Soil and Its Interaction with the Climate Jointly Drive the Change in Basic Soil Productivity under Long-Term Fertilizer Management
Abstract
1. Introduction
2. Materials and Methods
2.1. Long-Term Experimental Design and Management
2.2. Sample Collection and Determination
2.3. Simulation of Basic Soil Productivity (BSP)
2.3.1. Simulation Method
2.3.2. Input Data and Parameters Calibration
2.3.3. Model Evaluation
2.4. Contribution Rate of Basic Soil Productivity (CBSP)
2.5. Statistical Analysis
3. Results
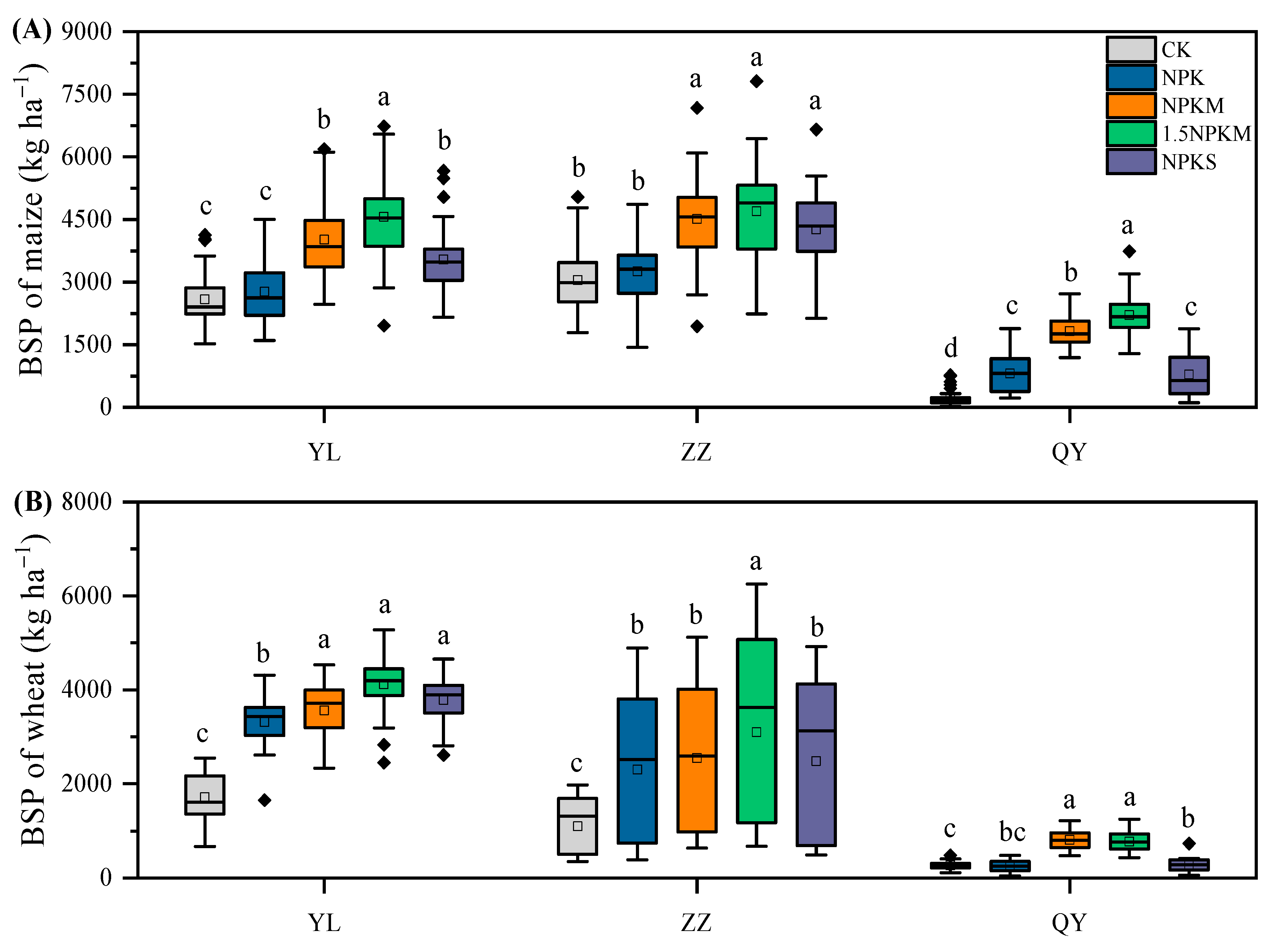
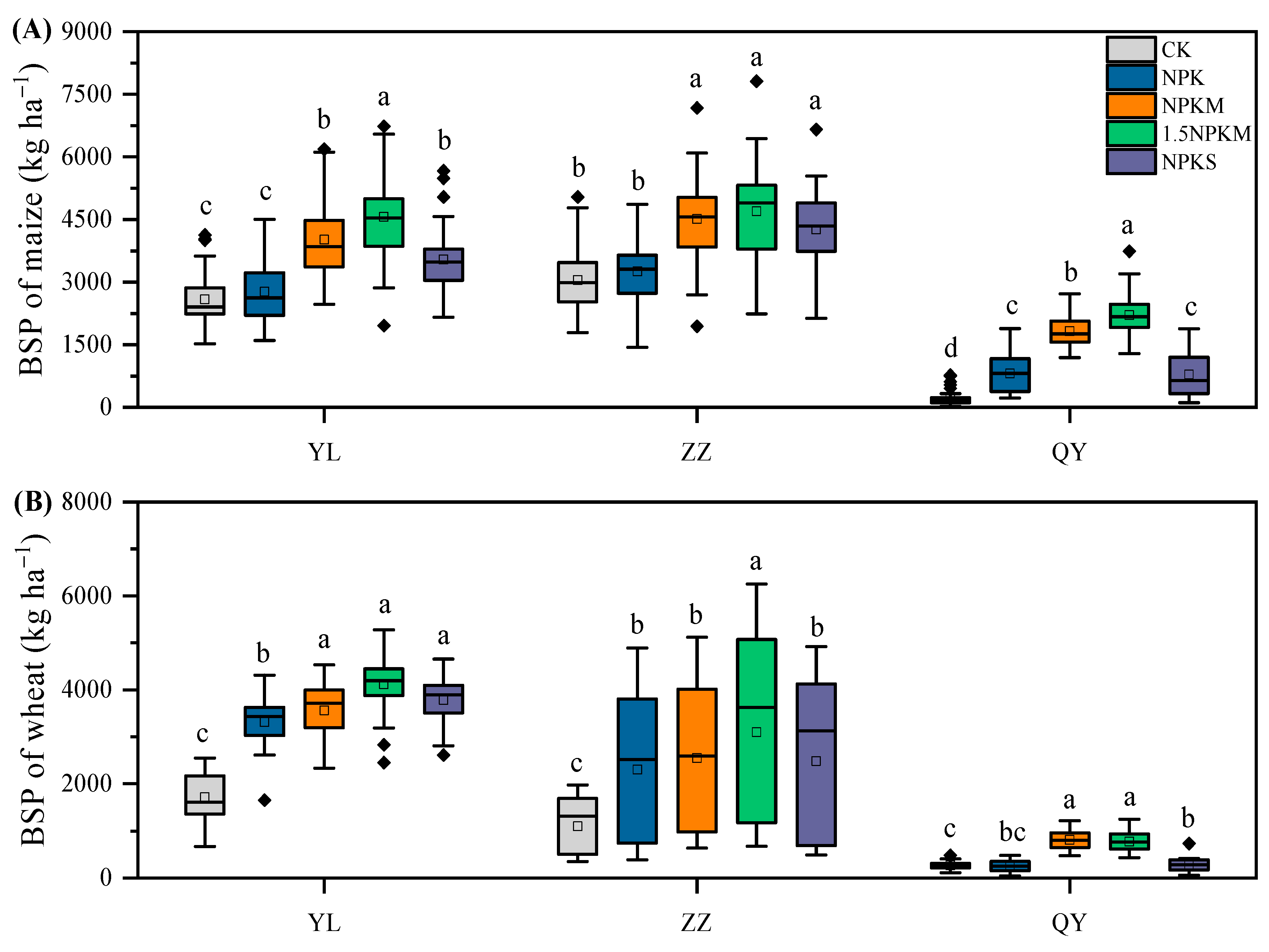
3.1. Effect of Long-Term Fertilization on BSP
3.2. Contribution Rate of BSP
3.3. Effects of Soil Properties on BSP
3.4. Effects of MAT and MAP on BSP
3.5. Proportional Contributions of Environmental Factors to BSP
4. Discussion
4.1. Evolution Characteristics of BSP under Fertilization
4.2. The Relationship between BSP and Soil Properties
4.3. The Relationship between BSP and Climate Factors
4.4. Contribution of Fertilization, Climate and Soil to BSP
5. Conclusions
Supplementary Materials
Author Contributions
Funding
Data Availability Statement
Acknowledgments
Conflicts of Interest
References
- Liang, G.P. Nitrogen fertilization mitigates global food insecurity by increasing cereal yield and its stability. Glob. Food Secur. 2022, 34, 100652. [Google Scholar] [CrossRef]
- Seal, C.J.; Courtin, C.M.; Venema, K.; Vries, J. Health benefits of whole grain: Effects on dietary carbohydrate quality, the gut microbiome, and consequences of processing. Compr. Rev. Food Sci. Food Saf. 2021, 20, 2742–2768. [Google Scholar] [CrossRef] [PubMed]
- Dayegamiye, A.N.; Nyiraneza, J.; Whalen, J.K.; Grenier, M.; Drapeau, A. Growing soybean prior to corn increased soil nitrogen supply and N fertilizer efficiency for corn in cold and humid conditions of Eastern Canada. Sustain. Agric. Res. 2012, 1, 257–267. [Google Scholar] [CrossRef][Green Version]
- Li, H.; Qiu, J.J.; Wang, L.G.; Tang, H.J.; Li, C.S.; Ranst, E.V. Modelling impacts of alternative farming management practices on greenhouse gas emissions from a winter wheat-maize rotation system in China. Agric. Ecosyst. Environ. 2010, 135, 24–33. [Google Scholar] [CrossRef]
- FAO (Food and Agriculture Organization). 2016. FAOSTAT Database. 20 December 2017. Available online: http://www.fao.org/faostat/en/#data/QC (accessed on 27 October 2023).
- Erisman, J.W.; Sutton, M.A.; Galloway, J.; Klimont, Z.; Winiwarter, W. How a century of ammonia synthesis changed the world. Nat. Geosci. 2008, 1, 636–639. [Google Scholar] [CrossRef]
