Next Article in Journal
Preharvest Treatments with Low-Risk Plant Protection Products Can Help Apple Growers Fulfill the Demands of Supermarket Chains Regarding Pesticide Residues and Marketing Apples under 0-Residue Brands
Previous Article in Journal
Comparative Nutritional Assessment and Metabolomics of a WRKY Rice Mutant with Enhanced Germination Rates
Previous Article in Special Issue
Integrating Ecological Principles for Addressing Plant Production Security and Move beyond the Dichotomy ‘Good or Bad’ for Nitrogen Inputs Choice
 
 
Font Type:
Arial Georgia Verdana
Font Size:
Aa Aa Aa
Line Spacing:
Column Width:
Background:
Article

Screening Canola Genotypes for Resistance to Ammonium Toxicity

by
Omar Ali Shaban Al-Awad
1,
Kit Stasia Prendergast
2,
Alan Robson
1 and
Zed Rengel
1,*
1
School of Agriculture and Environment, University of Western Australia, 35 Stirling Highway, Perth, WA 6009, Australia
2
School of Molecular and Life Sciences, Curtin University, Kent Street, Bentley, Perth, WA 6102, Australia
*
Author to whom correspondence should be addressed.
Agronomy 2023, 13(4), 1150; https://doi.org/10.3390/agronomy13041150
Submission received: 12 March 2023 / Revised: 10 April 2023 / Accepted: 15 April 2023 / Published: 18 April 2023

Abstract

Soil ammonium toxicity can decrease plant growth, and many crop species have low resistance to ammonium, including canola, an economically important crop. Different genotypes may differ in their resistance to ammonium toxicity, and therefore determining if there are genotypes that exhibit variation in their ability to tolerate soil ammonium is a research priority. Here, we evaluate how soil ammonium impacts canola root and shoot growth and characterise differences among canola genotypes in regard to resistance to ammonium toxicity. In the first experiment, eight ammonium chloride treatments and five calcium nitrate treatments were tested for their impact on the canola genotype Crusher TT, where high application (60 mg N/kg soil) significantly decreased the dry weight of canola shoots and roots and acidified the soil from pHCaCl2 5.9 to 5.6. In the second experiment, 30 canola genotypes were screened at selected concentrations of NH4+-N, using nitrate as the control. There was wide variation among genotypes in sensitivity to high NH4+-N application. Genotypes G16, G26, and G29 had greater shoot dry weights and the highest shoot N concentration of all genotypes, and G16, G26, and G28 had root dry weight up to 35% higher at high soil NH4+-N compared with other genotypes. In contrast, genotypes G3, G13, and G30 showed the largest reduction in shoot weight, and genotypes G13, G23, and G30 showed the largest reduction in root weight at high NH4+-N application. Residual NH4+-N/kg soil in soil was higher for sensitive than resistant genotypes, suggesting lower NH4+-N use in the former. These results reveal the potential for selecting canola genotypes that are resistant to high NH4+-N concentrations in soil.

1. Introduction

Canola (Brassica napus L.), also known as rapeseed (family Brassicaceae), is primarily cultivated for its high oil content, with canola seeds containing 30–40% oil w/w, depending on genotype. Canola is the main oilseed crop in Australia and third worldwide after soybean and sunflower [1,2]. After Canada, Australia is the second biggest exporter of canola, being strategically well-positioned to supply the Asian market with high-quality oil and meal [3,4].
To produce high seed yields, canola has high nitrogen (N) requirements, which are primarily met by external inputs in the form of nitrogen fertilisers [5,6]. Ammonium (NH4+-N) is supplied as a N fertiliser, but many crops need it only in low concentrations for growth [7]. The other major N fertiliser is urea; with 46% N content, along with its being the most economical N fertiliser to produce and transport, it is the main N fertiliser used globally [8,9]. Use of urea as a nitrogen fertiliser has increased significantly in Australia over the last two decades [10,11]. However, in soils, urea hydrolyses to release NH4+-N [12], which can lead to toxic concentrations of ammonium in soils for plant growth and productivity [13,14,15]; such toxic effects have been observed in crops such as canola, soybean, tomato, potato, mustard, and tobacco [16,17]. Ammonium toxicity is brought about through high ammonium assimilation by plants and/or low sensitivity of the plants to external (i.e., in the soil) acidification [18].
Quantitatively, ammonium toxicity is determined to be when the dry-matter production of shoots and roots is reduced by more than 50% with NH4+-N supply compared with plants grown with nitrate (NO3-N) at the same N concentration [19]. Symptoms usually appear firstly in new growth, followed by symptoms in older tissues, and include a decrease in chlorophyll concentration in leaves, wilting, and a lower root:shoot ratio [18,20,21].
Nitrogen fertilisers may have adverse environmental consequences by contributing to nitrogen pollution [22]. Nitrogen fertilisers are responsible for large increases in atmospheric nitrogen oxides over the last half century, which is highly concerning given that nitrous oxide (N2O) is a major greenhouse gas. In light of the serious threat climate change poses, there is a critical need to reduce emission of greenhouse gases [23,24]. Both ammonium and nitrates are readily taken up by plant roots, but only ammonium can be incorporated into amino acids and amides that plants need for nutrition [25]. Nitrate fertilisers are converted to ammonium, yet unlike nitrate, higher concentrations of ammonium are strongly phytotoxic [17]. However, whilst nitrate fertilisers are less likely to have adverse impacts on plant health, they generate much higher emissions of the potent greenhouse gas nitrogen oxide compared with ammonium fertilisers [26]. Soil nitrification inhibitors have been proposed as a means of reducing the loss of soil N and mitigating N2O emissions. Nitrification inhibitors prevent NH4+-N conversion into NO3-N through inhibiting Nitrosomonas bacteria activity [27,28]. One such compound is dicyandiamide (DCD) [29]. However, there are concerns that such compounds, by maintaining N in the NH4+ form in soil, may have negative effects on sensitive crops [30,31]. Therefore, studies are required to investigate how nitrification inhibitors and the resultant higher NH4+-N concentrations in soil influence crop growth and yields.
Some crop species, genotypes, and even plant families, are relatively more susceptible to NH4+-N toxicity, especially when NH4+-N is the only N source [32,33]. Hence, controlling NH4+-N concentrations is crucial when growing such sensitive crops [34,35]. When genetic variability exists within a crop, however, it may be possible to select for varieties that can tolerate higher soil NH4+-N concentrations. Genetic variability in shoot dry weight at high NH4+-N concentrations has been reported in wheat cultivars [36,37], maize cultivars [38], and rice hybrids [39], whereby NH4+-N had no inhibitory effect on total yield of resistant hybrids and cultivars, producing larger shoot growth compared with sensitive cultivars. Likewise, in soybean cultivars [40] and Olli wheat cultivars [41], shoot growth was inhibited, and shoot dry weight was reduced under NH4+-N for sensitive cultivars, but not for resistant cultivars.
Many crops exhibit variable NH4+-N resistance; however, variation in resistance to NH4+-N toxicity among canola genotypes has yet to be determined. This study aimed to (i) characterise NH4+-N toxicity to 30 commonly grown canola genotypes across a range of NH4+-N and NO3-N levels and (ii) determine how NH4+-N resistance varies among 30 canola genotypes under low and high soil NH4+-N concentrations.

2. Material and Methods

The study involved potted greenhouse experiments conducted in the University of Western Australia glasshouses. All seeds were provided by Dr Sheng Chen, sourced from Western Lab at Shenton Park Field Station, UWA. The soil used for both experiments was taken from an area near Lancelin, Western Australia (31° 46′ S, 115° 86′ E), 127 km north of Perth. This soil has chemical characteristics of pHCaCl2 5.8, 2% w/w clay, 7.8 g/kg organic carbon, 1 mg NH4+-N/kg soil, and 2 mg NO3-N/kg soil, with low levels of other essential plant nutrients (K, P, Mg, S, Zn, and Cu) (Table 1). This soil is sandy and suitable for nutritional studies due to the low content of essential nutrients and low risk of soil pathogens compromising plant roots [42,43]. After air-drying, the soil was sieved through a 2 mm mesh, mixed, and stored in airtight plastic bags prior to being used in the experiments.

