Light-Induced Structural Evolutions in Electrostatic Nanoassemblies
Abstract
1. Introduction
2. Materials and Methods
2.1. Chemicals
2.2. Sample Preparation
2.3. Light Scattering
2.4. ζ-Potential Measurements
2.5. UV-Vis Spectroscopy
2.6. Small-Angle Neutron Scattering
3. Results
3.1. Slow Kinetics (Method A)
3.1.1. Light Scattering Measurements
3.1.2. UV-Vis Spectroscopy
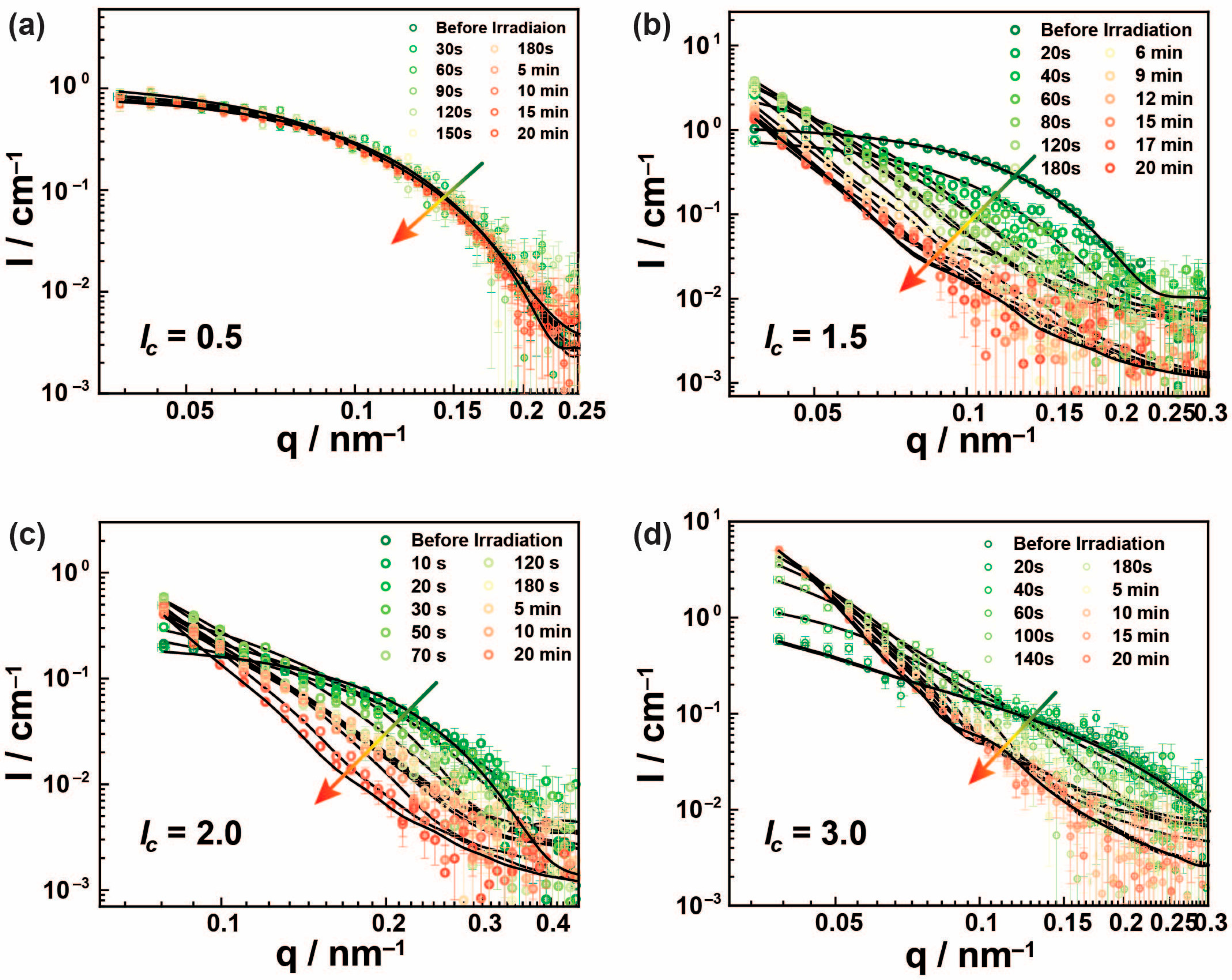
3.1.3. Small-Angle Neutron Scattering
3.1.4. Charge Characteristics
3.2. Fast Kinetics (Method B)
3.2.1. Light Scattering
3.2.2. Small-Angle Neutron Scattering
4. Discussion
5. Conclusions
Supplementary Materials
Author Contributions
Funding
Data Availability Statement
Acknowledgments
Conflicts of Interest
References
- Guan, Y.; Antonietti, M.; Faul, C.F.J. Ionic Self-Assembly of Dye-Surfactant Complexes: Influence of Tail Lengths and Dye Architecture on the Phase Morphology. Langmuir 2002, 18, 5939–5945. [Google Scholar] [CrossRef]
- Faul, C.F.J.; Antonietti, M. Ionic Self-Assembly: Facile Synthesis of Supramolecular Materials. Adv. Mater. 2003, 15, 673–683. [Google Scholar] [CrossRef]
- Rehm, T.; Schmuck, C. How to Achieve Self-Assembly in Polar Solvents Based on Specific Interactions? Some General Guidelines. Chem. Commun. 2008, 801–813. [Google Scholar] [CrossRef] [PubMed]
- Willerich, I.; Gröhn, F. Photoswitchable Nanoassemblies by Electrostatic Self-Assembly. Angew. Chemie-Int. Ed. 2010, 49, 8104–8108. [Google Scholar] [CrossRef]
- Ghosh, A.; Haverick, M.; Stump, K.; Yang, X.; Tweedle, M.F.; Goldberger, J.E. Fine-Tuning the PH Trigger of Self-Assembly. J. Am. Chem. Soc. 2012, 134, 3647–3650. [Google Scholar] [CrossRef] [PubMed]
- Krieger, A.; Zika, A.; Gröhn, F. Functional Nano-Objects by Electrostatic Self-Assembly: Structure, Switching, and Photocatalysis. Front. Chem. 2022, 9, 1–46. [Google Scholar] [CrossRef] [PubMed]
- Dai, S.; Ravi, P.; Tam, K.C. PH-Responsive Polymers: Synthesis, Properties and Applications. Soft Matter 2008, 4, 435–449. [Google Scholar] [CrossRef]
- Dai, S.; Ravi, P.; Tam, K.C. Thermo- and Photo-Responsive Polymeric Systems. Soft Matter 2009, 5, 2513–2533. [Google Scholar] [CrossRef]
- Reinhold, F.; Kolb, U.; Lieberwirth, I.; Gröhn, F. Assemblies of Double Hydrophilic Block Copolymers and Oppositely Charged Dendrimers. Langmuir 2009, 25, 1345–1351. [Google Scholar] [CrossRef]
- Ruthard, C.; Schmidt, M.; Gröhn, F. Porphyrin-Polymer Networks, Worms, and Nanorods: PH-Triggerable Hierarchical Self-Assembly. Macromol. Rapid Commun. 2011, 32, 706–711. [Google Scholar] [CrossRef]
- Mariani, G.; Schweins, R.; Gröhn, F. Electrostatic Self-Assembly of Dendrimer Macroions and Multivalent Dye Counterions: The Role of Solution Ionic Strength. Macromolecules 2016, 49, 8661–8671. [Google Scholar] [CrossRef]
