Skip Content
You are currently on the new version of our website. Access the old version .
PolymersPolymers
  • This is an early access version, the complete PDF, HTML, and XML versions will be available soon.
  • Article
  • Open Access

31 January 2026

Development of a Polyolefin Elastomer Modified Hybrid Inorganic Filler System for Enhanced Performance in HDPE Double-Wall Corrugated Pipe Production

,
,
,
,
,
,
and
1
Kuzey Boru A.Ş., R&D Center, Kırımlı Organized Industrial Zone, Aksaray 68100, Türkiye
2
Department of Mechanical Engineering, Aydin Adnan Menderes University, Aydin 09100, Türkiye
*
Authors to whom correspondence should be addressed.
Polymers2026, 18(3), 385;https://doi.org/10.3390/polym18030385 
(registering DOI)
This article belongs to the Special Issue Polymer Composites: Structure, Properties and Processing, 2nd Edition

Abstract

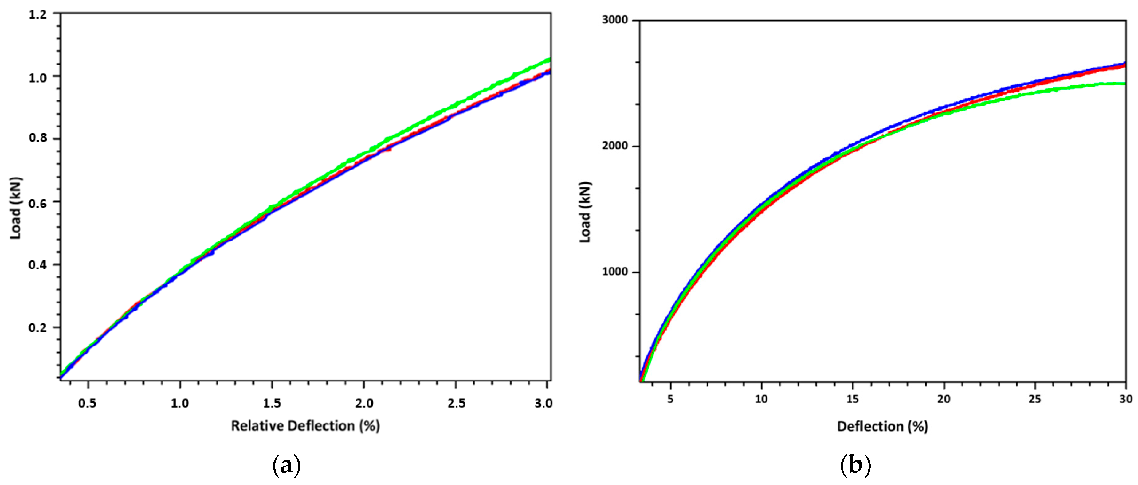
This study presents the design and performance evaluation of an advanced inorganic filler system composed of calcite (CaCO3) and talc (Mg3Si4O10(OH)2), modified with a polyolefin elastomer (POE), and integrated into a high-density polyethylene (HDPE) carrier resin with process additives such as erucamide, montan wax, pe wax, and PIB. The composite was developed to improve the structural integrity and longevity of HDPE double-wall corrugated pipes. Comprehensive characterization of the filler was performed using TGA–DSC, FTIR, SEM–EDX, XRD, and XRF analyses, confirming the presence of every individual component and homogeneous dispersion in the compound. Pilot-scale extrusion pipe trials confirmed uniform filler dispersion when evaluated by SEM-EDX analysis. The filler addition increased both the density and MFI values up to 1.03 g/cm3 and 1.5 g/10 min, respectively, while test results indicated oxidation induction times (OIT) reaching up to 40 min. The developed filler-added pipes demonstrated a significantly higher ring stiffness value of 12.20 kN/m2, exceeding the minimum requirement of 8 kN/m2 specified for the SN8 class pipes. The POE effectively attenuated rigidity and brittleness typically induced by mineral fillers, yielding this superior stiffness while maintaining adequate ring flexibility. These findings highlight the potential of this tailored filler system to advance the production of lightweight, mechanically robust corrugated piping solutions for demanding infrastructure applications.

Article Metrics

Citations

Article Access Statistics

Article metric data becomes available approximately 24 hours after publication online.