Abstract
The nutrient-limiting conditions in saline–alkali soil as well as the salinity and alkalinity stress are successfully alleviated by water management measures and the addition of organic matter. However, the impacts of these two strategies on the microbe-driven CO2 emissions in saline–alkaline soils are not yet clear. Therefore, a 150-day incubation experiment was conducted in this study to evaluate the short-term effects of water regulation and the addition of organic matter with different characteristics on CO2 emissions and microbial community characteristics in saline–alkali soils under non-flooding conditions. This study was conducted at two water saturations, i.e., 50% WFPS and 80% WFPS. In addition, five organic matter treatments were conducted: CK: control; N: urea; SN: Straw + urea; SNH: Straw + urea + microbial agent; and SNB: Straw + urea + biochar. The results demonstrated that compared with 50% WFPS, 80% WFPS significantly increased cumulative CO2 emission by 27.66%, but significantly decreased salt content and the fungal Chao1 and Shannon indices. The application of the biochar and microbial agent decreased the cumulative CO2 emissions of the SN treatment by 27.39% and 14.92%, respectively. When sufficient carbon supply is available, the decrease in fungal diversity may reduce CO2 emission. The findings demonstrated that SNH and SNB at 80% WFPS might decrease CO2 emissions under straw carbon intake as well as the loss of labile organic carbon (LOC). Additionally, these treatments can alleviate microbial stress caused by salinity, which has a favorable impact on enhancing carbon storage in salinity-affected dryland soils.
1. Introduction
The current trend of global warming can lead to the expansion of the global dryland area to 56% of the total land surface area by the year 2100. Moreover, it can escalate the risk of dryland soil salinization [1,2]. High salinity and pH alter the species composition of soil microorganisms and plants as well as affect the dynamic balance between soil organic carbon (SOC) storage and soil respiration, which increases the ambiguity surrounding climate change [3,4]. Moreover, soil salinization has emerged as a critical environmental issue that threatens ecosystem balance, agricultural productivity, human health, and sustainable development [5,6]. Therefore, urgent and effective measures should be taken for the prevention of salinization and improvement of saline–alkali land in arid areas.
Extensive studies have demonstrated that the application of organic matter, such as crop straw, biochar, and green manure, may be an effective strategy for enhancing soil quality and improving soil organic matter in saline–alkaline land [7,8]. Additionally, there has been an increased research interest globally in practical water management techniques such as freshwater input, drip irrigation, and underground pipeline drainage technology because of their significant contribution to reducing the buildup of toxic ions in the soil and improving the physical conditions of saline–alkaline land [9,10]. Apart from reducing the negative effects of salinity on the ecosystem, the application of combined water management strategies and organic matter enrichment for the improvement of saline lands also increases the ability of arid zone soils to store carbon, creating a negative feedback loop impacting the global carbon cycle [2]. Extensive research studies have been carried out on water management techniques and organic fertilizer applications to improve soil properties in the saline–alkali soils. However, the research on microbe-driven CO2 emissions during the improvement of saline–alkali soils by combining multiple measures is limited.
Numerous studies have demonstrated that the addition of organic matter, such as straw, improves the physicochemical properties of saline soils while enhancing microbial activity and increasing CO2 emissions [11,12]. However, the application of microbial agents stimulates the deposition of microbe-derived stable carbon by accelerating the turnover of exogenous organic matter, which not only enhances the stability of the soil organic carbon pool but also effectively reduces CO2 emissions during straw decomposition and primary soil organic carbon mineralization [13,14]. Biochar, an organic material with high aromatic structure and chemical biostability, is not easily decomposed and utilized by microorganisms and has shown great potential in enhancing organic carbon stock and reducing heterotrophic respiration (Rh) in saline soils [15,16]. One of the most important constraints of salty soils is macronutrient deficiency, and the ecosystem processes in saline soils are highly affected by nitrogen availability [17]. Studies have demonstrated that nitrogen addition leads to different effects on CO2 emissions during microbial respiration by altering soil nitrogen availability and microbial community structure [18,19]. Extensive research has been carried out in China and globally on soil organic carbon and respiration in the farmland system response to the addition of organic matter such as biochar. However, an accurate understanding of CO2 emissions driven by microorganisms during the improvement of saline–alkali soils using different combinations of organic matter is limited.
Numerous studies have demonstrated that water management can significantly improve soil physicochemical properties [20] by reducing the electrical conductivity (EC) and sodium sorption ratio (SAR) of saline soils [21] and increasing microbial biomass and microbial respiration [22], all of which are effective measures for improving soil organic carbon storage in saline soils. A key factor influencing both positive and negative feedback changes in the climate–carbon cycle is the availability of water, and under warmer conditions, generally, wet soil conditions stimulate net soil carbon uptake (negative feedback) [23]. Soil respiration increases with increasing moisture [24], but in humid environments, when soil moisture is saturated or flooded, the continuous rise in soil moisture restricts O2 diffusion and lowers CO2 generation [25]. This is mainly attributed to the different sensitivity of soil respiration components to soil moisture [3,26]. Although extensive research has been carried out on soil respiration in agricultural ecosystems and other ecosystems under effective water management strategies, the understanding of the impact of water management measures on microbe-driven CO2 emissions in the current methods of remediation of saline–alkali soil is limited.
Extensive studies have demonstrated that additional applications of organic matter such as straw can affect microbial biomass, diversity, composition, and structure by causing changes in the soil physicochemical properties [27,28]. Soil microorganisms play dual and contrasting roles in the decomposition and mineralization of organic matter and the transformation of carbon input into stable organic forms [14]. By several ecological processes, such as the uptake and release of nutrients such as carbon in various forms, soil microbes play significant roles in determining the turnover of soil organic matter and climate feedback mechanisms [29,30]. Microbial community composition, along with microbial diversity and biomass, are significant microbial indicators for predicting soil CO2 flux [31,32]. However, the effects of organic matter addition and water management measures on microbe-driven CO2 emissions during the improvement of saline–alkali soil still remain unclear.
Formulating management measures to promote carbon storage in dryland soils and reducing the risk of salinization require a deeper comprehension of the effects of organic matter application and water regulation on CO2 emission in the saline–alkali soil improvement process, as well as their biological and abiotic driving mechanisms. Therefore, a 150-day indoor incubation experiment was conducted in the saline–alkaline soil of Songnen Plain, China. The major objectives of this study were to determine the changes in microbe-driven CO2 emission in saline–alkali soil at different water saturations and with different organic additives; to determine the effects of different water saturations and organic additives on the microbial community in the saline–alkali soil; and to explore the biological and abiotic regulation mechanisms driving CO2 emissions from the saline–alkali soil at different water saturations and with different organic additives.
2. Materials and Methods
2.1. Properties of Soil and Organic Additives
Topsoil (0–20 cm) was collected for incubation experiments in November 2019 from a saline field located in Dulbert County, Heilongjiang Province, China (46°48′56″ N, 124°29′44″ E). The area is located in the middle and western parts of the Songnen Plain, with a mid-temperate continental climate and an average annual air temperature of 4 °C and precipitation of 400 mm. The soil samples were air-dried, cleaned by removing glass roots, crushed, homogenized, and passed through a 2 mm sieve. The soil contained 8.56 g kg−1 total carbon, 0.11 g kg−1 total nitrogen, 1.28 g cm−3 bulk density, and 12.08 g kg−1 dissolved total salt, with a pH of 10.07. The soil texture was sandy loam with 75.63% sand (0.02–2 mm), 16.38% silt (0.002–0.02 mm) and 7.98% clay (<0.002 mm).
In the western part of the Songnen Plain, rice is being grown as a practical way to utilize saline land [33]. However, a lot of straw resources were not used in a sensible way during the cultivation of rice, and there were practices such as burning that polluted the environment [34]. We gathered rice straw from Dulbert County as a follow-up addition experiment so that we could take full advantage of the plentiful local saline and rice straw resources. Furthermore, it has been demonstrated that biochar made at higher pyrolysis temperatures has a larger surface area and a higher amount of aromatic carbon [35], which lowers soil CO2 emissions after biochar addition and helps to improve soil carbon storage [36,37]. So, we settled on 500 °C as the pyrolysis temperature to produce biochar. Urea was obtained from Harbin Flower and Fish Market. The basic properties of the modifiers were determined by an elemental analyzer (Thermo Flash EA-1112, Costa Mesa, CA, USA) and a fully automatic specific surface area and pore size distribution analyzer (Autosorb-iQ, Boynton Beach, FL, USA) (Table 1). The above soil additives were prepared for use by crushing and passing through a 2 mm sieve. The microbial agent utilized was W-18 straw decomposer, made of Bacillus subtilis, Bacillus megaterium, and jelly-like Bacillus, with an effective viable count ≥ 2.0 × 108 mL−1, created by Heilongjiang Huxufeng Ecological Technology Company (Harbin, China).
Table 1.
Basic properties of soil additives (mean ± SD, n = 3).
2.2. Experimental Design and Measurement of Soil CO2 Emissions
Soil incubation experiments were established after pre-incubating the soil at 30% and 50% water-filled pore space (WFPS) under a soil temperature of 15 °C for 10 days for stabilization of the native soil microbial community [38]. The whole incubation experiment was divided into two parts: gas collection and soil physics and chemistry. The gas was collected in a 250 mL headspace bottle with a butyl rubber stopper containing 30 g of dry soil, while the soil physics and chemistry were determined in a 1 L glass wide-mouth bottle containing 200 g of dry soil. Each soil portion was subjected to two moisture saturations, five organic matter treatments, and three repetitions of each treatment.
