Abstract
Biodegradable electrospun nanofibrous scaffolds (BENS) have emerged as a highly advanced class of wound dressings owing to their close structural and morphological resemblance to the native extracellular matrix and their tunable physicochemical and mechanical characteristics. However, the successful translation of electrospun wound-healing platforms from laboratory concepts to clinically viable products necessitates a quantitative understanding of how formulation and processing variables dictate scaffold architecture, mechanical performance, and antibacterial functionality. In this study, hydrophobic poly(ε-caprolactone) (PCL) and hydrophilic poly(ethylene glycol) (PEG35000) were blended at different weight ratios and fabricated into electrospun nanofibrous scaffolds, with amoxicillin trihydrate (AMX) incorporated as a model antibacterial agent. Blank and drug-loaded systems were systematically characterized with respect to solution rheology, fiber morphology, thermal behavior, crystallinity, mechanical performance, surface wettability, and antibacterial activity. Quantitative correlation analyses and statistical comparisons revealed that solution viscosity is a strong predictor of mechanical response, while PEG fraction governs baseline stiffness and crystallinity in a non-linear manner. AMX loading acted as a secondary structural modifier, producing statistically significant increases in stiffness and wettability, accompanied by reduced crystallinity and concentration-dependent antibacterial efficacy. Among the investigated formulations, a PCL: PEG ratio of 3:1 provided the most balanced mechanophysical profile for effective drug incorporation. These findings establish validated structure–property–function relationships that support the rational design of electrospun antibacterial wound dressings.
1. Introduction
The initial stages of wound healing include hemostasis, inflammation, and removal of damaged matrix components, followed by tissue reformation and modeling [1]. This healing process could be chronic and take several weeks to complete, with a risk of impaired healing, leading to the production of exudates and the maceration of the healthy skin tissue around the wound [2]. To achieve an efficient, faster healing process, it is essential to integrate the wound dressing with the natural healing cascade [3,4]. Numerous synthetic biocompatible and biodegradable polymers are currently used to design and fabricate wound dressings [5,6,7]. Ideal dressing materials should be non-toxic, promote epidermal migration, promote the synthesis of connective tissue, enhance angiogenesis, provide sufficient oxygen permeability, be bioadhesive to the wound, easily applied and removed, have high mechanical strength and elasticity, non-allergic, sterile, non-toxic, provide a moist environment, and be compatible with therapeutic agents [4,8,9,10]. Protecting against bacterial infections is essential for developing effective wound dressings [10,11]. This is particularly important because bacterial infections have been shown to promote greater tissue destruction [12]. Specifically, it has been reported that facultative bacterial pathogens (e.g., Staphylococcus aureus, Pseudomonas aeruginosa, and beta-hemolytic streptococci) are the primary bacteria responsible for delaying healing in both acute and chronic wounds [13,14]. Other bacteria, such as E. Coli, have also been reported to contribute to delayed wound healing, but to a lesser extent [15].
A valuable and prominent method for generating advanced pharmaceutical wound dressings is electrospinning (ES). Even though this method was invented in the early 20th century, it has recently been modified and shown promising results in the fabrication and processing of biodegradable electrospun nanofibers (BENS) that improve tissue engineering applications, including wound healing [16]. BENS produced by ES have been reported as excellent candidates for wound healing due to their unique properties and mimicry of the biostructure of the extracellular matrix (ECM), offering high porosity, homogeneity, protection against dehydration, enhanced oxygen permeation, and protection against infection [17]. These features promote cell proliferation, attachment, differentiation, and extracellular matrix formation, all of which contribute to tissue formation [18]. It is therefore essential to control ES parameters and optimize scaffold structure and mechanophysical properties to promote optimal wound-healing activities.
Numerous natural and synthetic biocompatible and biodegradable polymers have been successfully electrospun for use as wound dressings [19,20,21,22,23,24,25,26]. Since synthetic polymers enable quality control, they offer superior properties and advantages over natural polymers [27]. The main advantages of these polymers include safety, biodegradation in tissue over time, mechanical tweaking, and drug delivery to facilitate fast tissue regeneration [28,29,30]. Given their importance in biomedical applications, current research focuses on altering the physical and chemical properties of biodegradable polymers to produce improved, more compatible, and durable biomaterials for tissue engineering [26,31].
In a previous study by our research team, we successfully investigated the parameters that affect the biodegradability, biocompatibility, and physicochemical characteristics of poly(ethylene glycol) 35000 (PEG35000)-based BENS loaded with Amoxicillin Trihydrate (AMX). The auspicious results showed that the prepared BENS were promising for drug delivery and wound dressing applications [26]. Although those AMX-loaded BENS demonstrated many advantages over existing wound dressings and were effective against bacterial growth, they lacked optimal mechanical strength, degradation time, and morphological features required for tissue-engineering and wound-healing applications [26]. Research studies have reported that although hydrophilic biodegradable polymers such as PEG are characterized by their high affinity for biological cells and biocompatibility, they are known for their low mechanical strength and rapid degradation [32,33]. In contrast, hydrophobic semicrystalline polymers such as poly(ε-caprolactone) (PCL) are known to possess excellent flexibility, toughness, and low melting point, and therefore, using them in combination with PEG would improve the durability, degradability, and mechanical strength of the fabricated BENS [32,34,35]. As such, the limitations of reduced mechanical strength and rapid degradability can be overcome by blending a hydrophilic polymer (e.g., PEG) with a hydrophobic polymer (e.g., PCL) [33,36].
In this study, therefore, PEG35000 (Mw~35,000) and PCL (Mw~50,000) were blended in different ratios and processed by ES to obtain BENS with the desired physicochemical and mechanical properties for wound healing applications. PEG35000 is one of the most studied and widely used FDA-approved hydrophilic polymers in the pharmaceutical industry and in tissue engineering, due to its biocompatibility and high water-uptake potential [37,38]. PCL, on the other hand, was chosen for its cost-efficiency, flexibility at room temperature, higher crystallinity, and lower degradation rate compared to other polymers, and it is an FDA-approved biodegradable polymer for drug delivery and tissue engineering applications [39,40,41]. AMX was incorporated into the nanofibrous mats as a model antibiotic, and the resulting BENS were characterized in vitro for their physicochemical and mechanical properties, as well as their antibacterial activity against various pathogens. Unlike previous AMX-loaded electrospun systems that primarily focus on drug incorporation alone, this study is the first to quantitatively correlate solution rheology, blend composition, crystallinity, mechanical performance, wettability, and antibacterial efficacy within a single electrospun PCL/PEG wound-dressing platform using regression-based and statistical analyses. Furthermore, this work provides a systematic comparison of multiple PCL: PEG ratios, identifying an optimal 3:1 composition that overcomes the limitations of earlier systems.
2. Materials and Methods
2.1. Materials
Poly(ε-caprolactone) (Mw~50,000) was purchased from Polysciences, Inc. (Warrington, PA, USA). Poly(ethylene glycol) 35,000 was purchased from Sigma-Aldrich (St. Louis, MO, USA). Chloroform was purchased from Merck Chemicals GmbH (Darmstadt, Germany). Methanol was purchased from BDH Laboratory Supplies (Poole, UK). Amoxicillin Trihydrate was purchased from Manus Aktteva Biopharma LLP (Ahmedabad, India). Gram-positive bacteria: Staphylococcus aureus (ATCC BAA-976) and Streptococcus pyogenes (ATCC® 19615); Gram-negative bacteria: Escherichia coli (ATCC 8739) and Pseudomonas aeruginosa (ATCC BAA-1744), were obtained from American Type Culture Collection (Manassas, VA, USA). Muller Hinton agar (MHA) plates and sheep blood agar plates were purchased from Difco® & BBL®, Becton, Dickinson and Company (Franklin Lakes, NJ, USA).
2.2. Methods
2.2.1. BENS Preparation
Solutions of 35% w/v of PEG, PCL, and their combination in chloroform were prepared (Table 1). The precalculated amounts of PEG and PCL were first blended and later added to chloroform under continuous stirring at room temperature until a clear solution was obtained. To fabricate drug-loaded scaffolds, 0.5%, 1%, and 2% w/w of AMX were added to the 3:1 PCL: PEG 35% w/v solution. The AMX-loaded polymer solution was left on a magnetic stirrer until complete dissolution. For BENS fabrication, each prepared solution was transferred to a 10 mL 23 G size syringe fixed on a syringe pump and fed to the ES machine (NEU-PRO, NaBond Technology Co., Shenzhen, China) at 1 mL/h. The ES process parameters were maintained at 8–11 kV and a needle-to-collector distance of 15–18 cm.
Table 1.
Summary of the composition and viscosities of the 35% chloroformic solutions prepared for the BENS fabrication.
2.2.2. BENS Characterization
Morphological and Structural Analysis
The blank and AMX-loaded fabricated BENS morphology was examined using an FEI Nova Nano SEM 450 microscope (FEI, Columbia, MD, USA). Before SEM examination, the different BENS were sputtered with a thin layer of gold palladium. Digital images were captured under different magnification scales ranging from 500× to 10,000×.