2.1. Experimental Design

2.1.1. Evaluating Growth Response of Canola to Soil Ammonium Levels

Prior to evaluating variation among genotypes in response to soil ammonium levels, preliminary experiments were conducted to determine the optimal and toxic concentrations of NH4+-N by measuring the root and shoot dry weight and the soil pH and NH4+-N concentration. Canola genotype Crusher TT (an open-pollinated, triazine-tolerant variety) was used in this experiment, with eight seeds per pot. Crusher TT has been found to be the best open-pollinated genotype, having the best yield across Agzones in Western Australia [44].
Experiments were conducted in October (mid-spring). We tested eight levels of ammonium treatments in the form of ammonium chloride (NH4Cl) at 0, 2, 5, 10, 15, 20, 40, and 60 mg N/kg soil and five levels of nitrate treatments in the form of calcium nitrate (Ca(NO3)2) at 10, 15, 20, 40, and 60 mg N/kg soil. Treatments were set up in a randomised complete block design with three replicates. Pots were lined with nylon plastic bags to create non-draining conditions, and each pot was filled with 2.3 kg of dry soil. Nitrogen treatments included ammonium chloride and calcium nitrate mixed thoroughly with all basal nutrients at the following rates (mg/kg soil): KH2PO4, 20; K2SO4, 88; CaCl2.2H2O, 41; MgSO4.7H2O, 3.95; MnSO4.H2O, 3.2; ZnSO4.7H2O, 2.05; CuSO4.5H2O, 0.5; H3BO3, 0.12; CoSO4.7H2O, 0.11; and Na2MoO4.2H2O, 0.08 [45,46]. Nitrification inhibitor dicyandiamide (DCD) was applied at 0.012 g/kg soil (equivalent to 10 kg/ha) to all treatments just prior to sowing [29]. All seeds were surface-sterilised using fungicide (Thiram, DG Chemical). Plants were grown at a controlled temperature, with average day/night temperatures of 25°/14 °C. Every second day, each pot watered with deionised water to field capacity (10% w/w) by weighing until harvesting. Insects and pests were controlled with pesticides applied weekly as part of the routine maintenance of the UWA greenhouses.

2.1.2. Screening Canola Genotypes for Resistance to Ammonium Toxicity

Thirty canola genotypes were involved in experiments evaluating genetic variation in response to ammonium concentrations (Table 2). These genotypes are grown commercially and have been characterised for a range of other genetic and agronomic properties. The plants were grown in a glasshouse, as described above. Experiments took place in March (early autumn).
Experiments involved low and high concentrations of NH4+-N chosen from the previous experiment, using a randomised complete block design, with two replicates, with eight seeds sown per pot. Ammonium, in the form of ammonium chloride (NH4Cl), was supplied at 15 and 60 mg NH4+-N/kg soil; according to our findings in the first experiment, at these levels, no toxicity and symptoms of toxicity, respectively, occurred regarding shoot and root growth. Nitrate, supplied as Ca(NO3)2 at 60 mg NO3-N/kg soil, was included as the control. The nitrification inhibitor dicyandiamide (DCD) was applied at 0.012 g/kg soil (equivalent to 10 kg/ha) [29] just prior to sowing, and on the same day, NH4+-N and NO3-N treatments were applied.

2.1.3. Data Collection

Data collection followed the same procedure in both experiments. Plants were harvested, and the shoots and roots collected 35 days after sowing, at the vegetative stage. From each pot, 100 g of soil was sampled by using a 20 cm long x 1cm diameter metal tube to take a core sample of the soil in the rhizosphere. These samples were stored at 5 °C in labelled plastic bags for future analyses. Following soil sampling, the plants were removed from the soil, and the roots and shoots were collected for measuring. Root collecting involved taking the soil in each pot, placing it on 1 × 1 mm mesh, and washing off the soil with tap water until only the roots remained. The shoots and roots were dried at 60 °C for 72 h and weighed [47].

2.1.4. Soil pH

The soil pH was measured using calcium chloride (0.01 M), with a soil:solution ratio of 1:5. Samples were placed on a shaker at 220 rpm for one hour and then left to settle for one hour at 25 ± 2 °C; the soil pH was measured using a pH meter [48].

2.1.5. Soil Moisture

Sub-samples taken from fresh soil samples were weighed; then they were oven-dried at 60 °C for three days and weighed again. The moisture content was calculated as the difference between fresh and oven-dried weights [48].

2.1.6. Residual Ammonium in Soil

After harvest, the residual soil ammonium concentration (mg NH4+-N/kg soil) was measured to determine the concentration of ammonium that was not taken up by the plants, using 0.5 M potassium sulphate (K2SO4) extraction. From each pot, 10 g of moist soil at field capacity (10% w/w) was mixed with 40 mL of K2SO4 and placed on a shaker at 220 rpm at 25 ± 2 °C for one hour. The resulting extract was filtered through filter paper (Whatman no. 42). A total of 10 mL of each extract was analysed with a spectrophotometer to measure NH4+-N according to the salicylate method [49]. It should be noted that some of the ammonium originally present in the soil may have been immobilised by microbes; however, this amount is unlikely to have differed among different treatments.

2.1.7. Nitrogen Concentration in Roots

In addition to measuring shoot weight, in the second experiment evaluating variation among genotypes, the nitrogen (N) concentration in shoots was measured by high-temperature combustion technology (Dumas) [50] at 960 °C. The shoot dry material was ground to <0.5 mm, and 0.25 g was taken for analysis. The combustion was completed by Elementar Vario Macro. All forms of N were oxidised initially to NOx, and by reducing catalysts heat to 830 °C, N2 was produced. Finally, through the Microsoft program (proprietary software version v5.19.0) connected to the Elementar, the total N in the canola shoot dry samples was determined and reported in g/kg [48].

2.2. Statistical Analysis

The data sets for the shoot dry weight, root dry weight, soil pH, NH4+-N and NO3-N in soil, and total N in shoots were analysed using two-way ANOVA in GENSTAT (version 18). The Tukey’s HSD test was used to determine significant differences between means at the p ≤ 0.05 level. The genotypes were ranked as sensitive, medium, and resistant according to Rengel and Graham [51], defined by subtracting or adding the value of two standard errors (for the genotype main effect) from the median point for all the genotypes. The genotypes with values above and below the medium interval were classified as resistant and sensitive, respectively.
The ranking was based on the treatment with 60 mg NH4+-N/kg soil. Values of NH4+-N/kg soil and the control 60 mg NO3-N/kg soil for each genotype were calculated as follows: average shoot dry weight of the NH4+-N treatments/average dry weight of the NO3-N treatments × 100.

3. Results

3.1. Experiment 1

3.1.1. Shoot Dry Weight

The shoot growth was significantly affected by NH4+-N concentrations between 15 and 60 mg NH4+-N/kg soil (p ≤ 0.05, Table 3). Shoot growth increased with the NH4+-N concentration to 20 mg NH4+-N/kg soil and then decreased thereafter (Figure 1A). Canola plants grown under low NH4+-N concentrations of 10 and 15 mg NH4+-N/kg soil did not exhibit toxicity symptoms and produced about twice as much shoot dry weight as plants grown at high NH4+-N concentrations (60 mg NH4+-N/kg soil) (Figure 1A). In contrast, the shoot dry weight increased with the increasing NO3-N concentration, and the highest shoot dry weight was at 60 mg NO3-N/kg soil (Figure 1B).

3.1.2. Root Dry Weight

The root dry weight was significantly affected by NH4+-N concentrations between low NH4+-N concentrations and 60 mg NH4+-N/kg soil at (p ≤ 0.05, Table 3) (Figure 1C). In contrast, the root dry weight exhibited a hump-shaped trend within the range of NO3-N concentrations tested, with the highest weight occurring at 40 mg NO3-N/kg soil (Figure 1D). The effects of the increasing NH4+-N rate on the root dry weight were similar to those on the shoot dry weight. Plants cultivated at 5–15 mg NH4+-N/kg soil showed the highest root growth (Figure 1C). Based on these results, 15 mg NH4+-N/kg soil was chosen as optimal in further experiments.

3.1.3. Soil pHCaCl2

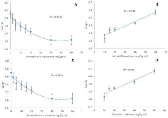
The soil pH was significantly affected by NH4+-N concentrations between low NH4+-N concentrations (0–20 mg NH4+-N/kg soil) and 60 mg NH4+-N/kg soil (p ≤ 0.05, Table 3). The control soil pH was approximately 5.9. The soil pH decreased to 5.6 with an increase in NH4+-N to 40 mg and 60 mg NH4+-N/kg soil (Figure 2A). In contrast, the soil pH increased linearly to 6.1 as the NO3-N concentration increased to 60 mg NO3-N/kg soil (Figure 2B).

3.1.4. The Residual Ammonium in Soil (mg NH4+-N/kg Soil)

The residual NH4+-N in soil was significantly affected by NH4+-N treatments between 15 and 60 mg NH4+-N/kg soil (p ≤ 0.05, Table 3). Compared to high residual NH4+-N at 60 mg NH4+-N/kg soil, the residual NH4+-N in soil at harvest decreased to below 4 mg NH4+-N/kg soil in the treatments with up to 15 mg NH4+-N/kg soil applied just before sowing (Figure 2C). However, the residual NO3-N in soil increased with the increasing NO3-N concentration, and the highest residual NO3-N was recorded in the treatment with 60 mg NO3-N/kg soil (Figure 2D).

