Next Article in Journal
A Section Dedicated to the Continuously Growing Field of Pest and Disease Management
Next Article in Special Issue
Temperature Matters More than Fertilization for Straw Decomposition in the Soil of Greenhouse Vegetable Field
Previous Article in Journal
Struvite as P Fertilizer on Yield, Nutrient Uptake and Soil Nutrient Status in the Rice–Wheat Rotation System: A Two-Year Field Observation
 
 
Font Type:
Arial Georgia Verdana
Font Size:
Aa Aa Aa
Line Spacing:
Column Width:
Background:
Article

Soil Bacterial Community and Greenhouse Gas Emissions as Responded to the Coupled Application of Nitrogen Fertilizer and Microbial Decomposing Inoculants in Wheat (Triticum aestivum L.) Seedling Stage under Different Water Regimes

1
Key Laboratory of Crop Water Use and Regulation, Ministry of Agriculture and Rural Affairs, Institute of Farmland Irrigation of CAAS, Xinxiang 453002, China
2
Graduate School of Chinese Academy of Agricultural Sciences, Beijing 100081, China
3
Laboratoire Interface Sciences du Sol, Climat et Production Végétale (LISSCPV), Ecole Supérieure d’Agronomie, Université de Lomé, Lome 01 BP 1515, Togo
4
College of Tropical Crops, Hainan University, Haikou 570100, China
5
College of Natural Resources and Environment, South China Agricultural University, Guangzhou 510642, China
*
Authors to whom correspondence should be addressed.
Agronomy 2023, 13(12), 2950; https://doi.org/10.3390/agronomy13122950
Submission received: 30 October 2023 / Revised: 15 November 2023 / Accepted: 28 November 2023 / Published: 29 November 2023
(This article belongs to the Special Issue Effect of Fertilization on Soil Quality)

Abstract

:
The soil microbial community is critically important in plant nutrition and health. However, this community is extremely sensitive to various environmental conditions. A pot experiment was conducted during the wheat seedling stage to better understand the influences of the coupled application of nitrogen (N) and microbial decomposing inoculants (MDI) on the soil bacteria community under different water regimes. There were two levels of water and six levels of fertilization. The results reveal that water stress increased the relative abundance of Acidobacteria and decreased that of Firmicutes and Proteobacteria. The application of 250 kg N ha−1 altered the diversity of the bacterial community but increased the relative abundance of nitrifying bacteria. Nitrous oxide (N2O) and carbon dioxide (CO2) emissions were negatively correlated with Myxococcota and Methylomirabilota while positively correlated with Patescibacteria. These two gases were also positively correlated with nitrifying bacteria, and the correlation was more significant under the full irrigation regime. These findings indicate that MDI does not substantially influence the soil bacterial community and its relationship with greenhouse gas emission at the wheat seedling stage and that the abundance of the soil bacterial community would mainly depend on the rational control of the amount of N and water applied.

1. Introduction

Drought is a natural disaster that can affect all aspects of life. It is a very complex climatic phenomenon that has yet to be fully understood [1,2]. Statistical data show that drought affected over 25% of the world’s population and induced an overall economic loss of 175.1012 dollars between 1900 and 2019 [3]. According to predictions, such climatic events will continue to occur more frequently in the coming years [4,5]. The agricultural sector is one of the most vulnerable to water deficits [6]. Indeed, water is an essential resource for crop production [7,8,9], and its absence or deficit leads to considerable yield losses. The yield loss caused by drought annually exceeds that caused by all crop pathogens [10]. According to Ullah, et al. [11], water is the second limiting factor in crop production after soil. For Hussain, et al. [12], yield losses induced by water deficit can range from 30 to 92%, depending on the considered crop. However, the sensitivity of yield to this climatic event mainly depends on the type of agricultural product harvested (root, leaf, grain, etc.) [13]. This climatic stress also deteriorates the quality of cereal products, such as winter wheat, by reducing the size of the grains and their organic matter content [14]. Drought negatively affects crop production by inducing considerable changes in the plant environment, particularly by negatively influencing soil nutrient availability [15].
Among the essential nutrients for plant growth and development, nitrogen (N) appears to be the most limiting nutrient in crop production. This nutrient plays a crucial role in the various biochemical reactions within the plant, including photosynthesis [16,17], which makes it a determining factor in yield formation [18,19]. The plant’s efficiency of nitrogen use (NUE) depends on its application technique. For example, split N application improves physiological characteristics and yield [20,21], and the effectiveness of this technique increases as input timing becomes optimal [22]. Deep N application improves NUE and crop yield while reducing ammonium N losses [23,24,25]. Previous studies on the combined application of N fertilizers and microbial decomposing inoculants (MDI) have reported improved crop growth and productivity with reduced greenhouse gas (GHG) emission [26,27,28]. These different N supply techniques benefit plants only under favorable climatic conditions.
Water and N are essential for adequate yield formation [29,30]. Unavailability or low soil moisture significantly affects the availability of different forms of N in the soil [31]. Previous studies have shown that drought inhibits soil N ammonization and nitrification reactions [32,33] but decreases soil N loss [34]. This climatic stress impacts the biogeochemical processes of nitrogen in the soil by negatively influencing the biological agents involved in the biogeochemical cycle of nutrients in the soil, as well as the rate of GHG emissions.
Soil microbial organisms play an essential role in forming and protecting soil quality. These organisms are present in negligible quantities in the soil but ensure soil nutrient mineralization [35,36,37]. Several studies have reported the central role of soil microorganisms in the mineralization of organic matter [38,39,40], nitrogen [41,42,43] and phosphorus in the soil [44,45]. Nevertheless, soil microbes are susceptible to different environmental stresses. Several studies have been conducted to demonstrate the impact of drought on the soil microbial community. It has been proven that drought significantly alters the structure, size, and composition of the soil microbial community, leading to undesirable changes in the biogeochemical cycling of soil nutrients [46,47]. Xu, et al. [48] have shown that drought leads to a 17% drop in microbial biomass, whereas high precipitation leads to an 18% increase. Moreover, the influence of water stress is more pronounced on bacteria than fungi [47,49,50]. Siebielec, et al. [51] have reported significant changes in the relative abundance of different soil bacterial phyla under water deficit conditions. Other factors, including soil fertilization, also influence the response of the soil microbial community to drought. It is currently known that an optimal application of N fertilizer mitigates the impact of drought on the microbial community of the soil [52,53]; meanwhile, as its excessive application increases in the long term, so does the sensitivity of the microbial community to various environmental stresses [54]. Other studies have reported a significant improvement in microbial biomass and an alteration in the composition of the soil microbial community under suitable N fertilization in drought conditions [55,56]. Despite these numerous previous studies, the combined effect of biological and mineral fertilizers on the soil microbial community under water deficit conditions remains less clear.
The soil microbial community contributes in various ways to the GHG emissions, and their contribution varies depending on the stresses to which they are subjected. For example, soil moisture, salinity, and N availability are all factors that influence the relationship between soil microbes and GHG emissions [57,58,59]. In addition, the different stages of plant development influence in various ways the soil microbial community [60,61,62]. However, very little research has taken into account these different stages until now. In fact, the seedling stage is very critical for the proper development of wheat and is sensitive to various environmental stresses [63,64,65,66]. The present study aims to characterize the soil microbial community at the seedling stage of winter wheat and its contribution to greenhouse gas emissions under the combined application of biological and mineral fertilizers. We hypothesize that applying bacillus-based microbial inoculants combined with a high dose of nitrogen would increase the abundance of bacillus and soil-nitrifying bacteria under full irrigation and reduce their contribution to GHG emissions. This hypothesis is based on previous work, which has shown that, under the proper irrigation regime, the application of MDI attenuates the emission of GHG [27], whereas the opposite effect followed by an increase in the abundance of nitrifying bacteria is observed with the excessive application of nitrogen fertilizer [67,68].

2. Materials and Methods

2.1. Description of the Site and Experimental Design

The study was conducted in a controlled greenhouse at the Xinxiang Comprehensive Experimental Station of the Chinese Academy of Agricultural Sciences (35.09° N, 113.48° E, and altitude 81 m). The humidity inside the greenhouse was maintained between 40–50%, the photoperiod at 12 h, and the ambient temperature between 30 °C and 20 °C, day and night, respectively. Seeds were sown in 6.5 kg air-dried sandy loam soil (USDA-NRCS Soil survey division) contained in 5.3 L pots with 15 cm diameter and 30 cm height. The experimental soil’s sand, silt, and clay averaged 55.59, 40.39, and 4.11%, respectively. The average soil bulk density was 1.52 g cm−3. The field capacity (31.62%) and the average value for soil permanent wilting point was (17.34%). The soil’s average values of available soil N, phosphorous and potassium were 43.77, 16.43 and 129.83 mg kg−1, respectively. The average values of soil electric conductivity, pH, and organic matter were 142.87 s cm−1, 8.59, and 1.01%, respectively. Seedlings were trimmed to four seedlings per pot after ten days post germination. Two-factorial design with six replicates per treatment was adopted for the experiment implementation. The first factor included two irrigation levels, and the second included six fertilization levels. A total of 12 treatments were defined for this study (Table 1).
The two irrigation levels were, respectively, 80% and 50% of the field capacity of the soil. Based on the soil’s dry weight in each pot and the field capacity, soil moisture was determined with daily changes in the pot’s weight, weighed with an electronic balance at 8:00 a.m. Regarding fertilization, different doses of N (urea) were combined with MDI and applied to crops by fertigation. The local dose of N fertilization of wheat or maize in northern China, set at 250 kg N ha−1 or 100 mg kg−1, was considered to estimate the maximum amount of N to be applied [69]. Using urea (46% N), 217 mg kg−1 was applied for plants receiving 100% N and 108 mg kg−1 for plants receiving 50% N. BioTech Medics Inc (BMCS) Co., Ltd. (Tokyo, Japan) supplied the MDI. This inoculant with high N fixing capacities is composed of Bacillus brevis (1.6 × 109 cells g−1), Bacillus laterosporus (3.2 × 109 cells g−1), and Saccharomyces (5.2 × 109 cells g−1), and was applied after dilution at a concentration of 1 L of inoculant for 50 L of water. The Zhoumai22 winter wheat variety served as plant material for the experiment.