Fourier Transform-Infrared Analysis
The BENS samples were analyzed by a JASCO FTIR-4200 Infrared Spectrometer equipped with a JASCO attenuated total reflection accessory unit (Jasco, Cremella, Italy). The Fourier Transform-Infrared (FT-IR) spectra of the AMX-loaded and blank BENS were also obtained and compared. A few milligrams of each sample were placed in a sample holder, and a very thin, transparent film was formed by pressing the screw against it. Samples were analyzed over a wave-number range of 4000–400 cm−1, and % transmittance was recorded. All spectra were analyzed at 32 scans using a mercury-cadmium-telluride detector at a resolution of 4 cm−1.
Mechanical Characterization
The mechanical properties of the electrospun fiber mats were characterized using an Instron 3343 tensile tester with Blue-Hill Software v4.52 (Instron Co., Norwood, MA, USA). The BENS were tested at a crosshead speed of 1 mm/s with a 30 mm gauge length. The electrospun fiber mats were carefully cut into rectangular shapes measuring 15 mm wide by 50 mm long, and stretched. Three specimens of each scaffold sample were tested, and the average of Young’s modulus (E), ultimate tensile stress (σu), and strain (ε) were extracted from the stress–strain curves. Result values were presented as mean ± standard error.
Differential Scanning Calorimetry
The DSC measurements were performed using a PerkinElmer DSC 8000 (PerkinElmer, Waltham, MA, USA) equipped with an intracooling system to investigate thermal transitions and potential structural interactions among AMX, PEG, and PCL within the fabricated scaffolds. Approximately 1–2 mg of each sample was accurately weighed and sealed in standard aluminum pans. Samples were heated over a temperature range of −70 to 210 °C at a constant heating rate of 10 °C min−1 under a nitrogen atmosphere. Prior to heating, samples were equilibrated at 0 °C for 3 min to ensure thermal stabilization. Heat flow was continuously recorded as a function of temperature, and the resulting thermograms were analyzed to identify melting transitions and compositional interactions.
Melting enthalpy values (ΔHₘ) were obtained by integrating the area under the melting endotherms following baseline correction. The degree of crystallinity (Xc, %) was calculated using literature-reported enthalpies of fusion for fully crystalline polymers according to Equation (1):
where ΔHₘ is the experimentally measured melting enthalpy (J/g), ΔH° is the enthalpy of fusion of a 100% crystalline AMX or polymer, and w is the polymer weight fraction in the sample. Reference ΔH° values of 139.5 J/g for PCL, 197 J/g for PEG, and 125 J/g for AMX were adopted from established literature sources [42,43,44,45,46].
Xc (%) = (ΔHₘ/(ΔH° × w)) × 100
For PCL & PEG blend formulations, the total ΔHₘ was calculated as the sum of the individual melting enthalpies of PCL and PEG. The theoretical enthalpy of a fully crystalline blend was determined as the weighted sum of the ΔH° values of each component. The overall blend crystallinity was then obtained by normalizing the experimentally measured total melting enthalpy to this theoretical reference value.
X-Ray Diffraction Analysis
To study the crystallinity and disposition of AMX in the drug-loaded BENS, an X-ray diffraction (XRD) analysis was performed using the X-ray diffractometer (D8 Advance, Bruker Co., Bremen, Germany). The measurements were carried out using Cu-Kα radiation over a 2θ range of 5–60°, with a step size of 0.5° and a step time of 1 s. The other components were assigned by auto-fitting the instrument using the Diffrac-EVA software package v4.1.
Viscosity Measurements
The viscosity of the prepared solutions was determined using the SV-10 Vibro Viscometer (A&D Company Limited, Tokyo, Japan). A 15 mL volume of the solution was placed in a glass sample cup, and viscosity was measured using the vibrating fork method. Measurements were automatically recorded at 10 s. All the measurements were performed in triplicate.
Contact Angle Measurements
The scaffolds’ wettability was evaluated using a goniometer and a Drop Shape Analysis system (DSA 25, Kruss GmbH, Hamburg, Germany), equipped with a micro syringe PTFE needle of 0.5 mm diameter. For dynamic sessile drop method contact angle measurements, a drop of deionized water (5 µL) was dispensed onto each sample using a microsyringe, images were captured immediately with a digital camera, and the contact angle was measured using DSA4 software v2.0. Five samples were used for each test.
In Vitro Antibacterial Testing
The antibacterial activity of AMX-loaded BENS (F6, F7, and F8) was compared to that of blank BENS (F5) to evaluate the possible influence of the ES process on the antimicrobial activity of AMX. Antibacterial testing was conducted using the disk diffusion assay against representative Gram-negative (Escherichia coli) and Gram-positive (Streptococcus pyogenes and Staphylococcus aureus) strains. Blood agar medium was employed for culturing S. pyogenes, while Luria–Bertani (LB) agar was used for S. aureus and E. coli. BENS were aseptically cut into 5 mm diameter disks and positioned on the respective inoculated agar plates. All plates were incubated at 37 °C for 24 h before bacterial growth inhibition was assessed.
Statistical Analysis: Qualitative Relationships and Groups Comparison
Quantitative relationships between variables were evaluated using Pearson’s correlation coefficients (r) and least-squares linear regression. For the relationship between crystallinity and PEG content, non-linearity observed during exploratory analysis warranted the application of an additional quadratic regression model, with model adequacy assessed using regression coefficients and R2 values. Group comparisons were conducted using one-way analysis of variance (ANOVA) at a significance level of α = 0.05. When significant differences were detected, Tukey’s honestly significant difference (HSD) post hoc test was used to identify pairwise differences while controlling for multiple comparisons. All tests were two-tailed, and statistical significance was defined as p < 0.05.
3. Results and Discussion
Table 1 reports the composition of the 35% w/v chloroformic solutions of PEG, PCL, and their blends and the corresponding viscosities used to prepare both blank and AMX-loaded BENS. In drug-unloaded formulations (F1–F5), viscosity increased markedly with the PCL fraction. The PEG-only system (F1) had the lowest viscosity (745 mPa·s), while the PCL-only system (F2) showed the highest viscosity (6010 mPa·s). Mixed compositions followed an intermediate trend: 1:3 (F3) = 1250 mPa·s, 1:1 (F4) = 2400 mPa·s, and 3:1 (F5) = 3490 mPa·s. This monotonic trend reflects the dominance of PCL chain entanglements in controlling solution rheology. The non-linear increase suggests that the entanglement threshold is exceeded as the PCL fraction increases. These findings align with prior reports on PCL rheology, where viscosity rises steeply beyond the entanglement threshold [47,48].
At a constant polymer ratio of PCL: PEG (3:1), increasing AMX concentrations led to progressive viscosity increases. Compared with F5 (3490 mPa·s), addition of AMX raised viscosity in a dose-dependent manner: F6 (0.5% AMX) = 3810 mPa·s, F7 (1.0% AMX) = 4260 mPa·s, and F8 (2.0% AMX) = 4790 mPa·s. This upward shift indicated that AMX interacted with the polymer matrix, likely through hydrogen bonding between its polar groups and the ester functionalities of PCL, which enhanced inter-chain associations. The data demonstrated that AMX did not act as a plasticizer under these conditions but rather contributed to viscosity increases through interaction-mediated structuring and higher effective solid content. This behavior is consistent with studies showing drug–polymer interactions, in which AMX enhanced viscosity through hydrogen bonding and network formation [49].
3.1. Blank BENS Characterization
3.1.1. Morphology of the Fibers
Figure 1 shows the SEM results of the blank BENS (F1–F5). The SEM images of the fabricated BENS show fibers of small diameters (sub-micron/nano-scale) forming smooth, homogeneous beadless networks, suggesting optimized ES conditions. Although F2 showed more densely packed, randomly oriented networks, creating a nonwoven mat with smaller pores, no significant differences were observed in the diameters of the prepared fibers. These findings align well with previous studies, demonstrating that solution concentrations of 15–35% w/v are optimal for preparing BENS based on PEG and PCL [26,50].
Figure 1.
SEM images of drug-unloaded blank BENS (F1, F2, F3, F4, and F5) at 2500× 50 µm scale (F1–F5) and 10,000×, 10 µm scale (F5a).
3.1.2. FT-IR Analysis
Figure 2 represents the FT-IR spectra of PEG and PCL, before and after ES, and their blends post-ES. Characteristic bands of PCL were observed at 2950 cm−1 (asymmetric CH2 stretching), 2845 cm−1 (symmetric CH2 stretching), 1734 cm−1 (carbonyl stretching), and major bands for PEG are observed at 2874 cm−1 (C-H stretching) and 1089 cm−1 (C-O Stretching). All major groups for blank BENS fabricated from PCL, PEG, and their blends were observed following their ES, indicating that the ES did not affect their chemical integrity.
Figure 2.