3.2. Experiment 2

3.2.1. Shoot Dry Weight

The relative shoot dry weight (with respect to control seedlings exposed to 60 mg NO3-N/kg soil (see Supplementary Material, Figure S1 for control data)) varied significantly (p ≤ 0.05) among the 30 genotypes tested (Table 4), ranging from 15 to 52% at low (15 mg NH4+-N/kg soil) and from 9 to 38% at high (60 mg NH4+-N/kg soil) NH4+-N supply (Figure 3). There was a significant genotype x NH4+-N supply interaction; most genotypes had a significantly higher relative shoot dry weight at 15 compared to 60 mg NH4+-N/kg soil, but no significant difference was evident in Genotype 18 (Figure 3). Genotypes 1 and 26 had a significantly different relative shoot dry weight at 60 mg NH4+-N/kg soil compared with the control, but not at 15 mg NH4+-N/kg soil. Genotypes 1, 16, and 26 at 15 mg NH4+-N/kg soil had greater than 40% growth compared with the control, which was significantly higher than relative shoot dry weight at 60 mg NH4+-N/kg soil. The relative shoot dry weight of the top 20 performing canola genotypes was roughly twice that of the most sensitive genotype G3 under 15 mg NH4+-N/kg soil. Only three genotypes (G26, G29, and G16) achieved relative shoot growth above 30% under 60 mg NH4+-N/kg soil (Figure 4) and were therefore classified as resistant.

3.2.2. Relative Root Dry Weight

There was a significant interaction effect caused by the canola genotype and NH4+-N rates applied to soil on relative root dry weight (p ≤ 0.05) (Figure 4). Compared to 60 mg NO3-N/kg soil (see Supplementary Material, Figure S2 for control data), all canola genotypes produced a higher root dry weight at 15 mg compared with 60 mg NH4+-N/kg soil. The root dry weight at 15 mg NH4+-N/kg soil ranged from 20 to 82% depending on the genotype. At 60 mg NH4+-N/kg soil, root dry weights were relatively reduced, ranging from 9 to 45%. Five genotypes (G28, G26, G16, G8, and G1) produced a relative root dry weight greater than 30% at the high NH4+-N rate of 60 mg NH4+-N/kg soil; they were classified as NH4+-resistant genotypes (Figure 4). Nevertheless, at 60 mg NH4+-N/kg soil, the three most resistant genotypes (G28, G26, and G16) had root weights reduced by approximately 35% compared with 15 mg NH4+-N/kg soil. In contrast, 13 genotypes produced a relative root dry weight of less than 15% at 60 mg NH4+-N/kg soil and were therefore classified as sensitive. The most sensitive genotypes, G30, G13, and G23, had an average relative root dry weight of 10% at 60 mg NH4+-N/kg soil, approximately three times less than the resistant G28, G26, and G16 genotypes.

3.2.3. Nitrogen Concentration in Shoots

The interaction between canola genotypes and NH4+-N rates applied to soil significantly influenced the nitrogen concentration in shoots (p ≤ 0.05). The nitrogen concentration in shoots at 15 mg NH4+-N/kg soil ranged from 2.7 to 7 g/kg shoot dry weight depending on genotype, and at the high NH4+-N rate, N concentration in shoots varied from 2 to 12.1 g/kg (Figure 5) (see Supplementary Materials, Figure S3 for control data). Genotypes 26 and G16 had a higher N concentration at 60 mg NH4+-N/kg soil; G26, G16, G18, and G14 at 15 mg NH4+-N/kg were higher than other genotypes. The top-performing genotypes, G26 and G16, had, respectively, about a six-fold and five-fold greater N concentration in shoots under 60 mg NH4+-N/kg soil compared with the poorest performing genotype, G3 (Figure 6). Six genotypes (G20, G25, G7, G11, G5, and G2) showed negligible differences in shoot N concentration at the two NH4+-N rates.

3.2.4. The Residual Ammonium in Soil (mg NH4+-N/kg Soil)

The interaction between canola genotypes and NH4+-N rates significantly influenced residual soil ammonium (p ≤ 0.05). The residual NH4+-N was consistently low (2.6 ± 0.09 mg/kg) at 15 mg NH4+-N/kg soil, but at 60 mg NH4+-N/kg soil, levels ranged from 12.6 to 22.5 mg NH4+-N/kg soil, varying with genotype. The three most resistant genotypes (G26, G29 and G16), which had the highest shoot and root growth and shoot N concentration at 60 mg NH4+-N/kg soil, appeared to take up the greatest amounts of NH4+-N from soil, with residual NH4+-N averaging 10–13 mg NH4+-N/kg soil. In contrast, the sensitive genotypes G27, G30, G13, and G3 took up less NH4+-N from the soil, with residual NH4+-N ranging from 18.7 to 23.3 mg NH4+-N/kg soil at the higher NH4+-N rate (60 mg NH4+-N/kg soil). This suggests substantial differences in the genotype response to NH4+-N (Figure 6).

3.2.5. Soil pH

The interaction between canola genotypes and N rate applied was not significant in the case of soil pH, but the main effect of N forms and rates had a significant effect on the soil pH (p ≤ 0.05) (Figure 7). There was a significant difference between all treatments, with the soil pH increasing from 5.60 ± 0.09 in the 60 mg NO3-N/kg soil treatment to 5.84 ± 0.02 in the 15 NH4+-N treatment, and then to 6.23 ± 0.01 under the 60 mg NH4+-N soil treatment.