- Shang, Q.; Ling, N.; Feng, X.; Yang, X.; Wu, P.; Zou, J.; Shen, Q.; Guo, S. Soil fertility and its significance to crop productivity and sustainability in typical agroecosystem: A summary of long-term fertilizer experiments in China. Plant Soil 2014, 381, 13–23. [Google Scholar] [CrossRef]
- Yan, J.; Han, X.; Chen, X.; Lu, X.; Chen, W.; Wang, E.; Zou, W.; Zhang, Z. Effects of Long-term fertilization strategies on soil productivity and soybean rhizobial diversity in a Chinese Mollisol. Pedosphere 2019, 29, 784–793. [Google Scholar] [CrossRef]
- Wachter, J.M.; Painter, K.M.; Carpenter-Boggs, L.A.; Huggins, D.R.; Reganold, J.P. Productivity, economic performance, and soil quality of conventional, mixed, and organic dryland farming systems in eastern Washington State. Agric. Ecosyst. Environ. 2019, 286, 106665. [Google Scholar] [CrossRef]
- Cai, A.; Xu, H.; Duan, Y.; Zhang, X.; Ashraf, M.N.; Zhang, W.; Xu, M. Changes in mineral-associated carbon and nitrogen by long-term fertilization and sequestration potential with various cropping across China dry croplands. Soil Till. Res. 2021, 205, 104725. [Google Scholar] [CrossRef]
- Yang, Q.F.; Ma, J.H.; Yang, F.; Zheng, H.; Lu, Z.B.; Qiao, F.; Zhang, K.N.; Gong, H.R.; Men, X.Y.; Li, J.; et al. The hidden indirect environmental effect undercuts the contribution of crop nitrogen fertilizer application to the net ecosystem economic benefit. J. Clean. Prod. 2023, 426, 139204. [Google Scholar] [CrossRef]
- Saudy, H.S.; Hamed, M.F.; Abd El-Momen, W.R.; Hussein, H. Nitrogen use rationalization and boosting wheat productivity by applying packages of humic, amino acids and microorganisms. Commun. Soil Sci. Plan. 2020, 51, 1036–1047. [Google Scholar] [CrossRef]
- Abd-Elrahman, S.H.; Saudy, H.S.; Abd El-Fattah, D.A.; Hashem, F.A. Effect of irrigation water and organic fertilizer on reducing nitrate accumulation and boosting lettuce productivity. J. Soil Sci. Plant Nut. 2022, 22, 2144–2155. [Google Scholar] [CrossRef]
- Yang, Y.J.; Lei, T.; Du, W.; Liang, C.L.; Li, H.D.; Lv, J.L. Substituting chemical fertilizer nitrogen with organic manure and comparing their nitrogen use efficiency and winter wheat yield. J. Agric. Sci. 2020, 158, 262–268. [Google Scholar] [CrossRef]
- Dai, X.L.; Song, D.L.; Zhou, W.; Liu, G.R.; Liang, G.Q.; He, P.; Sun, G.; Yuan, F.S.; Liu, Z.B.; Yao, Y.K.; et al. Partial substitution of chemical nitrogen with organic nitrogen improves rice yield, soil biochemical indictors and microbial composition in a double rice cropping system in south China. Soil Till. Res. 2021, 205, 104753. [Google Scholar] [CrossRef]