FT-IR spectra of PCL, PEG before and after ES, and blank BENS prepared from their blends as reported in Table 1.
3.1.3. Mechanical Characterization
The fabricated BENS were subjected to mechanical tensile testing to determine their mechanical properties. F1 was not reported as it was covered extensively in our previous work [26]. The σu, ε, and E for the different scaffolds are summarized in Table 2. Values are reported as (Mean ± sd).
Table 2.
Summary of the mechanical properties of drug-unloaded fabricated BENS. Values are means ± sd.
Figure 3 and Table 2 show that σu increased with increasing PCL content, peaking for F2 with its pure PCL content. The ε, as a representative of ductility, decreased with more PEG content in the BENS, while PCL-rich BENS were more elastic and stretchable. PEG increased stiffness in the BENS but reduced ductility and strength, whereas PCL produced softer, more compliant mats. F2 is therefore considered the strongest, most ductile, and elastic, and could be suitable for flexible scaffolds and wound dressings. Nonetheless, it lacked the hydrophilicity needed to provide a moist wound environment that supports cell migration, proliferation, and re-epithelialization [51]. F5, on the other hand, compared to F3, which was stiff and brittle, and F4, with its moderate ductility and stiffness, provided balanced moderate strength, ductility, and softness. As a result, F5 was selected to prepare the AMX-laden BENS, which were further characterized.
Figure 3.
Stress–strain plots for drug-unloaded fabricated BENS.
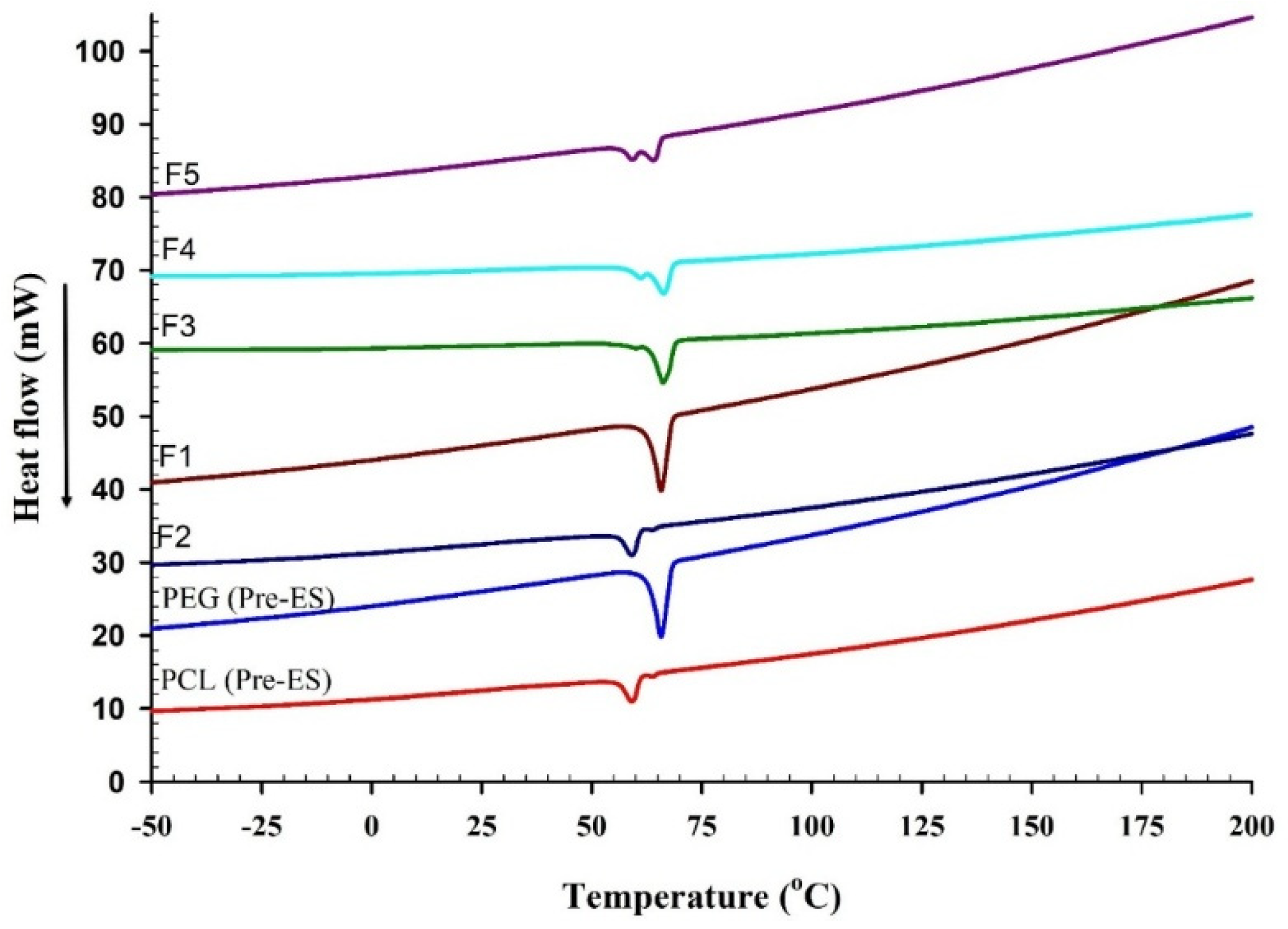
3.1.4. Thermal Properties
DSC measurements can provide valuable data on the thermal behavior and crystalline structure of the fabricated BENS. Figure 4 represents the DSC thermograms of PCL and PEG, before and after ES, and BENS prepared from their blends. DSC analysis of PCL and PEG before and after ES showed melting peaks at 62.12 °C and 59.5 °C for PCL and at 67.08 °C and 66.06 °C for PEG. There were no significant changes in the melting points of PEG and PCL fibers after ES. The different blank PCL/PEG compositions showed two major peaks at 58.92 °C and 65 °C, corresponding to PCL and PEG’s melting points, respectively. The melting points of both PEG and PCL were not affected by their blending following ES.
Figure 4.
DSC thermogram of PEG and PCL before and after ES and PCL & PEG-based BENS.
3.1.5. X-Ray Diffraction Analysis
X-ray diffraction is a valuable technique for analyzing the crystallinity in polymers. XRD tests were performed on the polymers before and after ES. Figure 5 presents the XRD patterns of raw PCL and PEG samples before and after ES. The XRD spectrum of PCL before ES exhibited distinct crystalline peaks at 2θ values of 19.4°, 21.96°, and 23.78°, whereas PEG displayed characteristic peaks at 17.6°, 19.66°, 21.5°, and 23.88°. Following ES, these diffraction peaks remained evident, indicating that blending PCL with PEG did not alter their crystalline structures. Hence, the crystallinity of both polymers was preserved after blending. These XRD findings were consistent with SEM and DSC observations, further confirming the materials’ structural integrity.
Figure 5.
XRD pattern of PEG and PCL before and after ES and PCL & PEG-based BENS.
3.2. Drug-Loaded BENS
3.2.1. Morphology of the Fibers
Based on the characterization results of the drug-unloaded BENS, the F5 copolymer composition was selected for the fabrication of AMX-loaded BENS containing 0.5%, 1%, and 2% w/w of the drug (formulations F6, F7, and F8). A representative image of the AMX-loaded BENS is presented in Figure 6.
Figure 6.
A representative image of the AMX-loaded BENS.
SEM analysis was conducted to examine potential morphological alterations in BENS following AMX incorporation and to determine the drug’s distribution within the BENS matrix. Figure 7 displays SEM micrographs at 2500× and 10,000× magnifications (at 50 and 10 µm scales). The absence of surface drug crystals suggests successful entrapment of AMX within the polymeric matrix and a likely transition of the drug from a crystalline to an amorphous state.
Figure 7.
SEM images of AMX-loaded BENS (F6, F7, F8) at 2500× 50 µm scale (Left) and 10,000×, 10 µm scale (right).
As summarized in Table 1, the viscosity measurements of the AMX-loaded BENS indicated a moderate increase upon drug incorporation. As reported, incorporating AMX into the electrospinning solution likely contributed to the higher viscosity, which enhanced fiber uniformity and stability by minimizing bead formation [16,52]. The SEM findings confirmed the homogeneous dispersion of AMX and the excellent miscibility of all formulation components, supporting the reproducibility and stability of the prepared nanofibers.
3.2.2. FT-IR Analysis
The FT-IR spectra of pure AMX and AMX-loaded BENS are presented in Figure 8. The spectrum of raw AMX exhibited characteristic absorption bands associated with AMX functional groups, confirming the presence of amide and phenolic OH groups. Prominent bands appeared in the 2920–3580 cm−1 region, corresponding to amide N–H, phenolic O–H stretching, and the benzene ring’s aromatic C–H stretching vibrations. Additional bands were observed between 1240 and 1734 cm−1, attributed to amide, carboxylic, and carbonyl groups.
Figure 8.
FT-IR spectrum of AMX and AMX-loaded BENS.
