Preparation of Phenolic Aerogel/Quartz Fiber Composites Modified with POSS: Low Density, High Strength and Thermal Insulation
Abstract
1. Introduction
2. Materials and Methods
2.1. Experimental Materials and Characterization Methods
2.2. Synthesis of Mercapto Polyhedral Oligomeric Silsesquioxne (SH-POSS)
2.3. Synthesis of POSS-Modified Phenolic Resin
2.4. Preparation of Phenolic Aerogel/Quartz Fiber Composites
3. Results and Discussion
3.1. Characterization of SH-POSS, Phenolic-POSS and POSS-PR
3.2. Thermal Behavior of POSS-PR
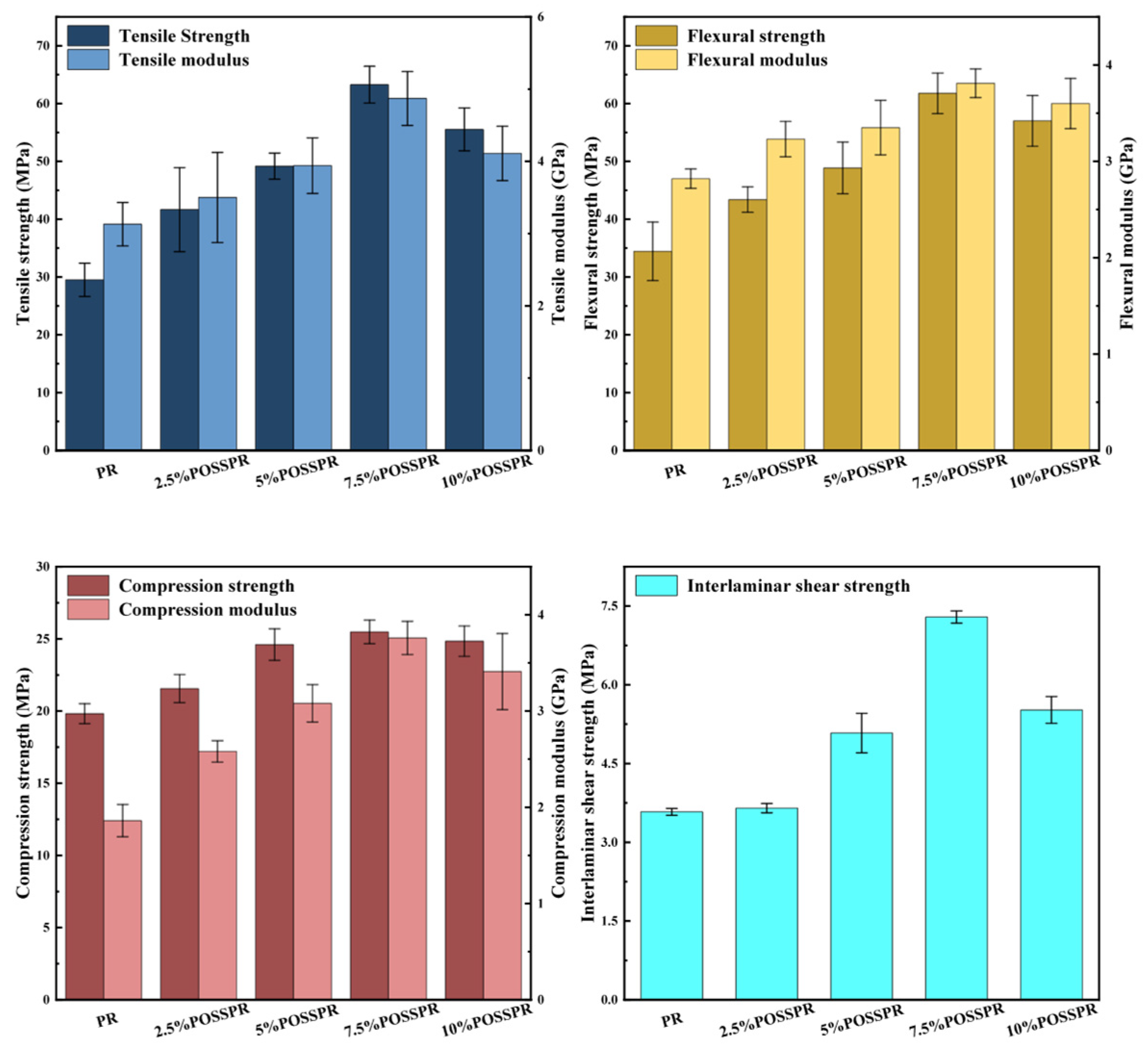
3.3. Mechanical Properties and Thermal Insulation Properties of POSS-PR Aerogel/QF
3.4. Microstructure of the Composite Material After Ablation
4. Conclusions
Supplementary Materials
Author Contributions
Funding
Data Availability Statement
Acknowledgments
Conflicts of Interest
References
- Satheesh Chandran, M.; Sunitha, K.; Uday Bhaskar, N.; Santhosh Kumar, K.S.; Sreenivas, N.; Mathew, D. Low Density Syntactic Foam Composites as Ablative TPS Material for High Heat Flux Conditions for Reentry Missions. Trans. Indian Natl. Acad. Eng. 2021, 6, 153–158. [Google Scholar] [CrossRef]
- Basingala, P.K.; Neigapula, V.S.N. Effect of novel aluminium titanate on mechanical, thermal and ablation performance behavior of carbon fiber reinforced phenolic resin composites. Polym. Compos. 2025, 46, 1400–1415. [Google Scholar] [CrossRef]
- Baier, L.; Frieß, M.; Hensch, N.; Leisner, V. Development of ultra-high temperature ceramic matrix composites for hypersonic applications via reactive melt infiltration and mechanical testing under high temperature. CEAS Space J. 2025, 17, 635–644. [Google Scholar] [CrossRef]
- Yang, T.; Dong, C.; Rong, Y.; Deng, Z.; Li, P.; Han, P.; Shi, M.; Huang, Z. Oxidation Behavior of Carbon Fibers in Ceramizable Phenolic Resin Matrix Composites at Elevated Temperatures. Polymers 2022, 14, 2785. [Google Scholar] [CrossRef]