- Li, X.Y.; Li, B.; Chen, L.; Liang, J.Y.; Huang, R.; Tang, X.Y.; Zhang, X.; Wang, C.Q. Partial substitution of chemical fertilizer with organic fertilizer over seven years increases yields and restores soil bacterial community diversity in wheat-rice rotation. Eur. J. Agron. 2022, 133, 126445. [Google Scholar] [CrossRef]
- Zha, Y.; Wu, X.P.; Gong, F.F.; Xu, M.G.; Zhang, H.M.; Chen, L.M.; Huang, S.M.; Cai, D.X. Long-term organic and inorganic fertilizations enhanced basic soil productivity in a fluvo-aquic soil. J. Integr. Agric. 2015, 14, 2477–2489. [Google Scholar] [CrossRef]
- Zha, Y.; Wu, X.P.; He, X.H.; Zhang, H.M.; Gong, F.F.; Cai, D.X.; Zhu, P.; Gao, H.J. Basic soil productivity of spring maize in black soil under long-term fertilization based on DSSAT model. J. Integr. Agric. 2014, 13, 577–587. [Google Scholar] [CrossRef]
- Gong, F.F.; Zha, Y.; Wu, X.P.; Huang, S.M.; Xu, M.G.; Zhang, H.M.; Cai, D.X. Analysis on basic soil productivity change of winter wheat in fluvo-aquic soil under long-term fertilization. Trans. Chin. Soc. Agric. Eng. 2013, 29, 120–129. (In Chinese) [Google Scholar]
- Kunzová, E.; Hejcman, M. Yield development of winter wheat over 50 years of FYM, N, P and K fertilizer application on black earth soil in the Czech Republic. Field Crops Res. 2009, 111, 226–234. [Google Scholar] [CrossRef]
- Duan, Y.H.; Xu, M.G.; Yang, X.Y.; Huang, S.M.; Wang, B.R.; Gao, S.D. Long-term evaluation of manure application on maize yield and nitrogen use efficiency in China. Soil Sci. Soc. Am. J. 2011, 75, 1562–1573. [Google Scholar] [CrossRef]
- Duan, Y.H.; Xu, M.G.; Gao, S.D.; Yang, X.Y.; Huang, S.M.; Liu, H.B.; Wang, B.R. Nitrogen use efficiency in a wheat-corn cropping system from 15 years of manure and fertilizer applications. Field Crops Res. 2014, 157, 47–56. [Google Scholar] [CrossRef]
- Han, X.; Hu, C.; Chen, Y.; Qiao, Y.; Liu, D.; Fan, J.; Li, S.; Zhang, Z. Crop yield stability and sustainability in a rice-wheat cropping system based on 34-year field experiment. Eur. J. Agron. 2020, 113, 125965. [Google Scholar] [CrossRef]
- Kunzová, E.; Hejcman, M. Yield development of winter wheat over 50 years of nitrogen, phosphorus and potassium application on greyic Phaeozem in the Czech Republic. Eur. J. Agron. 2010, 33, 166–174. [Google Scholar] [CrossRef]
- Huang, Q.R.; Hu, F.; Li, H.X.; Lai, T.; Yuan, Y.H. Crop yield response to fertilization and its relations with climate and soil fertility in red paddy soil. Acta Pedol. Sin. 2006, 43, 926–933. (In Chinese) [Google Scholar]
- Zeng, X.M.; Han, B.J.; Xu, F.S.; Huang, J.L.; Cai, H.M.; Shi, L. Effect of optimized fertilization on grain yield of rice and nitrogen use efficiency in paddy fields with different basic soil fertilities. Sci. Agric. Sin. 2012, 45, 2886–2894. (In Chinese) [Google Scholar]
