, such a reaction was not proven.
The farming system (organic, conventional) has an impact on the accumulation of biochemical compounds in plants. Although, in our experiment, the content of individual chemical compounds in barley grain from the conventional and organic systems was not subject to a joint statistical analysis, when comparing the effects of different farming systems, a tendency to accumulate larger amounts of carotenoids, phenols, and polyunsaturated fatty acids in grain from organic cultivation can be observed. Comparable results to our own for carotenoids were obtained for local varieties of barley (‘Naket’) [71], as well as genotypes of colored wheat (‘Andriolo’, ‘Gentil rosso’, ‘Palesio’) [72]. Changing the farming system to organic increased the concentration of phenolic compounds in durum wheat [73], spelt and emmer [74], or Hard Red Wheat [75]. Scientists explain the increased values of phytochemicals in organic grains by changes in metabolism that result from the availability of nitrogen and other important macro-elements in the soil and their mutual ratio [76]. Nitrogen deficiency increases the activity of L-phenylalanine lyase, an enzyme that eliminates ammonia from aromatic amino acids and leads to the synthesis of cinnamic acid, which is a precursor of many phenolic compounds in plants [77]. The content of unsaturated fatty acids also increases due to the limited availability of nitrogen [78].
In addition, many phytochemicals are involved in plant defense responses to biotic and abiotic stresses. This group also includes phenols, carotenoids, and free fatty acids, which are involved in the immune processes of plants, and their synthesis is enhanced in response to the attack of pathogens [79,80,81]. In organic crops, where pesticides are not used to control pests, a higher accumulation of such compounds is highly desirable. On the other hand, there are many studies that do not prove an increase in the concentration of phytochemicals in organically grown plants. Studies by Stracke et al. [82] and Konopka et al. [83] showed no statistical difference in carotenoid content between organically and conventionally farmed wheat. In other studies, the type of wheat protection against pathogens (organic or conventional) slightly differentiated the concentration of phenolic compounds or free fatty acids in spelt, maize, and buckwheat [84]. There are also reports of a more favorable effect of conventional cultivation on the content of phenolic acids compared to organic cultivation [85]. However, the higher concentration of bioactive compounds and unsaturated fatty acids in the organic system, which is reported by the meta-analysis of Barański et al. [86], may be the result of the lack of use of industrial production means, which are intended to reduce stress factors for plants. Under the conditions of the limited negative impact of environmental factors, plants are more involved in the production of asymilates, such as proteins, than in the synthesis of bioactive compounds of a defensive nature. The differences in the literature may be due to genotypic, agronomic, or agrotechnical factors [87], which influence the synthesis of biochemical compounds in plants, regardless of the system in which they are grown.
5. Conclusions
The black-grain alternative genotypes (Hordeum vulgare L. var. nigricans (Ser.) Körn and H. vulgare L. var. rimpaui Wittm) and common barley (H. vulgare L.) differ in the accumulation of phytochemicals such as carotenoids, fatty acids, and polyphenols in grain. They also dissimilarly react to the foliar application of an amino-acid biostimulant. The composition of health-promoting substances seems to depend also on the farming system.
The biostimulant applied in the black-grain barley genotypes had a beneficial effect on the content of lutein and β-carotene, while without the treatment, they accumulated higher amounts of polyunsaturated fatty acids. In both farming systems, the highest content of these compounds was found in grain H. v. rimpaui treated with a biostimulant. In turn, common barley (H. vulgare), both treated with a biostimulant and untreated, concentrated the highest amounts of zeaxanthin.
It can be concluded that alternative genotypes of black-grain barley could show a higher ability to concentrate health-promoting substances (lutein, total phenolic acids, flavonoids, and anthocyanidins) than common barley and may be a valuable source of health-promoting substances, especially if they are grown organically, but more broad research should be carried out to elucidate that point. The alternative genotypes yielded significantly lower than common barley; the magnitude of the differences, however, depended on the year of cultivation. The biostimulant treatment had no significant effect on the grain yield of the barley genotypes tested.
The obtained results indicate prospects for further studies in the scope of the influence of agrotechnical and environmental factors on the content of bioactive compounds in alternative barley genotypes and clarify the role of fatty acids and phenolic compounds in the defense mechanisms of these plants.