4. Discussion

Although ammonium (NH4+-N) is a major source of the essential plant nutrient nitrogen (N), it can negatively affect growth and development of plants, with canola being particularly sensitive to NH4+-N toxicity [52,53]. The present study characterised NH4+-N resistance of 30 canola genotypes in vegetative stages. When evaluating the response of common Western Australian canola genotype (Crusher TT) under different NH4+-N concentrations, we found that low rates of NH4+-N (10–20 mg NH4+-N/kg soil) and all NO3-N rates had a beneficial effect on root and shoot dry weight. At higher rates of NH4+-N/kg soil, however, there was a decrease in root and shoot growth, with growth being lowest at the highest rate supplied (60 mg NH4+-N/kg soil). However, the sensitivity and response of canola to NH4+-N varied significantly among the 30 genotypes tested; hence, we identified genotypes with increased resistance or sensitivity to NH4+-N in soil.
Ammonium toxicity is considered to occur when shoot and root dry weight are less than 50% when compared with plants grown with NO3-N at the same N concentration [17,54]. In the study presented here (with NH4+-N concentration up to 20 mg NH4+-N/kg soil and NO3-N up to the highest concentration of 60 mg NO3-N/kg soil), there was increased shoot and root dry weight of canola, and this is consistent with studies on maize and wheat [55], sunflower [56], and sugar beet [57]. These crops produced high shoot and root dry weight at low NH4+-N concentrations and across all NO3-N concentrations, including those tested here.
In contrast to the positive effect of high NO3-N concentration on plant growth, high NH4+-N concentrations (60 mg NH4+-N/kg soil) induced toxicity, leading to significantly decreased shoot and root dry weight of canola. The inhibitory effects of the high NH4+-N concentrations reported in our study are consistent with other studies on canola [58,59], as well as on other crops such as soybean [60],, wheat and barley [61], barley [17], pea [54,62], maize [38,63], and various rice genotypes [39]. However, some plant species possess genetic variation in traits that allow genotypes of the species to grow at relatively high concentrations of chemicals such as NH4+-N [64,65], as demonstrated in our study where canola showed genotypic variability in NH4+-N resistance.
There was large variation among genotypes in shoot dry weight under different N treatments. The relative shoot dry weight of the 20 best performing canola genotypes was approximately double that of the most sensitive genotype G3 at 15 mg NH4+-N/kg soil. However, only three genotypes (G26 G29, and G16) had relative shoot growth above 30% at 60 mg NH4+-N/kg soil and were therefore classified as resistant. The mechanisms underlying variation in resistance to ammonium toxicity require further investigation. They may be due to some genotypes storing NH4+-N in shoot vacuoles, such that NH4+-N toxicity symptoms did not occur [38,66,67]. The poor performance of sensitive genotypes could be due to direct accumulation of NH4+-N in plant tissues, including the cytosol and some intracellular compartments, such as chloroplasts and mitochondria, leading to impaired metabolism, particularly photosynthesis and respiration in plants cells [18,68,69].
Genotypes also exhibited variation in root growth under differing N treatments, with G28, G26, and G16 classified as NH4+-resistant. Our study aligns with previous findings on genotypes of rice [39], soybean cultivars [40], and wheat cultivars [36], whereby the root dry weight of resistant cultivars improved at high NH4+-N concentrations compared to sensitive cultivars. The exact mechanisms underpinning resistance to NH4+-N toxicity regarding canola root are unclear. However, maize hybrids [38,70] and wheat cultivars [35] were suggested to be resistant to NH4+-N due to altering their carbohydrate partitioning, whereby a large proportion of energy from photosynthesis is directed to the roots to provide energy to incorporate assimilated NH4+-N into organic N compounds in roots as a detoxification pathway to protect shoot tissues.
The most sensitive canola genotypes, G30, G13, and G23, had an average relative root dry weight that was approximately three times lower than the resistant G28, G26, and G16 genotypes. Studies on NH4+-sensitive maize hybrids [38], soybean cultivars [40], and pea [71] found sensitive genotypes produced two-fold lower root dry weight than the resistant ones when supplied with NH4+-N. Reduced root dry weight could be due to the competition for carbohydrates between NH4+-N assimilation and root growth, as has been demonstrated in split-root experiments with maize cultivars [72,73], soybean cultivars [74], and wheat [75]. The authors reported that when one half of roots was supplied with NH4+-N and the other half with NO3-N, the NH4+-fed part produced less dry matter than the NO3-N-fed part. The reason may be that the uptake of NH4+-N supplied at high concentration in sensitive species and cultivars caused a decrease in the net carbohydrate production in shoots. As a result, a small amount of carbohydrates was transferred to roots to assimilate a large amount of NH4+-N, and hence N in the form of NH4+ was sent to shoots, causing poor shoot growth and further lowering carbohydrate supply to roots to diminish root growth.
Another potential reason for increased NH4+-N toxicity in root cells and reduced root growth could be due to decreased activity of the enzyme H+-ATPase. A recent study found that activity of plasma membrane H+-ATPase, which plays a vital role in regulating nutrient uptake by pumping protons out, is affected by NH4+-N supply [76,77]. Although this activity increased at optimal concentrations of NH4+-N, at high concentrations of NH4+-N, it decreased, coinciding with impaired root growth [18,77].
Absorption of NH4+-N by canola plants reduced soil pH as a result of the plant uptake of one positively charged ion (NH4+-N) being counterbalanced by extrusion of another positive charge (proton). In contrast, NO3-N uptake resulted in an increase in soil pH, because it is co-transported with protons, resulting in the perceived consumption of protons in the soil [78]. Our results are in agreement with the published reports [29,78,79] regarding a soil pH decrease by an increased application of NH4+-N fertilisers. However, the soil pHCaCl2 of 5.6 that occurred under the NH4+-N treatments is not sufficiently low enough to induce soil acidity problems in canola [80], suggesting that the growth inhibition measured in the NH4+-N treatments in the present study was directly attributable to NH4+-N toxicity rather than being a secondary effect of soil acidification. Studies on maize [81]; rice [82]; wheat [83]; and bean, sweet corn, and pea plants [84,85] showed that soil pHCaCl2 was reduced to 5.6 by high rates of NH4+ application, but it was not sufficiently low to reduce growth [55,58,86,87].
The ammonium-resistant genotypes G26 and G16 had a greater N concentration their in shoots than NH4+-sensitive G30 and G3 under both high and low ammonium rates (60 and 15 mg N/kg soil). At high NH4+-N supply, there was a four-fold lower shoot N concentration in resistant compared with sensitive genotypes. Furthermore, the highest shoot N concentration in resistant genotypes occurred at the highest soil ammonium treatment. This suggests that NH4+-N was detoxified in the roots through direct assimilation into organic N, and then organic N was transferred to the shoot [18,68]. Other studies also have found that increasing NH4+-N supply in soil causes a greater increase in the N concentration in shoot tissues of the resistant genotypes compared with the sensitive varieties [36,88,89], including genotypes of rice [39], wheat [36], and maize [37].
Ours is not the first study to find that canola genotypes differ in their response to environmental stressors. We measured responses in terms of shoot and root weight, whereas Sooran et al. [90] measured responses in terms of grain yield, whereby genotypes varied in their oil content. As with our study, there did not appear to be trade-offs, in that one genotype emerged as consistently higher yielding under both control and increased N-fertiliser (in the form of ammonium sulphate [90]) treatment. It would be interesting to extend our current study by also measuring oil yield to assess if there is concordance among the different response parameters. Indeed, as we found, plant growth stage influences levels of N cycling [91]. However, recent research has indicated that below-ground traits that reflect N-cycling (here, residual ammonium and soil pH) correlated well with improved nitrogen use efficiency, thus representing promising phenotypic targets for breeding [91].
The residual soil NH4+-N was a sum of fertiliser not taken up and ammonium produced in organic matter decomposition (and not immobilised by microorganisms) [92]. Although this means that residual NH4+-N may not be a reliable indication of crop intake, it is highly unlikely that the activity of microbial immobilisers differed consistently among the pots with different genotypes; hence, the patterns observed here of higher residual soil NH4+-N (implying lower NH4+-N uptake) in case of sensitive genotypes still hold.
This study clearly established differences among canola genotypes under controlled conditions in their growth, yield, shoot N concentration, and capacity to mobilise N from soil. However, whether these differences would be consistent in the field requires further investigation because various factors, such as timing and method of fertiliser application, soil type, rainfall, and microbial community structure, can influence these relationships [93]. There may also be trade-offs between various traits, such as yield, oil content, water-use efficiency, and emission of various greenhouse gases [94,95]. Indeed, further research is required looking at how different canola genotypes fare under factorial experiments manipulating both nitrogen (i.e., fertilizer) and moisture (i.e., drought) conditions (e.g., see [90]).
Our results may also pave the way for future breeding between different genotypes. Recent research has indicated that hybrids can often outperform parental genotypes [91], and novel genotypes outperform currently available commercial genotypes [96]. Furthermore, by identifying genotypes that perform superiorly under particular fertilizer conditions, theses can be cultured to exploit their desirable traits [96] in nitrogen-use efficiency or tolerance to ammonium.
This research revealed substantial variations in resistance to ammonium toxicity among canola genotypes, suggesting that suitable varieties can be selected depending on soil ammonium concentrations. With the aim of reducing ammonium application rates and thus concentration in soils, and therefore reducing the risk of nitrate (after nitrification) pollution, G18 was clearly superior to other genotypes because it grew well under both low and high rates of N fertiliser.

5. Conclusions

This study was the first to evaluate the effect of soil NH4+-N levels on canola growth and identify resistant and sensitive genotypes. We revealed that substantial variation existed, with G26 and G16 classified as NH4+-resistant in terms of both root and shoot growth. Furthermore, the residual soil NH4+-N was lower in the resistant genotypes. This study provided a theoretical framework to underpin future field studies aimed at exploring variations in resistance of canola genotypes to NH4+-N toxicity. Importantly, the identification of genotypes that perform better under low or high ammonium levels paves the way for optimising canola growth and nutrition, whilst minimising N inputs and, consequently, N pollution. This study can underpin further research on characterising differential resistance to NH4+-N between crop genotypes.

Supplementary Materials

The following supporting information can be downloaded at: https://www.mdpi.com/article/10.3390/agronomy13041150/s1, Figure S1. Effect of the control 60 mg NO3-N/kg soil on shoot dry weight of canola genotypes. Error bars represent ± SE (n = 3); Figure S2. Effect of the control 60 mg NO3-N/kg soil on root dry weight of canola genotypes. Error bars represent ± SE (n = 3); Figure S3. Effect of the control 60 mg NO3-N/kg soil on nitrogen concentration in shoot of canola genotypes. Error bars represent ± SE (n = 3).

Author Contributions

Conceptualization, O.A.S.A.-A., Z.R. and A.R.; methodology, O.A.S.A.-A., Z.R., and A.R.; formal analysis, O.A.S.A.-A. and Z.R.; investigation, O.A.S.A.-A.; writing—original draft preparation, O.A.S.A.-A.; writing—review and editing, K.S.P., Z.R. and A.R.; visualization, O.A.S.A.-A. and K.S.P.; supervision, Z.R. and A.R.; project administration, Z.R. and A.R.; funding acquisition, O.A.S.A.-A. and Z.R. All authors have read and agreed to the published version of the manuscript.

Funding

This project was funded by the Iraqi Government’s Higher Committee for Education Development Scholarship. The APC was funded by Rengel through the MDPI provision of covering APCs for Editor-in-Chief.

Data Availability Statement

Data is contained within the article and supplementary material. The data presented in this study are available via the UWA Research Depository, accessible here: https://research-repository.uwa.edu.au/en/publications/resistance-to-ammonium-toxicity-in-canola-genotypes (accessed on 1 March 2023).

Acknowledgments

We thank Sheng Chen for the canola seeds.

Conflicts of Interest

The authors declare no conflict of interest.