In the AMX-loaded BENS formulations (F6, F7, and F8), these characteristic AMX bands appeared with reduced intensity and slight shifts, indicating possible hydrogen bonding and molecular interactions between AMX and the PCL/PEG matrix. These findings confirm the successful incorporation of AMX into the electrospun polymer structure.
3.2.3. Mechanical Properties
Based on the mechanical testing results presented in Table 3 and Figure 9, the incorporation of AMX into the BENS formulations (F6–F8) relative to the blank formulation (F5) demonstrated a distinct influence on the mechanical behavior of the BENS. The inclusion of AMX enhanced tensile strength at lower concentrations; however, higher drug loading reduced fiber strength. This observation aligns with previous reports indicating that modest antibiotic incorporation can reinforce polymeric fibers by improving intermolecular cohesion, whereas excessive loading introduces structural irregularities that weaken the matrix [53,54,55].
Table 3.
Elongation and Young’s Modulus values for AMX-loaded PCL/PEG BENS.
Figure 9.
Representative tensile behavior of blank and AMX-loaded BENS.
Furthermore, AMX incorporation caused a dose-dependent decrease in ductility, resulting in progressively more brittle mats at higher loadings. This pattern is consistent with earlier studies showing that increased antibiotic concentrations diminish elongation at break and reduce flexibility [56,57]. The observed increase in stiffness across formulations likely arises from hydrogen bonding and other polymer–drug interactions that restrict chain mobility and promote the formation of localized crystalline domains. Similar stiffening phenomena have been documented in electrospun antibiotic-loaded systems [53,54,55,56,57].
In summary, while low AMX loading enhances the mechanical integrity of BENS, excessive loading compromises both tensile strength and ductility, despite increasing stiffness. The mechanophysical trends identified here also highlight a novel structure–function relationship wherein AMX-mediated modifications in rheology directly influence fiber mechanical behavior, advancing understanding of AMX–polymer interactions.
3.2.4. X-Ray Diffraction Analysis
The XRD patterns of pure AMX and AMX-loaded BENS are presented in Figure 10. The diffraction profile of AMX displayed distinct crystalline peaks at 2θ values of 10.96°, 11.4°, 12.1°, 15.31°, 18.08°, 19.22°, 25.8°, 26.08°, and 28.8°, confirming its crystalline nature. However, these characteristic peaks disappeared in the XRD pattern of the electrospun AMX-loaded BENS, indicating that AMX was molecularly dispersed within the polymeric matrix and converted into an amorphous form following electrospinning. The complete disappearance of AMX crystalline peaks across DSC and XRD provides new evidence for full drug amorphization within a PCL/PEG matrix.
Figure 10.
XRD pattern of AMX and AMX-loaded BENS.
3.2.5. Thermal Analysis
DSC analysis data of AMX from the literature typically revealed an endothermic peak near 194 °C, corresponding to its melting point, followed by a degradation event at higher temperatures. A secondary endothermic transition, commonly observed starting around 107 °C, is associated with dehydration [58]. Although slight variations in melting temperature may occur depending on the experimental setup, the melting point of AMX generally remains close to 194 °C. In our DSC thermograms shown in Figure 11, raw AMX exhibited an endothermic peak at 192.9 °C, consistent with its crystalline melting behavior. In contrast, this characteristic peak disappeared in the AMX-loaded BENS following electrospinning, indicating that AMX no longer retained its crystalline structure. The absence of the melting endotherm suggested that AMX was molecularly dispersed or transformed into an amorphous state within the polymeric matrix. This transformation agrees with the morphological observations from SEM and the structural findings from XRD, collectively confirming the successful amorphization and uniform incorporation of AMX into the electrospun BENS fibers.
Figure 11.
DSC thermogram of AMX and AMX-loaded BENS.
3.2.6. Contact Angle Measurements
The contact angle results presented in Table 4 and shown in Figure 12 demonstrate the influence of polymer composition and drug loading on the surface wettability of the BENS. The pure PEG BENS (F1) exhibited an extremely low contact angle, indicating a highly hydrophilic surface due to the abundant hydroxyl groups present in PEG. In contrast, the pure PCL BENS (F2) showed a markedly higher contact angle of 118 ± 5.0°, reflecting the intrinsic hydrophobicity of PCL arising from its aliphatic polyester backbone.
Table 4.
Effect of PCL, PEG ratio, and AMX loading on the contact angle measurements of the BENS, illustrating the influence of polymer composition and drug incorporation on surface wettability.
Figure 12.
Photographs illustrating the contact angle obtained for the fabricated BENS (A) F2; (B) F1; (C) F5; (D) F4; (E) F3; (F) F6; (G) F7; and (H) F8.
Gradual incorporation of PCL into PEG (F3–F5) progressively increased the contact angle from 8.06 ± 0.8° to 23.3 ± 1.5°, confirming that increasing PCL content reduced surface wettability. This trend suggests that PCL dominates the surface characteristics at higher ratios, while PEG contributes to hydrophilic domains and improved surface wetting.
Upon the incorporation of AMX (F6–F8), a notable reduction in contact angle was observed with increasing drug concentration from 19.44 ± 0.59° at 0.5% w/w AMX to 11.44 ± 3.1° at 2.0% w/w. This decline indicates that AMX loading enhanced the nanofibers’ hydrophilicity, likely because the polar functional groups of AMX (e.g., amine, hydroxyl, and carboxyl moieties) migrated toward the fiber surface during electrospinning. Overall, the results confirm that PEG and AMX increase surface wettability, whereas PCL enhances hydrophobicity, allowing fine-tuning of nanofiber surface properties through compositional adjustment. This dose-dependent increase in hydrophilicity with AMX loading reveals how a hydrophilic antibiotic can modulate surface wettability in PCL-dominant scaffolds.
3.2.7. Antimicrobial Activity of AMX-Loaded BENS
The antimicrobial activity of AMX-loaded BENS was evaluated using the disk diffusion method against Gram-positive and Gram-negative bacterial strains, including Staphylococcus aureus, Streptococcus pyogenes, and Escherichia coli. As shown in Figure 13, the blank BENS exhibited no observable inhibition zones, confirming the absence of inherent antibacterial activity in the polymeric matrix. In contrast, all AMX-loaded BENS formulations demonstrated clear inhibition zones, indicating successful drug incorporation and prolonged antimicrobial efficacy [54,59].
Figure 13.
The antimicrobial activity of blank and AMX-loaded BENS against Gram-positive and Gram-negative bacteria shows inhibition zones around drug-loaded fibers.
Quantitative analysis of the inhibition zones, presented in Table 5, revealed that the antibacterial effect increased proportionally with the AMX content in the nanofibers. The largest inhibition zones were recorded for formulations containing 2.0% w/w AMX, with diameters of 25.83 mm for E. coli, 15.00 mm for S. aureus, and 36.17 mm for S. pyogenes. The BENS with 1.0% and 0.5% AMX exhibited progressively smaller inhibition zones, confirming that the antimicrobial activity is concentration-dependent [60,61].
Table 5.
Diameter of inhibition zones (mm) of AMX-loaded BENS formulations against E. coli, S. aureus, and S. pyogenes, demonstrating concentration-dependent antibacterial activity.
These results suggest that the antibacterial performance of the BENS is primarily governed by the diffusion of AMX from the polymeric matrix into the surrounding medium. The more potent inhibition observed against S. pyogenes compared to S. aureus and E. coli may be attributed to differences in cell wall architecture between Gram-positive and Gram-negative bacteria, influencing the permeability and susceptibility to β-lactam antibiotics such as AMX [59,60]. The relatively lower inhibition zones for S. aureus could be associated with its thicker peptidoglycan layer and potential production of β-lactamase enzymes, which can partially inactivate AMX.
Overall, the findings confirm that electrospun BENS effectively serve as carriers for the release and diffusion of AMX, maintaining potent antimicrobial activity against both Gram-positive and Gram-negative bacteria. The correlation between AMX concentration and inhibition zone diameter (as illustrated in Figure 14) underscores the formulation’s potential to tailor antibacterial efficacy by adjusting drug loading, offering a promising strategy for localized infection control and wound-healing applications.
Figure 14.
Relationship between amoxicillin concentration in BENS and the diameter of inhibition zones for E. coli, S. aureus, and S. pyogenes.
3.2.8. Properties, Quantitative Correlation Analyses, and Statistical Comparison
- Role of Solution Viscosity in Mechanical Performance and BENS Diameter
As per the data provided in Table 1, Table 2, Table 3, Table 4 and Table 5 and the appended Table A1 for AMX, PCL, and PEG35000 before and after ES, quantitative correlation analyses revealed that solution viscosity is a strong predictor of mechanical performance in the fabricated BENS. For AMX-unloaded formulations (F2–F5), viscosity showed a robust positive association with σu and ε (Pearson r ≈ 0.97–1.00), indicating improved polymer chain entanglement and load transfer efficiency at higher viscosities consistent with classical electrospinning and polymer rheology theory [16,62,63]. At the same time, it showed a negative trend, with E indicating that increased ductility, associated with higher chain mobility, can occur at the expense of stiffness. Figure A1 represents the relation between viscosity vs. ultimate tensile stress for the drug-unloaded fiber.