- Wang, W.; Xu, W.; Jia, X.; Zhang, F.; Cao, Y.; Ma, C.; Wang, J.; Qiao, W.; Ling, L. A facile in-situ strategy to fabricate lightweight carbon fiber/silicone-phenolic aerogel composites with superior toughness and ablation performance. J. Mater. Sci. 2024, 59, 18488–18498. [Google Scholar] [CrossRef]
- Wang, X.; Xu, Q.; Zheng, Q.; Shao, Y.; Shen, J. Reviews of Fiber-Reinforced Phenolic Resin-Based Thermal Protection Materials for Aircraft. Energies 2025, 18, 819. [Google Scholar] [CrossRef]
- Cao, J.; Qian, Z.; Wang, P.; Zhang, Y.; Niu, B.; Long, D. Lightweight nitrogen-doped phenolic composites with enhanced thermal ablation-insulation performance by improving pyrolysis gas blocking effect. Polym. Compos. 2024, 45, 4573–4588. [Google Scholar] [CrossRef]
- Ghelich, R.; Mehdinavaz Aghdam, R.; Jahannama, M.R. Elevated temperature resistance of SiC-carbon/phenolic nanocomposites reinforced with zirconium diboride nanofibers. J. Compos. Mater. 2017, 52, 1239–1251. [Google Scholar] [CrossRef]
- Pelin, G.; Pelin, C.-E.; ŞTefan, A.; DincĂ, I.O.N.; Ficai, A.; Andronescu, E.; TruŞCĂ, R. Influence of nanometric silicon carbide on phenolic resin composites properties. Bull. Mater. Sci. 2016, 39, 769–775. [Google Scholar] [CrossRef]
- Subhani, T. Microstructure and Mechanical Properties of Carbon Fiber Phenolic MatrixComposites containing Carbon Nanotubes and Silicon Carbide. Eng. Technol. Appl. Sci. Res. 2024, 14, 13637–13642. [Google Scholar] [CrossRef]
- Paglia, L.; Genova, V.; Marra, F.; Bracciale, M.P.; Bartuli, C.; Valente, T.; Pulci, G. Manufacturing, thermochemical characterization and ablative performance evaluation of carbon-phenolic ablative material with nano-Al2O3 addition. Polym. Degrad. Stab. 2019, 169, 108979. [Google Scholar] [CrossRef]
- Pulci, G.; Paglia, L.; Genova, V.; Bartuli, C.; Valente, T.; Marra, F. Low density ablative materials modified by nanoparticles addition: Manufacturing and characterization. Compos. Part A Appl. Sci. Manuf. 2018, 109, 330–337. [Google Scholar] [CrossRef]
- Amirsardari, Z.; Mehdinavaz Aghdam, R.; Salavati-Niasari, M.; Shakhesi, S. Enhanced thermal resistance of GO/C/phenolic nanocomposite by introducing ZrB2 nanoparticles. Compos. Part B Eng. 2015, 76, 174–179. [Google Scholar] [CrossRef]