References

  1. Downey, R.K. Rapeseed to canola: Rags to riches. In Agricultural Biotechnology: Economic Growth through New Products, Partnerships and Workforce Development; Eaglesham, A., Hardy, R.W.F., Eds.; National Agricultural Biotechnology Council: Ithaca, NY, USA, 2006; pp. 67–76. [Google Scholar]
  2. Hickling, D.; Eskin, N.A.M.; Daun, J.K. Canola: Chemistry, Production, Processing, and Utilization; AOCS Press: Urbana, IL, USA, 2011. [Google Scholar]
  3. AOF. Australian Oilseeds Federation: Crop Report: Quality Standards, Technical Information and Typical Analysis, Issue 13; Australian Oilseed Federation: Mulwala, NSW, Australia, 2014. [Google Scholar]
  4. Seberry, D.E.; McCaffery, D.W.; Kingha, T.M. Quality of Australian Canola 2015–2016; Australian Oilseeds Federation, Department of Primary Industries NSW: Sydney, NSW, Australia, 2015; Volume 22, pp. 1–43. [Google Scholar]
  5. Ngezimana, W.; Agenbag, G.A. Effects of nitrogen and sulphur on canola (Brassica napus L.) vegetative and reproductive growth under controlled conditions. Afr. J. Agric. Res. 2013, 8, 4887–4894. [Google Scholar]
  6. Seymour, M. Canola Response to Split Nitrogen Applications at Eradu 2013; Department of Agriculture and Food Australia: Canberra, ACT, Australia, 2013. [Google Scholar]
  7. Ludewig, U.; Neuhäuser, B.; Dynowski, M. Molecular mechanisms of ammonium transport and accumulation in plants. FEBS Lett. 2007, 581, 2301–2308. [Google Scholar] [CrossRef] [PubMed]
  8. Zaman, M.; Blennerhassett, J.D. Effects of the different rates of urease and nitrification inhibitors on gaseous emissions of ammonia and nitrous oxide, nitrate leaching and pasture production from urine patches in an intensive grazed pasture system. Agric. Ecosyst. Environ. 2010, 136, 236–246. [Google Scholar] [CrossRef]
  9. Tong, D.; Xu, R. Effects of urea and (NH4+)2SO4 on nitrification and acidification of Ultisols from Southern China. J. Environ. Sci. 2012, 24, 682–689. [Google Scholar] [CrossRef] [PubMed]
  10. Angus, J.F.; Gupta, V.V.S.R.; Pitson, G.D.; Good, A.J. Effects of banded ammonia and urea fertiliser on soil properties and the growth and yield of wheat. Crop Pasture Sci. 2014, 65, 337–352. [Google Scholar] [CrossRef]
  11. Harris, R.H.; Armstrong, R.D.; Wallace, A.J.; Belyaeva, O.N. Effect of nitrogen fertiliser management on soil mineral nitrogen, nitrous oxide losses, yield and nitrogen uptake of wheat growing in waterlogging-prone soils of south-eastern Australia. Soil Res. 2016, 54, 619–633. [Google Scholar] [CrossRef]
  12. Sigurdarson, J.J.; Svane, S.; Karring, H. The molecular processes of urea hydrolysis in relation to ammonia emissions from agriculture. Rev. Environ. Sci. Bio/Technol. 2018, 17, 241–258. [Google Scholar] [CrossRef]
  13. Bremner, J. Problems in the use of urea as a nitrogen fertilizer. Soil Use Manag. 1990, 6, 70–71. [Google Scholar] [CrossRef]
  14. Owen, A.G.; Jones, D. Competition for amino acids between wheat roots and rhizosphere microorganisms and the role of amino acids in plant N acquisition. Soil Biol. Biochem. 2001, 33, 651–657. [Google Scholar] [CrossRef]
  15. Nadarajan, S.; Sukumaran, S. Chemistry and toxicology behind chemical fertilizers. In Controlled Release Fertilizers for Sustainable Agriculture; Elsevier: Amsterdam, The Netherlands, 2021; pp. 195–229. [Google Scholar]
  16. Walch-Liu, P.; Neumann, G.; Engels, C. Response of shoot and root growth to supply of different nitrogen forms is not related to carbohydrate and nitrogen status of tobacco plants. J. Plant Nutr. Soil Sci. 2001, 164, 97–103. [Google Scholar] [CrossRef]
  17. Britto, D.T.; Kronzucker, H.J. NH4+ toxicity in higher plants: A critical review. J. Plant Physiol. 2002, 159, 567–584. [Google Scholar] [CrossRef]
  18. Esteban, R.; Ariz, I.; Cruz, C.; Moran, J.F. Mechanisms of ammonium toxicity and the quest for tolerance. Plant Sci. 2016, 248, 92–101. [Google Scholar] [CrossRef] [PubMed]
  19. Kronzucker, H.J.; Britto, D.T.; Davenport, R.J.; Tester, M. Ammonium toxicity and the real cost of transport. Trends Plant Sci. 2001, 6, 335–337. [Google Scholar] [CrossRef] [PubMed]
  20. Britto, D.T.; Siddiqi, M.Y.; Glass, A.D.M.; Kronzucker, H.J. Futile transmembrane NH4+ cycling: A cellular hypothesis to explain ammonium toxicity in plants. Proc. Natl. Acad. Sci. USA 2001, 98, 4255–4258. [Google Scholar] [CrossRef] [PubMed]
  21. Piwpuan, N.; Jampeetong, A.; Brix, H. Ammonium tolerance and toxicity of Actinoscirpus grossus—A candidate species for use in tropical constructed wetland systems. Ecotoxicol. Environ. Saf. 2014, 107, 319–328. [Google Scholar] [CrossRef]
  22. Bodirsky, B.L.; Popp, A.; Lotze-Campen, H.; Dietrich, J.P.; Rolinski, S.; Weindl, I.; Schmitz, C.; Müller, C.; Bonsch, M.; Humpenöder, F. Reactive nitrogen requirements to feed the world in 2050 and potential to mitigate nitrogen pollution. Nat. Commun. 2014, 5, 3858. [Google Scholar] [CrossRef]
  23. Ravishankara, A.; Daniel, J.S.; Portmann, R.W. Nitrous oxide (N2O): The dominant ozone-depleting substance emitted in the 21st century. Science 2009, 326, 123–125. [Google Scholar] [CrossRef]
  24. Park, S.; Croteau, P.; Boering, K.A.; Etheridge, D.M.; Ferretti, D.; Fraser, P.J.; Kim, K.R.; Krummel, P.B.; Langenfelds, R.L.; van Ommen, T.D.; et al. Trends and seasonal cycles in the isotopic composition of nitrous oxide since 1940. Nat. Geosci. 2012, 5, 261–265. [Google Scholar] [CrossRef]
  25. Lea, P.J.; Miflin, B.J. Nitrogen assimilation and its relevance to crop improvement. Annu. Plant Rev. 2010, 42, 1–40. [Google Scholar]
  26. Rahman, N.; Forrestal, P.J. Ammonium Fertilizer Reduces Nitrous Oxide Emission Compared to Nitrate Fertilizer While Yielding Equally in a Temperate Grassland. Agriculture 2021, 11, 1141. [Google Scholar] [CrossRef]
  27. Wu, S.-F.; Wu, L.-H.; Shi, Q.-W.; Wang, Z.-Q.; Chen, X.-Y.; Li, Y.-S. Effects of a new nitrification inhibitor 3,4-dimethylpyrazole phosphate (DMPP) on nitrate and potassium leaching in two soils. J. Environ. Sci. 2007, 19, 841–847. [Google Scholar] [CrossRef] [PubMed]
  28. Cahalan, E.; Ernfors, M.; Müller, C.; Devaney, D.; Laughlin, R.J.; Watson, C.J.; Hennessy, D.; Grant, J.; Khalil, M.I.; McGeough, K.L.; et al. The effect of the nitrification inhibitor dicyandiamide (DCD) on nitrous oxide and methane emissions after cattle slurry application to Irish grassland. Agric. Ecosyst. Environ. 2015, 199, 339–349. [Google Scholar] [CrossRef]
  29. Guo, Y.J.; Di, H.J.; Cameron, K.C.; Li, B. Effect of application rate of a nitrification inhibitor, dicyandiamide (DCD), on nitrification rate, and ammonia-oxidizing bacteria and archaea growth in a grazed pasture soil: An incubation study. J. Soils Sediments 2014, 14, 897–903. [Google Scholar] [CrossRef]
  30. Ning, J.; Ai, S.; Cui, L. Dicyandiamide has more inhibitory activities on nitrification than thiosulfate. PLoS ONE 2018, 13, e0200598. [Google Scholar] [CrossRef]
  31. Cui, L.; Li, D.; Wu, Z.; Xue, Y.; Xiao, F.; Zhang, L.; Song, Y.; Li, Y.; Zheng, Y.; Zhang, J. Effects of nitrification inhibitors on soil nitrification and ammonia volatilization in three soils with different pH. Agronomy 2021, 11, 1674. [Google Scholar] [CrossRef]
  32. Saric, M.R.; Loughman, B.C. Genetic Aspects of Plant Nutrition. In Proceedings of the First International Symposium on Genetic Aspects of Plant Nutrition, Organized by the Serbian Academy of Sciences and Arts, Belgrade, Serbia, 30 August–4 September 1982; Springer: Dordrecht, The Netherlands, 2012. [Google Scholar]
  33. Siddiqui, M.H.; Mohammad, F.; Khan, M.N.; Al-Whaibi, M.H.; Bahkali, A.H. Nitrogen in relation to photosynthetic capacity and accumulation of osmoprotectant and nutrients in Brassica genotypes grown under salt stress. Agric. Sci. China 2010, 9, 671–680. [Google Scholar] [CrossRef]
  34. Zhong, Y.; Yan, W.; Chen, J.; Shangguan, Z. Net ammonium and nitrate fluxes in wheat roots under different environmental conditions as assessed by scanning ion-selective electrode technique. Sci. Rep. 2014, 4, 7223. [Google Scholar] [CrossRef]
  35. Wang, F.; Gao, J.; Liu, Y.; Tian, Z.; Muhammad, A.; Zhang, Y.; Jiang, D.; Cao, W.; Dai, T. Higher ammonium transamination capacity can alleviate glutamate inhibition on winter wheat (Triticum aestivum L.) root growth under high ammonium stress. PLoS ONE 2016, 11, e0160997. [Google Scholar] [CrossRef]
  36. Gashaw, L.; Mugwira, L.M. Ammonium-N and nitrate-N effects on the growth and mineral compositions of triticale, wheat, and rye. Agron. J. 1981, 73, 47–51. [Google Scholar] [CrossRef]
  37. Muhlestein, D.J. Effects of High Ammonium/Nitrate Ratios on Nitrification and Growth of Wheat in Hydroponic Culture. Ph.D. Thesis, Utah State University, Ann Arbor, MI, USA, 2001. [Google Scholar]
  38. Schortemeyer, M.; Stamp, P.; Feil, B. Ammonium tolerance and carbohydrate status in maize cultivars. Ann. Bot. 1997, 79, 25–30. [Google Scholar] [CrossRef]
  39. Chen, G.; Guo, S.; Kronzucker, H.J.; Shi, W. Nitrogen use efficiency (NUE) in rice links to NH4+ toxicity and futile NH4+ cycling in roots. Plant Soil 2013, 369, 351–363. [Google Scholar] [CrossRef]
  40. Park, H.; Charles, A.; Stutte. Effects of ammonium, nitrate and urea on the growth of soybean plants different in phosphorus sensitivity. Korean Agrinurture Chem. Soc. 1973, 16, 118–127. [Google Scholar]