Loading of AMX into the BENS (F6–F8) was associated with higher solution viscosity and higher stiffness (E), but lower ductility (ε). However, the σu response was non-monotonic, peaking at 0.5% AMX before declining at higher loadings. This behavior weakened linear correlations and suggested competing mechanisms involving drug–polymer interactions, microstructural heterogeneity, and stress-concentration effects introduced by dispersed drug domains [64,65]. Viscosity-antibacterial correlation analysis for F6–F8 showed that inhibition zones increased with an increase in viscosity and AMX loading (Figure A2) and decreased with an increase in σu (Figure A3). However, due to the small number of tested samples and the fact that inhibition and mechanics are both functions of drug loading, correlations must be interpreted with caution, and larger sample sizes would be more conclusive.
Although it was reported in previous studies that the inclusion of small proportions of PEG35000 to PCL would act as a plasticizer, decreasing viscosity and resulting in narrower fiber distributions and lower fiber diameters [66], no meaningful linear correlation was observed here between solution viscosity and fiber diameter across the studied blends (Pearson r = −0.003). While viscosity is often a dominant determinant of fiber diameter in electrospinning, the lack of correlation here suggested that composition-dependent effects (higher PEG3500 ratio and AMX loading) and competing phenomena (jet stretching, conductivity, phase behavior) override viscosity alone in governing fiber diameter [63,66].
- b.
- Effect of PEG35000 Weight Fraction on Mechanical and Thermal Properties
Increasing the PEG35000 fraction in the blend resulted in a strong positive correlation with E (r = 0.91, R2 = 0.82, p < 0.05) (Figure A4), indicating progressive stiffening of the BENS as PEG-rich domains contributed to load-bearing crystalline regions. Similar PEG-induced stiffening has been reported in PCL/PEG blends and electrospun scaffolds [67,68,69]. In contrast, fiber diameter showed no significant linear dependence on PEG fraction (p > 0.8), consistent with electrospinning theory, which holds that diameter is primarily governed by solution viscosity, charge density, and jet stretching dynamics rather than composition alone [63,66].
A strong positive correlation was observed between PEG weight fraction and overall crystallinity (Figure A5). Despite this strong correlation, the relationship was non-linear, with crystallinity reaching a minimum at intermediate PEG contents (a PEG fraction of 0.25–0.50). This behavior reflects disruption of regular chain packing and altered crystallization kinetics in binary PCL/PEG systems, particularly under the rapid solvent evaporation conditions of electrospinning. At higher PEG fractions, crystallinity increased markedly as PEG became the dominant crystallizing phase [68,70].
- c.
- Effect of AMX Loading
AMX incorporation produced statistically significant, monotonic effects on fiber properties. Increasing AMX content correlated positively with E (R2 > 0.70, p < 0.05) (Figure A6) and negatively with crystallinity (R2 > 0.70, p < 0.05), indicating drug-induced interference with polymer chain packing and crystalline domain development. Comparable reductions in crystallinity and concomitant mechanical modulation have been reported for drug-loaded electrospun PCL-based fibers [64,65]. Fiber diameter also showed a measurable dependence on AMX loading, consistent with drug-driven modifications of solution rheology and jet stability [63,66,71].
Overall, the PEG ratio primarily defines the baseline crystallinity–mechanical framework of the fibers, while AMX loading acts as a secondary modifier that fine-tunes microstructure and mechanical response. Table A2 summarizes the outcome of ANOVA and Tukey HSD Post Hoc analysis for the impact of different variables.
4. Conclusions
This study demonstrated that blending PCL and PEG into electrospun nanofibrous scaffolds enables precise tuning of mechanophysical, thermal, and surface properties relevant to wound-healing applications. Quantitative correlation and statistical analyses confirmed that PEG content primarily defines the baseline crystallinity-stiffness landscape of the fibers, while solution viscosity serves as a key predictor of mechanical performance. Incorporation of AMX resulted in its amorphous dispersion within the polymeric matrix, preserved fiber integrity, and produced a concentration-dependent enhancement in antibacterial activity accompanied by increased surface wettability and stiffness. The PCL: PEG (3:1) formulation emerged as the most balanced system, combining adequate mechanical robustness with favorable hydrophilicity and effective localized antimicrobial delivery. Importantly, the introduced mechanophysical optimization strategy moves beyond descriptive characterization by establishing quantitative structure–property–function relationships. These findings provide a rational design basis for advanced electrospun wound dressings and support further in vivo evaluation toward translational and clinical application. Despite the robust quantitative correlations established in this study, the analysis is inherently limited by the number of formulation levels examined and by the in vitro nature of the antibacterial and mechanical assessments. Future work is planned to expand the compositional design space, incorporate long-term degradation and drug-release kinetics, and validate the identified structure–property–function relationships using relevant in vivo wound-healing models to further support clinical translation.
Author Contributions
Conceptualization, H.M.Y. and S.A.A.; methodology (fibers fabrication and characterization), H.M.Y., S.A.A., M.S., H.A., S.G., S.A., D.E. and A.A.S., (antimicrobial Activity) G.K.N.; software, H.M.Y. and H.K.; validation, H.M.Y. and S.A.A.; formal analysis, H.M.Y., S.A.A., M.S., H.A., S.G., S.A., D.E., A.A.S. and H.K.; resources, H.M.Y.; data curation, H.M.Y. and S.A.A.; writing—original draft preparation, H.M.Y., S.A.A., M.S., H.A., S.G., S.A., D.E. and A.A.S.; writing—review and editing, H.M.Y.; visualization, H.M.Y.; supervision, H.M.Y. and S.A.A.; project administration, H.M.Y. and S.A.; funding acquisition, H.M.Y. and S.A.A. All authors have read and agreed to the published version of the manuscript.
Funding
This research was supported by the Qatar Research, Development & Innovation (QRDI) Undergraduate Research Experience Program [grant # UREP19-071-3-021] granted to H. M. Younes. The statements made herein are solely the responsibility of the authors.
Institutional Review Board Statement
Not applicable.
Data Availability Statement
The original contributions presented in this study are included in the article. Further inquiries can be directed to the corresponding author.
Acknowledgments
Central Laboratory Unit at Qatar University for SEM imaging and the Biomedical Research Center for conducting the antimicrobial activity testing.
Conflicts of Interest
The authors declare no conflicts of interest. The funders had no role in the design of the study, the collection, analysis, or interpretation of data, the writing of the manuscript, or the decision to publish the results.
Abbreviations
The following abbreviations are used in this manuscript:
| Abbreviation | Definition |
| AMX | Amoxicillin Trihydrate |
| BENS | Biodegradable Electrospun Nanofibrous Scaffolds |
| DSC | Differential Scanning Calorimetry |
| ECM | Extracellular Matrix |
| ES | Electrospinning |
| E | Young’s Modulus |
| ε | Strain |
| FT-IR | Fourier Transform Infrared Spectroscopy |
| FDA | U.S. Food and Drug Administration |
| LB | Luria–Bertani |
| MHA | Muller Hinton Agar |
| Mw | Molecular Weight |
| PCL | Poly(ε-caprolactone) |
| PEG | Poly(ethylene glycol) |
| SEM | Scanning Electron Microscopy |
| σu | Ultimate Tensile Stress |
| XRD | X-ray Diffraction |
| w/v | Weight per Volume |
| w/w | Weight per Weight |
| °C | Degrees Celsius |
| μm | Micrometer |
| mPa·s | Millipascal-second |
Appendix A
Table A1.
Comprehensive summary of formulation composition, pre-electrospinning solution properties, surface wettability, fiber morphology, mechanical performance, and thermal characteristics of pure components, AMX-unloaded, and AMX-loaded BENS.
Table A1.