- Ma, C.B.; Lu, C.A.; Ren, Y.; Zhan, X.Y.; Li, G.H.; Zhang, S.X. Effect of soil fertility and long-term fertilizer application on the yields of wheat and maize in fluvo-aquic soil. Plant Nutr. Fertil. Sci. 2012, 18, 796–802. (In Chinese) [Google Scholar]
- Liu, H.L.; Yang, J.Y.; Tan, C.S.; Drury, C.F.; Reynolds, W.D.; Zhang, T.Q.; Bai, Y.L.; Jin, J.; He, P.; Hoogenboom, G. Simulating water content, crop yield and nitrate-N loss under free and controlled tile drainage with subsurface irrigation using the DSSAT model. Agric. Water Manag. 2011, 98, 1105–1111. [Google Scholar] [CrossRef]
- Giacomo, D.S.; Pier, P.R.; Giovanna, S.; Roberto, O.; Cheryl, H.P.; James, W.J. Long-term no tillage increased soil organic carbon content of rain-fed cereal systems in a Mediterranean area. Eur. J. Agron. 2012, 40, 18–27. [Google Scholar]
- Zhang, X.Y.; Wang, S.F.; Sun, H.Y.; Chen, S.Y.; Shao, L.W.; Liu, X.W. Contribution of cultivar, fertilizer and weather to yield variation of winter wheat over three decades: A case study in the North China Plain. Eur. J. Agron. 2013, 50, 52–59. [Google Scholar] [CrossRef]
- Yang, J.M.; Yang, J.Y.; Dou, S.; Yang, X.M. Simulating the effect of long-term fertilization on maize yield and soil C/N dynamics in northeastern China using DSSAT and CENTURY-based soil model. Nutr. Cycl. Agroecosyst. 2013, 95, 287–303. [Google Scholar] [CrossRef]
- Sushree, S.S.; Dillip, K.S.; Srikantha, H. Field experiments and simulation to evaluate rice cultivar adaptation to elevated carbon dioxide and temperature in sub-tropical India. Eur. J. Agron. 2014, 54, 21–33. [Google Scholar]
- Yan, W.; Jiang, W.; Han, X.; Hua, W.; Yang, J.; Luo, P. Simulating and predicting crop yield and soil fertility under climate change with fertilizer management in northeast china based on the decision support system for agrotechnology transfer model. Sustainability 2020, 12, 2194. [Google Scholar] [CrossRef]
- Liu, S.; Yang, J.; Yang, X.; Drury, C.F.; Jiang, R.; Reynolds, W.D. Simulating maize yield at county scale in southern Ontario using the decision support system for agrotechnology transfer model. Can. J. Soil Sci. 2021, 101, 734–748. [Google Scholar] [CrossRef]
- Xu, M.G.; Zhang, W.J.; Huang, S.M. Evolution of Chinese Soil Fertility in China, 2nd ed.; China Agricultural Science and Technology Press: Beijing, China, 2015. [Google Scholar]
- He, Y.T.; He, X.H.; Xu, M.G.; Zhang, W.J.; Yang, X.Y.; Huang, S.M. Long-term fertilization increases soil organic carbon and alters its chemical composition in three wheat-maize cropping sites across central and south China. Soil. Till. Res. 2018, 177, 79–87. [Google Scholar] [CrossRef]