The incubation experiments were set up with five organic material addition treatments: CK: control; N: urea; SN: straw + urea; SNH: straw + urea + microbial agent; and SNB: straw + urea + biochar, in which urea, rice straw, and biochar were added to the culture system at a ratio of 0.18 mg g−1, 3.73 mg g−1, and 7.67 mg g−1 of dry soil, respectively. The proportion of rice straw added was based on the full amount of local rice straw returned to the field of 958.65 g m−2 and the soil bulk density of the surface layer (0–20 cm) of saline soils; urea was added according to 5% of the added mass of straw; and the amount of biochar added was based on the recommended 2000 g m−2 addition rate and soil capacity conversion. The study by Song et al. suggested a biochar application rate of 2000 g m−2 to deal with rising atmospheric CO2 concentrations, which is effective for resolving the challenges caused by climate change [39]. Urea was dissolved and added to the soil as a solution in order to thoroughly mix the nitrogen fertilizer (urea) with the soil that had been pre-incubated with different WFPS.The soil moisture was set to 50% WFPS and 80% WFPS at the start of the incubation experiment, and deionized water was added every 7 days to maintain the soil moisture constant according to the mass loss (the mouth of the bottle was covered with tin foil to reduce evaporation and ensure normal gas exchange). The temperature settings were based on the monthly average soil temperature at 20 cm depth from May to September, i.e., the growing season in Dulbert soil, thus simulating the natural warming during the growing season (temperature data were obtained from the daily ground temperature profiles of the Dulbert weather station in Heilongjiang Province from 2001 to 2010).
Soil CO2 emissions were collected at the start of the incubation period, i.e., day 0 followed by days 4 and 7, and once a week thereafter for 147 days. At each gas sampling date, the headspace of each tank was first purged with fresh air for about 30 min, and the bottles were then sealed with caps fitted with plug valves and butyl rubber plugs. Headspace gas samples of 20 mL were obtained after 0 h, 1 h, and 3 h of sealing using a gas-tight syringe. CO2 concentrations were quantified using gas chromatography (GC, Agilent 7890A, Santa Clara, CA, USA) with a flame ionization detector (FID). Soil CO2 emission rates were calculated based on the changes in the gas concentrations over time. Soil cumulative CO2 emissions were calculated based on the existing methods [40].
2.3. Soil Physicochemical and Microbial Sequencing Analysis
The soil samples were subjected to destructive techniques before and after culturing to determine their physical and chemical properties. Soil organic carbon was determined using a carbon and nitrogen analyzer (Multi C/N 3100, Germany). Labile organic carbon (LOC) was determined using a 333 mol.L−1 potassium permanganate oxidation method [41]. Ammonium (NH4+-N), nitrate (NO3−-N), and total dissolved nitrogen (TDN) were determined using an intermittent flow analyzer (SKALAR SAN++, Delft, The Netherlands). Inductively coupled plasma mass spectrometry (ICP-MS, Agilent 7500CX, Santa Clara, CA, USA) was used for the analysis of basic soil cations (K+, Ca2+, Na+, and Mg2+) extracted using ammonium acetate [3]. The pH was determined in a soil–water suspension (1:2.5 w/v) using an acidity meter (PHSJ-3F, China); the total dissolved soil salts (TSS) content was measured according to the mass method [42]. Briefly, the 1:5 w/v soil–water extract was evaporated in a water bath, and the organic matter was removed from the soil–water extract with hydrogen peroxide solution, dried at 105 °C, and weighed using an electronic balance (Sartorius BSA224S, Germany) for calculation. The soil samples were collected from CK and N treatment groups at the start and end of the incubation period and stored at −80 °C for subsequent microbiological analysis.
The soil samples were sent to Personal Biotechnology Ltd. for deoxyribonucleic acid (DNA) extraction and PCR amplification (Shanghai, China). Deoxyribonucleic acid was extracted from three replicates of each soil sample. The extracted deoxyribonucleic acid quality was checked by 1.2% agarose gel electrophoresis and spectrophotometry (ratio of optical density at 260 nm and 280 nm and ratio of optical density at 260 nm and 230 nm). 16S rRNA V3–V4 and fungal ITS1 variable region were sequenced using the NovaSeqPE250 sequencing platform (Illumina, San Diego, CA, USA). Bacterial 16S rRNA was amplified using 338F (5′-ACTCCTACGGGAGGCAGCAG-3′) and 806R (5′-GGACTACHVGGGTWTCTAAT-3′), while the fungal ITS1 gene region was amplified using ITS1 (5′-GGAAGTAAAAGTCGTAACAAGG-3′) and ITS2 (5′-GCTGCGTTCTTCATCGATGC-3′) primers. The PCR procedure followed was initial denaturation at 98 °C for 2 min, denaturation at 98 °C for 15 s, annealing at 55 °C for 30 s, extension at 72 °C for 30 s, final extension at 72 °C for 5 min, and hold at 10 °C for 25–30 cycles. The amplicon mixture (25 μL) was applied to the NovaSeqPE250 sequencing platform and consisted of 5× reaction buffer (5 μL), 5× GC buffer (5 μL), 2.5 mM dNTP (2 μL), 10 µM forward primer (1 μL), 10 µM reverse primer (1 μL), deoxyribonucleic acid template (2 μL), ddH2O (8.75 μL), and Q5 deoxyribonucleic acid polymerase (0.25 μL). The community deoxyribonucleic acid fragments were then sequenced in the Illumina double-end (paired-end) sequencing platform according to the standard protocol. The DADA2 method of QIIME2 (2019.4) was used for de-priming, mass filtering, denoising, splicing, and chimerization [43]. High-quality sequences were clustered at a 97% similarity level using Usearch software (v2.13.4 Linux x86 64) and Cutadapt (v2.3) [44]. 16S rRNA and ITS gene sequences were compared to the Silva database and UNITE database using QIIME 2′s classify-sklearn algorithm for their species annotation [45].
2.4. Statistical Analysis
Soil physicochemical properties (pH, total dissolved soil salts, and basic cations, namely, K+, Ca2+, Na+, and Mg2+), soil carbon and nitrogen fractions, cumulative CO2 emissions, and the Chao1 and Shannon indices of bacteria and fungi were analyzed with a two-way analysis of variance (ANOVA). Duncan’s multiple range test was used for testing the significance levels at p = 0.05. The graphs and plots were prepared using the package “ggplot2” in R v4.2.3. Before analysis, the Shapiro–Wilk test was applied to check if the data were normally distributed, and the results indicated that the data followed a normal distribution.
Redundancy analysis (RDA) of the gene cloud (https://www.genescloud.cn, accessed on 18 April 2023) was used to examine the link between soil characteristics and the composition of the soil microbial community (bacterial and fungal). Further, the correlation between soil properties and the relative abundance of bacteria and fungi at the class level was examined using the package “corrplot” in R v4.2.3. A structural equation model (SEM) was constructed using the package “lavaan” in R v4.2.3.
3. Results
3.1. Soil Physical and Chemical Properties
Compared with the contents in saline–alkali soil at 50% WFPS, the soil organic carbon and labile organic carbon contents in the soil at 80% WFPS increased by 9.66% and 3.56 times, respectively, but the total dissolved nitrogen, NH4+-N, and NO3−-N contents decreased by 15.08%, 12.55%, and 4.77%, respectively. The 80% WFPS reduced total dissolved soil salts and Ca2+ content by 29.05% and 8.49%, respectively, when compared with the 50% WFPS group. The basic physical and chemical properties of soil are shown in Table 2. The addition of soil amendments with different characteristics (SAC) significantly increased the soil organic carbon content in saline–alkali soil, with SNH and SNB increasing the soil organic carbon content by 5.58% and 48.61%, respectively (p < 0.001) when compared with CK and SN treatment reducing labile organic carbon content by 42.18%. The addition of soil amendments with different characteristics (SAC) significantly increased NO3−-N supply in the saline–alkali soil when compared with CK, with the NO3−-N content in the N, SN, SNH, and SNB groups increasing by 70.07%, 65.50%, 60.36%, and 62.97%, respectively (p < 0.001).
Table 2.
Effects of different treatments on soil properties after 150 days of incubation (mean ± SD, n = 3).
3.2. Soil CO2 Emissions
The indoor incubation experiments demonstrated that the addition of soil amendments with different characteristics (SAC) and enhanced soil moisture (WFPS) significantly increased the CO2 flux on the last day of the experiment as well as the cumulative CO2 emission throughout the incubation period (p < 0.001) (Figure 1, Table 3). The CO2 flux and cumulative CO2 emission at 80% WFPS increased by 63.75% and 27.66%, respectively, when compared with those at 50% WFPS, while the CO2 fluxes of SN, SNH, and SNB increased by 72.53%, 38.28%, and 2.53%, respectively, when compared with those of CK. However, the CO2 flux of SN significantly decreased with the application of microbial agents and biochar. When compared with those of CK, the cumulative CO2 emissions of N, SN, SNH, and SNB increased by 5.49%, 75.48%, 49.30%, and 27.41% respectively, while the application of microbial inoculum and biochar decreased the cumulative CO2 emissions of SN by 14.92% and 27.39%, respectively. At day 30 of incubation, the cumulative CO2 emission rate increased significantly in all treatment groups as the incubation temperature was adjusted (increased) and leveled off thereafter. Analysis of variance showed that CO2 emissions in the saline–alkali soil were significantly affected by the addition of soil amendments with different characteristics (SAC), enhanced soil moisture (WFPS), and their interactions (p < 0.01) (Table 3).
Figure 1.
The cumulative CO2 emissions from soil samples at different treatments (n = 3). CK, control treatment; N, urea; SN, straw + urea; SNH, straw + urea + microbial agents; SNB, straw + urea + biochar; WFPS, different water saturations. (a,b) respectively, indicate the cumulative CO2 emissions for each treatment group at 50% WFPS and 80% water saturation.
Table 3.
The effects of different treatments on the Chao1 and Shannon indexes from bacteria and fungi and the CO2 flux on the last day of the experiment as well as the cumulative CO2 emission throughout the incubation period in saline–alkali soil (mean ± SD, n = 3).
3.3. Soil Microbial Community
The fungal Chao1 and Shannon indices of soil at 80% WFPS decreased by 27.21% and 24.56%, respectively (p < 0.01; Table 3), when compared with those of soil at 50% WFPS, while the bacterial Shannon index of the SNH group decreased by 2.9% when compared with that of CK. The fungal Chao1 index of N, SN, SNH, and SNB groups decreased by 3.83%, 29.38%, 50.77%, and 36.63%, respectively, while the fungal Shannon index decreased by 2.10%, 21.44%, 51.84%, and 41.63%, respectively, when compared with that of CK.