Comprehensive summary of formulation composition, pre-electrospinning solution properties, surface wettability, fiber morphology, mechanical performance, and thermal characteristics of pure components, AMX-unloaded, and AMX-loaded BENS.
| Type | Code | PCL:PEG (Weight Ratio) | AMX (%w/w) | Solution Viscosity (mPa·s) | Contact Angel (Degree ± sd) | Fiber Mean Diameter (nm ± sd) | Mean Young’s Modulus (MPa ± sd) | Tm, Melt Endotherm (°C) | ΔHm, Total (J/g) | % Crytallinity (Xc) |
|---|---|---|---|---|---|---|---|---|---|---|
| Pre-Electrospinning (Pure Samples) | AMX | - | - | - | 80.5° ± 7.3° | - | - | 120–130 (water loss) 183–190 (degradatio) | 93.68 | 74.1 |
| PCL | - | - | 122° ± 4.0° | - | - | 58–60 | 56.6 | 40.6 | ||
| PEG | 4.13° ± 0.65° | - | - | 63–65 | 95.0 | 48.22 | ||||
| AMX-Unloaded Blank Fibers | F1 | 0:1 | 0 | 745 | 4.04° ± 0.53° | 566 ± 144 | 5.93 ± 0.831 | 63–65 | 94.6 | 48 |
| F2 | 1:0 | 0 | 6010 | 118° ± 5.0° | 462 ± 194 | 0.63 ± 0.02 | 58–60 | 51.6 | 37 | |
| F3 | 1:3 | 0 | 1250 | 8.06° ± 0.8° | 589 ± 199 | 5.22 ± 0.731 | 58–68 (Broad overlapping endotherms) | 30.22 * | 22 * | |
| F4 | 1:1 | 0 | 2400 | 18.06° ± 1.6° | 593 ± 208 | 1.02 ± 0.365 | 58–68 (Broad overlapping endotherms) | 22.45 * | 11 * | |
| F5 | 3:1 | 0 | 3490 | 23.3° ± 1.5° | 723 ± 222 | 0.94 ± 0.233 | 58–68 (Broad overlapping endotherms) | 15.26 * | 8 * | |
| AMX-Loaded Fibers | F6 | 3:1 | 0.5 | 3810 | 19.44° ± 0.59° | 913 ± 222 | 1.63 ± 0.49 | No Tm detected for AMX | - | - |
| F7 | 3:1 | 1.0 | 4260 | 13.18° ± 3.0° | 677 ± 299 | 1.81 ± 0.34 | No Tm detected for AMX | - | - | |
| F8 | 3:1 | 2.0 | 4790 | 11.44° ± 3.1° | 607 ± 216 | 1.94 ± 0.668 | No Tm detected for AMX | - | - |
PCL ΔH° ≈ 139.5 J/g (Ref), PEG: ΔH° ≈ 197 J/g (Ref), AMX ΔH° = 125 J/g, ; * Overall blend properties. Total melting enthalpy (blend): ; 100% crystalline reference enthalpy (blend): ; Overall crystallinity of the blend: .
Figure A1.
Viscosity vs. ultimate tensile stress for drug-unloaded fiber (F2–F5). y = 0.683 + 0.000522x; R2 = 0.937; p = 0.0322.
Figure A1.
Viscosity vs. ultimate tensile stress for drug-unloaded fiber (F2–F5). y = 0.683 + 0.000522x; R2 = 0.937; p = 0.0322.

Figure A2.
Viscosity vs. mean inhibition zone diameter across the three strains for AMX-loaded fibers (F6–F8). y = −10.5 + 0.00773x; R2 = 0.858; p = 0.246.
Figure A2.
Viscosity vs. mean inhibition zone diameter across the three strains for AMX-loaded fibers (F6–F8). y = −10.5 + 0.00773x; R2 = 0.858; p = 0.246.

Figure A3.
Ultimate tensile stress vs. mean inhibition zone diameter for AMX-loaded BENS (average across the three strains).
Figure A3.
Ultimate tensile stress vs. mean inhibition zone diameter for AMX-loaded BENS (average across the three strains).

Figure A4.
Effect of PEG mass fraction on Young’s modulus. Linear regression: y = 5.95x + −0.23; R2 = 0.82, p = 0.034.
Figure A4.
Effect of PEG mass fraction on Young’s modulus. Linear regression: y = 5.95x + −0.23; R2 = 0.82, p = 0.034.

Figure A5.
Effect of PEG mass fraction on crystallinity (Xc). Quadratic regression: y = 134.86x2 + −120.46x + 34.86; R2 = 0.963; p = 0.037. Linear: y = 14.4x + 18; R2 = 0.111; p = 0.037.
Figure A5.
Effect of PEG mass fraction on crystallinity (Xc). Quadratic regression: y = 134.86x2 + −120.46x + 34.86; R2 = 0.963; p = 0.037. Linear: y = 14.4x + 18; R2 = 0.111; p = 0.037.

Figure A6.
Effect of AMX loading on Young’s modulus. Linear regression: y = 0.20x + 1.56; R2 = 0.92, p = 0.180.
Figure A6.
Effect of AMX loading on Young’s modulus. Linear regression: y = 0.20x + 1.56; R2 = 0.92, p = 0.180.

Table A2.
Summary of ANOVA and Tukey HSD Post Hoc Analysis.
Table A2.
Summary of ANOVA and Tukey HSD Post Hoc Analysis.
| Response Variable | Factor | ANOVA Outcome (p < 0.05) | Tukey HSD Significant Comparisons | Interpretation |
|---|---|---|---|---|
| Young’s modulus | PEG ratio | Significant | Intermediate PEG vs. PEG-poor and PEG-rich | PEG fraction significantly modulates stiffness. |
| % Crystallinity (Xc) | PEG ratio | Significant | Intermediate PEG vs. extremes | Blend-induced disruption of chain packing. |
| Young’s modulus | AMX loading | Significant | 0.5 wt% vs. 2 wt% AMX | Drug loading increases stiffness. |
| Viscosity | AMX loading | Significant | All pairwise AMX levels | AMX strongly affects solution rheology. |
| Fiber diameter | AMX loading | Not significant | — | Diameter changes are secondary effects. |
References
- Mamun, A.A.; Shao, C.; Geng, P.; Wang, S.; Xiao, J. Recent advances in molecular mechanisms of skin wound healing and its treatments. Front. Immunol. 2024, 15, 1395479. [Google Scholar] [CrossRef] [PubMed]
- Choudhary, V.; Choudhary, M.; Bollag, W.B. Exploring Skin Wound Healing Models and the Impact of Natural Lipids on the Healing Process. Int. J. Mol. Sci. 2024, 25, 3790. [Google Scholar] [CrossRef] [PubMed]
- Nasra, S.; Pramanik, S.; Oza, V.; Kansara, K.; Kumar, A. Advancements in wound management: Integrating nanotechnology and smart materials for enhanced therapeutic interventions. Discov. Nano 2024, 19, 159. [Google Scholar] [CrossRef] [PubMed]
- Dhivya, S.; Padma, V.V.; Santhini, E. Wound dressings—A review. BioMedicine 2015, 5, 22. [Google Scholar] [CrossRef]
- Xu, R.; Fang, Y.; Zhang, Z.; Cao, Y.; Yan, Y.; Gan, L.; Xu, J.; Zhou, G. Recent Advances in Biodegradable and Biocompatible Synthetic Polymers Used in Skin Wound Healing. Materials 2023, 16, 5459. [Google Scholar] [CrossRef]
- Ferraz, M.P. Wound Dressing Materials: Bridging Material Science and Clinical Practice. Appl. Sci. 2025, 15, 1725. [Google Scholar] [CrossRef]
- Soylu, Z.; Oktay, B.; Erarslan, A.; Ahlatcıoğlu Özerol, E. Multifunctional polymeric wound dressings. Polym. Bull. 2025, 82, 5325–5383. [Google Scholar] [CrossRef]
- Moradifar, F.; Sepahdoost, N.; Tavakoli, P.; Mirzapoor, A. Multi-functional dressings for recovery and screenable treatment of wounds: A review. Heliyon 2025, 11, e41465. [Google Scholar] [CrossRef]
- Britto, E.J.; Nezwek, T.A.; Popowicz, P.; Robins, M. Wound Dressings. In StatPearls; StatPearls Publishing: Treasure Island, FL, USA, 2025. [Google Scholar]
- Van Onselen, J.; Gardner, S. Wound Dressings—Classification and Selection: An Introduction to Tissue Viability Focus 2016. Dermatol. Nurs. 2016, 15, 10–12. [Google Scholar]