- Liu, J.; Liu, H.; Huang, S.M.; Yang, X.Y.; Wang, B.R.; Li, X.Y.; Ma, Y.B. Nitrogen efficiency in long-term wheat-maize cropping systems under diverse field sites in China. Field Crops Res. 2010, 118, 145–151. [Google Scholar] [CrossRef]
- FAO—Unesco. Soil Map of the World; FAO: Rome, Italy, 1974. [Google Scholar]
- Walkley, A.; Black, I.A. An examination of the Degtjareff method for determining SOM and a proposed modification of the chromic acid titration method. Soil Sci. 1934, 37, 29–38. [Google Scholar] [CrossRef]
- Page, A.L.; Millar, R.H.; Keeney, D.R. Methods of Soil Analysis: Part 2; American Society of Agronomy, Soil Science Society of America: Madison, WI, USA, 1982. [Google Scholar]
- Pickering, N.B.; Hansen, J.W.; Jones, J.W.; Wells, C.M.; Chan, V.K.; Godwin, D.C. WeatherMan: A utility for managing and generating daily weather data. Agron. J. 1994, 86, 332–337. [Google Scholar] [CrossRef]
- Willmott, C.J. Some comments on the evaluation of model performance. Bull. Am. Meteorol. Soc. 1982, 63, 1309–1313. [Google Scholar] [CrossRef]
- Beusen, A.H.W.; Van Beek, L.P.H.; Bouwman, A.F.; Mogollón, J.M.; Middelburg, J.J. Coupling global models for hydrology and nutrient loading to simulate nitrogen and phosphorus retention in surface water-description of IMAGE-GNM and analysis of performance. Geosci. Model Dev. 2015, 8, 4045–4067. [Google Scholar] [CrossRef]
- Liu, S.; Yang, J.Y.; Zhang, X.Y.; Drury, C.F.; Reynolds, W.D.; Hoogenboom, G. Modelling crop yield, soil water content and soil temperature for a soybean-maize rotation under conventional and conservation tillage systems in Northeast China. Agric. Water Manag. 2013, 123, 32–44. [Google Scholar] [CrossRef]
- Wei, W.; Yan, Y.; Cao, J.; Christie, P.; Zhang, F.; Fan, M. Effects of combined application of organic amendments and fertilizers on crop yield and soil organic matter: An integrated analysis of long-term experiments. Agric. Ecosyst. Environ. 2016, 225, 86–92. [Google Scholar] [CrossRef]
- Li, P.; Wu, M.C.; Kang, G.D.; Zhu, B.J.; Li, H.X.; Hu, F.; Jiao, J.G. Soil quality response to organic amendments on dryland red soil in subtropical China. Geoderma 2020, 373, 114416. [Google Scholar] [CrossRef]
- Zhang, J.L.; Nie, J.; Cao, W.D.; Gao, Y.J.; Lu, Y.H.; Liao, Y.L. Long-term green manuring to substitute partial chemical fertilizer simultaneously improving crop productivity and soil quality in a double-rice cropping system. Eur. J. Agron. 2023, 142, 126641. [Google Scholar] [CrossRef]
- Liang, F.; Li, B.Z.; Vogt, R.D.; Mulder, J.; Song, H.; Chen, J.S.; Guo, J.H. Straw return exacerbates soil acidification in major Chinese croplands. Resour. Conserv. Recycl. 2023, 198, 107176. [Google Scholar] [CrossRef]