Supplementary Materials
The following supporting information can be downloaded at: https://www.mdpi.com/article/10.3390/agronomy13071852/s1, Table S1: Mean temperature and monthly rainfall during in the experimental area in the growing season of 2021 and 2022. Table S2: Mean temperature and monthly rainfall during in the experimental area in the growing.
Author Contributions
Conceptualization, R.N. and M.S.; Methodology, R.N., M.S., J.K.-C., A.P.-B., K.S.-S., J.P., M.B.H. and F.R.; Software, R.N. and K.B.; Validation, R.N. and M.S.; Formal analysis, R.N. and M.S.; Investigation, R.N. and M.S.; Resources, R.N. and M.S.; Data curation, R.N. and M.S.; Writing—original draft, R.N., M.S., K.B., J.K.-C., A.P.-B., K.S.-S., J.P., M.B.H. and F.R.; Writing—review & editing, R.N., M.S., K.B., J.K.-C., A.P.-B., K.S.-S., J.P., M.B.H. and F.R.; Visualization, K.B.; Supervision, R.N. All authors have read and agreed to the published version of the manuscript.
Funding
This research received no external funding.
Data Availability Statement
The data presented in this study are available on request from the corresponding author.
Conflicts of Interest
The authors declare no conflict of interest.
References
- Siebenhandl, S.; Grausgruber, H.; Pellegrini, N.; Del Rio, D.; Fogliano, V.; Pernice, R.; Berghofer, E. Phytochemical Profile of Main Antioxidants in Different Fractions of Purple and Blue Wheat, and Black Barley. J. Agric. Food Chem. 2007, 55, 8541–8547. [Google Scholar] [CrossRef] [PubMed]
- Beleggia, R.; Ficco, D.B.M.; Nigro, F.M.; Giovanniello, V.; Colecchia, S.A.; Pecorella, I.; De Vita, P. Effect of Sowing Date on Bioactive Compounds and Grain Morphology of Three Pigmented Cereal Species. Agronomy 2021, 11, 591. [Google Scholar] [CrossRef]
- Dang, B.; Zhang, W.-G.; Zhang, J.; Yang, X.-J.; Xu, H.-D. Evaluation of Nutritional Components, Phenolic Composition, and Antioxidant Capacity of Highland Barley with Different Grain Colors on the Qinghai Tibet Plateau. Foods 2022, 11, 2025. [Google Scholar] [CrossRef] [PubMed]
- Ficco, D.B.M.; Mastrangelo, A.M.; Trono, D.; Borrelli, G.M.; De Vita, P.; Fares, C.; Beleggia, R.; Platani, C.; Papa, R. The Colours of Durum Wheat: A Review. Crop Pasture Sci. 2014, 65, 1–15. [Google Scholar] [CrossRef]
- Linnewiel-Hermoni, K.; Paran, E.; Wolak, T. Carotenoid Supplements and Consumption: Implications for Healthy Aging. In Molecular Basis of Nutrition and Aging: A Volume in the Molecular Nutrition Series; Elsevier: Amsterdam, The Netherlands, 2016; pp. 473–489. [Google Scholar] [CrossRef]
- Tanumihardjo, S.A. Carotenoids: Health Effects. In Encyclopedia of Human Nutrition, 3rd ed.; Elsevier: Amsterdam, The Netherlands, 2013; pp. 292–297. [Google Scholar] [CrossRef]
- Mińkowski, K. Związki Enolowe Surowców Oleistych—Występowanie oraz Znaczenie Biologiczno—Żywieniowe. Postępy Nauk. Technol. Przemysłu Rolno-Spożywczego 2013, 68, 109–121. [Google Scholar]