- Zhao, Y.; Li, Y.; Ma, F.; Xing, X.; Wang, S.; Hong, T.; Zhang, C.; Jing, X. Optimization of crosslinked network structure of cured phenolic resin with high char yield. Polym. Degrad. Stab. 2025, 231, 111073. [Google Scholar] [CrossRef]
- Wu, Z.; Jiang, P.; Pang, H.; Cheng, G.; Li, J.; Liu, H.; Ma, Y.; Dong, Y.; Wang, Z. Improving the Oxidation Resistance of Phenolic Resin Pyrolytic Carbons by In Situ Catalytic Formation of Carbon Nanofibers via Copper Nitrate. Materials 2024, 17, 3770. [Google Scholar] [CrossRef]
- Zheng, C.; Yuan, X.; Li, X.; Wang, X.; Cui, F.; Wang, X. Research on Nano-Titanium Modified Phenolic Resin Coating and Corrosion Resistance. Coatings 2023, 13, 1703. [Google Scholar] [CrossRef]
- Yi Hsu, C.; Mahmoud, Z.H.; Abdullaev, S.; Abdulrazzaq Mohammed, B.; Altimari, U.S.; Laftah Shaghnab, M.; Kianfar, E.; Fadhil Smaisim, G. Nanocomposites based on Resole/graphene/carbon fibers: A review study. Case Stud. Chem. Environ. Eng. 2023, 8, 100535. [Google Scholar] [CrossRef]
- Zhou, H.; Ye, Q.; Xu, J. Polyhedral oligomeric silsesquioxane-based hybrid materials and their applications. Mater. Chem. Front. 2017, 1, 212–230. [Google Scholar] [CrossRef]
- Chen, W.-C.; Liu, Y.-T.; Kuo, S.-W. Highly Thermal Stable Phenolic Resin Based on Double-Decker-Shaped POSS Nanocomposites for Supercapacitors. Polymers 2020, 12, 2151. [Google Scholar] [CrossRef]
- Wu, Y.; Li, L.; Feng, S.; Liu, H. Hybrid nanocomposites based on novolac resin and octa(phenethyl) polyhedral oligomeric silsesquioxanes (POSS): Miscibility, specific interactions and thermomechanical properties. Polym. Bull. 2013, 70, 3261–3277. [Google Scholar] [CrossRef]
- GJB 323A-96; Test Methods for Ablation of Ablators. China Standards Press: Beijing, China, 1996.
- GB/T 10294-2008; Thermal Insulation—Determination of Steady-State Thermal Resistance and Related Properties—Guarded Hot Plate Apparatus. China Standards Press: Beijing, China, 2008.