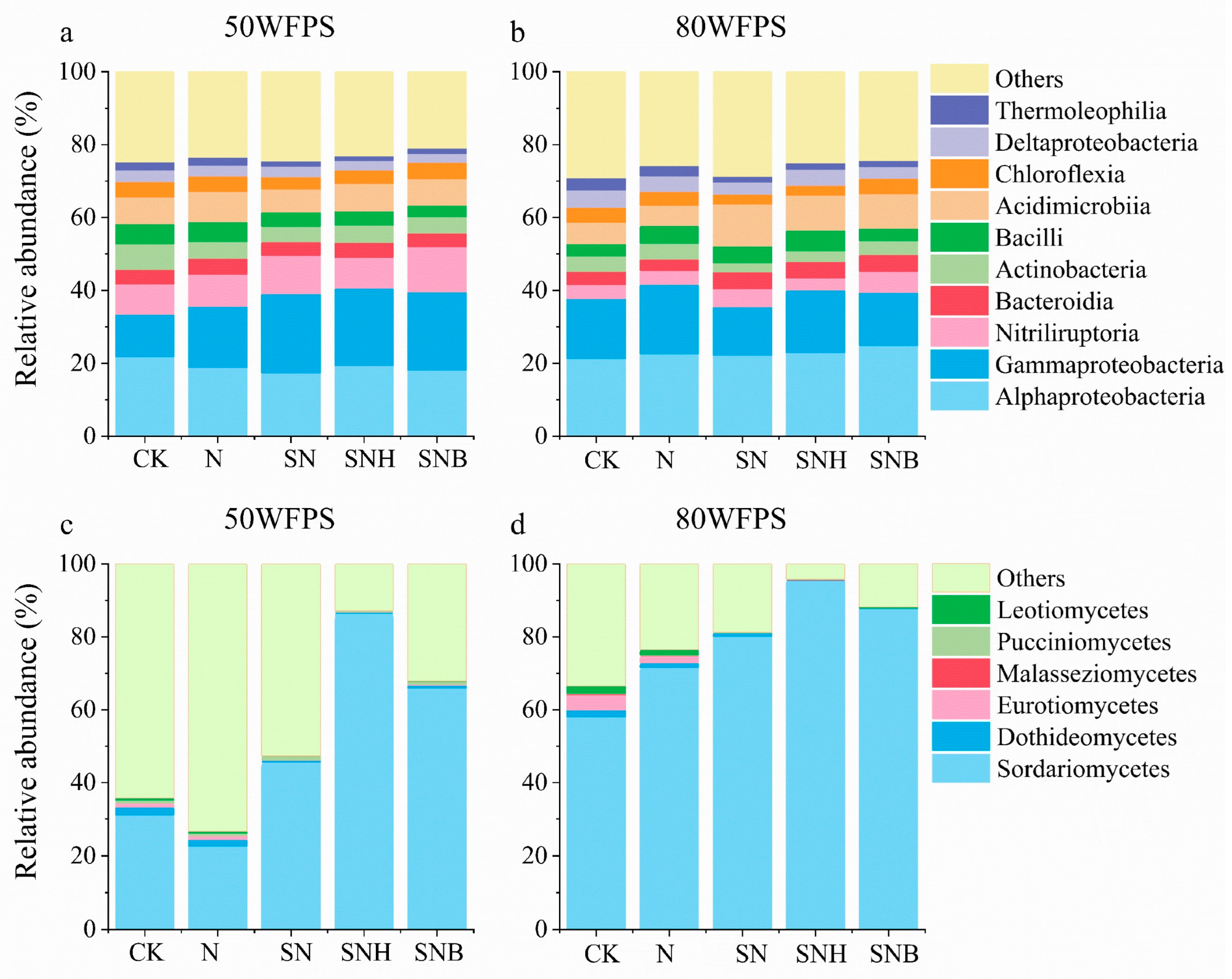
Alphaproteobacteria and Gammaproteobacteria were the dominant classes in the bacterial community of each treatment group, accounting for about 36% of the total bacterial abundance, while Sordariomycetes was the dominant class in the fungal community of the samples, accounting for about 50.3% of the total fungal abundance. The 80% WFPS increased the relative abundance of Alphaproteobacteria, Acidimicrobiia, Deltaproteobacteria, Thermoleophilia, Subgroup_6, Longimicrobia, Sordariomycetes, and Leotiomycetes, but decreased the relative abundance of Nitriliruptoria, Actinobacteria, Bacilli, Chloroflexia, and Pucciniomycetes (Figure 2). The addition of soil amendments with different characteristics (SAC) enhanced the relative abundance of Acidimicrobiia, Nitriliruptoria, Anaerolinea, and Sordariomycetes but reduced the relative abundance of Bacteroidia, Actinobacteria, Bacilli, Chloroflexia, Deltaproteobacteria, Thermoleophilia, Subgroup_6, Longimicrobia and Dothideomycetes, Eurotiomycetes, and Leotiomycetes (Figure 2).
Figure 2.
Relative abundances of bacteria (a,b) and fungi (c,d) at the class levels (over 1%) from all treatment groups on Day 150. CK, control treatment; N, urea; SN, straw + urea; SNH, straw + urea + microbial agents; SNB, straw + urea + biochar; WFPS, water-filling pore structure.
3.4. Relationship between CO2 Emissions and Soil Physicochemical Properties and Microbial Communities
In RDA, the combination of variables could explain 34.52% of the variations in bacterial (Figure 3a) and 54.6% in fungal (Figure 3b) communities. WFPS, total dissolved soil salts (TSS), and total dissolved nitrogen (TDN) had comprehensive impacts on the bacterial and fungal community composition (p < 0.05, Figure 3a,b). NH4+-N was negatively correlated with WFPS and labile organic carbon (LOC), thus significantly affecting the bacterial community (p < 0.01, Figure 3a). Cumulative CO2 emission was positively correlated with NO3−-N and pH, thus significantly affecting the fungal community (p < 0.01, Figure 3b). The results of Spearman correlation analysis indicated that CO2 emission had a significant positive relationship with soil moisture (WFPS), soil amendments with different characteristics (SAC), and pH (p < 0.05, Figure 4) at the end of the incubation period. However, it demonstrated a strong negative association with the fungal Chao1 and Shannon indices (p < 0.05). In addition, CO2 emission was positively correlated with the relative abundance of Bacteroidia, Acidimicrobiia, Anaerolineae, Subgroup_6, and Sordariomycetes (p < 0.05), but negatively correlated with the relative abundance of Actinobacteria, Thermoleophilia, Nitriliruptoria, Dothideomycetes, and Eurotiomycetes (p < 0.05).
Figure 3.
A redundancy analysis and a random displacement nonparametric test of the community composition of bacteria (a) and fungi (b) at the class level were conducted, along with soil properties, in the saline-alkali soil (p < 0.01). CK, control treatment; N, urea; SN, straw + urea; SNH, straw + urea + microbial agents; SNB, straw + urea + biochar; WFPS, water-filling pore structure; W + soil amendments with different characteristics (SAC) groups indicate groups at 80% WFPS.
Figure 4.
Heat map of the correlation analysis between microbial diversity index, soil physicochemical properties, and CO2 emission at the class level of bacteria (a) and fungi (b) at the end of culture (* p < 0.05, ** p < 0.01, *** p < 0.001).
SEM models can explain 73% and 96% of the variations in CO2 fluxes and cumulative CO2 emissions in saline–alkali soils, respectively (Figure 5a). WFPS, pH (R2 = 0.16), and the fungal Shannon index (R2 = 0.77) demonstrated significant direct positive effects on CO2 fluxes (R2 = 0.73). Soil amendments with different characteristics (SAC) also had indirect positive effects on CO2 fluxes by influencing pH and the fungal Shannon index, while the fungal Chao1 index (R2 = 0.80) had direct negative effects on CO2 fluxes (p < 0.05) and cumulative CO2 emissions (R2 = 0.96) through CO2 fluxes. Soil amendments with different characteristics (SAC), NO3−-N content (R2 = 0.36), and CO2 fluxes all demonstrated direct positive effects on the cumulative CO2 emissions (p < 0.01), while WFPS, pH, and the fungal Shannon index all demonstrated indirect positive effects on cumulative CO2 emissions through CO2 fluxes.
Figure 5.
Structural equation model based on the effects of culture conditions, soil physicochemical properties, and fungal alpha diversity index on CO2 flux and cumulative CO2 emission in the saline-alkali soil (a), and SEM-based standardized total effect on soil CO2 flux and cumulative CO2 emission (b). The blue line and red line indicate significant positive correlation and negative correlation, respectively (p < 0.05), and the dashed line indicates a potential non-significant path. Numbers on arrows indicate standardized path coefficients (* p < 0.05, ** p < 0.01, and *** p < 0.001). The black double arrows indicate the covariance between exogenous variables. R2 denotes the total variance of the dependent variables explained by the model. SAC, soil amendments with different characteristics; WFPS, water-filled pore space; FC, fungal Chao1 index; FS, fungal Shannon index.
The SEM model demonstrated that soil amendments with different characteristics (SAC), WFPS, pH, and fungal Shannon and Chao1 indices had comprehensive effects on CO2 flux and cumulative CO2 emission in the saline–alkali soils (Figure 5b). Generally, the increase in soil amendments with different characteristics (SAC), WFPS, pH, and the fungal Shannon index promoted CO2 flux and cumulative CO2 emissions, while the increase in the fungal Chao1 index decreased CO2 flux and cumulative CO2 emissions. In addition, the increase in NO3−-N content and CO2 flux in soils significantly stimulated the increase in cumulative CO2 emissions.