- Grajek, W. Przeciwutleniacze w Żywności. In Aspekty Zdrowotne, Technologiczne, Molekularne i Analityczne; Wydawnictwa Naukowo-Techniczne: Warszawa, Poland, 2007. [Google Scholar]
- Guo, T.; Horvath, C.; Chen, L.; Chen, J.; Zheng, B. Understanding the Nutrient Composition and Nutritional Functions of Highland Barley (Qingke): A Review. Trends Food Sci. Technol. 2020, 103, 109–117. [Google Scholar] [CrossRef]
- Geng, L.; Li, M.; Zhang, G.; Ye, L. Barley: A Potential Cereal for Producing Healthy and Functional Foods. Food Qual. Saf. 2022, 6, fyac012. [Google Scholar] [CrossRef]
- Kaur, N.; Chugh, V.; Gupta, A.K. Essential Fatty Acids as Functional Components of Foods—A Review. J. Food Sci. Technol. 2014, 51, 2289–2303. [Google Scholar] [CrossRef]
- Abdelhamid, A.S.; Martin, N.; Bridges, C.; Brainard, J.S.; Wang, X.; Brown, T.J.; Hanson, S.; Jimoh, O.F.; Ajabnoor, S.M.; Deane, K.H.; et al. Polyunsaturated Fatty Acids for the Primary and Secondary Prevention of Cardiovascular Disease. Cochrane Database Syst. Rev. 2018, 11, CD012345. [Google Scholar] [CrossRef]
- Bousquet, M.; Saint-Pierre, M.; Julien, C.; Salem, N.; Cicchetti, F.; Calon, F. Beneficial Effects of Dietary Omega-3 Polyunsaturated Fatty Acids on Toxin Induced Neuronal Degeneration in an Animal Model of Parkinson’s Disease. FASEB J. 2008, 22, 1213–1225. [Google Scholar] [CrossRef]
- Litman, B.J.; Niu, S.L.; Polozova, A.; Mitchell, D.C. The Role of Docosahexaenoic Acid Containing Phospholipids in Modulating G Protein-Coupled Signaling Pathways: Visual Transduction. J. Mol. Neurosci. 2001, 16, 237–242. [Google Scholar] [CrossRef] [PubMed]
- Hooper, L.; Martin, N.; Jimoh, O.F.; Kirk, C.; Foster, E.; Abdelhamid, A.S. Reduction in Saturated Fat Intake for Cardiovascular Disease. Cochrane Database Syst. Rev. 2020, 8, CD011737. [Google Scholar] [CrossRef] [PubMed]
- Malik, A.H. Governing Grain Protein Concentration and Composition in Wheat and Barley: Use of Genetic and Environmental Factors. Ph.D. Thesis, Swedish University of Agricultural Sciences, Uppsala, Sweden, 2012. [Google Scholar]
- Strygina, K.V.; Börner, A.; Khlestkina, E.K. Identification and Characterization of Regulatory Network Components for Anthocyanin Synthesis in Barley Aleurone. BMC Plant Biol. 2017, 17, 184. [Google Scholar] [CrossRef]
- Shoeva, O.Y.; Mock, H.-P.; Kukoeva, T.V.; Börner, A.; Khlestkina, E.K. Regulation of the Flavonoid Biosynthesis Pathway Genes in Purple and Black Grains of Hordeum vulgare. PLoS ONE 2016, 11, e0163782. [Google Scholar] [CrossRef] [PubMed]
- Gordeeva, E.I.; Glagoleva, A.Y.; Kukoeva, T.V.; Khlestkina, E.K.; Shoeva, O.Y. Purple-Grained Barley (Hordeum vulgare L.): Marker-Assisted Development of NILs for Investigating Peculiarities of the Anthocyanin Biosynthesis Regulatory Network. BMC Plant Biol. 2019, 19, 52. [Google Scholar] [CrossRef] [PubMed]
- Kim, M.J.; Hyun, J.N.; Kim, J.A.E.; Park, J.C.; Kim, M.Y.; Kim, J.G.; Lee, S.J.; Chun, S.C.; Chung, I.M. Relationship between Phenolic Compounds, Anthocyanins Content and Antioxidant Activity in Colored Barley Germplasm. J. Agric. Food Chem. 2007, 55, 4802–4809. [Google Scholar] [CrossRef]