2.2. Soil Sampling and Measurement of Inorganic Nitrogen and GHG Emissions

Soil samples were collected between 0–10 cm soil depth under each treatment using an auger. A first sample was used to measure the soil’s NH4 and NO3. A second sample (collected in the root environment) was stored in liquid nitrogen just after sampling, transferred to the laboratory, and then stored again at a temperature of −80 °C for the extraction of DNA. The soil NH4 and NO3 concentrations were measured by continuous flow analyzer as described by Ning, et al. [70]. GHG (N2O and CO2) emissions were measured by the static chamber method [71]. For this, three plants were randomly selected under each treatment for measurement, and Li-6400-01 Liquefaction small steel bottle was used for gas collection [27]. The collection of soil samples for chemical and microbial analysis and the GHS measurements were carried out on the day of harvesting (46th day after germination).

2.3. DNA Extraction and Sequencing

DNA extraction was performed in 0.5 g of soil using E.Z.N.A Soil DNA Kit (Omega Bio-tek, Norcross, GA, USA), and purity was assessed using ultraviolet–visible spectrophotometer (Thermo Scientific, Wilmington, NC, USA). DNA quality was checked by 1% agarose gel electrophoresis. The hypervariable region V3-V4 of the bacterial 16S rRNA was amplified using specific primers (338F: 5′-ACTCCTACGGGAGGCAGCAG-3′; 806R: 5′-GGACTACHVGGGTWTCTAAT-3′) (GeneAmp 9700, ABI, Cambridge, MA, USA). The PCR amplification was performed using the following process: 27 cycles of denaturation at 95 °C for 30 s, annealing at 55 °C for 30 s, extension at 72 °C for 30 s, and final extension at 72 °C for 10 min. The PCR mixtures contained 4 µL of 5 × TransStart FastPfu buffer, 2 µL of 2.5-mM deoxynucleoside triphosphates (dNTP), 0.8 µL of forward primer (5 µM), reverse primer (5 µM) 0.8 µL, 0.4 µL of TransStart FastPfu DNA Polymerase, and 10 ng of template DNA. The PCR products were extracted from a 2% agarose gel and quantified using a Quantus Fluorometer system (Madison, WI, USA). Purified amplicons were pooled in equimolar and were paired-end sequenced on a MiSeq platform (Illumina, San Diego, CA, USA) by Majorbio Bio-Pharm Technology Co., Ltd. (Shanghai, China).

2.4. Statistical Analysis

Three replicates per treatment were used for the statistical analysis. The alpha diversity indices of each replicate were calculated using the online Majorbio Cloud Platform, www.majorbio.com (accessed on 10 July 2023), and one-way ANOVA allowed us to discriminate the averages of the indices at the 5% threshold using R software (4.3.1). Ordination Bray–Curtis distance was performed to visualize the dissimilarity using principal coordinate analysis (PCoA) with the Vegan package contained in R [72]. The relationships between the different environmental parameters and the soil microbial abundance were determined using the Pearson correlation. All graphics were made using R software.

3. Results

3.1. Bacterial Community Diversity

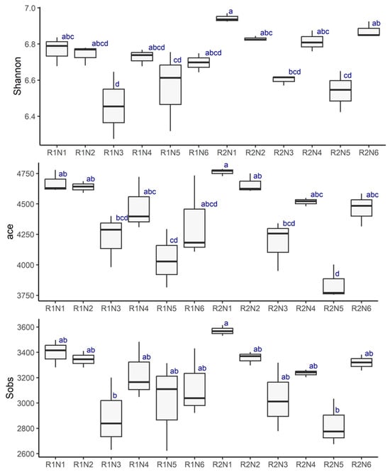
The diversity of a soil’s microbial community is an essential parameter for assessing its biological and functional state. In the present study, the alpha diversity within bacterial communities and the dissimilarity between these communities were tested. Figure 1 shows the variation of the Shannon, Ace, and observed species number indices under the various water and fertilization treatments. The fertilization modes significantly influenced the diversity indices rather than the water regime.
The high values of alpha diversity indices were obtained with the N1, N2, N4, and N6 fertilization modes under the two water regimes and their maximum values under R2N1. Low values of these indices were obtained under treatments with N3 and N5 fertilization modes under both water regimes. Alpha diversity was, therefore, high under the treatments without N or with a 50% N supply and low under the treatments with a 100% N supply.
Principal coordinate analysis (PCoA) was used to compare the distance between the bacterial communities of the different treatments (Figure 2). The two axes of each subfigure explain more than 50% of the dissimilarity between the bacterial communities subjected to various fertilization modes under each of the water regimes. The communities under the treatments N1, N2, N4, and N6 were relatively similar and differed from those under N3 and N5 in both water regime conditions. A similar trend was observed for alpha diversity.

3.2. Abundance and Composition of the Bacterial Community

At the phylum level, Proteobacteria (22–33%), Actinobacteria (22–25%), Acidobacteria (9–22%), Chroroflexi (9–12%), and Firmicutes (2–7%) were the five most dominant phyla under all treatments and represent more than 80% of all microbial taxa (Figure 3). A low relative abundance of Firmicutes was observed under treatments with water deficit. Acidobacteria, unlike Proteobacteria, were more abundant under all treatments with water deficit and full water regime without N supply. An exceptionally high proportion of Proteobacteria and a low proportion of Acidobacteria were observed under R1N3. Although not among the most abundant phyla under all treatments, relatively low proportions of Myxococcota and Methylomirabilota and high proportions of Pastescibacteria were observed under treatments with N3, N4, and N5 from both water regimes.
At the genus level, high proportions of Vicinamibacteraceae, Vicinamibacterales, RB41, and low proportions of Bacillus were obtained under the deficit irrigation regime. The proportion of Sphingomonas and Bacillus was exceptionally high under R1N3, while that of Vicinamibacteraceae and Vicinamibacterales was the lowest under this treatment (Figure 4). Compared with the control treatment, MDI had no significant influence on the soil microbial community.

3.3. Correlation Analysis between Bacteria Community and Environmental Parameters

Under the two irrigation regimes, the concentrations of soil nitrate (NO3) and ammonium (NH4), as well as of nitrous oxide (N2O) and carbon dioxide (CO2), were high under the treatments, with 100% N application rates as compared with other treatments [27]. The correlation between the relative abundance at the phylum level of bacteria and environmental parameters is shown in Figure 5. Regardless of the irrigation regime and the fertilization strategies, NO3 and NH4 on one side and N2O and CO2 on the other side were correlated in a substantially similar way with the different soil microorganisms. N2O and CO2 were negatively correlated with Myxococcota and Methylomirabilota and positively correlated with Patescibacteria (Figure 5).
Under the two water regimes, the correlation of NH4 and NO3 with the different phyla of bacteria was insignificant. In contrast, a significant positive correlation was observed between Acidobacteria, and N2O and CO2 under water stress. Bacteroidota and Patescibacteria were positively correlated with NH4 and NO3, respectively, under the treatments with the microbial inoculant. However, only Patescibacteria was significant and positively correlated with available forms of N under all fertilization strategies (Figure 5).

3.4. Nitrifying Bacteria and Their Relationship to Environmental Parameters

The relative abundance, according to the treatments, of nitrifying bacteria Nitrolancea, Nitrosomonas, Nitrosospira, and Nitrospira was evaluated in this study (Figure 6A). The different fertilization modes influenced the relative abundance of these bacteria more than the water regime. R1N3, R1N5, R2N3, and R2N5 treatments increased the relative abundance of nitrifying bacteria compared with the other treatments. A significant positive correlation was observed between nitrifying bacteria and GHG emissions, which was more significant under the full irrigation regime. The correlation of these bacteria with soil-available N forms was insignificant under the two water regimes (Figure 6B).