4. Discussion
4.1. CO2 Emissions from the Saline–Alkali Soil
Water availability is one of the primary drivers of positive and negative feedback changes in the climate–carbon cycle and soil carbon flux in the drylands [23]. In this study, it was observed that the cumulative CO2 emission in the 80% WFPS group increased by 27.66% when compared with that in the 50% WFPS group (Figure 1), which was in agreement with the previous research results [24]. Similar to a majority of previous studies conducted in arid regions, this study focused entirely on CO2 emission from saline–alkali soil during non-flooded incubation. Water is one of the key limiting factors in arid regions, and during dry periods, the feedback of the soil carbon cycle is particularly sensitive to the soil moisture-precipitation [2,23]. Rainfall or an increase in water content willresult in rapid microbial respiration and accumulation of accessible substrate in dry soil, resulting in enhanced microbial biomass and activity as well as considerable CO2 emissions [25]. However, the rise in soil microbial respiration because of the rainfall episodes was relatively moderate. Microbial activity and CO2 flow can decline from the restricted O2 diffusion as the soil moisture levels increase till they reach saturation or submersion [3,46]. In addition, it was observed that 80% WFPS significantly increased the relative abundance of Sordariomycetes and Subgroup_6, which demonstrated a significant positive correlation with CO2 emissions (p < 0.05, Figure 2 and Figure 4) and was consistent with a previous study [47]. Sordariomycetes and Subgroup_6 have been shown to play key roles in the carbon cycle [48]. Rainfall or water management can indirectly affect microbial community composition and CO2 emissions by regulating soil aeration [49], carbon and nitrogen availability [50], salinity [20], and other soil characteristics [51]. The results indicated that 80% WFPS enhanced water availability in the saline–alkali soil, which could not only stimulate microbial activity directly but also increase the relative abundance of Sordariomycetes and Subgroup_6 related to SOM decomposition. This might be an important reason for an increase in microbe-driven CO2 emissions owing to the increase in water under non-flooded conditions.
The characteristics of exogenous organic additives are the key factors determining the changes in CO2 flux during the process of soil improvement [16]. It was observed that different organic additives significantly increased cumulative CO2 emissions in the saline–alkali soil when compared with those in the CK group (Figure 1), which was in agreement with the results from a previous study [17]. Bhattacharyya reported that CO2 emissions were affected by the amount of exogenous organic matter added and carbon stability [52]. It is noteworthy that SN treatment significantly reduced the labile organic carbon content of the soil while resulting in the highest amount of cumulative CO2 emissions (Table 2 and Table 3). This may be attributed to the low stability of straw carbon. As straw carbon has rich energy and low specific surface area, it weakly combines with soil minerals and is easily utilized by the soil microorganisms, thereby rapidly releasing into the atmosphere in the form of CO2, which is not conducive to the formation of stable carbon in soil [53]. The input of organic matter with poor stability may aggravate the mineralization process of native SOM, leading to a positive priming effect [54]. However, the application of microbial agents, as one of the effective strategies for climate change mitigation, can accelerate the process of natural carbon stabilization [55]. Studies have demonstrated that the application of microbial agents in conjunction with soil organic additives, such as the addition of straw to the soil, might significantly lower CO2 emissions [13], which was also observed in this study. The microbial agents can accelerate the decomposition and transformation of straw C [56], increase microbial biomass, improve the turnover rate of exogenous organic matter, stimulate the production of more microbial residues and stable microbial carbon [14], and effectively reduce CO2 emissions [13]. The availability of carbon substrate and temperature have a greater impact on soil heterotrophic respiration [57]. Previous research has demonstrated that global CO2 emissions frequently rise in response to rising temperatures [58]. This is consistent with what we have seen. The cumulative CO2 emission rate was found to significantly rise for each treatment group between days 30 and 60 of incubation. This might be connected to our heightened incubation temperature on day 30 (simulated warming of the growth season). The increase in soil temperature promotes microbial activity, speeds up the breakdown of organic materials in the soil, and raises CO2 emissions [57]. In addition, we observed a slower rate of increase in cumulative CO2 emissions for each treatment group after day 60. This may be related to the increase in temperature in the previous period, which caused a decrease in decomposition efficiency because of the rapid consumption of the more microbially accessible carbon fraction of the soil and the more decomposable fraction of the exogenous organic matter by microorganisms [59,60].
In this study, it was observed that the application of biochar (SNB) significantly reduced cumulative CO2 emissions from SN treatment groups (Figure 1), which was consistent with the results from previous studies [15,16]. Because of its rich carbon, large specific surface area (SSA), high porosity, and aromatic structure, biochar can effectively impede the return of photosynthetically fixed carbon to the atmosphere and is considered a potential management practice to increase soil carbon storage and reduce CO2 emission [16]. In addition, the SEM results also demonstrated that CO2 fluxes and cumulative CO2 emissions in the saline–alkali soils were significantly regulated by the characteristics of soil organic additives (Figure 5). The study results indicated that a combination of microbial inoculum and biochar can significantly reduce labile organic carbon (LOC) loss and cumulative CO2 emissions in SN treatment. Additionally, the addition of soil amendments with different characteristics (SAC) increased the soil’s porosity and connectedness, boosting the number of big pores while lowering the bulk density (BD) of the soil [61]. Previous research has demonstrated that a drop in bulk density typically results in an increase in CO2 emissions [62,63]. This is because enhanced soil porosity increases oxygen flux and aerobic microbial activity in the soil.
Large levels of soil inorganic carbon (SIC) in the form of carbonates are found in arid and semi-arid soils [64]. In calcareous soils, carbonate dissolution may be a significant source of CO2 emissions [65]. The percentage of inorganic carbon (SIC) in surface calcareous soils that contributes to overall CO2 emissions can range from 15% to 30% [64,66], according to a number of earlier studies. The effectiveness of Ca2+ or Mg2+, the pH of the soil solution, the degree of CO2 partial pressure in the soil pore space, and other factors all affect carbonate dissolution [64,67,68]. In arid and semi-arid environments, soil inorganic carbon (SIC) concentration has been demonstrated to increase with irrigation or soil moisture [69]. Under dry conditions, an increase in soil moisture encourages microbial respiration and raises the CO2 content of the soil. Increased CO2 concentration encourages the creation of HCO3− and H+, which may drive soil carbonate breakdown and cause the release of CO2 from inorganic salts when combined with suitable moisture conditions. This may be yet another significant factor contributing to the rise in cumulative CO2 emissions in the 80% WFPS treatment group. Arid areas can store more organic and inorganic carbon through agricultural practices such as applying organic matter, according to several studies [67,70]. However, some research indicates that both mineral and organic fertilizers, particularly nitrogen fertilizers (urea), may increase soil acidification, which might hasten carbonate dissolution and the release of CO2 from inorganic carbon sources [67,71]. The impact of various water management strategies and the enrichment of organic fertilizers on CO2 emissions from sources of inorganic carbon in arid and semi-arid regions requires further investigation in order to be revealed and quantified.
4.2. Soil Microbial Community
Soil microbial diversity and community composition were affected by water management measures through the regulation of soil carbon and nitrogen substrates, water availability, pH, and other physicochemical properties [20,49,50]. The experimental results in this study demonstrated that the increase in water content (WFPS) significantly reduced the fungal Chao1 and Shannon indices (p < 0.01; Table 3), which was consistent with the results observed by McHugh et al. [72]. Several precipitation or water management techniques have distinct effects on the fungal alpha diversity index [72,73]. This is because water quality and water management techniques may have an impact on the responses of diverse microbial communities to soil water availability [74]. We discovered that 80% WFPS decreased the relative abundance of Nitriliruptoria and Actinobacteria, which demonstrated a significant positive correlation with total dissolved soil salts (TSS) while increasing the relative abundance of Deltaproteobacteria, Thermoleophilia, Subgroup_6, and Longimicrobia, which demonstrated a significant negative correlation with pH and total dissolved soil salts (TSS) (p < 0.05, Figure 2 and Figure 4). This was consistent with the results observed in some previous studies [75,76], and maybe occurred because of different strategies by which soil microorganisms living in water-managed environments respond to salinity and alkalinity stress [77]. RDA revealed that WFPS showed a weak negative correlation with pH, which had a significant impact on the composition of the fungal community but was negatively correlated with total dissolved soil salts (TSS) (p < 0.05), which had a significant impact on the bacterial and fungal community composition in the saline–alkaline soil (Figure 3). Saline–alkali stress can alter the osmotic pressure of the extracellular water of microorganisms and result in water loss from cells, which in turn has a toxic effect on the soil microbial cells [78]. However, precipitation or a reasonable water management system can effectively alleviate the soil alkalization stress [79] and reduce the pressure of soil salinity on the metabolism and growth of microorganisms [3]. However, this may reduce the competitive advantage of L-strategists (i.e., tolerance to saline–alkali stress) [77]. The study results demonstrated that 80% WFPS could effectively reduce the stress of salinity and pH on microorganisms. However, it would lead to the loss of the advantage of L-strategists to a certain extent, which might be an important reason for the decline in the α diversity of the fungal community in the saline–alkali soil.