- GB/T 1449-2005; Fibre-Reinforced Plastic Composites-Determination of Flexural Properties. China Standards Press: Beijing, China, 2005.
- GB/T 1450.1-2005; Fibre-Reinforced Plastic Composites-Determination of Interlaminar Shear Strength. China Standards Press: Beijing, China, 2005.
- GB/T 1447-2005; Fiber-Reinforced Plastics Composites—Determination of Tensile Properties. China Standards Press: Beijing, China, 2005.
- GB/T 1448-2005; Fiber-reinforced plastics composites-Determination of compressive properties. China Standards Press: Beijing, China, 2005.
- Liu, H.; Zheng, S.; Nie, K. Morphology and Thermomechanical Properties of Organic−Inorganic Hybrid Composites Involving Epoxy Resin and an Incompletely Condensed Polyhedral Oligomeric Silsesquioxane. Macromolecules 2005, 38, 5088–5097. [Google Scholar] [CrossRef]
- Wang, W.; Chen, M.; Chen, X.; Wang, J. Thiol-rich polyhedral oligomeric silsesquioxane as a novel adsorbent for mercury adsorption and speciation. Chem. Eng. J. 2014, 242, 62–68. [Google Scholar] [CrossRef]
- Lowe, A.B. Thiol-ene “click” reactions and recent applications in polymer and materials synthesis. Polym. Chem. 2010, 1, 17–36. [Google Scholar] [CrossRef]
- Hoyle, C.E.; Bowman, C.N. Thiol-ene click chemistry. Angew. Chem. Int. Ed. Engl. 2010, 49, 1540–1573. [Google Scholar] [CrossRef] [PubMed]
- Sethuraman, K.; Vengatesan, M.R.; Lakshmikandhan, T.; Alagar, M. Thermal and dielectric properties of “thiol–ene” photocured hybrid composite materials from allyl-terminated benzoxazine and SH-POSS. High Perform. Polym. 2015, 28, 340–351. [Google Scholar] [CrossRef]
- Kaczmarek, M.; Przybylska, A.; Szymańska, A.; Dutkiewicz, A.; Maciejewski, H. Thiol-ene click reaction as an effective tool for the synthesis of PEG-functionalized alkoxysilanes-precursors of anti-fog coatings. Sci. Rep. 2023, 13, 21025. [Google Scholar] [CrossRef]
- Wang, B.; Shi, M.; Ding, J.; Huang, Z. Polyhedral oligomeric silsesquioxane (POSS)-modified phenolic resin: Synthesis and anti-oxidation properties. e-Polymers 2021, 21, 316–326. [Google Scholar] [CrossRef]
- Wongsa, P.; Phatikulrungsun, P.; Prathumthong, S. FT-IR characteristics, phenolic profiles and inhibitory potential against digestive enzymes of 25 herbal infusions. Sci. Rep. 2022, 12, 6631. [Google Scholar] [CrossRef]
- Yang, D.; Zhang, W.; Yao, R.; Jiang, B. Thermal stability enhancement mechanism of poly(dimethylsiloxane) composite by incorporating octavinyl polyhedral oligomeric silsesquioxanes. Polym. Degrad. Stab. 2013, 98, 109–114. [Google Scholar] [CrossRef]
- Wang, D.; Ding, J.; Wang, B.; Zhuang, Y.; Huang, Z. Synthesis and Thermal Degradation Study of Polyhedral Oligomeric Silsesquioxane (POSS) Modified Phenolic Resin. Polymers 2021, 13, 1182. [Google Scholar] [CrossRef]
- Niu, Z.; Li, G.; Ma, X.; Shen, S.; Xin, Y.; Cai, L.; Chen, F.; Zhang, C.; Hou, X. Synergetic effect of O-POSS and T-POSS to enhance ablative resistant of phenolic-based silica fiber composites via strong interphase strength and ceramic formation. Compos. Part A Appl. Sci. Manuf. 2022, 155, 106855. [Google Scholar] [CrossRef]