4. Discussion

4.1. Influences of Various Water Regimes and Fertilization Modes on the Diversity of the Soil Bacterial Community

Knowing the factors influencing the diversity of the soil microbial community is essential for a better understanding of the changes within this community. Several factors, including soil texture, depth, acidity, and salinity, induce changes in the diversity of the soil microbial community [73,74,75,76,77]. In the present study, the alpha diversity and dissimilarity between the microbial communities under the different treatments varied much more depending on the dose of nitrogen supply rather than the irrigation regime and the application of the microbial decomposing inoculants. The application of the maximum nitrogen dose reduced the diversity (Figure 1) while increasing the distance between the bacterial communities of the different treatments (Figure 2). Previous studies have also reported the negative influence of nitrogen supply on the diversity of the soil microbial community [53,78,79]. Indeed, the application of nitrogen fertilizers composed of ammonia acidifies the soil [80,81], and the intensity of this acidity increases with the dose of nitrogen applied [82]. However, soil acidity is one of the factors that most influence the soil’s microbial community. Thus, nitrogen fertilizers reduce soil microbial diversity by promoting increased soil acidity [83]. Wang, et al. [84] have shown that a drop in the microbial biomass of the soil accompanies this reduction in diversity under the application of nitrogen. Other studies have also reported the negative impact of reduced bacterial community diversity on soil health and nutrient cycling [85,86].
The detrimental impact of water stress on the diversity of the soil microbial community has been widely documented by previous studies [87,88,89]. In the present study, water deficit did not significantly influence the diversity of the soil bacterial community. This can be explained by the fact that the present study focused on the seedling stage, whereas most previous studies on drought have considered only the maturity stage of wheat. Several studies have shown the influence of different plant development stages on the response of the soil microbial community to different environmental stresses [90,91,92,93]. Therefore, future studies on drought need to consider the different stages of plant development to provide a clearer understanding of this climatic stress on the soil microbial community.

4.2. Effects of Different Water Regimes and Fertilization Modes on the Abundance of Various Soil Bacteria

Bacillus is a bacterial genus belonging to the Firmicutes phylum. The MDI used in this study is composed of 48% Bacillus. A small proportion of Firmicutes, particularly bacteria of the genus Bacillus, were observed under water stress conditions (Figure 3 and Figure 4). In addition, the application of MDI or N fertilizer showed insignificant influence on the relative abundance of soil Bacillus under the different treatments (Figure 4). Previous studies have revealed that Bacillus-based microbial inoculants help mitigate the effects of drought on crop growth and productivity while increasing their disease resistance [94,95,96,97]. Other research has also reported the contribution of several species of bacteria of the genus Bacillus in the fixation of atmospheric N [98,99,100]. Nevertheless, the effect of Bacillus-based microbial inoculants application on the relative abundance of soil Bacillus remains less documented. The results of this study reveal that Bacillus-based microbial inoculants have no significant impact on the relative abundance of Bacillus in the soil. At the same time, water stress negatively influences its abundance in the soil.
Acidobacteria was mainly represented by bacteria of the genus Vicinamibacteraceae, Vicinamibacterales, and RB41, while Proteobacteria was represented by bacteria of the genus Lysobacter and Sphingomonas in the present study. The relative abundance of Acidobacteria was high, and that of Proteobacteria was low under water stress conditions and full irrigation without N supply (Figure 3). Previous studies have reported similar results [101,102]. Water stress compromises the biogeochemical cycle of various soil nutrients and hinders their bioavailability [103,104]. In addition, Acidobacteria generally abounds in oligotrophic and acidic environments [105,106,107,108,109], while Proteobacteria prefer copiotrophic environments with an acidity relatively neutral or slightly alkaline [106,110,111,112]. This would explain the high proportion of Acidobacteria and low proportion of Proteobacteria observed under water stress conditions and a full irrigation regime without nitrogen supply. On the other hand, this would also explain the exceptionally high proportion of Sphingomonas (Proteobacteria), Bacillus (Firmicutes), and the meager proportions of Vicinamibacteraceae and Vicinamibacterales (Acidobacteria) observed under the R1N3 treatment (Figure 4).

4.3. Relationship between the Relative Abundance of Soil Microorganisms and Environmental Parameters

The contribution of soil microorganisms in the production of greenhouse gases remains a less documented subject. Myxococcota, Methylomirabilota, Pastescibacteria, and Bacteroidota were the bacterial phyla that mostly correlated with environmental parameters in this study (Figure 5). Results of previous work on the interaction between microbial abundance and GHG emissions remain divergent. Wang, et al. [113], who investigated biochar and microbial agent additives, observed that Chloroflexi, Myxococcota, Acidobacteriota, Firmicutes, and Gemmatimonadota are the phyla of bacteria that most influence GHG emissions. Other research on intermittent aeration during composting processes reports that Proteobacteria, Chloroflexi, Bacteroidetes, and Actinobacteria are the phyla most linked to GHG emission [114]. Thus, the interaction between GHG emissions and soil microbial community mainly depends on the factors studied. GHG emissions were negatively correlated with Myxococcota and Methylomirabilota, and positively correlated with Pastescibacteria (Figure 5). In addition to an increase in N2O and CO2 emissions, there is a rise in the abundance of Pastescibacteria and a reduction in Myxococcota and Methylomirabilota under the treatments with the 100% N application rate (Figure 3). These observations indicate that Myxococcota, Methylomirabilota, and Actinobacteria would have mitigating effects on GHG emissions, unlike Pastescibacteria. Regardless of irrigation regimes, Patescibacteria and Bacteroidetes were positively correlated with soil inorganic N (Figure 5). This result agrees with the finding of Ren et al. [115], who showed that Patescibacteria and Bacteroidetes have a positive influence on the availability of soluble forms of N in the soil.

4.4. Nitrifying Bacteria and Their Relationship with Environmental Parameters

The soil microbial community ensures the oxidation of ammonia to nitrate. The relative abundances of nitrifying bacteria of the genera Nitrolancea, Nitrosomonas, Nitrosospira, and Nitrospira, following water regime and fertilization strategies, were evaluated in this study (Figure 6A). The results show no significant influence of the water regimes or the application of MDI on the relative abundance of nitrifying bacteria and only the treatments with 100% N application rate had positive influences on the abundance of these bacteria. These observations agree with previous work, which also report a positive influence of N application on the abundance of soil nitrifying bacteria [3,67,116,117]. This could be explained by the addition of nitrogenous fertilizers forcing the nitrifying bacteria to multiply to meet the growing need for nitrification of the available ammonia.
A positive correlation was observed between nitrifying bacteria and N2O and CO2 emissions, which was more significant under a full irrigation regime (Figure 6B). Similar results have been obtained by Sabba, et al. [118]. Furthermore, the nitrification reaction is one of the primary sources of N2O emissions into the atmosphere [68,119] and are sensitive to soil moisture [120]. Under a full irrigation regime, the oxygen content of the soil decreases, which accelerates the processes of denitrification and the emission of N2O [121,122]. Additionally, more studies have reported a positive relationship between N2O and CO2 emissions [123,124,125]. These previous works explain the significant positive interaction between nitrifying bacteria and the GHG emissions observed under the full irrigation regime in this study. Thus, the excessive application of nitrogen fertilizer under a full irrigation regime would increase GHG emissions by increasing the abundance of nitrifying bacteria in the soil.

5. Conclusions

The effect of different fertilization strategies and water regimes on the soil microbial community and its relationship with GHG emissions in the wheat seedling stage was explored in this study. The results show that application of the maximum dose of N (250 kg N ha−1) with or without MDI reduced the diversity of the soil bacterial community while increasing the relative abundance of nitrifying bacteria. The application of MDI had no significant influence on the bacterial community and its contribution to the emission of GHG. Moreover, unlike Pastescibacteria and nitrifying bacteria, the phyla of Myxococcota and Methylomirabilota seemed to attenuate N2O and CO2 emissions. At the wheat seedling stage, maintaining the balance of bacterial community in the soil would intrinsically depend on rational control of N application rates and water levels to crops. Furthermore, research on the optimal dose of nitrogen capable of improving crop yield requires considering the protection of soil microorganisms.

Author Contributions

Conceptualization, A.K.M.H. and Y.G.; methodology, A.K.M.H. and Y.G.; software, D.F.K.; validation, D.F.K., A.K.M.H. and Y.G.; formal analysis, D.F.K.; investigation, D.F.K. and A.K.M.H.; resources, Y.G.; data curation, D.F.K.; writing—original draft preparation, D.F.K.; writing—review and editing, A.K.M.H., Y.G., C.H., J.M.S., J.L., Y.L. and R.K.; visualization, D.F.K.; supervision, Y.G.; project administration, Y.G.; funding acquisition, Y.G. All authors have read and agreed to the published version of the manuscript.

Funding

This research was funded by the National Natural Science Foundation of China (No. 51879267), the China Agriculture Research System of MOF and MARA (CARS-03–19), and the Agricultural Science and Technology Innovation Program (ASTIP).

Data Availability Statement

Data will be made available on request.

Conflicts of Interest

The authors declare no conflict of interest.