Microbial diversity in the saline–alkali soil showed both positive and negative feedback to the addition of exogenous organic matter [80,81]. This was mainly attributed to the characteristics of soil organic additives (pH, C:N ratio, etc.) and the response of soil properties to the addition of organic matter [82]. It was observed that when compared with CK, SNH and SNB treatments increased the supply of soil organic carbon and NO3−-N in the saline–alkali soil (Table 2) and significantly reduced the fungal Chao1 and Shannon indices (p < 0.01, Table 3). There was also a significant reduction in the bacterial Shannon index of SNH-treated soil (p < 0.05), which was consistent with the results from the previous studies [80,83]. With the addition of exogenous organic matter, saline areas will receive more carbon and nitrogen substrates, which will improve their nutrient-deficient circumstances. According to the evolutionary game concept, an enhancement in the availability of nutrients in the environment could cause microbes to switch from their initial cooperative style of resource mitigation to a competitive one [83]. Additionally, changes in environmental factors (such as pH) brought about by improved nutritional circumstances led to more harmful interactions between microbial species, which ultimately resulted in a loss of microbial diversity [84]. In addition, it was observed that SN treatment significantly reduced the labile organic carbon content (Table 2), while labile organic carbon significantly affected the bacterial community (p < 0.01, Figure 3a). Fu and Zhong reported that soil microbial communities are influenced by the characteristics of exogenous organic matter and the ability of microorganisms with different growth strategies to utilize fragile and stubborn carbon matrices [85,86]. In this study, it was observed that soil amendments with different characteristics (SAC) were positively correlated with the relative abundance of Sordariomycete and Acidimicrobiia (p < 0.05, Figure 4), which was consistent with the results observed in a previous study [87]. However, the results of Han et al. indicated that fertilization reduced the relative abundance of fungi such as Sordariomycetes in a corn field, which was different from this study results [88]. Soil type, fertilization methods, and negative interspecific interactions between microbial species under high nutrient circumstances may all be factors in the decline in the relative abundance of species such as Sordariomycetes. Under oligotrophic conditions, microorganisms tend to cooperate to alleviate resource constraints, while under eutrophic conditions, slow-growing k-strategists (oligotrophic or balanced species) are replaced by fast-growing r-strategists (symbiotic or opportunistic species) [83]. In this study, the results demonstrated that the addition of soil amendments with different characteristics (SAC) increased the carbon and nitrogen availability of saline–alkali soil, which expanded the competitive advantage of Sordariomycetes and Acidimicrobiia participating in SOM turnover and led to the decrease in the Shannon index of bacteria and fungi and the Chao1 index of fungi to a certain extent.
4.3. Relationship between CO2 Emissions and Soil Physicochemical Properties and Microbial Communities
Soil pH is a key factor affecting the soil microbial communities and CO2 emissions [3,4]. This study observed that SN, SNH, and SNB treatments increased soil pH to varying degrees when compared with the CK group (Table 2), which may be related to the release of basic components from biochar and organic fertilizer. Previous studies have reported an increase in the basic cations (K+, Ca2+, Na+, and Mg2+) with the combined application of biochar and organic fertilizer as well as the increase in the mass of retained organic matter in the soil [89]. SEM results also demonstrated that an increase in pH enhanced CO2 flux and cumulative CO2 emissions, which was consistent with the results from a previous study [90]. This study results indicated that an increase in pH could affect the stability of soil carbon and promote CO2 emissions through the carbon use efficiency of soil microorganisms [90], the release of inorganic carbonates [91], and the interaction of adsorbed organic compounds and soil minerals [92], which was further proved by the Spearman correlation analysis. In addition, a significant negative correlation was observed between pH and the Shannon index of fungi (p < 0.05, Figure 5), which was consistent with the results from a previous study [93]. Because of the saline–alkali stress, microorganisms adapt to stress tolerance, resulting in reduced growth and biosynthesis rate, thereby decreasing microbial biomass and phylogenetic diversity [90]. Microbial diversity plays a more crucial role in regulating the soil carbon decomposition rate than abundance [52]. SEM results indicated that the fungal Shannon index had a significant positive effect on CO2 flux and cumulative CO2 emission (Figure 5b), which may be attributed to the positive biodiversity–stability relationships [94]. Higher microbial diversity usually accelerates the decomposition of native and exogenous SOM and stimulates CO2 emissions [95]. The fungal Chao1 and Shannon indices in soil treated with SNH and SNB decreased significantly when compared with those in soil treated with SN (Table 3). This might be one of the important reasons for a significant reduction in the cumulative CO2 emissions in the SN group after the application of biochar and microbial inoculum.
Soil NO3−-N content and soil nitrogen availability play important roles in regulating CO2 emissions in the saline–alkali soil [3,96]. However, the response of microbial respiration to nitrogen addition has not been elucidated and is mainly attributed to factors such as nitrogen forms, soil type, nitrogen application time, and soil nitrogen availability [17,18]. The SEM analysis in this study demonstrated that the addition of exogenous organic matter could stimulate cumulative CO2 emissions by increasing the soil NO3−-N supply (Figure 5), which was consistent with the results from studies by Luo and Bulseco et al. [96,97]. NO3−-N promotes CO2 emission and probably enhances the role of microorganisms in respiration-related processes by overcoming the limitation of microbial functional potential due to low energy (availability of electron donors) and thermodynamic limitation (availability of electron receptors) [97]. However, Ramirez et al. observed a contrasting result, hypothesizing that nitrogen input in the form of NO3−-N can reduce the respiratory rate of microorganisms [18]. This study’s results demonstrated that the increase in NO3−-N content can stimulate the microbe-driven CO2 emission in nitrogen-limiting environments, such as saline–alkali soil. Considering the uncertainty of the response of CO2 emission to nitrogen addition and nitrogen compounds in recent studies, further research is needed to explain the driving mechanism of the nitrogen supply influencing CO2 emission in saline–alkali soil subjected to water management measures.
5. Conclusions
Based on a 150-day incubation experiment, increased water content and the addition of organic matter from various sources had significant impacts on the physicochemical properties, CO2 emissions, and changes in the microbial communities of saline–alkali soil in arid regions. The 80% WFPS increased the labile organic carbon and soil organic carbon contents in saline–alkali soil to varying degrees and reduced the stress of salinity and pH on microorganisms. This expanded the competitive advantages of Sordariomycetes and Subgroup_6 related to SOM turnover, which might be an important reason for the stimulation of CO2 emissions by wetting events under non-flooded conditions. It was observed that a microbial agent and biochar decreased labile organic carbon (LOC) loss in SN treatment and concurrently decreased the fungal Chao1 and Shannon indices to varying degrees. As a result, SNH and SNB treatments produced much less CO2 than the SN treatment. Additionally, SEM findings revealed a substantial positive association between the fungal Shannon index and CO2 emission. The results of this study indicated that 80% WFPS with SNH (straw + urea + microbial agent) and SNB (straw + urea + biochar) could reduce the loss of labile organic carbon and CO2 emissions under straw carbon input, as well as the pressure of soil salinity on microorganisms, and this method has positive significance in improving the carbon storage of saline–alkali soil in arid regions.
Author Contributions
Writing—original draft preparation, P.Z.; visualization, P.Z. and Z.J.; writing—review and editing, methodology, X.W. and Q.L.; software, Y.L. (Yue Lin); data curation, Y.Z.; investigation, X.Z., Y.L. (Yi Liu) and S.W.; conceptualization, supervision and funding acquisition, S.Z. All authors have read and agreed to the published version of the manuscript.
Funding
This research was supported by the Key Joint Program of the National Natural Science Foundation of China (NSFC) and Heilongjiang Province for Regional Development (U20A2082), the National Natural Science Foundation of China (No. 41971151), the Natural Science Foundation of Heilongjiang Province of China (No. TD2019D002), and the Doctoral Innovation Foundation of Harbin Normal University (No. HSDBSCX2020-01).
Data Availability Statement
The data presented in this study are available on request from the corresponding author.
Acknowledgments
Thanks to Zhiyun for providing the language polishing support for this research.
Conflicts of Interest
The authors declare that they have no known competing financial interests or personal relationships that could have appeared to influence the work reported in this paper.