- Zhang, Z.; Pfefferle, L.; Haller, G.L. Comparing characterization of functionalized multi-walled carbon nanotubes by potentiometric proton titration, NEXAFS, and XPS. Chin. J. Catal. 2014, 35, 856–863. [Google Scholar] [CrossRef]
- Watts, J.F. High resolution XPS of organic polymers: The Scienta ESCA 300 database. G. Beamson and D. Briggs. 280pp., £65. John Wiley & Sons, Chichester, ISBN 0471 935921, (1992). Surf. Interface Anal. 1993, 20, 267. [Google Scholar] [CrossRef]
- Kaur, A.; Chahal, P.; Hogan, T. Selective Fabrication of SiC/Si Diodes by Excimer Laser Under Ambient Conditions. IEEE Electron Device Lett. 2016, 37, 142–145. [Google Scholar] [CrossRef]
- Niu, Z.; Xin, Y.; Wang, L.; Shen, S.; Ma, X.; Chen, B.; Wang, C.; Chen, F.; Zhang, C.; Hou, X. Two birds with one stone: Construction of bifunctional-POSS hybridized boron-silicon ceramicized phenolic composites and its ablation behavior. J. Mater. Sci. Technol. 2023, 141, 199–208. [Google Scholar] [CrossRef]
- Shen, S.H.; Zhang, Y.; Liu, Y.J. Kinetic Study of Titanium-Modified Phenolic Resin Curing Process by DSC Analysis. Adv. Mater. Res. 2012, 396–398, 1640–1644. [Google Scholar] [CrossRef]
- Li, C.; Bu, Z.; Sun, J.; Fan, H.; Wan, J.; Li, B. New insights into high-ortho phenolic novolac: Elucidating dependence between molecular structure, curing kinetics and thermal stability. Thermochim. Acta 2013, 557, 77–86. [Google Scholar] [CrossRef]
- Imparato, C.; Bifulco, A.; Malucelli, G.; Aronne, A. Solids containing Si-O-P bonds: Is the hydrolytic sol-gel route a suitable synthesis strategy? J. Sol-Gel Sci. Technol. 2023, 116, 2573–2598. [Google Scholar] [CrossRef]
- Rüchardt, C.; Beckhaus, H.-D. Towards an Understanding of the Carbon-Carbon Bond. Angew. Chem. Int. Ed. Engl. 1980, 19, 429–440. [Google Scholar] [CrossRef]
- Fu, S.; Zhu, M.; Zhu, Y. Organosilicon polymer-derived ceramics: An overview. J. Adv. Ceram. 2019, 8, 457–478. [Google Scholar] [CrossRef]
- Kumar, A.; Ranjan, C.; Kumar, K.; Reddy, M.H.; Babu, B.S.; Katiyar, J.K. State-of-the-Art on Advancements in Carbon-Phenolic and Carbon-Elastomeric Ablatives. Polymers 2024, 16, 1461. [Google Scholar] [CrossRef]
- Matějka, L.; Murias, P.; Pleštil, J. Effect of POSS on thermomechanical properties of epoxy–POSS nanocomposites. Eur. Polym. J. 2012, 48, 260–274. [Google Scholar] [CrossRef]
- Filimonova, E.; Bergmann, T.; Zhao, S.; Dyatlov, V.A.; Malfait, W.J.; Wu, T. Effect of polymer concentration and cross-linking density on the microstructure and properties of polyimide aerogels. J. Sol-Gel Sci. Technol. 2024, 110, 747–759. [Google Scholar] [CrossRef]
- Huang, X.; Zhao, Y.; Wang, K.; Wang, Y.; Ding, C.; Wang, Y.; Liu, X.; Duan, X. Ablation Mechanism and Process of Low-Density Needled Quartz Felt/Phenolic Resin Thermal Protection Materials Under Long-Term Low–Medium Heat Flow. Aerospace 2025, 12, 81. [Google Scholar] [CrossRef]