References

  1. Cao, S.; Zhang, L.; He, Y.; Zhang, Y.; Chen, Y.; Yao, S.; Yang, W.; Sun, Q. Effects and contributions of meteorological drought on agricultural drought under different climatic zones and vegetation types in Northwest China. Sci. Total Environ. 2022, 821, 153270. [Google Scholar] [CrossRef]
  2. Lawal, S.; Hewitson, B.; Egbebiyi, T.S.; Adesuyi, A. On the suitability of using vegetation indices to monitor the response of Africa’s terrestrial ecoregions to drought. Sci. Total Environ. 2021, 792, 148282. [Google Scholar] [CrossRef] [PubMed]
  3. Liu, J.; Han, J.; Zhu, C.; Cao, W.; Luo, Y.; Zhang, M.; Zhang, S.; Jia, Z.; Yu, R.; Zhao, J. Elevated atmospheric CO2 and nitrogen fertilization affect the abundance and community structure of rice root-associated nitrogen-fixing bacteria. Front. Microbiol. 2021, 12, 628108. [Google Scholar] [CrossRef] [PubMed]
  4. Hessl, A.E.; Anchukaitis, K.J.; Jelsema, C.; Cook, B.; Byambasuren, O.; Leland, C.; Nachin, B.; Pederson, N.; Tian, H.; Hayles, L.A. Past and future drought in Mongolia. Sci. Adv. 2018, 4, e1701832. [Google Scholar] [CrossRef] [PubMed]
  5. Liang, Y.; Wang, Y.; Yan, X.; Liu, W.; Jin, S.; Han, M. Projection of drought hazards in China during twenty-first century. Theor. Appl. Climatol. 2018, 133, 331–341. [Google Scholar] [CrossRef]
  6. Liu, J.; Si, Z.; Li, S.; Hamani, A.K.M.; Zhang, Y.; Wu, L.; Gao, Y.; Duan, A. Variations in water sources used by winter wheat across distinct rainfall years in the North China Plain. J. Hydrol. 2023, 618, 129186. [Google Scholar] [CrossRef]
  7. Jiang, T.; Liu, J.; Gao, Y.; Sun, Z.; Chen, S.; Yao, N.; Ma, H.; Feng, H.; Yu, Q.; He, J. Simulation of plant height of winter wheat under soil Water stress using modified growth functions. Agric. Water Manag. 2020, 232, 106066. [Google Scholar] [CrossRef]
  8. Zhou, Y.; Lao, C.; Yang, Y.; Zhang, Z.; Chen, H.; Chen, Y.; Chen, J.; Ning, J.; Yang, N. Diagnosis of winter-wheat water stress based on UAV-borne multispectral image texture and vegetation indices. Agric. Water Manag. 2021, 256, 107076. [Google Scholar] [CrossRef]
  9. Liu, J.; Si, Z.; Wu, L.; Shen, X.; Gao, Y.; Duan, A. High-low seedbed cultivation drives the efficient utilization of key production resources and the improvement of wheat productivity in the North China Plain. Agric. Water Manag. 2023, 285, 108357. [Google Scholar] [CrossRef]
  10. Gupta, A.; Rico-Medina, A.; Caño-Delgado, A.I. The physiology of plant responses to drought. Science 2020, 368, 266–269. [Google Scholar] [CrossRef]
  11. Ullah, H.; Santiago-Arenas, R.; Ferdous, Z.; Attia, A.; Datta, A. Chapter Two—Improving water use efficiency, nitrogen use efficiency, and radiation use efficiency in field crops under drought stress: A review. In Advances in Agronomy; Sparks, D.L., Ed.; Academic Press: Cambridge, MA, USA, 2019; Volume 156, pp. 109–157. [Google Scholar]
  12. Hussain, S.; Hussain, S.; Qadir, T.; Khaliq, A.; Ashraf, U.; Parveen, A.; Saqib, M.; Rafiq, M. Drought stress in plants: An overview on implications, tolerance mechanisms and agronomic mitigation strategies. Plant Sci. Today 2019, 6, 389–402. [Google Scholar] [CrossRef]
  13. Dietz, K.J.; Zörb, C.; Geilfus, C.M. Drought and crop yield. Plant Biol. 2021, 23, 881–893. [Google Scholar] [CrossRef] [PubMed]
  14. Golfam, R.; Kiarostami, K.; Lohrasebi, T.; Hasrak, S.; Razavi, K. A review of drought stress on wheat (Triticum aestivum L.) starch. Farming Manag. 2021, 6, 47–57. [Google Scholar]
  15. Yang, X.; Henry, H.A.; Zhong, S.; Meng, B.; Wang, C.; Gao, Y.; Sun, W. Towards a mechanistic understanding of soil nitrogen availability responses to summer vs. winter drought in a semiarid grassland. Sci. Total Environ. 2020, 741, 140272. [Google Scholar] [CrossRef]
  16. Leghari, S.J.; Wahocho, N.A.; Laghari, G.M.; HafeezLaghari, A.; MustafaBhabhan, G.; HussainTalpur, K.; Bhutto, T.A.; Wahocho, S.A.; Lashari, A.A. Role of nitrogen for plant growth and development: A review. Adv. Environ. Biol. 2016, 10, 209–219. [Google Scholar]
  17. Liang, X.; Zhang, T.; Lu, X.; Ellsworth, D.S.; BassiriRad, H.; You, C.; Wang, D.; He, P.; Deng, Q.; Liu, H. Global response patterns of plant photosynthesis to nitrogen addition: A meta-analysis. Glob. Chang. Biol. 2020, 26, 3585–3600. [Google Scholar] [CrossRef] [PubMed]
  18. Fang, X.; Li, Y.; Nie, J.; Wang, C.; Huang, K.; Zhang, Y.; Zhang, Y.; She, H.; Liu, X.; Ruan, R.; et al. Effects of nitrogen fertilizer and planting density on the leaf photosynthetic characteristics, agronomic traits and grain yield in common buckwheat (Fagopyrum esculentum M.). Field Crops Res. 2018, 219, 160–168. [Google Scholar] [CrossRef]
  19. Si, Z.; Zain, M.; Mehmood, F.; Wang, G.; Gao, Y.; Duan, A. Effects of nitrogen application rate and irrigation regime on growth, yield, and water-nitrogen use efficiency of drip-irrigated winter wheat in the North China Plain. Agric. Water Manag. 2020, 231, 106002. [Google Scholar] [CrossRef]
  20. Hamani, A.K.M.; Abubakar, S.A.; Si, Z.; Kama, R.; Gao, Y.; Duan, A. Suitable split nitrogen application increases grain yield and photosynthetic capacity in drip-irrigated winter wheat (Triticum aestivum L.) under different water regimes in the North China Plain. Front. Plant Sci. 2023, 13, 1105006. [Google Scholar] [CrossRef]
  21. Zhang, Z.; Zhang, Y.; Shi, Y.; Yu, Z. Optimized split nitrogen fertilizer increase photosynthesis, grain yield, nitrogen use efficiency and water use efficiency under water-saving irrigation. Sci. Rep. 2020, 10, 20310. [Google Scholar] [CrossRef]
  22. Abubakar, S.A.; Hamani, A.K.M.; Chen, J.; Traore, A.; Abubakar, N.A.; Usman Ibrahim, A.; Wang, G.; Gao, Y.; Duan, A. Optimized Drip Fertigation Scheduling Improves Nitrogen Productivity of Winter Wheat in the North China Plain. J. Soil Sci. Plant Nutr. 2022, 22, 2955–2968. [Google Scholar] [CrossRef]
  23. Li, L.; Tian, H.; Zhang, M.; Fan, P.; Ashraf, U.; Liu, H.; Chen, X.; Duan, M.; Tang, X.; Wang, Z.; et al. Deep placement of nitrogen fertilizer increases rice yield and nitrogen use efficiency with fewer greenhouse gas emissions in a mechanical direct-seeded cropping system. Crop J. 2021, 9, 1386–1396. [Google Scholar] [CrossRef]
  24. Liu, T.Q.; Li, S.H.; Guo, L.G.; Cao, C.G.; Li, C.F.; Zhai, Z.B.; Zhou, J.Y.; Mei, Y.M.; Ke, H.J. Advantages of nitrogen fertilizer deep placement in greenhouse gas emissions and net ecosystem economic benefits from no-tillage paddy fields. J. Clean. Prod. 2020, 263, 121322. [Google Scholar] [CrossRef]
  25. Zhu, C.-h.; Ouyang, Y.-y.; Diao, Y.; Yu, J.-q.; Luo, X.; Zheng, J.-g.; Li, X.-y. Effects of mechanized deep placement of nitrogen fertilizer rate and type on rice yield and nitrogen use efficiency in Chuanxi Plain, China. J. Integr. Agric. 2021, 20, 581–592. [Google Scholar] [CrossRef]
  26. Calvo, P.; Watts, D.B.; Kloepper, J.W.; Torbert, H.A. The influence of microbial-based inoculants on N2O emissions from soil planted with corn (Zea mays L.) under greenhouse conditions with different nitrogen fertilizer regimens. Can. J. Microbiol. 2016, 62, 1041–1056. [Google Scholar] [CrossRef] [PubMed]
  27. Hamani, A.K.M.; Abubakar, S.A.; Wang, G.; Kama, R.; Kurihara, T.; Liu, K.; Gao, Y.; Duan, A. Optimized application of combined nitrogen and microbial decomposing inoculants increases wheat (Triticum aestivum L.) physiological growth and mitigates global warming potential under different water regimes. Environ. Exp. Bot. 2023, 206, 105170. [Google Scholar] [CrossRef]
  28. Kalkhajeh, Y.K.; He, Z.; Yang, X.; Lu, Y.; Zhou, J.; Gao, H.; Ma, C. Co-application of nitrogen and straw-decomposing microbial inoculant enhanced wheat straw decomposition and rice yield in a paddy soil. J. Agric. Food Res. 2021, 4, 100134. [Google Scholar] [CrossRef]
  29. Plett, D.C.; Ranathunge, K.; Melino, V.J.; Kuya, N.; Uga, Y.; Kronzucker, H.J. The intersection of nitrogen nutrition and water use in plants: New paths toward improved crop productivity. J. Exp. Bot. 2020, 71, 4452–4468. [Google Scholar] [CrossRef] [PubMed]
  30. Tan, Y.; Chai, Q.; Li, G.; Zhao, C.; Yu, A.; Fan, Z.; Yin, W.; Hu, F.; Fan, H.; Wang, Q. Improving wheat grain yield via promotion of water and nitrogen utilization in arid areas. Sci. Rep. 2021, 11, 13821. [Google Scholar] [CrossRef]
  31. Zhu, Q.; Castellano, M.J.; Yang, G. Coupling soil water processes and the nitrogen cycle across spatial scales: Potentials, bottlenecks and solutions. Earth-Sci. Rev. 2018, 187, 248–258. [Google Scholar] [CrossRef]
  32. Chen, J.; Xiao, G.; Kuzyakov, Y.; Jenerette, G.D.; Ma, Y.; Liu, W.; Wang, Z.; Shen, W. Soil nitrogen transformation responses to seasonal precipitation changes are regulated by changes in functional microbial abundance in a subtropical forest. Biogeosciences 2017, 14, 2513–2525. [Google Scholar] [CrossRef]
  33. Huang, L.; Li, M.; Zhou, K.; Sun, T.; Hu, L.; Li, C.; Ma, F. Uptake and metabolism of ammonium and nitrate in response to drought stress in Malus prunifolia. Plant Physiol. Biochem. 2018, 127, 185–193. [Google Scholar] [CrossRef] [PubMed]
  34. Xie, T.; Shan, L. Water stress and appropriate N management achieves profitable yields and less N loss on sandy soils. Arid Land Res. Manag. 2021, 35, 358–373. [Google Scholar] [CrossRef]