- Guo, J.; Liu, X.; Zhang, Y.; Shen, J.; Han, W.; Zhang, W.; Zhang, F. Significant acidification in major Chinese croplands. Science 2010, 327, 1008–1010. [Google Scholar] [CrossRef]
- Zhang, H.M.; Wang, B.R.; Xu, M.G. Effects of inorganic fertilizer inputs on grain yields and soil properties in a long-term wheat-corn cropping system in south China. Commun. Soil Sci. Plan. 2008, 39, 1583–1599. [Google Scholar] [CrossRef]
- Cai, Z.J.; Wang, B.R.; Xu, M.G.; Zhang, H.M.; He, X.H.; Zhang, L.; Gao, S.D. Intensified soil acidification from chemical N fertilization and prevention by manure in an 18-year field experiment in the red soil of southern China. J. Soil. Sediments 2015, 15, 260–270. [Google Scholar] [CrossRef]
- Oyetunji, O.; Bolan, N.; Hancock, G. A comprehensive review on enhancing nutrient use efficiency and productivity of broadacre (arable) crops with the combined utilization of compost and fertilizers. J. Environ. Manag. 2022, 317, 115395. [Google Scholar] [CrossRef]
- Chen, S.; Lin, B.W.; Li, Y.Q.; Zhou, S.N. Spatial and temporal changes of soil properties and soil fertility evaluation in a large grain-production area of subtropical plain, China. Geoderma 2020, 357, 113937. [Google Scholar] [CrossRef]
- Chi, Y.; Sun, J.; Fu, Z.; Xie, Z. Which factor determines the spatial variance of soil fertility on uninhabited islands? Geoderma 2020, 374, 114445. [Google Scholar] [CrossRef]
- Fan, Y.N.; Zhang, Y.X.; Chen, Z.K.; Wang, X.K.; Huang, B. Comprehensive assessments of soil fertility and environmental quality in plastic greenhouse production systems. Geoderma 2021, 385, 114899. [Google Scholar] [CrossRef]
- Han, T.F.; Liu, K.L.; Huang, J.; Khan, M.N.; Shen, Z.; Li, J.W.; Zhang, H.M. Temporal and spatial characteristics of paddy soil potassium in China and its response to organic amendments: A systematic analysis. Soil Till. Res. 2023, 235, 105894. [Google Scholar] [CrossRef]
- Wang, M.C.; Liu, X.N.; Liu, Z.W.; Wang, F.Y.; Li, X.Y.; Hou, G.L.; Zhao, S.J. Evaluation and Driving Force Analysis of Cultivated Land Quality in Black Soil Region of Northeast China. Land Degrad. Dev. 2023, 33, 601–615. [Google Scholar] [CrossRef]
- Dijkstra, F.A.; Pendall, E.; Morgan, J.A.; Blumenthal, D.M.; Carrillo, Y.; LeCain, D.R.; Follett, R.F.; Williams, D.G. Climate change alters stoichiometry of phosphorus and nitrogen in a semiarid grassland. New Phytol. 2012, 196, 807–815. [Google Scholar] [CrossRef] [PubMed]