- Ma, X.; Ma, X.; Wang, S.; Xu, P.; Zhang, Z.; Xu, P.; Yang, S.; Zhang, C.; Hou, X. Norbornene POSS crosslinked EPDM composites for thermal protection system: Significant boosting mechanical and ablation resistance. Chin. J. Aeronaut. 2025, 38, 103796. [Google Scholar] [CrossRef]
- Swapna, V.P.; Stephen, R. Mechanical and dynamic mechanical properties of POSS nanocomposites. In Polyhedral Oligomeric Silsesquioxane (POSS) Polymer Nanocomposites; Elsevier: Amsterdam, The Netherlands, 2021; pp. 385–403. [Google Scholar]
- Puech, P.; Kandara, M.; Paredes, G.; Moulin, L.; Weiss-Hortala, E.; Kundu, A.; Ratel-Ramond, N.; Plewa, J.-M.; Pellenq, R.; Monthioux, M. Analyzing the Raman Spectra of Graphenic Carbon Materials from Kerogens to Nanotubes: What Type of Information Can Be Extracted from Defect Bands? C 2019, 5, 69. [Google Scholar] [CrossRef]
- Li, Z.; Deng, L.; Kinloch, I.A.; Young, R.J. Raman spectroscopy of carbon materials and their composites: Graphene, nanotubes and fibres. Prog. Mater. Sci. 2023, 135, 101089. [Google Scholar] [CrossRef]
- Jin, B.; Liao, L.; Shen, X.; Mei, Z.; Du, Q.; Liang, L.; Lei, B.; Du, J. Advancement in Research on Silicon/Carbon Composite Anode Materials for Lithium-Ion Batteries. Metals 2025, 15, 386. [Google Scholar] [CrossRef]
- Niu, B.; Shen, H.; Li, T.; Zhang, H.; Qian, Z.; Cao, Y.; Zhang, Y.; Long, D. 2.5D quartz fabric reinforced nanoporous phenolic composites with weakened heat transfer and optimized mechanical properties. Compos. Sci. Technol. 2022, 230, 109726. [Google Scholar] [CrossRef]
- You, Q.; Liu, G.; Zhong, Y.; Xu, H.; Zhang, X.; Shang, S.; Yuan, M.; Cui, S.; Shen, X. Mechanical properties and oxidative ablation behaviors of polysilazane-modified phenolic resin aerogel/carbon fiber fabric composites. Polym. Compos. 2024, 45, 286–301. [Google Scholar] [CrossRef]
- Zhao, X.; Chen, L.; Su, P.-G.; Xiao, L.-X.; Zhao, H.-B.; Fu, T.; Wang, X.-L.; Wang, Y.-Z. 4-Hydroxybenzenesulfonic acid triggers rapid preparation of phenolic aerogel composites by ambient pressure drying. Chem. Eng. J. 2024, 479, 147856. [Google Scholar] [CrossRef]
- Yin, R.; Cheng, H.; Hong, C.; Zhang, X. Synthesis and characterization of novel phenolic resin/silicone hybrid aerogel composites with enhanced thermal, mechanical and ablative properties. Compos. Part A Appl. Sci. Manuf. 2017, 101, 500–510. [Google Scholar] [CrossRef]













| Peak | Kissinger Ea (kJ/mol) | Ozawa Ea (kJ/mol) | Average Ea (kJ/mol) | n |
|---|---|---|---|---|
| P1 | 73.42 | 76.39 | 74.91 | 0.932 |
| P2 | 80.42 | 84.08 | 82.25 | 0.930 |
| Sample | T5% (°C) | T10% (°C) | Tdmax (°C) | R800 (%) | R1000 (%) |
|---|---|---|---|---|---|
| PR | 346 | 421 | 531 | 60.3 | 58.5 |
| 2.5%POSS-PR | 350 | 430 | 542 | 62.0 | 61.2 |
| 5%POSS-PR | 374 | 470 | 553 | 66.8 | 64.4 |
| 7.5%POSS-PR | 421 | 519 | 555 | 71.6 | 67.6 |
| 10%POSS-PR | 403 | 500 | 548 | 69.7 | 66.3 |