References
- Huang, J.; Yu, H.; Guan, X.; Wang, G.; Guo, R. Accelerated Dryland Expansion under Climate Change. Nat. Clim. Change 2016, 6, 166–171. [Google Scholar] [CrossRef]
- Lal, R. Carbon Cycling in Global Drylands. Curr. Clim. Change Rep. 2019, 5, 221–232. [Google Scholar] [CrossRef]
- Diao, H.; Chen, X.; Zhao, X.; Dong, K.; Wang, C. Effects of Nitrogen Addition and Precipitation Alteration on Soil Respiration and Its Components in a Saline-Alkaline Grassland. Geoderma 2022, 406, 115541. [Google Scholar] [CrossRef]
- Yang, C.; Wang, X.; Miao, F.; Li, Z.; Tang, W.; Sun, J. Assessing the Effect of Soil Salinization on Soil Microbial Respiration and Diversities under Incubation Conditions. Appl. Soil Ecol. 2020, 155, 103671. [Google Scholar] [CrossRef]
- Brown, R.W.; Rhymes, J.M.; Jones, D.L. Saltwater Intrusion Induces Shifts in Soil Microbial Diversity and Carbon Use Efficiency in a Coastal Grassland Ecosystem. Soil Biol. Biochem. 2022, 170, 108700. [Google Scholar] [CrossRef]
- Chenchouni, H.; Chaminé, H.I.; Khan, M.F.; Merkel, B.J.; Zhang, Z.; Li, P.; Kallel, A.; Khélifi, N. New Prospects in Environmental Geosciences and Hydrogeosciences. In Proceedings of the 2nd Springer Conference of the Arabian Journal of Geosciences (CAJG-2), Sousse, Tunisia, 25–28 November 2019; (Advances in Science, Technology & Innovation). Springer International Publishing: Cham, Switzerland, 2022. ISBN 978-3-030-72542-6. [Google Scholar]
- Chen, X.; Wu, J.; Opoku-Kwanowaa, Y. Effects of Organic Wastes on Soil Organic Carbon and Surface Charge Properties in Primary Saline-Alkali Soil. Sustainability 2019, 11, 7088. [Google Scholar] [CrossRef]
- Fatima, S.; Riaz, M.; Al-Wabel, M.I.; Arif, M.S.; Yasmeen, T.; Hussain, Q.; Roohi, M.; Fahad, S.; Ali, K.; Arif, M. Higher Biochar Rate Strongly Reduced Decomposition of Soil Organic Matter to Enhance C and N Sequestration in Nutrient-Poor Alkaline Calcareous Soil. J. Soils Sediments 2020, 21, 148–162. [Google Scholar] [CrossRef]
- Dingre, S. Enhancing Sugarcane Productivity through Scientific Irrigation Water Management in Western India. Proc. Natl. Acad. Sci. India Sect. B Biol. Sci. 2023, 93, 301–309. [Google Scholar] [CrossRef]
- Heng, T.; Liao, R.; Wang, Z.; Wu, W.; Li, W.; Zhang, J. Effects of Combined Drip Irrigation and Sub-Surface Pipe Drainage on Water and Salt Transport of Saline-Alkali Soil in Xinjiang, China. J. Arid Land 2018, 10, 932–945. [Google Scholar] [CrossRef]
- Badía, D.; Martí, C.; Aguirre, A.J. Straw Management Effects on CO2 Efflux and C Storage in Different Mediterranean Agricultural Soils. Sci. Total Environ. 2013, 465, 233–239. [Google Scholar] [CrossRef]
- Wang, X.; Wang, J.; Wang, J. Seasonality of Soil Respiration under Gypsum and Straw Amendments in an Arid Saline-Alkali Soil. J. Environ. Manag. 2021, 277, 111494. [Google Scholar] [CrossRef]
- Li, M.; Tang, C.; Chen, X.; Huang, S.; Zhao, W.; Cai, D.; Wu, Z.; Wu, L. High Performance Bacteria Anchored by Nanoclay to Boost Straw Degradation. Materials 2019, 12, 1148. [Google Scholar] [CrossRef]
- Liang, C.; Schimel, J.P.; Jastrow, J.D. The Importance of Anabolism in Microbial Control over Soil Carbon Storage. Nat. Microbiol. 2017, 2, 17105. [Google Scholar] [CrossRef]
- Guo, S.; Liu, X.; Tang, J. Enhanced Degradation of Petroleum Hydrocarbons by Immobilizing Multiple Bacteria on Wheat Bran Biochar and Its Effect on Greenhouse Gas Emission in Saline-Alkali Soil. Chemosphere 2022, 286, 131663. [Google Scholar] [CrossRef]
- Shi, Y.; Liu, X.; Zhang, Q.; Li, G.; Wang, P. Biochar Rather than Organic Fertilizer Mitigated the Global Warming Potential in a Saline-Alkali Farmland. Soil Tillage Res. 2022, 219, 105337. [Google Scholar] [CrossRef]
- Zhang, L.; Shao, H.; Wang, B.; Zhang, L.; Qin, X. Effects of Nitrogen and Phosphorus on the Production of Carbon Dioxide and Nitrous Oxide in Salt-Affected Soils under Different Vegetation Communities. Atmos. Environ. 2019, 204, 78–88. [Google Scholar] [CrossRef]
- Ramirez, K.S.; Craine, J.M.; Fierer, N. Nitrogen Fertilization Inhibits Soil Microbial Respiration Regardless of the Form of Nitrogen Applied. Soil Biol. Biochem. 2010, 42, 2336–2338. [Google Scholar] [CrossRef]
- Comeau, L.-P.; Hergoualc’h, K.; Hartill, J.; Smith, J.; Verchot, L.V.; Peak, D.; Salim, A.M. How Do the Heterotrophic and the Total Soil Respiration of an Oil Palm Plantation on Peat Respond to Nitrogen Fertilizer Application? Geoderma 2016, 268, 41–51. [Google Scholar] [CrossRef]
- Heng, T.; He, X.-L.; Yang, L.-L.; Xu, X.; Feng, Y. Mechanism of Saline–Alkali Land Improvement Using Subsurface Pipe and Vertical Well Drainage Measures and Its Response to Agricultural Soil Ecosystem. Environ. Pollut. 2022, 293, 118583. [Google Scholar] [CrossRef]
- Guo, K.; Liu, X. Reclamation Effect of Freezing Saline Water Irrigation on Heavy Saline-Alkali Soil in the Hetao Irrigation District of North China. Catena 2021, 204, 105420. [Google Scholar] [CrossRef]
- Li, X.; Guo, K.; Feng, X.; Liu, H.; Liu, X. Soil Respiration Response to Long-Term Freezing Saline Water Irrigation with Plastic Mulching in Coastal Saline Plain. Sustainability 2017, 9, 621. [Google Scholar] [CrossRef]
- Quan, Q.; Tian, D.; Luo, Y.; Zhang, F.; Crowther, T.W.; Zhu, K.; Chen, H.Y.H.; Zhou, Q.; Niu, S. Water Scaling of Ecosystem Carbon Cycle Feedback to Climate Warming. Sci. Adv. 2019, 5, eaav1131. [Google Scholar] [CrossRef] [PubMed]
- Zhang, B.; Li, W.; Chen, S.; Tan, X.; Wang, S.; Chen, M.; Ren, T.; Xia, J.; Huang, J.; Han, X. Changing Precipitation Exerts Greater Influence on Soil Heterotrophic than Autotrophic Respiration in a Semiarid Steppe. Agric. For. Meteorol. 2019, 271, 413–421. [Google Scholar] [CrossRef]
- Han, G.; Sun, B.; Chu, X.; Xing, Q.; Song, W.; Xia, J. Precipitation Events Reduce Soil Respiration in a Coastal Wetland Based on Four-Year Continuous Field Measurements. Agric. For. Meteorol. 2018, 256, 292–303. [Google Scholar] [CrossRef]
- Wang, Z.; Mckenna, T.P.; Schellenberg, M.P.; Tang, S.; Zhang, Y.; Ta, N.; Na, R.; Wang, H. Soil Respiration Response to Alterations in Precipitation and Nitrogen Addition in a Desert Steppe in Northern China. Sci. Total Environ. 2019, 688, 231–242. [Google Scholar] [CrossRef]
- Huang, J.; Zhu, C.; Kong, Y.; Cao, X.; Zhu, L.; Zhang, Y.; Ning, Y.; Tian, W.; Zhang, H.; Yu, Y.; et al. Biochar Application Alleviated Rice Salt Stress via Modifying Soil Properties and Regulating Soil Bacterial Abundance and Community Structure. Agronomy 2022, 12, 409. [Google Scholar] [CrossRef]
- Liu, D.; Zhang, S.; Fei, C.; Ding, X. Impacts of Straw Returning and N Application on NH4+-N Loss, Microbially Reducible Fe(III) and Bacterial Community Composition in Saline-Alkaline Paddy Soils. Appl. Soil Ecol. 2021, 168, 104115. [Google Scholar] [CrossRef]
- Cavicchioli, R.; Ripple, W.J.; Timmis, K.N.; Azam, F.; Bakken, L.R.; Baylis, M.; Behrenfeld, M.J.; Boetius, A.; Boyd, P.W.; Classen, A.T.; et al. Scientists’ Warning to Humanity: Microorganisms and Climate Change. Nat. Rev. Microbiol. 2019, 17, 569–586. [Google Scholar] [CrossRef]
- Crowther, T.W.; van den Hoogen, J.; Wan, J.; Mayes, M.A.; Keiser, A.D.; Mo, L.; Averill, C.; Maynard, D.S. The Global Soil Community and Its Influence on Biogeochemistry. Science 2019, 365, eaav0550. [Google Scholar] [CrossRef]
- Liu, Y.-R.; Delgado-Baquerizo, M.; Wang, J.-T.; Hu, H.-W.; Yang, Z.; He, J.-Z. New Insights into the Role of Microbial Community Composition in Driving Soil Respiration Rates. Soil Biol. Biochem. 2018, 118, 35–41. [Google Scholar] [CrossRef]
- Whitaker, J.; Ostle, N.; Nottingham, A.T.; Ccahuana, A.; Salinas, N.; Bardgett, R.D.; Meir, P.; McNamara, N.P. Microbial Community Composition Explains Soil Respiration Responses to Changing Carbon Inputs along an A Ndes-to- A Mazon Elevation Gradient. J. Ecol. 2014, 102, 1058–1071. [Google Scholar] [CrossRef]
- Chi, C.M.; Zhao, C.W.; Sun, X.J.; Wang, Z.C. Reclamation of Saline-Sodic Soil Properties and Improvement of Rice (Oriza sativa L.) Growth and Yield Using Desulfurized Gypsum in the West of Songnen Plain, Northeast China. Geoderma 2012, 187–188, 24–30. [Google Scholar] [CrossRef]