  41. Bloom, A.J.; John, F. The influence of ammonium and chloride on potassium and nitrate absorption by barley roots depends on time of exposure and cultivar. Plant Physiol. 1986, 81, 67–69. [Google Scholar] [CrossRef] [PubMed]
  42. Zhang, X.; Rengel, Z. Gradients of pH, ammonium, and phosphorus between the fertiliser band and wheat roots. Aust. J. Agric. Res. 1999, 50, 365–374. [Google Scholar] [CrossRef]
  43. Balint, T.; Rengel, Z.; Allen, D. Australian canola germplasm differs in nitrogen and sulfur efficiency. Aust. J. Agric. Res. 2008, 59, 167–174. [Google Scholar] [CrossRef]
  44. Jackie, B.; Mark, S.; Bob, F.; Raj, M.; Sally, S.; Martin, H.; Vanessa, S. Canola Variety Guide for Western Australia; Western Australia: Nedlands, Australia, 2015. [Google Scholar]
  45. Svečnjak, Z.; Rengel, Z. Nitrogen utilization efficiency in canola cultivars at grain harvest. Plant Soil 2006, 283, 299–307. [Google Scholar] [CrossRef]
  46. Rose, T.J.; Rengel, Z.; Ma, Q.; Bowden, J.W. Differential accumulation patterns of phosphorus and potassium by canola cultivars compared to wheat. J. Plant Nutr. Soil Sci. 2007, 170, 404–411. [Google Scholar] [CrossRef]
  47. Singh, B.; Rengel, Z.; Bowden, J.W. Carbon, nitrogen and sulphur cycling following incorporation of canola residue of different sizes into a nutrient-poor sandy soil. Soil Biol. Biochem. 2006, 38, 32–42. [Google Scholar] [CrossRef]
  48. Rayment, G.E.; Lyons, D.J. Soil Chemical Methods: Australasia; CSIRO Publishing: Collingwood, Australia, 2011; Volume 3. [Google Scholar]
  49. Searle, P.L. The Berthelot or indophenol reaction and its use in the analytical chemistry of nitrogen. Analyst 1984, 109, 549–568. [Google Scholar] [CrossRef]
  50. McGill, W.B.; Figueiredo, C.T. Total nitrogen. In Soil Sampling and Methods of Analysis; Carter, M.R., Ed.; Canadian Society of Soil Science and Lewis Publishers—CRC Press: Boca Raton, FL, USA, 1993; pp. 201–211. [Google Scholar]
  51. Rengel, Z.; Graham, R.D. Importance of seed Zn content for wheat growth on Zn-deficient soil. Plant Soil 1995, 173, 259–266. [Google Scholar] [CrossRef]
  52. Yau, S.K.; Thurling, N. Variation in nitrogen response among spring rape (Brassica napus) cultivars and its relationship to nitrogen uptake and utilization. Field Crops Res. 1987, 16, 139–155. [Google Scholar] [CrossRef]
  53. Tabatabaei, S.J.; Bybordi, A. Effect of different ratios of ammonium: Nitrate on photosynthesis and fatty acid composition in canola (Brassica napus L.) under saline conditions. J. Crop Prod. Process. 2012, 2, 83–92. [Google Scholar]
  54. Cruz, C.; Bio, A.F.M.; Domínguez-Valdivia, M.D.; Aparicio-Tejo, P.M.; Lamsfus, C.; Martins-Loução, M.A. How does glutamine synthetase activity determine plant tolerance to ammonium? Planta 2006, 223, 1068–1080. [Google Scholar] [CrossRef] [PubMed]
  55. Dowling, C.W. Seed and Seedling Tolerance of Cereal, Oilseed, Fibre and Legume Crops to Injury from Banded Ammonium Fertilizers. Ph.D. Thesis, Griffith University, Brisbane, QLD, Australia, 1998. [Google Scholar]
  56. Lasa, B.; Frechilla, S.; Lamsfus, C.; Aparicio-Tejo, P.M. The sensitivity to ammonium nutrition is related to nitrogen accumulation. Sci. Hortic. 2001, 91, 143–152. [Google Scholar] [CrossRef]
  57. Harada, T.; Takaki, H.; Yamada, Y. Effect of nitrogen sources on the chemical components in young plants. Soil Sci. Plant Nutr. 1968, 14, 47–55. [Google Scholar] [CrossRef]
  58. Malhi, S.S.; Nyborg, M.; Jahn, H.G.; Penney, D.C. Yield and nitrogen uptake of rapessed (Brassica campestris L.) with ammonium and nitrate. Plant Soil 1988, 105, 231–239. [Google Scholar] [CrossRef]
  59. Heuermann, D.; Hahn, H.; Von Wirén, N. Seed yield and nitrogen efficiency in oilseed rape after ammonium nitrate or urea fertilization. Front. Plant Sci. 2021, 11, 608785. [Google Scholar] [CrossRef]
  60. Gerwing, J.; Gelderman, R.; Bly, A. Influence of seed placed fertilizer on corn, soybean and sunflower emergence. In Proceedings of the 24th North Central Extension—Industry Soil Fertility Conference, St Louis, MO, USA, 26–27 October 1994; Potash & Phosphate Institute: Manhattan, KS, USA, 1994; pp. 26–27. [Google Scholar]
  61. Bremner, J.M.; Krogmeier, M.J. Elimination of the adverse effects of urea fertilizer on seed germination, seedling growth, and early plant growth in soil. Proc. Natl. Acad. Sci. USA 1988, 85, 4601–4604. [Google Scholar] [CrossRef]
  62. Claasen, M.E.T.; Wilcox, G.E. Effect of nitrogen form on growth and composition of tomato and pea tissue. J. Am. Soc. Hortic. Sci. 1974, 99, 171–174. [Google Scholar] [CrossRef]
  63. Magalhaes, J.R.; Huber, D.M. Response of ammonium assimilation enzymes to nitrogen form treatments in different plant species. J. Plant Nutr. 1991, 14, 175–185. [Google Scholar] [CrossRef]
  64. Hageman, R.H. Ammonium and nitrate nutrition of higher plants. Am. Soc. Agron. 1980, 67–85. [Google Scholar] [CrossRef]
  65. Horchani, F.; Hajri, R.; Aschi-Smiti, S. Effect of ammonium or nitrate nutrition on photosynthesis, growth, and nitrogen assimilation in tomato plants. J. Plant Nutr. Soil Sci. 2010, 173, 610–617. [Google Scholar] [CrossRef]
  66. Roosta, H.R.; Schjoerring, J.K. Effects of ammonium toxicity on nitrogen metabolism and elemental profile of cucumber plants. J. Plant Nutr. 2007, 30, 1933–1951. [Google Scholar] [CrossRef]
  67. Bittsánszky, A.; Pilinszky, K.; Gyulai, G.; Komives, T. Overcoming ammonium toxicity. Plant Sci. 2015, 231, 184–190. [Google Scholar] [CrossRef]
  68. Matt, P.; Geiger, M.; Walch-Liu, P.; Engels, C.; Krapp, A.; Stitt, M. The immediate cause of the diurnal changes of nitrogen metabolism in leaves of nitrate-replete tobacco: A major imbalance between the rate of nitrate reduction and the rates of nitrate uptake and ammonium metabolism during the first part of the light period. Plant Cell Environ. 2001, 24, 177–190. [Google Scholar]
  69. Schjoerring, J.K.; Husted, S.; Mäck, G.; Mattsson, M. The regulation of ammonium translocation in plants. J. Exp. Bot. 2002, 53, 883–890. [Google Scholar] [CrossRef]
  70. El Omari, R.; Rueda-López, M.; Avila, C.; Crespillo, R.; Nhiri, M.; Cánovas, F.M. Ammonium tolerance and the regulation of two cytosolic glutamine synthetases in the roots of sorghum. Funct. Plant Biol. 2010, 37, 55–63. [Google Scholar] [CrossRef]
  71. Cruz, C.; Domínguez-Valdivia, M.D.; Aparicio-Tejo, P.M.; Lamsfus, C.; Bio, A.; Martins-Loução, M.A.; Moran, J.F. Intra-specific variation in pea responses to ammonium nutrition leads to different degrees of tolerance. Environ. Exp. Bot. 2011, 70, 233–243. [Google Scholar] [CrossRef]
  72. Schortemeyer, M.; Feil, B.; Stamp, P. Root morphology and nitrogen uptake of maize simultaneously supplied with ammonium and nitrate in a split-root system. Ann. Bot. 1993, 72, 107–115. [Google Scholar] [CrossRef]
  73. Schortemeyer, M.; Feil, B. Root morphology of maize under homogeneous or spatially separated supply of ammonium and nitrate at three concentration ratios. J. Plant Nutr. 1996, 19, 1089–1097. [Google Scholar] [CrossRef]
  74. Chaillou, S.; Rideout, J.; Raper, C.J.; Morot-Gaudry, J.-F. Responses to ammonium and nitrate supplied in combination to the whole root system or separately in a split-root system. Physiol. Plant. 1994, 90, 259–268. [Google Scholar] [CrossRef] [PubMed]
  75. Feil, B. Growth and ammonium:nitrate uptake ratio of spring wheat cultivars under a homogeneous and a spatially separated supply of ammonium and nitrate. J. Plant Nutr. 1994, 17, 717–728. [Google Scholar] [CrossRef]
  76. Hachiya, T.; Sakakibara, H. Interactions between nitrate and ammonium in their uptake, allocation, assimilation, and signaling in plants. J. Exp. Bot. 2016, 68, 2501–2512. [Google Scholar] [CrossRef] [PubMed]
  77. Zeng, H.; Di, T.; Zhu, Y.; Subbarao, G. Transcriptional response of plasma membrane H-ATPase genes to ammonium nutrition and its functional link to the release of biological nitrification inhibitors from sorghum roots. Plant Soil 2016, 398, 301–312. [Google Scholar] [CrossRef]
  78. Rengel, Z. Handbook of Soil Acidity; CRC Press: New York, NY, USA, 2003. [Google Scholar]
  79. Sarasketa, A.; González-Moro, M.B.; González-Murua, C.; Marino, D. Nitrogen source and external medium pH interaction differentially affects root and shoot metabolism in Arabidopsis. Front. Plant Sci. 2016, 7, 29. [Google Scholar] [CrossRef] [PubMed]
  80. DPIRD. Critical Nutrient Levels for Canola in Western Australia; Department of Primary Industries and Regional Development, Western of Australia: Perth, WA, Australia, 2019. [Google Scholar]
  81. Openshaw, M.D. The Effect of Ammonia on Germination and Development of Seedlings in Soil. Ph.D. Thesis, Iowa State University, Ames, IA, USA, 1970. [Google Scholar]
  82. Leidi, E.O.; Silberbush, M.; Lips, S.H. Wheat growth as affected by nitrogen type, pH and salinity. I. biomass production and mineral composition. J. Plant Nutr. 1991, 14, 235–246. [Google Scholar] [CrossRef]
  83. Schroder, J.L.; Zhang, H.; Girma, K.; Raun, W.R.; Penn, C.J.; Payton, M.E. Soil acidification from long-term use of nitrogen fertilizers on winter wheat. Soil Sci. Soc. Am. J. 2011, 75, 957–964. [Google Scholar] [CrossRef]
  84. Findenegg, G.R.; Beusichem, M.L.v.; Keltjens, W.G. Proton balance of plants: Physiological, agronomical and ecological implications. Neth. J. Agric. Sci. 1986, 34, 371–379. [Google Scholar] [CrossRef]
  85. Findenegg, G.R. A comparative study of ammonium toxicity at different constatn pH of the nutrient solution. Plant Soil 1987, 103, 239–243. [Google Scholar] [CrossRef]