| Material | Density (g/cm3) | Mechanical Properties | Thermal Conductivity (W/(m·K)) | Ablation Rate | Microstructure |
|---|---|---|---|---|---|
| This work | 0.7 | Tensile strength: 63.26 MPa; Bending strength: 61.76 MPa; Compressive strength: 25.48 MPa | 0.0619 | 0.0584 g/s and 0.197 mm/s | Specific surface area: 84.9 m2/g; Average pore diameter: 18.1 nm |
| 2.5D quartz fabric reinforced nanoporous phenolic composites [56] | 1.32 | Tensile strength: 182.0 MPa | 0.21 | 0.041 g/s and 0.120 mm/s | Average pore diameter: 35 nm |
| Polysilazane-modified phenolic resin aerogel/carbon fiber [57] composites | 0.86 | Tensile strength: 59.22 MPa; Bending strength: 23.35 MPa; Compressive strength: 8.89 MPa | 0.126 | 0.112 mm/s | Specific surface area: 37.2 m2/g; Average pore diameter: 23.5 nm |
| Phenolic aerogel/quartz fiber composites [58] | 0.35 | Compressive strength: 4.4 MPa | 0.061~0.064 | 0.075 g/s and 0.5 mm/s | Specific surface area: 55.5 m2/g; Average pore diameter: 194.4 nm |
| Phenolic resin/silicone hybrid aerogel composites [59] | 0.356 | Compressive strength: 4.08 MPa | 0.098 | 0.073 mm/s | Specific surface area: 58.42~223.95 m2/g; Average pore diameter: 20~60 nm |
Disclaimer/Publisher’s Note: The statements, opinions and data contained in all publications are solely those of the individual author(s) and contributor(s) and not of MDPI and/or the editor(s). MDPI and/or the editor(s) disclaim responsibility for any injury to people or property resulting from any ideas, methods, instructions or products referred to in the content. |
© 2026 by the authors. Licensee MDPI, Basel, Switzerland. This article is an open access article distributed under the terms and conditions of the Creative Commons Attribution (CC BY) license.
Share and Cite
Zhao, X.; Li, D.; Shao, M.; Yu, G.; Yuan, W.; Liu, J.; Ren, X.; Feng, J.; Yu, Q.; Liu, Z.; et al. Preparation of Phenolic Aerogel/Quartz Fiber Composites Modified with POSS: Low Density, High Strength and Thermal Insulation. Polymers 2026, 18, 387. https://doi.org/10.3390/polym18030387
Zhao X, Li D, Shao M, Yu G, Yuan W, Liu J, Ren X, Feng J, Yu Q, Liu Z, et al. Preparation of Phenolic Aerogel/Quartz Fiber Composites Modified with POSS: Low Density, High Strength and Thermal Insulation. Polymers. 2026; 18(3):387. https://doi.org/10.3390/polym18030387
Chicago/Turabian StyleZhao, Xiang, Dayong Li, Meng Shao, Guang Yu, Wenjie Yuan, Junling Liu, Xin Ren, Jianshun Feng, Qiubing Yu, Zhenyu Liu, and et al. 2026. "Preparation of Phenolic Aerogel/Quartz Fiber Composites Modified with POSS: Low Density, High Strength and Thermal Insulation" Polymers 18, no. 3: 387. https://doi.org/10.3390/polym18030387
APA StyleZhao, X., Li, D., Shao, M., Yu, G., Yuan, W., Liu, J., Ren, X., Feng, J., Yu, Q., Liu, Z., Kong, G., & Fan, X. (2026). Preparation of Phenolic Aerogel/Quartz Fiber Composites Modified with POSS: Low Density, High Strength and Thermal Insulation. Polymers, 18(3), 387. https://doi.org/10.3390/polym18030387