- Cheng, Y.; Cao, X.; Liu, J.; Yu, Q.; Zhong, Y.; Geng, G.; Zhang, Q.; He, K. New Open Burning Policy Reshaped the Aerosol Characteristics of Agricultural Fire Episodes in Northeast China. Sci. Total Environ. 2022, 810, 152272. [Google Scholar] [CrossRef]
- El-Naggar, A.; Lee, S.S.; Rinklebe, J.; Farooq, M.; Song, H.; Sarmah, A.K.; Zimmerman, A.R.; Ahmad, M.; Shaheen, S.M.; Ok, Y.S. Biochar Application to Low Fertility Soils: A Review of Current Status, and Future Prospects. Geoderma 2019, 337, 536–554. [Google Scholar] [CrossRef]
- Cheng, H.; Hill, P.W.; Bastami, M.S.; Jones, D.L. Biochar Stimulates the Decomposition of Simple Organic Matter and Suppresses the Decomposition of Complex Organic Matter in a Sandy Loam Soil. GCB Bioenergy 2017, 9, 1110–1121. [Google Scholar] [CrossRef]
- Liu, S.; Zhang, Y.; Zong, Y.; Hu, Z.; Wu, S.; Zhou, J.; Jin, Y.; Zou, J. Response of Soil Carbon Dioxide Fluxes, Soil Organic Carbon and Microbial Biomass Carbon to Biochar Amendment: A Meta-Analysis. GCB Bioenergy 2016, 8, 392–406. [Google Scholar] [CrossRef]
- Jin, Y.; Liang, X.; He, M.; Liu, Y.; Tian, G.; Shi, J. Manure Biochar Influence upon Soil Properties, Phosphorus Distribution and Phosphatase Activities: A Microcosm Incubation Study. Chemosphere 2016, 142, 128–135. [Google Scholar] [CrossRef]
- Song, X.; Pan, G.; Zhang, C.; Zhang, L.; Wang, H. Effects of Biochar Application on Fluxes of Three Biogenic Greenhouse Gases: A Meta-Analysis. Ecosyst. Health Sustain. 2016, 2, e01202. [Google Scholar] [CrossRef]
- Xin, Y.; Ji, L.; Wang, Z.; Li, K.; Xu, X.; Guo, D. Functional Diversity and CO2 Emission Characteristics of Soil Bacteria during the Succession of Halophyte Vegetation in the Yellow River Delta. Int. J. Environ. Res. Public Health 2022, 19, 12919. [Google Scholar] [CrossRef]
- Vieira, F.; Bayer, C.; Zanatta, J.; Dieckow, J.; Mielniczuk, J.; He, Z. Carbon Management Index Based on Physical Fractionation of Soil Organic Matter in an Acrisol under Long-Term No-till Cropping Systems. Soil Tillage Res. 2007, 96, 195–204. [Google Scholar] [CrossRef]
- Lu, Y.; Xu, H.; Wang, C.; Jin, Y.; Sun, Z. Improvement of the Determination Method for Total Amount of Soil Water-soluble Salts Based on Gravimetric Method. Chin. J. Soil Sci. 2022, 53, 815–820. [Google Scholar] [CrossRef]
- Callahan, B.J.; McMurdie, P.J.; Rosen, M.J.; Han, A.W.; Johnson, A.J.A.; Holmes, S.P. DADA2: High-Resolution Sample Inference from Illumina Amplicon Data. Nat. Methods 2016, 13, 581–583. [Google Scholar] [CrossRef] [PubMed]
- Rognes, T.; Flouri, T.; Nichols, B.; Quince, C.; Mahé, F. VSEARCH: A Versatile Open Source Tool for Metagenomics. PeerJ 2016, 4, e2584. [Google Scholar] [CrossRef] [PubMed]
- Bokulich, N.A.; Kaehler, B.D.; Rideout, J.R.; Dillon, M.; Bolyen, E.; Knight, R.; Huttley, G.A.; Gregory Caporaso, J. Optimizing Taxonomic Classification of Marker-Gene Amplicon Sequences with QIIME 2’s Q2-Feature-Classifier Plugin. Microbiome 2018, 6, 90. [Google Scholar] [CrossRef]
- Vidon, P.; Marchese, S.; Welsh, M.; McMillan, S. Impact of Precipitation Intensity and Riparian Geomorphic Characteristics on Greenhouse Gas Emissions at the Soil-Atmosphere Interface in a Water-Limited Riparian Zone. Water Air Soil Pollut. 2016, 227, 8. [Google Scholar] [CrossRef]
- Ye, Z.; Li, J.; Wang, J.; Zhang, C.; Liu, G.; Dong, Q. Diversity and Co-Occurrence Network Modularization of Bacterial Communities Determine Soil Fertility and Crop Yields in Arid Fertigation Agroecosystems. Biol. Fertil. Soils 2021, 57, 809–824. [Google Scholar] [CrossRef]
- Xing, W.; Lu, X.; Ying, J.; Lan, Z.; Chen, D.; Bai, Y. Disentangling the Effects of Nitrogen Availability and Soil Acidification on Microbial Taxa and Soil Carbon Dynamics in Natural Grasslands. Soil Biol. Biochem. 2022, 164, 108495. [Google Scholar] [CrossRef]
- Li, G.; Niu, W.; Sun, J.; Zhang, W.; Zhang, E.; Wang, J. Soil Moisture and Nitrogen Content Influence Wheat Yield through Their Effects on the Root System and Soil Bacterial Diversity under Drip Irrigation. Land Degrad. Dev. 2021, 32, 3062–3076. [Google Scholar] [CrossRef]
- Siebielec, S.; Siebielec, G.; Klimkowicz-Pawlas, A.; Gałązka, A.; Grządziel, J.; Stuczyński, T. Impact of Water Stress on Microbial Community and Activity in Sandy and Loamy Soils. Agronomy 2020, 10, 1429. [Google Scholar] [CrossRef]
- Thapa, R.; Chatterjee, A.; Wick, A.; Butcher, K. Carbon Dioxide and Nitrous Oxide Emissions from Naturally Occurring Sulfate-Based Saline Soils at Different Moisture Contents. Pedosphere 2017, 27, 868–876. [Google Scholar] [CrossRef]
- Bhattacharyya, S.S.; Ros, G.H.; Furtak, K.; Iqbal, H.M.N.; Parra-Saldívar, R. Soil Carbon Sequestration—An Interplay between Soil Microbial Community and Soil Organic Matter Dynamics. Sci. Total Environ. 2022, 815, 152928. [Google Scholar] [CrossRef]
- Xiao, L.; Wang, G.; Wang, M.; Zhang, S.; Sierra, C.A.; Guo, X.; Chang, J.; Shi, Z.; Luo, Z. Younger Carbon Dominates Global Soil Carbon Efflux. Glob. Change Biol. 2022, 28, 5587–5599. [Google Scholar] [CrossRef]
- Hicks, L.C.; Meir, P.; Nottingham, A.T.; Reay, D.S.; Stott, A.W.; Salinas, N.; Whitaker, J. Carbon and Nitrogen Inputs Differentially Affect Priming of Soil Organic Matter in Tropical Lowland and Montane Soils. Soil Biol. Biochem. 2019, 129, 212–222. [Google Scholar] [CrossRef]
- Silverstein, M.R.; Segrè, D.; Bhatnagar, J.M. Environmental Microbiome Engineering for the Mitigation of Climate Change. Glob. Change Biol. 2023, 29, 2050–2066. [Google Scholar] [CrossRef]
- Liu, G.; Yu, H.; Ma, J.; Xu, H.; Wu, Q.; Yang, J.; Zhuang, Y. Effects of Straw Incorporation along with Microbial Inoculant on Methane and Nitrous Oxide Emissions from Rice Fields. Sci. Total Environ. 2015, 518–519, 209–216. [Google Scholar] [CrossRef]
- Xu, X.; Yang, B.; Wang, H.; Cao, Y.; Li, K.; Gao, S. Temperature Sensitivity of Soil Heterotrophic Respiration Is Altered by Carbon Substrate along the Development of Quercus Mongolica Forest in Northeast China. Appl. Soil Ecol. 2019, 133, 52–61. [Google Scholar] [CrossRef]
- Hicks Pries, C.E.; Castanha, C.; Porras, R.; Torn, M. The Whole-Soil Carbon Flux in Response to Warming. Science 2017, 355, 1420–1423. [Google Scholar] [CrossRef]
- Chen, X.; Lin, J.; Wang, P.; Zhang, S.; Liu, D.; Zhu, B. Resistant Soil Carbon Is More Vulnerable to Priming Effect than Active Soil Carbon. Soil Biol. Biochem. 2022, 168, 108619. [Google Scholar] [CrossRef]
- Liang, Z.; Cao, B.; Jiao, Y.; Liu, C.; Li, X.; Meng, X.; Shi, J.; Tian, X. Effect of the Combined Addition of Mineral Nitrogen and Crop Residue on Soil Respiration, Organic Carbon Sequestration, and Exogenous Nitrogen in Stable Organic Matter. Appl. Soil Ecol. 2022, 171, 104324. [Google Scholar] [CrossRef]
- Xuan, K.; Li, X.; Yu, X.; Jiang, Y.; Ji, J.; Jia, R.; Wang, C.; Liu, J. Effects of Different Organic Amendments on Soil Pore Structure Acquired by Three-dimensional Investigation. Eur. J. Soil Sci. 2022, 73, e13264. [Google Scholar] [CrossRef]
- Amami, R.; Ibrahimi, K.; Znouda, A.; Abrougui, K.; Sayed, C. Influence of Tillage Systems on Soil Bulk Density and Carbon Dioxide Emissions in the Mediterranean Context. Euro-Mediterr. J. Environ. Integr. 2021, 6, 16. [Google Scholar] [CrossRef]
- Yang, P.; Reijneveld, A.; Lerink, P.; Qin, W.; Oenema, O. Within-Field Spatial Variations in Subsoil Bulk Density Related to Crop Yield and Potential CO2 and N2O Emissions. Catena 2022, 213, 106156. [Google Scholar] [CrossRef]
- Cardinael, R.; Chevallier, T.; Guenet, B.; Girardin, C.; Cozzi, T.; Pouteau, V.; Chenu, C. Organic Carbon Decomposition Rates with Depth and Contribution of Inorganic Carbon to CO 2 Emissions under a Mediterranean Agroforestry System. Eur. J. Soil Sci. 2019, 71, 909–923. [Google Scholar] [CrossRef]
- Ramnarine, R.; Wagner-Riddle, C.; Dunfield, K.E.; Voroney, R.P. Contributions of Carbonates to Soil CO2 Emissions. Can. J. Soil Sci. 2012, 92, 599–607. [Google Scholar] [CrossRef]
- Chevallier, T.; Cournac, L.; Hamdi, S.; Gallali, T.; Bernoux, M. Temperature Dependence of CO2 Emissions Rates and Isotopic Signature from a Calcareous Soil. J. Arid Environ. 2016, 135, 132–139. [Google Scholar] [CrossRef]