- Tang, Y.; Li, X.; Chen, P.X.; Zhang, B.; Liu, R.; Hernandez, M.; Draves, J.; Marcone, M.F.; Tsao, R. Assessing the Fatty Acid, Carotenoid, and Tocopherol Compositions of Amaranth and Quinoa Seeds Grown in Ontario and their Overall Contribution to Nutritional Quality. J. Agric. Food Chem. 2016, 64, 1103–1110. [Google Scholar] [CrossRef]
- Li, W.; Shan, F.; Sun, S.; Corke, H.; Beta, T. Free Radical Scavenging Properties and Phenolic Content of Chinese Black-Grained Wheat. J. Agric. Food Chem. 2005, 53, 8533–8536. [Google Scholar] [CrossRef]
- Liu, M.; Zhu, K.; Yao, Y.; Chen, Y.; Guo, H.; Ren, G.; Yang, X.; Li, J. Antioxidant, Anti-inflammatory, and Antitumor Activities of Phenolic Compounds from White, Red, and Black Chenopodium Quinoa Seed. Cereal Chem. 2020, 97, 703–713. [Google Scholar] [CrossRef]
- Jin, H.M.; Dang, B.; Zhang, W.G.; Zheng, W.C.; Yang, X.J. Polyphenol and Anthocyanin Composition and Activity of Highland Barley with Different Colors. Molecules 2022, 27, 3411. [Google Scholar] [CrossRef]
- Idehen, E.; Tang, Y.; Sang, S. Bioactive phytochemicals in barley. J. Food Drug Anal. 2017, 25, 148–161. [Google Scholar] [CrossRef] [PubMed]
- Shen, Y.; Zhang, H.; Cheng, L.; Wang, L.; Qian, H.; Qi, X. In Vitro and In Vivo Antioxidant Activity of Polyphenols Extracted from Black Highland Barley. Food Chem. 2016, 194, 1003–1012. [Google Scholar] [CrossRef] [PubMed]
- Özberk, F.; Ozberk, I.; Bayhan, M.; Odabaşıoğlu, C. Black Barley Marketing Prices and Profitability vs. White from 2005 to 2015 in South-East Anatolia. Transylv. Rev. 2015, XXIV. [Google Scholar]
- Feng, X. Analysis of Nutritional Components of Naked Barley under the Ecological Condition of Tibet Plateau. Fujian J. Agric. Sci. 2016, 31, 1312–1317. [Google Scholar] [CrossRef]
- Rao, S.; Schwarz, L.J.; Santhakumar, A.B.; Chinkwo, K.A.; Blanchard, C.L. Cereal Phenolic Contents as Affected by Variety and Environment. Cereal Chem. J. 2018, 95, 589–602. [Google Scholar] [CrossRef]
- Dangour, A.D.; Dodhia, S.K.; Hayter, A.; Allen, E.; Lock, K.; Uauy, R. Nutritional Quality of Organic Foods: A Systematic Review. Am. J. Clin. Nutr. 2009, 90, 680–685. [Google Scholar] [CrossRef]
- Golijan, J.; Milinčić, D.D.; Petronijević, R.; Pešić, M.; Barac, M.B.; Sečanski, M.; Lekić, S.; Kostić, A.Ž. The Fatty Acid and Triacylglycerol Profiles of Conventionally and Organically Produced Grains of Maize, Spelt and Buckwheat. J. Cereal Sci. 2019, 90, 102845. [Google Scholar] [CrossRef]
- Brown, P.; Saa, S. Biostimulants in Agriculture. Front. Plant Sci. 2015, 6, 671. [Google Scholar] [CrossRef]
- European Biostimulants Industry Council (EBIC). Multiple-Use Components in Plant Biostimulants. 2021. Available online: https://biostimulants.eu/wp-content/uploads/2021/11/20211104-EBIC-MultipleUse-Position-v11_final.pdf (accessed on 4 November 2021).