  35. Guo, Z.; Han, J.; Li, J.; Xu, Y.; Wang, X. Effects of long-term fertilization on soil organic carbon mineralization and microbial community structure. PLoS ONE 2019, 14, e0211163. [Google Scholar]
  36. Ouyang, Y.; Norton, J.M. Short-term nitrogen fertilization affects microbial community composition and nitrogen mineralization functions in an agricultural soil. Appl. Environ. Microbiol. 2020, 86, e02278-19. [Google Scholar] [CrossRef]
  37. Wei, X.; Hu, Y.; Razavi, B.S.; Zhou, J.; Shen, J.; Nannipieri, P.; Wu, J.; Ge, T. Rare taxa of alkaline phosphomonoesterase-harboring microorganisms mediate soil phosphorus mineralization. Soil Biol. Biochem. 2019, 131, 62–70. [Google Scholar] [CrossRef]
  38. Rousk, K.; Michelsen, A.; Rousk, J. Microbial control of soil organic matter mineralization responses to labile carbon in subarctic climate change treatments. Glob. Chang. Biol. 2016, 22, 4150–4161. [Google Scholar] [CrossRef]
  39. Shahbaz, M.; Kuzyakov, Y.; Sanaullah, M.; Heitkamp, F.; Zelenev, V.; Kumar, A.; Blagodatskaya, E. Microbial decomposition of soil organic matter is mediated by quality and quantity of crop residues: Mechanisms and thresholds. Biol. Fertil. Soils 2017, 53, 287–301. [Google Scholar] [CrossRef]
  40. Yang, S.; Jansen, B.; Absalah, S.; Kalbitz, K.; Castro, F.O.C.; Cammeraat, E.L. Soil organic carbon content and mineralization controlled by the composition, origin and molecular diversity of organic matter: A study in tropical alpine grasslands. Soil Tillage Res. 2022, 215, 105203. [Google Scholar] [CrossRef]
  41. Clark, I.M.; Hughes, D.J.; Fu, Q.; Abadie, M.; Hirsch, P.R. Metagenomic approaches reveal differences in genetic diversity and relative abundance of nitrifying bacteria and archaea in contrasting soils. Sci. Rep. 2021, 11, 15905. [Google Scholar] [CrossRef]
  42. Duan, S.; Zhang, Y.; Zheng, S. Heterotrophic nitrifying bacteria in wastewater biological nitrogen removal systems: A review. Crit. Rev. Environ. Sci. Technol. 2022, 52, 2302–2338. [Google Scholar] [CrossRef]
  43. Norton, J.; Ouyang, Y. Controls and adaptive management of nitrification in agricultural soils. Front. Microbiol. 2019, 10, 1931. [Google Scholar] [CrossRef] [PubMed]
  44. Arenberg, M.R.; Arai, Y. Uncertainties in soil physicochemical factors controlling phosphorus mineralization and immobilization processes. Adv. Agron. 2019, 154, 153–200. [Google Scholar]
  45. Li, J.; Xie, T.; Zhu, H.; Zhou, J.; Li, C.; Xiong, W.; Xu, L.; Wu, Y.; He, Z.; Li, X. Alkaline phosphatase activity mediates soil organic phosphorus mineralization in a subalpine forest ecosystem. Geoderma 2021, 404, 115376. [Google Scholar] [CrossRef]
  46. Bogati, K.; Walczak, M. The impact of drought stress on soil microbial community, enzyme activities and plants. Agronomy 2022, 12, 189. [Google Scholar] [CrossRef]
  47. Duan, D.; Jiang, F.; Lin, W.; Tian, Z.; Wu, N.; Feng, X.; Chen, T.; Nan, Z. Effects of drought on the growth of Lespedeza davurica through the alteration of soil microbial communities and nutrient availability. J. Fungi 2022, 8, 384. [Google Scholar] [CrossRef]
  48. Xu, X.; Gao, P.; Zhu, X.; Guo, W.; Ding, J.; Li, C.; Zhu, M.; Wu, X. Design of an integrated climatic assessment indicator (ICAI) for wheat production: A case study in Jiangsu Province, China. Ecol. Indic. 2019, 101, 943–953. [Google Scholar] [CrossRef]
  49. Hestrin, R.; Kan, M.; Lafler, M.; Wollard, J.; Kimbrel, J.A.; Ray, P.; Blazewicz, S.J.; Stuart, R.; Craven, K.; Firestone, M. Plant-associated fungi support bacterial resilience following water limitation. ISME J. 2022, 16, 2752–2762. [Google Scholar] [CrossRef] [PubMed]
  50. Song, G.; Li, X.-j.; Wang, Q.-C.; Lyu, M.; Xie, J.; He, J.Z.; Zheng, Y. Responses of soil microbial biomass and carbon source utilization to simulated nitrogen deposition and drought in a Cunninghamia lanceolata plantation. Ying Yong Sheng Tai Xue Bao 2022, 33, 2388–2396. [Google Scholar]
  51. Siebielec, S.; Siebielec, G.; Klimkowicz-Pawlas, A.; Gałązka, A.; Grządziel, J.; Stuczyński, T. Impact of water stress on microbial community and activity in sandy and loamy soils. Agronomy 2020, 10, 1429. [Google Scholar] [CrossRef]
  52. Nguyen, L.T.; Osanai, Y.; Lai, K.; Anderson, I.C.; Bange, M.P.; Tissue, D.T.; Singh, B.K. Responses of the soil microbial community to nitrogen fertilizer regimes and historical exposure to extreme weather events: Flooding or prolonged-drought. Soil Biol. Biochem. 2018, 118, 227–236. [Google Scholar] [CrossRef]
  53. Yang, H.; Zhang, R.; Li, Y.; Meng, F.; Ma, J. Impact of Drip Irrigation and Nitrogen Fertilization on Soil Microbial Diversity of Spring Maize. Plants 2022, 11, 3206. [Google Scholar]
  54. Li, B.-B.; Roley, S.S.; Duncan, D.S.; Guo, J.; Quensen, J.F.; Yu, H.-Q.; Tiedje, J.M. Long-term excess nitrogen fertilizer increases sensitivity of soil microbial community to seasonal change revealed by ecological network and metagenome analyses. Soil Biol. Biochem. 2021, 160, 108349. [Google Scholar] [CrossRef]
  55. Peng, D. Effects of Nitrogen Fertilization on Desert Grassland Soil Microbial Population and Microbial Biomass. Xinjiang Agric. Sci. 2011, 48, 79. [Google Scholar]
  56. Li, W.; Xie, L.; Zhao, C.; Hu, X.; Yin, C. Nitrogen fertilization increases soil microbial biomass and alters microbial composition especially under low soil water availability. Microb. Ecol. 2023, 86, 536–548. [Google Scholar] [CrossRef] [PubMed]
  57. GAŁCZYŃSKA, M.; Gamrat, R.; Burczyk, P.; Michalcewicz, W. Effect of nitrogen fertilization types on the soil microbial biomass and greenhouse gases emission. Agric. For./Poljopr. I Sumar. 2016, 62, 57–64. [Google Scholar]
  58. Haj-Amor, Z.; Araya, T.; Kim, D.-G.; Bouri, S.; Lee, J.; Ghiloufi, W.; Yang, Y.; Kang, H.; Jhariya, M.K.; Banerjee, A.; et al. Soil salinity and its associated effects on soil microorganisms, greenhouse gas emissions, crop yield, biodiversity and desertification: A review. Sci. Total Environ. 2022, 843, 156946. [Google Scholar] [CrossRef]
  59. Martins, C.S.; Nazaries, L.; Macdonald, C.A.; Anderson, I.C.; Singh, B.K. Water availability and abundance of microbial groups are key determinants of greenhouse gas fluxes in a dryland forest ecosystem. Soil Biol. Biochem. 2015, 86, 5–16. [Google Scholar] [CrossRef]
  60. Houlden, A.; Timms-Wilson, T.M.; Day, M.J.; Bailey, M.J. Influence of plant developmental stage on microbial community structure and activity in the rhizosphere of three field crops. FEMS Microbiol. Ecol. 2008, 65, 193–201. [Google Scholar] [CrossRef]
  61. Sugiyama, A.; Ueda, Y.; Zushi, T.; Takase, H.; Yazaki, K. Changes in the bacterial community of soybean rhizospheres during growth in the field. PLoS ONE 2014, 9, e100709. [Google Scholar] [CrossRef]
  62. Van Overbeek, L.; Van Elsas, J.D. Effects of plant genotype and growth stage on the structure of bacterial communities associated with potato (Solanum tuberosum L.). FEMS Microbiol. Ecol. 2008, 64, 283–296. [Google Scholar] [CrossRef] [PubMed]
  63. Ahmad, I.; Khaliq, I.; Mahmood, N.; Khan, N. Morphological and physiological criteria for drought tolerance at seedling stage in wheat. JAPS J. Anim. Plant Sci. 2015, 25, 1041–1048. [Google Scholar]
  64. Bewley, J.D.; Bradford, K.; Hilhorst, H. Seeds: Physiology of Development, Germination and Dormancy; Springer Science & Business Media: New York, NY, USA, 2012. [Google Scholar]
  65. Hasseb, N.M.; Sallam, A.; Karam, M.A.; Gao, L.; Wang, R.R.; Moursi, Y.S. High-LD SNP markers exhibiting pleiotropic effects on salt tolerance at germination and seedlings stages in spring wheat. Plant Mol. Biol. 2022, 108, 585–603. [Google Scholar] [CrossRef]
  66. Song, J.; Fan, H.; Zhao, Y.; Jia, Y.; Du, X.; Wang, B. Effect of salinity on germination, seedling emergence, seedling growth and ion accumulation of a euhalophyte Suaeda salsa in an intertidal zone and on saline inland. Aquat. Bot. 2008, 88, 331–337. [Google Scholar] [CrossRef]
  67. Linton, N.F.; Ferrari Machado, P.V.; Deen, B.; Wagner-Riddle, C.; Dunfield, K.E. Long-term diverse rotation alters nitrogen cycling bacterial groups and nitrous oxide emissions after nitrogen fertilization. Soil Biol. Biochem. 2020, 149, 107917. [Google Scholar] [CrossRef]
  68. Torralbo, F.; Menéndez, S.; Barrena, I.; Estavillo, J.M.; Marino, D.; González-Murua, C. Dimethyl pyrazol-based nitrification inhibitors effect on nitrifying and denitrifying bacteria to mitigate N2O emission. Sci. Rep. 2017, 7, 13810. [Google Scholar] [CrossRef]
  69. An, T.; Wu, Y.; Xu, B.; Zhang, S.; Deng, X.; Zhang, Y.; Siddique, K.H.M.; Chen, Y. Nitrogen supply improved plant growth and Cd translocation in maize at the silking and physiological maturity under moderate Cd stress. Ecotoxicol. Environ. Saf. 2022, 230, 113137. [Google Scholar] [CrossRef]
  70. Ning, D.; Qin, A.; Duan, A.; Xiao, J.; Zhang, J.; Liu, Z.; Liu, Z.; Liu, Z. Deficit irrigation combined with reduced N-fertilizer rate can mitigate the high nitrous oxide emissions from Chinese drip-fertigated maize field. Glob. Ecol. Conserv. 2019, 20, e00803. [Google Scholar] [CrossRef]
  71. Abubakar, S.A.; Hamani, A.K.M.; Chen, J.; Sun, W.; Wang, G.; Gao, Y.; Duan, A. Optimizing N-fertigation scheduling maintains yield and mitigates global warming potential of winter wheat field in North China Plain. J. Clean. Prod. 2022, 357, 131906. [Google Scholar] [CrossRef]