  86. Barker, A.V.; Mills, H.A. Ammonium and nitrate nutrition of horticultural crops. Hortic. Rev. 1980, 2, 395–423. [Google Scholar]
  87. Li, S.-X.; Wang, Z.-H.; Stewart, B. Responses of crop plants to ammonium and nitrate N. Adv. Agron. 2013, 118, 205–397. [Google Scholar]
  88. Pan, W.; A Jackson, W.; H Moll, R. Nitrate uptake and partitioning by corn root systems: Differential effects of ammonium among genotypes and stages of root development. Plant Physiol. 1985, 77, 560–566. [Google Scholar] [CrossRef] [PubMed]
  89. Li, S.; Zhang, H.; Wang, S.; Shi, L.; Xu, F.; Wang, C.; Cai, H.; Ding, G. The rapeseed genotypes with contrasting NUE response discrepantly to varied provision of ammonium and nitrate by regulating photosynthesis, root morphology, nutritional status, and oxidative stress response. Plant Physiol. Biochem. 2021, 166, 348–360. [Google Scholar] [CrossRef] [PubMed]
  90. Azimi Sooran, S.; Amirshekari, H.; Shirani Rad, A.H.; Mozaffari, J.; Fotokian, M.H. Evaluation of winter canola genotypes response to terminal drought stress under application of ammonium sulfate. J. Crops Improv. 2018, 20, 627–642. [Google Scholar] [CrossRef]
  91. Williams, S.T.; Vail, S.; Arcand, M.M. Nitrogen Use Efficiency in Parent vs. Hybrid Canola under Varying Nitrogen Availabilities. Plants 2021, 10, 2364. [Google Scholar] [CrossRef]
  92. Singh, B. Are nitrogen fertilizers deleterious to soil health? Agronomy 2018, 8, 48. [Google Scholar] [CrossRef]
  93. Dari, B.; Rogers, C.W.; Walsh, O.S. Understanding factors controlling ammonia volatilization from fertilizer nitrogen applications. Univ. Ida. Ext. Bul. 2019, 926, 1–4. [Google Scholar]
  94. Shi, Y.; Wang, J.; Le Roux, X.; Mu, C.; Ao, Y.; Gao, S.; Zhang, J.; Knops, J.M.H. Trade-offs and synergies between seed yield, forage yield, and N-related disservices for a semi-arid perennial grassland under different nitrogen fertilization strategies. Biol. Fertil. Soils 2019, 55, 497–509. [Google Scholar] [CrossRef]
  95. Klapwijk, C.J.; van Wijk, M.T.; Rosenstock, T.S.; van Asten, P.J.A.; Thornton, P.K.; Giller, K.E. Analysis of trade-offs in agricultural systems: Current status and way forward. Curr. Opin. Environ. Sustain. 2014, 6, 110–115. [Google Scholar] [CrossRef]
  96. Morsi, N.A.A.; Hashem, O.S.M.; El-Hady, M.A.A.; Abd-Elkrem, Y.M.; El-temsah, M.E.; Galal, E.G.; Gad, K.I.; Boudiar, R.; Silvar, C.; El-Hendawy, S.; et al. Assessing Drought Tolerance of Newly Developed Tissue-Cultured Canola Genotypes under Varying Irrigation Regimes. Agronomy 2023, 13, 836. [Google Scholar] [CrossRef]
Figure 1. Effects of the ammonium (NH4+-N) and nitrate (NO3-N) treatments on shoot (A,B) and root growth (C,D) of canola plants grown for 35 days (vegetative stage 1,5). Means ± SE (n = 4).
Figure 1. Effects of the ammonium (NH4+-N) and nitrate (NO3-N) treatments on shoot (A,B) and root growth (C,D) of canola plants grown for 35 days (vegetative stage 1,5). Means ± SE (n = 4).
Agronomy 13 01150 g001
Figure 2. Effects of the ammonium (NH4+-N) and nitrate (NO3-N) treatments on soil pH (A,B) and of ammonium (NH4+-N) (C,D) and nitrate (NO3-N) treatments on residual NH4+-N in soil after 35 days. Data for each treatment are presented as mean ±SE (n = 4).
Figure 2. Effects of the ammonium (NH4+-N) and nitrate (NO3-N) treatments on soil pH (A,B) and of ammonium (NH4+-N) (C,D) and nitrate (NO3-N) treatments on residual NH4+-N in soil after 35 days. Data for each treatment are presented as mean ±SE (n = 4).
Agronomy 13 01150 g002
Figure 3. Relative shoot dry weight of 30 canola genotypes (shoot dry weight at 15 or 60 mg NH4+-N/kg compared with the control (60 mg NO3-N). The resistance intervals were defined by subtracting or adding the value of two standard errors (for the genotype main effect) from the median point for all the genotypes. Means ± SE (n = 3).
Figure 3. Relative shoot dry weight of 30 canola genotypes (shoot dry weight at 15 or 60 mg NH4+-N/kg compared with the control (60 mg NO3-N). The resistance intervals were defined by subtracting or adding the value of two standard errors (for the genotype main effect) from the median point for all the genotypes. Means ± SE (n = 3).
Agronomy 13 01150 g003
Figure 4. Relative root dry weight of 30 canola genotypes (root dry weight at 15 or 60 mg NH4+-N/kg soil) compared with the control (60 mg NO3-N). The resistance intervals were defined by subtracting or adding the value of 2 standard errors (for the genotype main effect) from the median point for all the genotypes. Means ± SE (n = 3).
Figure 4. Relative root dry weight of 30 canola genotypes (root dry weight at 15 or 60 mg NH4+-N/kg soil) compared with the control (60 mg NO3-N). The resistance intervals were defined by subtracting or adding the value of 2 standard errors (for the genotype main effect) from the median point for all the genotypes. Means ± SE (n = 3).
Agronomy 13 01150 g004
Figure 5. Nitrogen concentration in shoots of 30 canola genotypes (N concentration in shoot dry weight at 15 or 60 mg NH4+-N/kg soil). The resistance intervals were defined by subtracting or adding the value of two standard errors (for the genotype main effect) from the median point for all the genotypes. Means ± SE (n = 3).
Figure 5. Nitrogen concentration in shoots of 30 canola genotypes (N concentration in shoot dry weight at 15 or 60 mg NH4+-N/kg soil). The resistance intervals were defined by subtracting or adding the value of two standard errors (for the genotype main effect) from the median point for all the genotypes. Means ± SE (n = 3).
Agronomy 13 01150 g005
Figure 6. Residual soil ammonium (mg NH4+-N/kg soil) after growth of 30 canola genotypes (starting rates of NH4+-N soil application of 60 and 15 mg NH4+−N/kg soil). The resistance intervals were defined by subtracting or adding the value of two standard errors (for the genotype main effect) from the median point for all the genotypes. Means ± SE (n = 3).
Figure 6. Residual soil ammonium (mg NH4+-N/kg soil) after growth of 30 canola genotypes (starting rates of NH4+-N soil application of 60 and 15 mg NH4+−N/kg soil). The resistance intervals were defined by subtracting or adding the value of two standard errors (for the genotype main effect) from the median point for all the genotypes. Means ± SE (n = 3).
Agronomy 13 01150 g006
Figure 7. Effects of the NH4+-N treatments on for the rhizosphere soil pH. The dotted line represents the starting soil pH before any treatment was applied. Means ± SE (n = 3).
Figure 7. Effects of the NH4+-N treatments on for the rhizosphere soil pH. The dotted line represents the starting soil pH before any treatment was applied. Means ± SE (n = 3).
Agronomy 13 01150 g007
Table 1. Physical and chemical properties of the soil.
Table 1. Physical and chemical properties of the soil.
Soil PropertyUnitResults
Depthcm0–10
Gravel%5
TextureSandy
Ammonium nitrogenmg/kg1
Nitrate nitrogenmg/kg2
Phosphorus (Colwell method)mg/kg<2
Potassium (Colwell method)mg/kg30
Sulphurmg/kg2.1
Organic carbong/kg5.8
Conductivity (1:5 water)dS/m0.02
pHCaCl2 5.8
DTPA-extractable coppermg/kg0.15
DTPA-extractable ironmg/kg17.25
DTPA-extractable manganesemg/kg1.35
DTPA-extractable zincmg/kg0.19
Table 2. Canola genotypes tested.
Table 2. Canola genotypes tested.
Genotype # *Genotype NameOrigin Country
1Karoo-057DHAustralia
2CampinoEurope
3Zhongshuang4BChina
4Zhongyou821China
5(SC09-1)China
6CN01-104-2China
7HAU02China
8HAU11China
9GSL1India
10CB telferAustralia
11ATR StingrayAustralia
12AV-GarnetAustralia
13(AV-Opal)Australia
14(AV-Ruby)Australia
15TranbyAustralia
16ZY001China
17AG-OutbackAustralia
18AG-SpectrumAustralia
19CB-ArgyleAustralia
20CB-TanamiAustralia
21CB-TrilogyAustralia
22Ding474China
23CharltonAustralia
24OscarAustralia
25PurlerAustralia
26Tarcoola-22Australia
27SkiptonAustralia
28Surpass400Australia
29(SC01-3)Australia
30(SC03-1)Australia
* Each genotype was assigned an arbitrary number used hereafter when referring to the different genotypes.
Table 3. Analysis of variance for growth and soil parameters (expt. 1, vegetative stage 1,5).
Table 3. Analysis of variance for growth and soil parameters (expt. 1, vegetative stage 1,5).
ParametersNH4+-N TreatmentsNO3-N Treatments
Shoot dry weight****
Root dry weight**NS
mg NH4+-N/kg soil****
mg NO3-N/kg soilNS**
Soil pH****
**, Significant at p ≤ 0.01. NS = non-significant.
Table 4. Analysis of variance of the effect of nitrogen form and rates, canola genotype, and their interaction on canola growth and soil parameters (exp 2, vegetative growth stage 1,5).
Table 4. Analysis of variance of the effect of nitrogen form and rates, canola genotype, and their interaction on canola growth and soil parameters (exp 2, vegetative growth stage 1,5).
ParametersN TreatmentsGenotypesN Treatments × Genotypes
Shoot dry weight******
Root dry weight******
mg NH4+-N/kg soil******
mg NO3-N/kg soilNSNSNS
Nitrogen concentration in shoot******
Soil pH**NSNS
** Significant at p ≤ 0.01. NS = non-significant.
Disclaimer/Publisher’s Note: The statements, opinions and data contained in all publications are solely those of the individual author(s) and contributor(s) and not of MDPI and/or the editor(s). MDPI and/or the editor(s) disclaim responsibility for any injury to people or property resulting from any ideas, methods, instructions or products referred to in the content.