- Posmyk, M.M.; Szafrańska, K. Biostimulators: A New Trend towards Solving an Old Problem. Front. Plant Sci. 2016, 7, 748. [Google Scholar] [CrossRef]
- Teklić, T.; Parađiković, N.; Špoljarević, M.; Zeljković, S.; Lončarić, Z.; Lisjak, M. Linking Abiotic Stress, Plant Metabolites, Biostimulants and Functional Food. Ann. Appl. Biol. 2021, 178, 169–191. [Google Scholar] [CrossRef]
- Popko, M.; Michalak, I.; Wilk, R.; Gramza, M.; Chojnacka, K.; Górecki, H. Effect of the New Plant Growth Biostimulants Based on Amino Acids on Yield and Grain Quality of Winter Wheat. Molecules 2018, 23, 470. [Google Scholar] [CrossRef] [PubMed]
- Rouphael, Y.; Formisano, L.; Ciriello, M.; Cardarelli, M.; Luziatelli, F.; Ruzzi, M.; Ficca, A.G.; Bonini, P.; Colla, G. Natural Biostimulants as Upscale Substitutes to Synthetic Hormones for Boosting Tomato Yield and Fruits Quality. Italus Hortus 2021, 28, 88–99. [Google Scholar] [CrossRef]
- Soppelsa, S.; Kelderer, M.; Casera, C.; Bassi, M.; Robatscher, P.; Andreotti, C. Use of Biostimulants for Organic Apple Production: Effects on Tree Growth, Yield, and Fruit Quality at Harvest and during Storage. Front. Plant Sci. 2018, 9, 1342. [Google Scholar] [CrossRef] [PubMed]
- Stuper-Szablewska, K.; Buśko, M.; Góral, T.; Perkowski, J. The fatty acid profile in different wheat cultivars depending on the level of contamination with microscopic fungi. Food Chem. 2014, 153, 216–222. [Google Scholar] [CrossRef] [PubMed]
- Stuper-Szablewska, K.; Kurasiak-Popowska, D.; Nawracała, J.; Perkowski, J. Response of non-enzymatic antioxidative mechanisms to stress caused by infection with Fusarium fungi and chemical protection in different wheat genotypes. Chem. Ecol. 2017, 33, 949–962. [Google Scholar] [CrossRef]
- Przybylska-Balcerek, A.; Szablewski, T.; Szwajkowska-Michałek, L.; Świerk, D.; Cegielska-Radziejewska, R.; Krejpcio, Z.; Suchowilska, E.; Tomczyk, Ł.; Stuper-Szablewska, K. Sambucus Nigra Extracts—Natural Antioxidants and Antimicrobial Compounds. Molecules 2021, 26, 2910. [Google Scholar] [CrossRef]
- Lakew, B.; Eglinton, J.; Henry, R.J.; Baum, M.; Grando, S.; Ceccarelli, S. The potential contribution of wild barley (Hordeum vulgare ssp. spontaneum) germplasm to drought tolerance of cultivated barley (H. vulgare ssp. vulgare). Field Crops Res. 2011, 120, 161–168. [Google Scholar] [CrossRef]
- Chen, T.; Li, C.; White, J.; Nan, Z. Effect of the fungal endophyte Epichloë bromicola on polyamines in wild barley (Hordeum brevisubulatum) under salt stress. Plant Soil 2019, 436, 29–48. [Google Scholar] [CrossRef]
- Moreira, A.; Moraes, L.A.C. Yield, nutritional status and soil fertility cultivated with common bean in response to amino-acids foliar application. J. Plant Nutr. 2017, 40, 344–351. [Google Scholar] [CrossRef]
- Simpson, P.G.; Siddique, K.H.M. Soil Type Influences Relative Yield of Barley and Wheat in a Mediterranean-type Environment. J. Agron. Crop Sci. 1994, 172, 147–160. [Google Scholar] [CrossRef]
- Staugatis, G.; Aleknavičienė, L.; Brazienė, Z.; Marcinkevičius, A.; Paltanavičius, V. The influence of foliar fertilization with nitrogen, sulphur, amino acids and microelements on spring wheat. Zemdirb.-Agric. 2017, 104, 123–130. [Google Scholar] [CrossRef]
- Harizanova, A.; Koleva-Valkova, L.; Vassilev, A. Effects of the Protein Hydrolysate Pretreatment on Cucumber Plants Exposed to Chilling Stress. Acta Agrobot. 2022, 75, 1–8. [Google Scholar] [CrossRef]