  72. Qiu, L.; Zhang, Q.; Zhu, H.; Reich, P.B.; Banerjee, S.; van der Heijden, M.G.; Sadowsky, M.J.; Ishii, S.; Jia, X.; Shao, M. Erosion reduces soil microbial diversity, network complexity and multifunctionality. ISME J. 2021, 15, 2474–2489. [Google Scholar] [CrossRef]
  73. Bei, Q.; Yang, T.; Ren, C.; Guan, E.; Dai, Y.; Shu, D.; He, W.; Tian, H.; Wei, G. Soil pH determines arsenic-related functional gene and bacterial diversity in natural forests on the Taibai Mountain. Environ. Res. 2023, 220, 115181. [Google Scholar] [CrossRef]
  74. Dang, Q.; Tan, W.; Zhao, X.; Li, D.; Li, Y.; Yang, T.; Li, R.; Zu, G.; Xi, B. Linking the response of soil microbial community structure in soils to long-term wastewater irrigation and soil depth. Sci. Total Environ. 2019, 688, 26–36. [Google Scholar] [CrossRef] [PubMed]
  75. Soothar, M.K.; Hamani, A.K.M.; Sardar, M.F.; Sootahar, M.K.; Fu, Y.; Rahim, R.; Soothar, J.K.; Bhatti, S.M.; Abubakar, S.A.; Gao, Y. Maize (Zea mays L.) seedlings rhizosphere microbial community as responded to acidic biochar amendment under saline conditions. Front. Microbiol. 2021, 12, 789235. [Google Scholar] [CrossRef] [PubMed]
  76. Xia, Q.; Rufty, T.; Shi, W. Soil microbial diversity and composition: Links to soil texture and associated properties. Soil Biol. Biochem. 2020, 149, 107953. [Google Scholar] [CrossRef]
  77. Zhou, Z.; Wang, C.; Luo, Y. Meta-analysis of the impacts of global change factors on soil microbial diversity and functionality. Nat. Commun. 2020, 11, 3072. [Google Scholar] [CrossRef]
  78. Shen, W.; Lin, X.; Shi, W.; Min, J.; Gao, N.; Zhang, H.; Yin, R.; He, X. Higher rates of nitrogen fertilization decrease soil enzyme activities, microbial functional diversity and nitrification capacity in a Chinese polytunnel greenhouse vegetable land. Plant Soil 2010, 337, 137–150. [Google Scholar] [CrossRef]
  79. Zeng, J.; Liu, X.; Song, L.; Lin, X.; Zhang, H.; Shen, C.; Chu, H. Nitrogen fertilization directly affects soil bacterial diversity and indirectly affects bacterial community composition. Soil Biol. Biochem. 2016, 92, 41–49. [Google Scholar] [CrossRef]
  80. Han, J.; Shi, J.; Zeng, L.; Xu, J.; Wu, L. Effects of nitrogen fertilization on the acidity and salinity of greenhouse soils. Environ. Sci. Pollut. Res. 2015, 22, 2976–2986. [Google Scholar] [CrossRef]
  81. Schroder, J.L.; Zhang, H.; Girma, K.; Raun, W.R.; Penn, C.J.; Payton, M.E. Soil acidification from long-term use of nitrogen fertilizers on winter wheat. Soil Sci. Soc. Am. J. 2011, 75, 957–964. [Google Scholar] [CrossRef]
  82. Yang, X.-d.; Ni, K.; Shi, Y.-z.; Yi, X.-y.; Zhang, Q.-f.; Fang, L.; Ma, L.-f.; Ruan, J. Effects of long-term nitrogen application on soil acidification and solution chemistry of a tea plantation in China. Agric. Ecosyst. Environ. 2018, 252, 74–82. [Google Scholar] [CrossRef]
  83. Ling, N.; Chen, D.; Guo, H.; Wei, J.; Bai, Y.; Shen, Q.; Hu, S. Differential responses of soil bacterial communities to long-term N and P inputs in a semi-arid steppe. Geoderma 2017, 292, 25–33. [Google Scholar] [CrossRef]
  84. Wang, C.; Liu, D.; Bai, E. Decreasing soil microbial diversity is associated with decreasing microbial biomass under nitrogen addition. Soil Biol. Biochem. 2018, 120, 126–133. [Google Scholar] [CrossRef]
  85. Bhatia, C. Role of microbial diversity for soil, health and plant nutrition. In Molecular Mechanisms of Plant and Microbe Coexistence; Springer: Berlin/Heidelberg, Germany, 2008; pp. 53–74. [Google Scholar]
  86. Torsvik, V.; Øvreås, L. Microbial diversity and function in soil: From genes to ecosystems. Curr. Opin. Microbiol. 2002, 5, 240–245. [Google Scholar] [CrossRef] [PubMed]
  87. Bastida, F.; Torres, I.F.; Andrés-Abellán, M.; Baldrian, P.; López-Mondéjar, R.; Větrovský, T.; Richnow, H.H.; Starke, R.; Ondoño, S.; García, C. Differential sensitivity of total and active soil microbial communities to drought and forest management. Glob. Chang. Biol. 2017, 23, 4185–4203. [Google Scholar] [CrossRef]
  88. Hueso, S.; García, C.; Hernández, T. Severe drought conditions modify the microbial community structure, size and activity in amended and unamended soils. Soil Biol. Biochem. 2012, 50, 167–173. [Google Scholar] [CrossRef]
  89. Maestre, F.T.; Delgado-Baquerizo, M.; Jeffries, T.C.; Eldridge, D.J.; Ochoa, V.; Gozalo, B.; Quero, J.L.; García-Gómez, M.; Gallardo, A.; Ulrich, W. Increasing aridity reduces soil microbial diversity and abundance in global drylands. Proc. Natl. Acad. Sci. USA 2015, 112, 15684–15689. [Google Scholar] [CrossRef]
  90. Collavino, M.M.; Cabrera, E.R.; Bruno, C.; Aguilar, O.M. Effect of soil chemical fertilization on the diversity and composition of the tomato endophytic diazotrophic community at different stages of growth. Braz. J. Microbiol. 2020, 51, 1965–1975. [Google Scholar] [CrossRef] [PubMed]
  91. Fu, F.; Li, J.; Li, Y.; Chen, W.; Ding, H.; Xiao, S. Simulating the effect of climate change on soil microbial community in an Abies georgei var. smithii forest. Front. Microbiol. 2023, 14, 1189859. [Google Scholar] [CrossRef] [PubMed]
  92. Liu, S.; Gao, J.; Wang, S.; Li, W.; Wang, A. Community differentiation of rhizosphere microorganisms and their responses to environmental factors at different development stages of medicinal plant Glehnia littoralis. PeerJ 2023, 11, e14988. [Google Scholar] [CrossRef]
  93. Navarro-Noya, Y.E.; Chávez-Romero, Y.; Hereira-Pacheco, S.; de León Lorenzana, A.S.; Govaerts, B.; Verhulst, N.; Dendooven, L. Bacterial communities in the rhizosphere at different growth stages of maize cultivated in soil under conventional and conservation agricultural practices. Microbiol. Spectr. 2022, 10, e01821–e01834. [Google Scholar] [CrossRef]
  94. Azeem, M.; Haider, M.Z.; Javed, S.; Saleem, M.H.; Alatawi, A. Drought stress amelioration in maize (Zea mays L.) by inoculation of Bacillus spp. strains under sterile soil conditions. Agriculture 2022, 12, 50. [Google Scholar] [CrossRef]
  95. Castelo Sousa, H.; Gomes de Sousa, G.; de Araújo Viana, T.V.; Prudêncio de Araújo Pereira, A.; Nojosa Lessa, C.I.; Pires de Souza, M.V.; da Silva Guilherme, J.M.; Ferreira Goes, G.; da Silveira Alves, F.G.; Primola Gomes, S. Bacillus aryabhattai Mitigates the Effects of Salt and Water Stress on the Agronomic Performance of Maize under an Agroecological System. Agriculture 2023, 13, 1150. [Google Scholar] [CrossRef]
  96. Din, S.N.M.; Sakimin, S.Z.; Sijam, K.; Ramlan, M.F.; Baghdadi, A.; Zakaria, M.A.T. Potential of Bacillus subtilis inoculation in BioricharTM amended soil for suppression of Fusarium wilt of banana (Musa acuminata cv. Berangan) under water stress condition. Fundam. Appl. Agric. 2018, 3, 515–524. [Google Scholar] [CrossRef]
  97. de Lima, B.C.; Moro, A.L.; Santos, A.C.P.; Bonifacio, A.; Araujo, A.S.F.; de Araujo, F.F. Bacillus subtilis ameliorates water stress tolerance in maize and common bean. J. Plant Interact. 2019, 14, 432–439. [Google Scholar] [CrossRef]
  98. Ambrosini, A.; Stefanski, T.; Lisboa, B.; Beneduzi, A.; Vargas, L.; Passaglia, L. Diazotrophic bacilli isolated from the sunflower rhizosphere and the potential of Bacillus mycoides B38V as biofertiliser. Ann. Appl. Biol. 2016, 168, 93–110. [Google Scholar] [CrossRef]
  99. Ding, Y.; Wang, J.; Liu, Y.; Chen, S. Isolation and identification of nitrogen-fixing bacilli from plant rhizospheres in Beijing region. J. Appl. Microbiol. 2005, 99, 1271–1281. [Google Scholar] [CrossRef] [PubMed]
  100. Yousuf, J.; Thajudeen, J.; Rahiman, M.; Krishnankutty, S.; Alikunj, A.P.; Abdulla, M.H.A. Nitrogen fixing potential of various heterotrophic Bacillus strains from a tropical estuary and adjacent coastal regions. J. Basic Microbiol. 2017, 57, 922–932. [Google Scholar] [CrossRef] [PubMed]
  101. Bu, X.; Gu, X.; Zhou, X.; Zhang, M.; Guo, Z.; Zhang, J.; Zhou, X.; Chen, X.; Wang, X. Extreme drought slightly decreased soil labile organic C and N contents and altered microbial community structure in a subtropical evergreen forest. For. Ecol. Manag. 2018, 429, 18–27. [Google Scholar] [CrossRef]
  102. Sun, Y.; Chen, H.Y.; Jin, L.; Wang, C.; Zhang, R.; Ruan, H.; Yang, J. Drought stress induced increase of fungi: Bacteria ratio in a poplar plantation. Catena 2020, 193, 104607. [Google Scholar] [CrossRef]
  103. Deng, L.; Peng, C.; Kim, D.-G.; Li, J.; Liu, Y.; Hai, X.; Liu, Q.; Huang, C.; Shangguan, Z.; Kuzyakov, Y. Drought effects on soil carbon and nitrogen dynamics in global natural ecosystems. Earth-Sci. Rev. 2021, 214, 103501. [Google Scholar] [CrossRef]
  104. Gao, D.; Bai, E.; Li, M.; Zhao, C.; Yu, K.; Hagedorn, F. Responses of soil nitrogen and phosphorus cycling to drying and rewetting cycles: A meta-analysis. Soil Biol. Biochem. 2020, 148, 107896. [Google Scholar] [CrossRef]
  105. de Castro, V.H.L.; Schroeder, L.F.; Quirino, B.F.; Kruger, R.H.; Barreto, C.C. Acidobacteria from oligotrophic soil from the Cerrado can grow in a wide range of carbon source concentrations. Can. J. Microbiol. 2013, 59, 746–753. [Google Scholar] [CrossRef] [PubMed]
  106. Fierer, N.; Bradford, M.A.; Jackson, R.B. Toward an ecological classification of soil bacteria. Ecology 2007, 88, 1354–1364. [Google Scholar] [CrossRef] [PubMed]