Share and Cite

MDPI and ACS Style

Al-Awad, O.A.S.; Prendergast, K.S.; Robson, A.; Rengel, Z. Screening Canola Genotypes for Resistance to Ammonium Toxicity. Agronomy 2023, 13, 1150. https://doi.org/10.3390/agronomy13041150

AMA Style

Al-Awad OAS, Prendergast KS, Robson A, Rengel Z. Screening Canola Genotypes for Resistance to Ammonium Toxicity. Agronomy. 2023; 13(4):1150. https://doi.org/10.3390/agronomy13041150

Chicago/Turabian Style

Al-Awad, Omar Ali Shaban, Kit Stasia Prendergast, Alan Robson, and Zed Rengel. 2023. "Screening Canola Genotypes for Resistance to Ammonium Toxicity" Agronomy 13, no. 4: 1150. https://doi.org/10.3390/agronomy13041150

APA Style

Al-Awad, O. A. S., Prendergast, K. S., Robson, A., & Rengel, Z. (2023). Screening Canola Genotypes for Resistance to Ammonium Toxicity. Agronomy, 13(4), 1150. https://doi.org/10.3390/agronomy13041150

Note that from the first issue of 2016, this journal uses article numbers instead of page numbers. See further details here.

Article Metrics

Back to TopTop