- Yousefian, F.; Hesari, R.; Jensen, T.; Obagi, S.; Rgeai, A.; Damiani, G.; Bunick, C.G.; Grada, A. Antimicrobial Wound Dressings: A Concise Review for Clinicians. Antibiotics 2023, 12, 1434. [Google Scholar] [CrossRef]
- Shen, S.; Miskolci, V.; Dewey, C.N.; Sauer, J.-D.; Huttenlocher, A. Infection induced inflammation impairs wound healing through IL-1β signaling. iScience 2024, 27, 109532. [Google Scholar] [CrossRef] [PubMed]
- Anju, V.T.; Busi, S.; Imchen, M.; Kumavath, R.; Mohan, M.S.; Salim, S.A.; Subhaswaraj, P.; Dyavaiah, M. Polymicrobial Infections and Biofilms: Clinical Significance and Eradication Strategies. Antibiotics 2022, 11, 1731. [Google Scholar] [CrossRef] [PubMed]
- Bowler, P.G.; Duerden, B.I.; Armstrong, D.G. Wound Microbiology and Associated Approaches to Wound Management. Clin. Microbiol. Rev. 2001, 14, 244–269. [Google Scholar] [CrossRef] [PubMed]
- Maheswary, T.; Nurul, A.A.; Fauzi, M.B. The Insights of Microbes’ Roles in Wound Healing: A Comprehensive Review. Pharmaceutics 2021, 13, 981. [Google Scholar] [CrossRef]
- Younes, H.M.; Kadavil, H.; Ismail, H.M.; Adib, S.A.; Zamani, S.; Alany, R.G.; Al-Kinani, A.A. Overview of Tissue Engineering and Drug Delivery Applications of Reactive Electrospinning and Crosslinking Techniques of Polymeric Nanofibers with Highlights on Their Biocompatibility Testing and Regulatory Aspects. Pharmaceutics 2023, 16, 32. [Google Scholar] [CrossRef]
- Ekram, B. Review: Functionalization of biopolymer-based electrospun nanofibers for wound healing. J. Mater. Sci. 2025, 60, 8308–8342. [Google Scholar] [CrossRef]
- Lu, X.; Zhou, L.; Song, W. Recent Progress of Electrospun Nanofiber Dressing in the Promotion of Wound Healing. Polymers 2024, 16, 2596. [Google Scholar] [CrossRef]
- Gill, A.S.; Sood, M.; Deol, P.K.; Kaur, I.P. Synthetic polymer based electrospun scaffolds for wound healing applications. J. Drug Deliv. Sci. Technol. 2023, 89, 105054. [Google Scholar] [CrossRef]
- Chen, J.-P.; Chang, G.-Y.; Chen, J.-K. Electrospun collagen/chitosan nanofibrous membrane as wound dressing. Colloids Surf. A Physicochem. Eng. Asp. 2008, 313–314, 183–188. [Google Scholar] [CrossRef]
- Gunatillake, P.; Mayadunne, R.; Adhikari, R. Recent developments in biodegradable synthetic polymers. In Biotechnology Annual Review; El-Gewely, M.R., Ed.; Elsevier: Amsterdam, The Netherlands, 2006; Volume 12, pp. 301–347. [Google Scholar]
- Khanam, N.; Mikoryak, C.; Draper, R.K.; Balkus, K.J. Electrospun linear polyethyleneimine scaffolds for cell growth. Acta Biomater. 2007, 3, 1050–1059. [Google Scholar] [CrossRef]
- Lu, T.; Zou, Q.; Zhu, K.; Yuan, D.; Ma, M.; Ye, C. Electrospun egg white/polyvinyl alcohol fiber dressing to accelerate wound healing. J. Polym. Res. 2021, 28, 67. [Google Scholar] [CrossRef]
- Iurilli, M.; Porrelli, D.; Turco, G.; Lagatolla, C.; Camurri Piloni, A.; Medagli, B.; Nicolin, V.; Papa, G. Electrospun Collagen-Coated Nanofiber Membranes Functionalized with Silver Nanoparticles for Advanced Wound Healing Applications. Membranes 2025, 15, 39. [Google Scholar] [CrossRef] [PubMed]
- Parham, S.; Kharazi, A.Z.; Bakhsheshi-Rad, H.R.; Kharaziha, M.; Ismail, A.F.; Sharif, S.; Razzaghi, M.; RamaKrishna, S.; Berto, F. Antimicrobial Synthetic and Natural Polymeric Nanofibers as Wound Dressing: A Review. Adv. Eng. Mater. 2022, 24, 2101460. [Google Scholar] [CrossRef]
- Abdallah, O.; Jalali, F.; Zamani, S.; Isamil, H.M.; Ma, S.; Nasrallah, G.K.; Younes, H.Y. Fabrication & Characterization of 3D Electrospun Biodegradable Nanofibers for Wound Dressing, Drug Delivery and Other Tissue Engineering Applications. Pharm. Nanotechnol. 2016, 4, 191–201. [Google Scholar] [CrossRef]
- Reddy, M.S.B.; Ponnamma, D.; Choudhary, R.; Sadasivuni, K.K. A Comparative Review of Natural and Synthetic Biopolymer Composite Scaffolds. Polymers 2021, 13, 1105. [Google Scholar] [CrossRef]
- Elsner, J.J.; Zilberman, M. Antibiotic-eluting bioresorbable composite fibers for wound healing applications: Microstructure, drug delivery and mechanical properties. Acta Biomater. 2009, 5, 2872–2883. [Google Scholar] [CrossRef]
- Thakur, R.A.; Florek, C.A.; Kohn, J.; Michniak, B.B. Electrospun nanofibrous polymeric scaffold with targeted drug release profiles for potential application as wound dressing. Int. J. Pharm. 2008, 364, 87–93. [Google Scholar] [CrossRef]
- Suamte, L.; Tirkey, A.; Babu, P.J. Design of 3D smart scaffolds using natural, synthetic and hybrid derived polymers for skin regenerative applications. Smart Mater. Med. 2023, 4, 243–256. [Google Scholar] [CrossRef]
- Mouro, C.; Gouveia, I.C. Electrospun wound dressings with antibacterial function: A critical review of plant extract and essential oil incorporation. Crit. Rev. Biotechnol. 2024, 44, 641–659. [Google Scholar] [CrossRef]
- Kim, J.S.; Yu, H.; Woo, M.R.; Kim, D.W.; Kim, J.O.; Ku, S.K.; Jin, S.G.; Choi, H.-G. Influence of hydrophilic polymers on mechanical property and wound recovery of hybrid bilayer wound dressing system for delivering thermally unstable probiotic. Biomater. Adv. 2022, 135, 112696. [Google Scholar] [CrossRef]
- Jiang, H.; Fang, D.; Hsiao, B.S.; Chu, B.; Chen, W. Optimization and Characterization of Dextran Membranes Prepared by Electrospinning. Biomacromolecules 2004, 5, 326–333. [Google Scholar] [CrossRef] [PubMed]
- Shadman-Manesh, V.; Gholipour-Kanani, A.; Najmoddin, N.; Rabbani, S. Preclinical evaluation of the polycaprolactone-polyethylene glycol electrospun nanofibers containing egg-yolk oil for acceleration of full thickness burns healing. Sci. Rep. 2023, 13, 919. [Google Scholar] [CrossRef] [PubMed]
- Ghalia, M.A.; Alhanish, A. Mechanical and biodegradability of porous PCL/PEG copolymer-reinforced cellulose nanofibers for soft tissue engineering applications. Med. Eng. Phys. 2023, 120, 104055. [Google Scholar] [CrossRef] [PubMed]
- Youne, H.M. Biodegradable Electrospun Nanofibrous Scaffolds for Retinal Tissue Engineering: Fabrication and Characterization. In Proceedings of the American Association of Pharmaceutical Scientists 2022 PharmSci 360, Boston, MA, USA, 16–19 October 2022; pp. W0930–0910–0957. Available online: https://www.eventscribe.net/2022/PharmSci360/fsPopup.asp?efp=UEVURVFLR0oxNjI3Mw&PosterID=501644&rnd=0.3316944&mode=posterinfo (accessed on 27 January 2026).