- Sun, W.; Canadell, J.G.; Yu, L.; Yu, L.; Zhang, W.; Smith, P.; Huang, Y. Climate drives global soil carbon sequestration and crop yield changes under conservation agriculture. Glob. Chang. Biol. 2020, 26, 3325–3335. [Google Scholar] [CrossRef] [PubMed]
- Maaroufi, N.I.; De Long, J.R. Global change impacts on forest soils: Linkage between soil biota and carbon-nitrogen-phosphorus stoichiometry. Front. Forest. Glob. Chang. 2020, 3, 16. [Google Scholar] [CrossRef]
- Zheng, S.; Xia, Y.; Hu, Y.; Chen, X.; Rui, Y.; Gunina, A.; Kuzyakov, Y. Stoichiometry of carbon, nitrogen, and phosphorus in soil: Effects of agricultural land use and climate at a continental scale. Soil Till. Res. 2021, 209, 104903. [Google Scholar] [CrossRef]
- Castro, H.F.; Classen, A.T.; Austin, E.E.; Norby, R.J.; Schadt, C.W. Soil microbial community responses to multiple experimental climate change drivers. Appl. Environ. Microb. 2010, 76, 999–1007. [Google Scholar] [CrossRef]
- Sheik, C.S.; Beasley, W.H.; Elshahed, M.S.; Zhou, X.; Luo, Y.; Krumholz, L.R. Effect of warming and drought on grassland microbial communities. ISME J. 2011, 5, 1692–1700. [Google Scholar] [CrossRef]
- Haugwitz, M.S.; Bergmark, L.; Priemé, A.; Christensen, S.; Beier, C.; Michelsen, A. Soil microorganisms respond to five years of climate change manipulations and elevated atmospheric CO2 in a temperate heath ecosystem. Plant Soil. 2014, 374, 211–222. [Google Scholar] [CrossRef]
- Wu, J.F.; Liu, J.S.; Li, Z.M.; Wang, D.L. Grassland soil phosphorus cycle and its response to global change. Chin. J. Grassl. 2021, 43, 102–111. (In Chinese) [Google Scholar]
- Zhao, Y.; Ding, Y.; Hou, X.; Li, F.Y.; Han, W.; Yun, X. Effects of temperature and grazing on soil organic carbon storage in grasslands along the Eurasian steppe eastern transect. PLoS ONE 2017, 12, e0186980. [Google Scholar] [CrossRef] [PubMed]
- Slessarev, E.; Lin, Y.; Bingham, N.; Johnson, J.; Dai, Y.; Schimel, J.; Chadwick, O. Water balance creates a threshold in soil pH at the global scale. Nature 2016, 540, 567–569. [Google Scholar] [CrossRef] [PubMed]
- Msimbira, L.A.; Smith, D.L. The roles of plant growth promoting microbes in enhancing plant tolerance to acidity and alkalinity stresses. Front. Sustain. Food Syst. 2020, 4, 106. [Google Scholar] [CrossRef]
- Lu, X.H.; Mu, X.M.; Vinay, N.; Sui, Y.Y.; Yao, Y.Q.; Wang, F.; Gao, P. Validation of the effect of DSSAT model on winter wheat under conservation tillage treatments in west Henan. Agric. Res. Arid. Areas 2010, 3, 64–70. (In Chinese) [Google Scholar]







| Site | Soil Depth (cm) | Organic Matter | Total N | Total P | Total K | Available N | Available P | Available K | pH | Bulk Density (g cm−3) |
|---|---|---|---|---|---|---|---|---|---|---|