  107. Jones, R.T.; Robeson, M.S.; Lauber, C.L.; Hamady, M.; Knight, R.; Fierer, N. A comprehensive survey of soil acidobacterial diversity using pyrosequencing and clone library analyses. ISME J. 2009, 3, 442–453. [Google Scholar] [CrossRef] [PubMed]
  108. Kielak, A.M.; Barreto, C.C.; Kowalchuk, G.A.; Van Veen, J.A.; Kuramae, E.E. The ecology of Acidobacteria: Moving beyond genes and genomes. Front. Microbiol. 2016, 7, 744. [Google Scholar] [CrossRef] [PubMed]
  109. Kim, H.-S.; Lee, S.-H.; Jo, H.Y.; Finneran, K.T.; Kwon, M.J. Diversity and composition of soil Acidobacteria and Proteobacteria communities as a bacterial indicator of past land-use change from forest to farmland. Sci. Total Environ. 2021, 797, 148944. [Google Scholar] [CrossRef] [PubMed]
  110. Francioli, D.; Schulz, E.; Lentendu, G.; Wubet, T.; Buscot, F.; Reitz, T. Mineral vs. organic amendments: Microbial community structure, activity and abundance of agriculturally relevant microbes are driven by long-term fertilization strategies. Front. Microbiol. 2016, 7, 1446. [Google Scholar] [CrossRef]
  111. Tao, X.; Feng, J.; Yang, Y.; Wang, G.; Tian, R.; Fan, F.; Ning, D.; Bates, C.T.; Hale, L.; Yuan, M.M.; et al. Winter warming in Alaska accelerates lignin decomposition contributed by Proteobacteria. Microbiome 2020, 8, 84. [Google Scholar] [CrossRef]
  112. Zhang, H.; Ullah, F.; Ahmad, R.; Shah, S.U.A.; Khan, A.; Adnan, M. Response of soil proteobacteria to biochar amendment in sustainable agriculture-a mini review. J. Soil Plant Environ. 2022, 1, 16–30. [Google Scholar] [CrossRef]
  113. Wang, Z.; Xu, Y.; Yang, T.; Liu, Y.; Zheng, T.; Zheng, C. Effects of biochar carried microbial agent on compost quality, greenhouse gas emission and bacterial community during sheep manure composting. Biochar 2023, 5, 3. [Google Scholar] [CrossRef]
  114. Ma, S.; Xiong, J.; Cui, R.; Sun, X.; Han, L.; Xu, Y.; Kan, Z.; Gong, X.; Huang, G. Effects of intermittent aeration on greenhouse gas emissions and bacterial community succession during large-scale membrane-covered aerobic composting. J. Clean. Prod. 2020, 266, 121551. [Google Scholar] [CrossRef]
  115. Ren, N.; Wang, Y.; Ye, Y.; Zhao, Y.; Huang, Y.; Fu, W.; Chu, X. Effects of continuous nitrogen fertilizer application on the diversity and composition of rhizosphere soil bacteria. Front. Microbiol. 2020, 11, 1948. [Google Scholar] [CrossRef]
  116. Yang, X.; Ni, K.; Shi, Y.; Yi, X.; Ji, L.; Ma, L.; Ruan, J. Heavy nitrogen application increases soil nitrification through ammonia-oxidizing bacteria rather than archaea in acidic tea (Camellia sinensis L.) plantation soil. Sci. Total Environ. 2020, 717, 137248. [Google Scholar] [CrossRef] [PubMed]
  117. Zhou, X.; Fornara, D.; Wasson, E.A.; Wang, D.; Ren, G.; Christie, P.; Jia, Z. Effects of 44 years of chronic nitrogen fertilization on the soil nitrifying community of permanent grassland. Soil Biol. Biochem. 2015, 91, 76–83. [Google Scholar] [CrossRef]
  118. Sabba, F.; Picioreanu, C.; Boltz, J.P.; Nerenberg, R. Predicting N2O emissions from nitrifying and denitrifying biofilms: A modeling study. Water Sci. Technol. 2017, 75, 530–538. [Google Scholar] [CrossRef] [PubMed]
  119. Qin, H.; Xing, X.; Tang, Y.; Zhu, B.; Wei, X.; Chen, X.; Liu, Y. Soil moisture and activity of nitrite-and nitrous oxide-reducing microbes enhanced nitrous oxide emissions in fallow paddy soils. Biol. Fertil. Soils 2020, 56, 53–67. [Google Scholar] [CrossRef]
  120. Krichels, A.; DeLucia, E.H.; Sanford, R.; Chee-Sanford, J.; Yang, W.H. Historical soil drainage mediates the response of soil greenhouse gas emissions to intense precipitation events. Biogeochemistry 2019, 142, 425–442. [Google Scholar] [CrossRef]
  121. Barrena, I.; Menéndez, S.; Correa-Galeote, D.; Vega-Mas, I.; Bedmar, E.J.; González-Murua, C.; Estavillo, J.M. Soil water content modulates the effect of the nitrification inhibitor 3,4-dimethylpyrazole phosphate (DMPP) on nitrifying and denitrifying bacteria. Geoderma 2017, 303, 1–8. [Google Scholar] [CrossRef]
  122. Zhu, X.; Burger, M.; Doane, T.A.; Horwath, W.R. Ammonia oxidation pathways and nitrifier denitrification are significant sources of N2O and NO under low oxygen availability. Proc. Natl. Acad. Sci. USA 2013, 110, 6328–6333. [Google Scholar] [CrossRef]
  123. Guilhen, J.; Al Bitar, A.; Sauvage, S.; Parrens, M.; Martinez, J.-M.; Abril, G.; Moreira-Turcq, P.; Sánchez-Pérez, J.-M. Denitrification and associated nitrous oxide and carbon dioxide emissions from the Amazonian wetlands. Biogeosciences 2020, 17, 4297–4311. [Google Scholar] [CrossRef]
  124. Wan, R.; Chen, Y.; Zheng, X.; Su, Y.; Li, M. Effect of CO2 on microbial denitrification via inhibiting electron transport and consumption. Environ. Sci. Technol. 2016, 50, 9915–9922. [Google Scholar] [CrossRef] [PubMed]
  125. Zhu, Y.; Merbold, L.; Leitner, S.; Xia, L.; Pelster, D.E.; Diaz-Pines, E.; Abwanda, S.; Mutuo, P.M.; Butterbach-Bahl, K. Influence of soil properties on N2O and CO2 emissions from excreta deposited on tropical pastures in Kenya. Soil Biol. Biochem. 2020, 140, 107636. [Google Scholar] [CrossRef]
Figure 1. Alpha diversity of the soil bacterial community as affected by different fertilization strategies and water regimes. Box plots are shown representing the median and quartiles of the data. Data points with different alphabets are significantly different.
Figure 1. Alpha diversity of the soil bacterial community as affected by different fertilization strategies and water regimes. Box plots are shown representing the median and quartiles of the data. Data points with different alphabets are significantly different.
Agronomy 13 02950 g001
Figure 2. Principal coordinate analysis plot of Bray–Curtis among the different fertilization strategies under a full water regime (a) and a deficit water regime (b). The same color points represent the repetitions of the same fertilization strategies. The closer the points are, the greater the similarity between the bacterial communities they represent.
Figure 2. Principal coordinate analysis plot of Bray–Curtis among the different fertilization strategies under a full water regime (a) and a deficit water regime (b). The same color points represent the repetitions of the same fertilization strategies. The closer the points are, the greater the similarity between the bacterial communities they represent.
Agronomy 13 02950 g002
Figure 3. Relative abundance of soil bacteria communities at the phylum level according to six fertilization strategies and two water regimes. Relative abundance was calculated by averaging the abundances of replicate samples.
Figure 3. Relative abundance of soil bacteria communities at the phylum level according to six fertilization strategies and two water regimes. Relative abundance was calculated by averaging the abundances of replicate samples.
Agronomy 13 02950 g003
Figure 4. Relative abundances of the top 20 genera of soil bacteria according to six fertilization strategies and two water regimes. Relative abundance was calculated by averaging the abundances of replicate samples.
Figure 4. Relative abundances of the top 20 genera of soil bacteria according to six fertilization strategies and two water regimes. Relative abundance was calculated by averaging the abundances of replicate samples.
Agronomy 13 02950 g004
Figure 5. Pearson’s correlation between environmental parameters and bacterial abundance at the phylum level according to full water regime (a), deficit water regime (b), treatments with microbial decomposing inoculants (c), treatments with 50% N fertilizer (d) and treatments with 100% N fertilizer (e).
Figure 5. Pearson’s correlation between environmental parameters and bacterial abundance at the phylum level according to full water regime (a), deficit water regime (b), treatments with microbial decomposing inoculants (c), treatments with 50% N fertilizer (d) and treatments with 100% N fertilizer (e).
Agronomy 13 02950 g005
Figure 6. Nitrifying bacteria under different treatments. (A) Abundance of nitrifying bacteria according to the different fertilization strategies and water regimes. (B) Pearson’s correlation between environmental parameters and nitrifying bacterial abundance according to full water regime (a) and deficit water regime (b).
Figure 6. Nitrifying bacteria under different treatments. (A) Abundance of nitrifying bacteria according to the different fertilization strategies and water regimes. (B) Pearson’s correlation between environmental parameters and nitrifying bacterial abundance according to full water regime (a) and deficit water regime (b).
Agronomy 13 02950 g006
Table 1. Description of the experimental treatments.
Table 1. Description of the experimental treatments.
TreatmentsIrrigation Regime (%FC)Nitrogen Rate (%)MDI
R1N1800No
R1N2800Yes
R1N380100Yes
R1N48050Yes
R1N580100No
R1N68050No
R2N1500No
R2N2500Yes
R2N350100Yes
R2N45050Yes
R2N550100No
R2N65050No
Note: FC = field capacity; MDI = microbial decomposing inoculants.
Disclaimer/Publisher’s Note: The statements, opinions and data contained in all publications are solely those of the individual author(s) and contributor(s) and not of MDPI and/or the editor(s). MDPI and/or the editor(s) disclaim responsibility for any injury to people or property resulting from any ideas, methods, instructions or products referred to in the content.