- Habibi, P.; Bagheri, F.; Tork, N. Polyethylene glycol: Novel applications in tissue engineering and carriers of antimicrobial and anticancer agents. Nano Micro Biosyst. 2024, 3, 1–7. [Google Scholar] [CrossRef]
- Escudero-Castellanos, A.; Ocampo-García, B.E.; Domínguez-García, M.V.; Flores-Estrada, J.; Flores-Merino, M.V. Hydrogels based on poly(ethylene glycol) as scaffolds for tissue engineering application: Biocompatibility assessment and effect of the sterilization process. J. Mater. Sci. Mater. Med. 2016, 27, 176. [Google Scholar] [CrossRef]
- Wang, Y.; Zhang, W.; Karamergenova, A.; Lin, L. Fabrication and application of polycaprolactone-based composite scaffolds in tissue engineering: A review. Mater. Today Commun. 2025, 49, 113821. [Google Scholar] [CrossRef]
- Raina, N.; Pahwa, R.; Khosla, J.K.; Gupta, P.N.; Gupta, M. Polycaprolactone-based materials in wound healing applications. Polym. Bull. 2022, 79, 7041–7063. [Google Scholar] [CrossRef]
- Ramírez-Ruiz, F.; Núñez-Tapia, I.; Piña-Barba, M.C.; Alvarez-Pérez, M.A.; Guarino, V.; Serrano-Bello, J. Polycaprolactone for Hard Tissue Regeneration: Scaffold Design and In Vivo Implications. Bioengineering 2025, 12, 46. [Google Scholar] [CrossRef]
- Bisson-Boutelliez, C.; Fontanay, S.; Finance, C.; Kedzierewicz, F. Preparation and physicochemical characterization of amoxicillin beta-cyclodextrin complexes. AAPS PharmSciTech 2010, 11, 574–581. [Google Scholar] [CrossRef]
- Bilal, M.H.; Mahmood, N.; Samiullah, M.H.; Busse, K.; Kressler, J. Physico-mechanical properties of poly(ethylene glycol)-based polymer networks. J. Appl. Polym. Sci. 2023, 140, e54726. [Google Scholar] [CrossRef]
- Buckley, C.P.; Kovacs, A.J. Melting behaviour of low molecular weight poly(ethylene-oxide) fractions. Colloid Polym. Sci. 1976, 254, 695–715. [Google Scholar] [CrossRef]
- Mark, J. Physical Properties of Polymer Handbook; Springer: New York, NY, USA, 2007; Volume 29. [Google Scholar]
- Pitt, G.G.; Gratzl, M.M.; Kimmel, G.L.; Surles, J.; Sohindler, A. Aliphatic polyesters II. The degradation of poly (DL-lactide), poly(ε-caprolactone), and their copolymers in vivo. Biomaterials 1981, 2, 215–220. [Google Scholar] [CrossRef] [PubMed]
- Czarnecka, K.; Wojasiński, M.; Ciach, T.; Sajkiewicz, P. Solution Blow Spinning of Polycaprolactone—Rheological Determination of Spinnability and the Effect of Processing Conditions on Fiber Diameter and Alignment. Materials 2021, 14, 1463. [Google Scholar] [CrossRef] [PubMed]
- Rajeev, M.; Helms, C.C. A Study of the Relationship between Polymer Solution Entanglement and Electrospun PCL Fiber Mechanics. Polymers 2023, 15, 4555. [Google Scholar] [CrossRef]
- de la Torre, P.M.; Enobakhare, Y.; Torrado, G.; Torrado, S. Release of amoxicillin from polyionic complexes of chitosan and poly(acrylic acid). study of polymer/polymer and polymer/drug interactions within the network structure. Biomaterials 2003, 24, 1499–1506. [Google Scholar] [CrossRef]
- Repanas, A.; Wolkers, W.; Gryshkov, O.; Müller, M.; Glasmacher, B. PCL/PEG Electrospun Fibers as Drug Carriers for the Controlled Delivery of Dipyridamole. J. Silico Vitr. Pharmacol. 2015, 1, 1–10. [Google Scholar] [CrossRef]
- Nuutila, K.; Eriksson, E. Moist Wound Healing with Commonly Available Dressings. Adv. Wound Care 2021, 10, 685–698. [Google Scholar] [CrossRef]
- Sun, Y.; Cheng, S.; Lu, W.; Wang, Y.; Zhang, P.; Yao, Q. Electrospun fibers and their application in drug controlled release, biological dressings, tissue repair, and enzyme immobilization. RSC Adv. 2019, 9, 25712–25729. [Google Scholar] [CrossRef]
- Mirzaeei, S.; Mansurian, M.; Asare-Addo, K.; Nokhodchi, A. Metronidazole- and Amoxicillin-Loaded PLGA and PCL Nanofibers as Potential Drug Delivery Systems for the Treatment of Periodontitis: In Vitro and In Vivo Evaluations. Biomedicines 2021, 9, 975. [Google Scholar] [CrossRef]
- Macartney, R.A.; Weaver, E.; Irwin, R.; Wylie, M.P.; Burke, G.A.; Lamprou, D.A. Co-delivery of VEGF and amoxicillin using LP-coated co-axial electrospun fibres for the potential treatment of diabetic wounds. Biomater. Adv. 2024, 158, 213765. [Google Scholar] [CrossRef]
- Chou, S.F.; Woodrow, K.A. Relationships between mechanical properties and drug release from electrospun fibers of PCL and PLGA blends. J. Mech. Behav. Biomed. Mater. 2017, 65, 724–733. [Google Scholar] [CrossRef] [PubMed]
- Liu, Z.; Zhu, X.; Tang, R. Electrospun Scaffold with Sustained Antibacterial and Tissue-Matched Mechanical Properties for Potential Application as Functional Mesh. Int. J. Nanomed. 2020, 15, 4991–5004. [Google Scholar] [CrossRef] [PubMed]
- Khunová, V.; Kováčová, M.; Olejniková, P.; Ondreáš, F.; Špitalský, Z.; Ghosal, K.; Berkeš, D. Antibacterial Electrospun Polycaprolactone Nanofibers Reinforced by Halloysite Nanotubes for Tissue Engineering. Polymers 2022, 14, 746. [Google Scholar] [CrossRef] [PubMed]
- Mardikasari, S.A.; Katona, G.; Budai-Szűcs, M.; Kiricsi, Á.; Rovó, L.; Csóka, I. Mucoadhesive in situ nasal gel of amoxicillin trihydrate for improved local delivery: Ex vivo mucosal permeation and retention studies. Eur. J. Pharm. Sci. 2024, 202, 106897. [Google Scholar] [CrossRef]
- Ajalloueian, F.; Asgari, S.; Guerra, P.R.; Chamorro, C.I.; Ilchenco, O.; Piqueras, S.; Fossum, M.; Boisen, A. Amoxicillin-loaded multilayer pullulan-based nanofibers maintain long-term antibacterial properties with tunable release profile for topical skin delivery applications. Int. J. Biol. Macromol. 2022, 215, 413–423. [Google Scholar] [CrossRef]
- Çerçi, A.; Demir, E.S.; Karaca, E.; Güzel, Ç.B.; Osman, B. Preparation and Characterization of Amoxicillin-Loaded Polyvinyl Alcohol/Sodium Alginate Nanofibrous Mat: Drug Release Properties, Antibacterial Activity, and Cytotoxicity. Arab. J. Sci. Eng. 2025, 50, 77–91. [Google Scholar] [CrossRef]
- Jiamboonsri, P.; Sangkhun, W.; Wanwong, S. Methyl Gallate and Amoxicillin-Loaded Electrospun Poly(vinyl alcohol)/Chitosan Mats: Impact of Acetic Acid on Their Anti-Staphylococcus aureus Activity. Polymers 2025, 17, 7. [Google Scholar] [CrossRef]
- Xue, J.; Wu, T.; Dai, Y.; Xia, Y. Electrospinning and Electrospun Nanofibers: Methods, Materials, and Applications. Chem. Rev. 2019, 119, 5298–5415. [Google Scholar] [CrossRef]
- Yarin, A.L.; Koombhongse, S.; Reneker, D.H. Taylor Cone and Jetting from Liquid Droplets in Electrospinning of Nanofibers. J. Appl. Phys. 2001, 90, 4836–4846. [Google Scholar] [CrossRef]
- Liu, M.; Duan, X.-P.; Li, Y.-M.; Yang, D.-P.; Long, Y.-Z. Electrospun nanofibers for wound healing. Mater. Sci. Eng. C 2017, 76, 1413–1423. [Google Scholar] [CrossRef]
- Yu, D.-G.; Li, X.-Y.; Wang, X.; Yang, J.-H.; Bligh, S.W.A.; Williams, G.R. Nanofibers Fabricated Using Triaxial Electrospinning as Zero Order Drug Delivery Systems. ACS Appl. Mater. Interfaces 2015, 7, 18891–18897. [Google Scholar] [CrossRef]
- Woodruff, M.A.; Hutmacher, D.W. The return of a forgotten polymer—Polycaprolactone in the 21st century. Prog. Polym. Sci. 2010, 35, 1217–1256. [Google Scholar] [CrossRef]
- Dash, T.K.; Konkimalla, V.B. Poly-є-caprolactone based formulations for drug delivery and tissue engineering: A review. J. Control. Release 2012, 158, 15–33. [Google Scholar] [CrossRef] [PubMed]
- Scaffaro, R.; Lopresti, F.; Maio, A.; Botta, L.; Rigogliuso, S.; Ghersi, G. Electrospun PCL/GO-g-PEG structures: Processing-morphology-properties relationships. Compos. Part A Appl. Sci. Manuf. 2017, 92, 97–107. [Google Scholar] [CrossRef]
- Kupka, V.; Dvořáková, E.; Manakhov, A.; Michlíček, M.; Petruš, J.; Vojtová, L.; Zajíčková, L. Well-Blended PCL/PEO Electrospun Nanofibers with Functional Properties Enhanced by Plasma Processing. Polymers 2020, 12, 1403. [Google Scholar] [CrossRef]
- Gao, Y.; Bach Truong, Y.; Zhu, Y.; Louis Kyratzis, I. Electrospun antibacterial nanofibers: Production, activity, and in vivo applications. J. Appl. Polym. Sci. 2014, 131, 40797. [Google Scholar] [CrossRef]
- Reneker, D.H.; Yarin, A.L. Electrospinning jets and polymer nanofibers. Polymer 2008, 49, 2387–2425. [Google Scholar] [CrossRef]
Disclaimer/Publisher’s Note: The statements, opinions and data contained in all publications are solely those of the individual author(s) and contributor(s) and not of MDPI and/or the editor(s). MDPI and/or the editor(s) disclaim responsibility for any injury to people or property resulting from any ideas, methods, instructions or products referred to in the content. |
© 2026 by the authors. Licensee MDPI, Basel, Switzerland. This article is an open access article distributed under the terms and conditions of the Creative Commons Attribution (CC BY) license.