| (g kg−1) | (mg kg−1) | |||||||||
| YL | 0–17 | 10.92 | 0.83 | 1.39 | 2.28 | 61.3 | 9.57 | 191.0 | 8.62 | 1.30 |
| 17–38 | 8.87 | 0.71 | 1.31 | 2.32 | 52.3 | 4.97 | 156.0 | 8.51 | 1.56 | |
| 38–57 | 5.95 | 0.56 | 1.11 | 2.21 | 32.5 | 1.96 | 143.0 | 8.54 | 1.46 | |
| 57–77 | 5.98 | 0.52 | 0.74 | 2.32 | 32.2 | 1.35 | 120.0 | 8.49 | 1.43 | |
| ZZ | 0–28 | 10.60 | 1.01 | 0.65 | 1.69 | 76.6 | 6.50 | 71.7 | 8.10 | / |
| 28–52 | 5.00 | 0.40 | 0.51 | 1.73 | 54.1 | 3.80 | 59.2 | 8.40 | / | |
| 52–87 | 4.00 | 0.37 | 0.50 | 1.73 | 48.7 | 2.20 | 62.3 | 8.30 | / | |
| 87–120 | 3.60 | 0.37 | 0.50 | 1.86 | 65.8 | 2.00 | 54.5 | 8.20 | / | |
| QY | 0–20 | 15.15 | 0.85 | 0.71 | 13.29 | 67.9 | 10.80 | 109.2 | 5.39 | 1.19 |
| 20–40 | 8.79 | 0.62 | 0.46 | 15.29 | 37.4 | 8.10 | 63.2 | 5.79 | 1.48 | |
| 40–60 | 3.08 | 0.39 | 0.43 | 13.56 | 12.4 | 2.70 | 46.3 | 5.83 | 1.52 | |
| 60–80 | 4.11 | 0.35 | 0.44 | 13.38 | 18.3 | 2.40 | 31.4 | 5.29 | 1.58 | |
Disclaimer/Publisher’s Note: The statements, opinions and data contained in all publications are solely those of the individual author(s) and contributor(s) and not of MDPI and/or the editor(s). MDPI and/or the editor(s) disclaim responsibility for any injury to people or property resulting from any ideas, methods, instructions or products referred to in the content. |
© 2023 by the authors. Licensee MDPI, Basel, Switzerland. This article is an open access article distributed under the terms and conditions of the Creative Commons Attribution (CC BY) license (https://creativecommons.org/licenses/by/4.0/).
Share and Cite
Wang, J.; Yang, X.; Huang, S.; Wu, L.; Cai, Z.; Xu, M. Soil and Its Interaction with the Climate Jointly Drive the Change in Basic Soil Productivity under Long-Term Fertilizer Management. Agronomy 2023, 13, 2934. https://doi.org/10.3390/agronomy13122934
Wang J, Yang X, Huang S, Wu L, Cai Z, Xu M. Soil and Its Interaction with the Climate Jointly Drive the Change in Basic Soil Productivity under Long-Term Fertilizer Management. Agronomy. 2023; 13(12):2934. https://doi.org/10.3390/agronomy13122934
Chicago/Turabian StyleWang, Jinfeng, Xueyun Yang, Shaomin Huang, Lei Wu, Zejiang Cai, and Minggang Xu. 2023. "Soil and Its Interaction with the Climate Jointly Drive the Change in Basic Soil Productivity under Long-Term Fertilizer Management" Agronomy 13, no. 12: 2934. https://doi.org/10.3390/agronomy13122934
APA StyleWang, J., Yang, X., Huang, S., Wu, L., Cai, Z., & Xu, M. (2023). Soil and Its Interaction with the Climate Jointly Drive the Change in Basic Soil Productivity under Long-Term Fertilizer Management. Agronomy, 13(12), 2934. https://doi.org/10.3390/agronomy13122934