- Dufossé, L. Microbial Pigments from Bacteria, Yeasts, Fungi, and Microalgae for the Food and Feed Industries. In Natural and Artificial Flavoring Agents and Food Dyes; Handbook of Food Bioengineering; Elsevier: Amsterdam, The Netherlands, 2018; Volume 7, pp. 113–132. [Google Scholar] [CrossRef]
- Iannucci, A.; Suriano, S.; Codianni, P. Genetic Diversity for Agronomic Traits and Phytochemical Compounds in Coloured Naked Barley Lines. Plants 2021, 10, 1575. [Google Scholar] [CrossRef] [PubMed]
- Masisi, K.; Diehl-Jones, W.L.; Gordon, J.; Chapman, D.; Moghadasian, M.H.; Beta, T. Carotenoids of Aleurone, Germ, and Endosperm Fractions of Barley, Corn and Wheat Differentially Inhibit Oxidative Stress. J. Agric. Food Chem. 2015, 63, 2715–2724. [Google Scholar] [CrossRef]
- Guo, Z.F.; Zhang, Z.B.; Xu, P.; Guo, Y.N. Analysis of Nutrient Composition of Purple Wheat. Cereal Res. Commun. 2013, 41, 293–303. [Google Scholar] [CrossRef]
- Saini, P.; Kumar, N.; Kumar, S.; Mwaurah, P.W.; Panghal, A.; Attkan, A.K.; Singh, V.K.; Garg, M.K.; Singh, V. Bioactive Compounds, Nutritional Benefits and Food Applications of Colored Wheat: A Comprehensive Review. Crit. Rev. Food Sci. Nutr. 2021, 61, 3197–3210. [Google Scholar] [CrossRef]
- Bassolino, L.; Petroni, K.; Polito, A.; Marinelli, A.; Azzini, E.; Ferrari, M.; Ficco, D.B.M.; Mazzucotelli, E.; Tondelli, A.; Fricano, A.; et al. Does Plant Breeding for Antioxidant-Rich Foods Have an Impact on Human Health? Antioxidants 2022, 11, 794. [Google Scholar] [CrossRef]
- Liu, K. Comparison of Lipid Content and Fatty Acid Composition and Their Distribution within Seeds of 5 Small Grain Species. J. Food Sci. 2011, 76, 334–342. [Google Scholar] [CrossRef]
- Qian, J.; Jiang, S.; Su, W.; Gao, P. Characteristics of Oil from Hulless Barley (Hordeum vulgare L.) Bran from Tibet. J. Am. Oil Chem. Soc. 2009, 86, 1175. [Google Scholar] [CrossRef]
- Xu, F.; Dang, B.; Yang, X.; Wu, K.; Chi, D. Evaluation of Nutritional Quality of Different Hulless Barleys. J. Triticeae Crops 2016, 36, 1249–1257. [Google Scholar] [CrossRef]
- Relina, L.I.; Suprun, O.H.; Boguslavskyi, R.L.; Didenko, S.Y.; Vecherska, L.A.; Golik, O.V. Fatty Acid Composition of Oil from Grain of Some Tetraploid Wheat Species. Biotechnol. Acta 2020, 13, 56–64. [Google Scholar] [CrossRef]
- Abdel-Aal, E.S.M.; Choo, T.M.; Dhillon, S.; Rabalski, I. Free and Bound Phenolic Acids and Total Phenolics in Black, Blue, and Yellow Barley and Their Contribution to Free Radical Scavenging Capacity. Cereal Chem. 2012, 89, 198–204. [Google Scholar] [CrossRef]
- Ge, X.; Jing, L.; Zhao, K.; Su, C.; Zhang, B.; Zhang, Q.; Han, L.; Yu, X.; Li, W. The Phenolic Compounds Profile, Quantitative Analysis and Antioxidant Activity of Four Naked Barley Grains with Different Color. Food Chem. 2021, 335, 127655. [Google Scholar] [CrossRef] [PubMed]
- Pereira-Caro, G.; Cros, G.; Yokota, T.; Crozier, A. Phytochemical Profiles of Black, Red, Brown, and White Rice from the Camargue Region of France. J. Agric. Food Chem. 2013, 61, 7976–7989. [Google Scholar] [CrossRef]
- Bellido, G.G.; Beta, T. Anthocyanin Composition and Oxygen Radical Scavenging Capacity (Orac) of Milled and Pearled Purple, Black, and Common Barley. J. Agric. Food Chem. 2009, 57, 1022–1028. [Google Scholar] [CrossRef]
- Ullah, S.; Khan, M.N.; Lodhi, S.S.; Ahmad, I.; Tayyab, M.; Mehmood, T.; Din, I.U.; Khan, M.; Sohali, Q.; Akram, M. Targeted metabolomics reveals fatty acid abundance adjustments as playing a crucial role in drought-stress response and post-drought recovery in wheat. Front. Genet. Sec. Plant Genom. 2022, 13, 972696. [Google Scholar] [CrossRef]