- Wang, X.; Wang, J.; Xu, M.; Zhang, W.; Fan, T.; Zhang, J. Carbon Accumulation in Arid Croplands of Northwest China: Pedogenic Carbonate Exceeding Organic Carbon. Sci. Rep. 2015, 5, 11439. [Google Scholar] [CrossRef]
- Dong, Y.-J.; Cai, M.; Liang, B.; Zhou, J.-B. Effect of Additional Carbonates on CO2 Emission from Calcareous Soil During the Closed-Jar Incubation. Pedosphere 2013, 23, 137–142. [Google Scholar] [CrossRef]
- Entry, J.A.; Sojka, R.E.; Shewmaker, G.E. Irrigation Increases Inorganic Carbon in Agricultural Soils. Environ. Manag. 2004, 33, S309–S317. [Google Scholar] [CrossRef]
- Wang, X.; Xu, M.; Wang, J.; Zhang, W.; Yang, X.; Huang, S.; Liu, H. Fertilization Enhancing Carbon Sequestration as Carbonate in Arid Cropland: Assessments of Long-Term Experiments in Northern China. Plant Soil 2014, 380, 89–100. [Google Scholar] [CrossRef]
- Zamanian, K.; Zarebanadkouki, M.; Kuzyakov, Y. Nitrogen Fertilization Raises CO2 Efflux from Inorganic Carbon: A Global Assessment. Glob. Change Biol. 2018, 24, 2810–2817. [Google Scholar] [CrossRef]
- McHugh, T.A.; Schwartz, E. A Watering Manipulation in a Semiarid Grassland Induced Changes in Fungal but Not Bacterial Community Composition. Pedobiologia 2016, 59, 121–127. [Google Scholar] [CrossRef]
- Sarula, S.; Yang, H.; Zhang, R.; Li, Y.; Meng, F.; Ma, J. Impact of Drip Irrigation and Nitrogen Fertilization on Soil Microbial Diversity of Spring Maize. Plants 2022, 11, 3206. [Google Scholar] [CrossRef]
- Bastida, F.; Torres, I.; Romero-Trigueros, C.; Baldrian, P.; Větrovskỳ, T.; Bayona, J.; Alarcón, J.; Hernández, T.; García, C.; Nicolás, E. Combined Effects of Reduced Irrigation and Water Quality on the Soil Microbial Community of a Citrus Orchard under Semi-Arid Conditions. Soil Biol. Biochem. 2017, 104, 226–237. [Google Scholar] [CrossRef]
- Ren, Q.; Yuan, J.; Wang, J.; Liu, X.; Ma, S.; Zhou, L.; Miao, L.; Zhang, J. Water Level Has Higher Influence on Soil Organic Carbon and Microbial Community in Poyang Lake Wetland than Vegetation Type. Microorganisms 2022, 10, 131. [Google Scholar] [CrossRef]
- Zhang, K.; Shi, Y.; Jing, X.; He, J.-S.; Sun, R.; Yang, Y.; Shade, A.; Chu, H. Effects of Short-Term Warming and Altered Precipitation on Soil Microbial Communities in Alpine Grassland of the Tibetan Plateau. Front. Microbiol. 2016, 7, 1032. [Google Scholar] [CrossRef]
- Swift, M.; Heal, O.; Anderson, J. Decomposition in Terrestrial Ecosystems; Blackwell Scientific Publications: Hoboken, NJ, USA, 1979. [Google Scholar]
- Datta, A.; Setia, R.; Barman, A.; Guo, Y.; Basak, N. Carbon Dynamics in Salt-Affected Soils. In Research Developments in Saline Agriculture; Dagar, J.C., Yadav, R.K., Sharma, P.C., Eds.; Springer: Singapore, 2019; pp. 369–389. ISBN 9789811358319. [Google Scholar]
- Yin, X.; Feng, Q.; Li, Y.; Liu, W.; Zhu, M.; Xu, G.; Zheng, X.; Sindikubwabo, C. Induced Soil Degradation Risks and Plant Responses by Salinity and Sodicity in Intensive Irrigated Agro-Ecosystems of Seasonally-Frozen Arid Regions. J. Hydrol. 2021, 603, 127036. [Google Scholar] [CrossRef]
- Zhu, T.; Shao, T.; Liu, J.; Li, N.; Long, X.; Gao, X.; Rengel, Z. Improvement of Physico-Chemical Properties and Microbiome in Different Salinity Soils by Incorporating Jerusalem Artichoke Residues. Appl. Soil Ecol. 2021, 158, 103791. [Google Scholar] [CrossRef]
- Dong, M.; Hu, S.; Lv, S.; Rong, F.; Wang, X.; Gao, X.; Xu, Z.; Xu, Y.; Liu, K.; Liu, A. Recovery of Microbial Community in Strongly Alkaline Bauxite Residues after Amending Biomass Residue. Ecotoxicol. Environ. Saf. 2022, 232, 113281. [Google Scholar] [CrossRef]
- Zhang, Z.; Liu, H.; Liu, X.; Chen, Y.; Lu, Y.; Shen, M.; Dang, K.; Zhao, Y.; Dong, Y.; Li, Q.; et al. Organic Fertilizer Enhances Rice Growth in Severe Saline–Alkali Soil by Increasing Soil Bacterial Diversity. Soil Use Manag. 2021, 38, 964–977. [Google Scholar] [CrossRef]
- Dai, T.; Wen, D.; Bates, C.T.; Wu, L.; Guo, X.; Liu, S.; Su, Y.; Lei, J.; Zhou, J.; Yang, Y. Nutrient Supply Controls the Linkage between Species Abundance and Ecological Interactions in Marine Bacterial Communities. Nat. Commun. 2022, 13, 175. [Google Scholar] [CrossRef]
- Ratzke, C.; Barrere, J.; Gore, J. Strength of Species Interactions Determines Biodiversity and Stability in Microbial Communities. Nat. Ecol. Evol. 2020, 4, 376–383. [Google Scholar] [CrossRef] [PubMed]
- Fu, X.; Song, Q.; Li, S.; Shen, Y.; Yue, S. Dynamic Changes in Bacterial Community Structure Are Associated with Distinct Priming Effect Patterns. Soil Biol. Biochem. 2022, 169, 108671. [Google Scholar] [CrossRef]
- Zhong, Y.; Liu, J.; Jia, X.; Shangguan, Z.; Wang, R.; Yan, W. Microbial Community Assembly and Metabolic Function during Wheat Straw Decomposition under Different Nitrogen Fertilization Treatments. Biol. Fertil. Soils 2020, 56, 697–710. [Google Scholar] [CrossRef]
- Pide, J.L.V.; Organo, N.D.; Cruz, A.F.; Fernando, L.M.; Villegas, L.C.; Delfin, E.F.; Calubaquib, M.A.M.; Madayag, R.E.; Paterno, E.S. Effects of Nanofertilizer and Nano-Plant Hormone on Soil Chemical Properties and Microbial Community in Two Different Soil Types. Pedosphere 2022, in press. [Google Scholar] [CrossRef]
- Han, J.; Dong, Y.; Zhang, M. Chemical Fertilizer Reduction with Organic Fertilizer Effectively Improve Soil Fertility and Microbial Community from Newly Cultivated Land in the Loess Plateau of China. Appl. Soil Ecol. 2021, 165, 103966. [Google Scholar] [CrossRef]
- Helling, C.S.; Chesters, G.; Corey, R. Contribution of Organic Matter and Clay to Soil Cation-Exchange Capacity as Affected by the PH of the Saturating Solution. Soil Sci. Soc. Am. J. 1964, 28, 517–520. [Google Scholar] [CrossRef]
- Malik, A.A.; Puissant, J.; Buckeridge, K.M.; Goodall, T.; Jehmlich, N.; Chowdhury, S.; Gweon, H.S.; Peyton, J.M.; Mason, K.E.; van Agtmaal, M.; et al. Land Use Driven Change in Soil PH Affects Microbial Carbon Cycling Processes. Nat. Commun. 2018, 9, 3591. [Google Scholar] [CrossRef]
- Sheng, Y.; Zhan, Y.; Zhu, L. Reduced Carbon Sequestration Potential of Biochar in Acidic Soil. Sci. Total Environ. 2016, 572, 129–137. [Google Scholar] [CrossRef]
- Sheng, Y.; Zhu, L. Biochar Alters Microbial Community and Carbon Sequestration Potential across Different Soil PH. Sci. Total Environ. 2018, 622, 1391–1399. [Google Scholar] [CrossRef]
- Wu, T.; Sabula, M.; Milner, H.; Strickland, G.; Liu, G. Agricultural Practice Negatively Affects Soil Bacterial Diversity and Nitrogen Functional Genes Comparing to Adjacent Native Forest Soils. Appl. Soil Ecol. 2023, 186, 104856. [Google Scholar] [CrossRef]
- Xu, M.; Li, X.; Kuyper, T.W.; Xu, M.; Li, X.; Zhang, J. High Microbial Diversity Stabilizes the Responses of Soil Organic Carbon Decomposition to Warming in the Subsoil on the Tibetan Plateau. Glob. Change Biol. 2021, 27, 2061–2075. [Google Scholar] [CrossRef]
- Maron, P.-A.; Sarr, A.; Kaisermann, A.; Lévêque, J.; Mathieu, O.; Guigue, J.; Karimi, B.; Bernard, L.; Dequiedt, S.; Terrat, S.; et al. High Microbial Diversity Promotes Soil Ecosystem Functioning. Appl. Environ. Microb. 2018, 84, e02738-17. [Google Scholar] [CrossRef]
- Luo, Q.; Gong, J.; Zhai, Z.; Pan, Y.; Liu, M.; Xu, S.; Wang, Y.; Yang, L.; Baoyin, T. The Responses of Soil Respiration to Nitrogen Addition in a Temperate Grassland in Northern China. Sci. Total Environ. 2016, 569–570, 1466–1477. [Google Scholar] [CrossRef]
- Bulseco, A.N.; Vineis, J.H.; Murphy, A.E.; Spivak, A.C.; Giblin, A.E.; Tucker, J.; Bowen, J.L. Metagenomics Coupled with Biogeochemical Rates Measurements Provide Evidence That Nitrate Addition Stimulates Respiration in Salt Marsh Sediments. Limnol. Oceanogr. 2020, 65, S321–S339. [Google Scholar] [CrossRef]
Disclaimer/Publisher’s Note: The statements, opinions and data contained in all publications are solely those of the individual author(s) and contributor(s) and not of MDPI and/or the editor(s). MDPI and/or the editor(s) disclaim responsibility for any injury to people or property resulting from any ideas, methods, instructions or products referred to in the content. |
© 2023 by the authors. Licensee MDPI, Basel, Switzerland. This article is an open access article distributed under the terms and conditions of the Creative Commons Attribution (CC BY) license (https://creativecommons.org/licenses/by/4.0/).