Share and Cite

MDPI and ACS Style

Kpalari, D.F.; Mounkaila Hamani, A.K.; Hui, C.; Sogbedji, J.M.; Liu, J.; Le, Y.; Kama, R.; Gao, Y. Soil Bacterial Community and Greenhouse Gas Emissions as Responded to the Coupled Application of Nitrogen Fertilizer and Microbial Decomposing Inoculants in Wheat (Triticum aestivum L.) Seedling Stage under Different Water Regimes. Agronomy 2023, 13, 2950. https://doi.org/10.3390/agronomy13122950

AMA Style

Kpalari DF, Mounkaila Hamani AK, Hui C, Sogbedji JM, Liu J, Le Y, Kama R, Gao Y. Soil Bacterial Community and Greenhouse Gas Emissions as Responded to the Coupled Application of Nitrogen Fertilizer and Microbial Decomposing Inoculants in Wheat (Triticum aestivum L.) Seedling Stage under Different Water Regimes. Agronomy. 2023; 13(12):2950. https://doi.org/10.3390/agronomy13122950

Chicago/Turabian Style

Kpalari, Djifa Fidele, Abdoul Kader Mounkaila Hamani, Cao Hui, Jean Mianikpo Sogbedji, Junming Liu, Yang Le, Rakhwe Kama, and Yang Gao. 2023. "Soil Bacterial Community and Greenhouse Gas Emissions as Responded to the Coupled Application of Nitrogen Fertilizer and Microbial Decomposing Inoculants in Wheat (Triticum aestivum L.) Seedling Stage under Different Water Regimes" Agronomy 13, no. 12: 2950. https://doi.org/10.3390/agronomy13122950

APA Style

Kpalari, D. F., Mounkaila Hamani, A. K., Hui, C., Sogbedji, J. M., Liu, J., Le, Y., Kama, R., & Gao, Y. (2023). Soil Bacterial Community and Greenhouse Gas Emissions as Responded to the Coupled Application of Nitrogen Fertilizer and Microbial Decomposing Inoculants in Wheat (Triticum aestivum L.) Seedling Stage under Different Water Regimes. Agronomy, 13(12), 2950. https://doi.org/10.3390/agronomy13122950

Note that from the first issue of 2016, this journal uses article numbers instead of page numbers. See further details here.

Article Metrics

Back to TopTop