- Szpunar-Krok, E.; Depciuch, J.; Drygaś, B.; Jańczak-Pieniążek, M.; Mazurek, K.; Pawlak, R. The Influence of Biostimulants Used in Sustainable Agriculture for Antifungal Protection on the Chemical Composition of Winter Wheat Grain. Int. J. Environ. Res. Public Health 2022, 19, 12998. [Google Scholar] [CrossRef]
- Abd El-Aal, M.M.M.; Eid, R.S.M. Effect of Foliar Spray with Lithovit and Amino Acids on Growth, Bioconstituents, Anatomical and Yield Features of Soybean Plant. Ann. Agric. Sci. Moshtohor 2018, 56, 187–201. [Google Scholar] [CrossRef]
- Kocira, S.; Szparaga, A.; Hara, P.; Treder, K.; Findura, P.; Bartoš, P.; Filip, M. Biochemical and Economical Effect of Application Biostimulants Containing Seaweed Extracts and Amino Acids as an Element of Agroecological Management of Bean Cultivation. Sci. Rep. 2020, 10, 17759. [Google Scholar] [CrossRef]
- He, M.; Qin, C.; Wang, X.; Ding, N. Plant Unsaturated Fatty Acids: Biosynthesis and Regulation. Front. Plant Sci. 2020, 11, 390. [Google Scholar] [CrossRef]
- Petrova, I.; Ivanova, S.; Stoyanova, S.; Mincheva, R.; Pavlova, M. Influence of Biostimulants and Humic Extracts Treatment on the Fatty Acid Profile of the Spring Oilseed Rape Variety. J. Agric. Sci. Technol. 2023, 15, 52–59. [Google Scholar] [CrossRef]
- Szparaga, A.; Kocira, S.; Findura, P.; Kapusta, I.; Zaguła, G.; Świeca, M. Uncovering the Multi-Level Response of Glycine max L. to the Application of Allelopathic Biostimulant from Levisticum officinale Koch. Sci. Rep. 2021, 11, 15360. [Google Scholar] [CrossRef] [PubMed]
- Pascoalino, L.A.; Reis, F.S.; Barros, L.; Rodrigues, M.Â.; Correia, C.M.; Vieira, A.L.; Ferreira, I.C.F.R.; Barreira, J.C.M. Effect of Plant Biostimulants on Nutritional and Chemical Profiles of Almond and Hazelnut. Appl. Sci. 2021, 11, 7778. [Google Scholar] [CrossRef]
- Marschner, H. Functions of Mineral Nutrients: Micronutrients. In Mineral Nutrition of Higher Plants, 2nd ed.; Academic Press: London, UK, 1995; pp. 313–404. [Google Scholar]
- Tousi, P.; Tajbakhsh, M.; Esfahani, M. Effect of Spray Application of Nano-Fe Chelate, Amino Acid Compounds and Magnetic Water on Protein Content and Fatty Acids Composition of Oil of Soybean (Glycine max) in Different Harvest Time. Iran. J. Crop Sci. 2014, 16, 125–136. [Google Scholar]
- Hussain, A.; Larsson, H.; Johansson, E. Carotenoid Extraction from Locally and Organically Produced Cereals Using Saponification Method. Processes 2021, 9, 783. [Google Scholar] [CrossRef]
- Di Silvestro, R.; Di Loreto, A.; Bosi, S.; Bregola, V.; Marotti, I.; Benedettelli, S.; Segura-Carretero, A.; Dinelli, G. Environment and Genotype Effects on Antioxidant Properties of Organically Grown Wheat Varieties: A 3-Year Study. J. Sci. Food Agric. 2017, 97, 641–649. [Google Scholar] [CrossRef]
- Pandino, G.; Mattiolo, E.; Lombardo, S.; Lombardo, G.M.; Mauromicale, G. Organic Cropping System Affects Grain Chemical Composition, Rheological and Agronomic Performance of Durum Wheat. Agriculture 2020, 10, 46. [Google Scholar] [CrossRef]
- Fares, C.; Menga, V.; Codianni, P.; Russo, M.; Perrone, D.; Suriano, S.; Savino, M.; Rascio, A. Phenolic Acids Variability and Grain Quality of Organically and Conventionally Fertilised Old Wheats under a Warm Climate. J. Sci. Food Agric. 2019, 99, 4615–4623. [Google Scholar] [CrossRef]
- Tian, W.; Jaenisch, B.; Gui, Y.; Hu, R.; Chen, G.; Lollato, R.P.; Li, Y. Effect of Environment and Field Management Strategies on Phenolic Acid Profiles of Hard Red Winter Wheat Genotypes. J. Sci. Food Agric. 2022, 102, 2424–2431. [Google Scholar] [CrossRef]
- Gałązka, A. Conversion of phenolic compounds and the role of L-phenylalanine ammonia lyase (PAL) in the induction of plant defense mechanism. Pol. J. Agron. 2011, 15, 83–88. [Google Scholar]
- Abd EL-Satar, M.A.; Ahmed, A.A.E.H.; Hassan, T.H.A. Response of seed yield and fatty acid compositions for some sunflower genotypes to plant spacing and nitrogen fertilization. Inf. Process. Agric. 2017, 4, 241–252. [Google Scholar] [CrossRef]
- Buczek, J.; Jańczak-Pieniążek, M.; Harasim, E.; Kwiatkowski, C.A.; Kapusta, I. Effect of Cropping Systems and Environment on Phenolic Acid Profiles and Yielding of Hybrid Winter Wheat Genotypes. Agriculture 2023, 13, 834. [Google Scholar] [CrossRef]
- Bhattacharya, A.; Sood, P.; Citovsky, V. The Roles of Plant Phenolics in Defence and Communication during Agrobacterium and Rhizobium Infection. Mol. Plant Pathol. 2010, 11, 585–719. [Google Scholar] [CrossRef]
- Swapnil, P.; Meena, M.; Singh, S.K.; Dhuldhaj, U.P.; Harish; Marwal, A. Vital Roles of Carotenoids in Plants and Humans to Deteriorate Stress with its Structure, Biosynthesis, Metabolic Engineering and Functional Aspects. Curr. Plant Biol. 2021, 26, 100203. [Google Scholar] [CrossRef]
- He, M.; Ding, N.-Z. Plant Unsaturated Fatty Acids: Multiple Roles in Stress Response. Front. Plant Sci. 2020, 11, 562785. [Google Scholar] [CrossRef] [PubMed]
- Stracke, B.A.; Eitel, J.; Watzl, B.; Mäder, P.; Rüfer, C.E. Influence of the Production Method on Phytochemical Concentrations in Whole Wheat (Triticum aestivum L.): A Comparative Study. J. Sci. Food Agric. 2009, 57, 10116–10121. [Google Scholar] [CrossRef] [PubMed]
- Konopka, I.; Tańska, M.; Faron, A.; Stępień, A.; Wojtkowiak, K. Comparison of the Phenolic Compounds, Carotenoids and Tocochromanols Content in Wheat Grain under organic and Mineral Fertilization Regimes. Molecules 2012, 17, 12341–12356. [Google Scholar] [CrossRef]
- Park, E.Y.; Baik, B.K.; Miller, P.R.; Burke, I.C.; Wegner, E.A.; Tautges, N.E.; Morris, C.F.; Fuerst, E.P. Functional and Nutritional Characteristics of Wheat Grown in Organic and Conventional Cropping Systems. Cereal Chem. 2015, 92, 504–512. [Google Scholar] [CrossRef]
- Barański, M.; Średnicka-Tober, D.; Volakakis, N.; Seal, C.; Sanderson, R.; Stewart, G.B.; Benbrook, C.; Biavati, B.; Markellou, E.; Giotis, C.; et al. Higher antioxidant and lower cadmium concentrations and lower incidence of pesticide residues in organically grown crops: A systematic literature review and meta-analyses. Br. J. Nutr. 2014, 112, 794–811. [Google Scholar] [CrossRef]
- Mikołajczak, N.; Tańska, M.; Ogrodowska, D. Phenolic Compounds in Plant Oils: A Review of Composition, Analytical Methods, and Effect on Oxidative Stability. Trends Food Sci. Technol. 2021, 113, 110–138. [Google Scholar] [CrossRef]
Disclaimer/Publisher’s Note: The statements, opinions and data contained in all publications are solely those of the individual author(s) and contributor(s) and not of MDPI and/or the editor(s). MDPI and/or the editor(s) disclaim responsibility for any injury to people or property resulting from any ideas, methods, instructions or products referred to in the content. |
© 2023 by the authors. Licensee MDPI, Basel, Switzerland. This article is an open access article distributed under the terms and conditions of the Creative Commons Attribution (CC BY) license (https://creativecommons.org/licenses/by/4.0/).