- Fuentes, E.; Gerth, M.; Berrocal, J.A.; Matera, C.; Gorostiza, P.; Voets, I.K.; Pujals, S.; Albertazzi, L. An Azobenzene-Based Single-Component Supramolecular Polymer Responsive to Multiple Stimuli in Water. J. Am. Chem. Soc. 2020, 142, 10069–10078. [Google Scholar] [CrossRef]
- Faul, C.F.J. Ionic Self-Assembly for Functional Hierarchical Nanostructured Materials. Acc. Chem. Res. 2014, 47, 3428–3438. [Google Scholar] [CrossRef] [PubMed]
- Grzybowski, B.A.; Fitzner, K.; Paczesny, J.; Granick, S. From Dynamic Self-Assembly to Networked Chemical Systems. Chem. Soc. Rev. 2017, 46, 5647–5678. [Google Scholar] [CrossRef] [PubMed]
- Klajn, R. Spiropyran-Based Dynamic Materials. Chem. Soc. Rev. 2014, 43, 148–184. [Google Scholar] [CrossRef]
- Bian, T.; Chu, Z.; Klajn, R. The Many Ways to Assemble Nanoparticles Using Light. Adv. Mater. 2019, 32, 1905866. [Google Scholar] [CrossRef] [PubMed]
- Blayo, C.; Kelly, E.A.; Houston, J.E.; Khunti, N.; Cowieson, N.P.; Evans, R.C. Light-Responsive Self-Assembly of a Cationic Azobenzene Surfactant at High Concentration. Soft Matter 2020, 16, 9183–9187. [Google Scholar] [CrossRef]
- Agarwal, M.; Zika, A.; Yücel, M.; Schweins, R.; Kohlbrecher, J.; Gröhn, F. The Role of Light Irradiation and Dendrimer Generation in Directing Electrostatic Self-Assembly. Polymers 2025, 17, 170. [Google Scholar] [CrossRef]
- Klajn, R.; Bishop, K.J.M.; Grzybowski, B.A. Light-Controlled Self-Assembly of Reversible and Irreversible Nanoparticle Suprastructures. Proc. Natl. Acad. Sci. USA 2007, 104, 10305–10309. [Google Scholar] [CrossRef]
- Nalluri, S.K.M.; Ravoo, B.J. Light-Responsive Molecular Recognition and Adhesion of Vesicles. Angew. Chemie-Int. Ed. 2010, 49, 5371–5374. [Google Scholar] [CrossRef]
- Fischer, W.; Quadir, M.A.; Barnard, A.; Smith, D.K.; Haag, R. Controlled Release of DNA from Photoresponsive Hyperbranched Polyglycerols with Oligoamine Shells. Macromol. Biosci. 2011, 11, 1736–1746. [Google Scholar] [CrossRef]
- Kundu, P.K.; Samanta, D.; Leizrowice, R.; Margulis, B.; Zhao, H.; Börner, M.; Udayabhaskararao, T.; Manna, D.; Klajn, R. Light-Controlled Self-Assembly of Non-Photoresponsive Nanoparticles. Nat. Chem. 2015, 7, 646–652. [Google Scholar] [CrossRef]
- Agarwal, M.; Zika, A.; Schweins, R.; Gröhn, F. Controlling the Morphology in Electrostatic Self-Assembly via Light. Polymers 2023, 16, 50. [Google Scholar] [CrossRef] [PubMed]
- Xu, J.F.; Chen, Y.Z.; Wu, D.; Wu, L.Z.; Tung, C.H.; Yang, Q.Z. Photoresponsive Hydrogen-Bonded Supramolecular Polymers Based on a Stiff Stilbene Unit. Angew. Chemie-Int. Ed. 2013, 52, 9738–9742. [Google Scholar] [CrossRef]
- Stricker, L.; Fritz, E.C.; Peterlechner, M.; Doltsinis, N.L.; Ravoo, B.J. Arylazopyrazoles as Light-Responsive Molecular Switches in Cyclodextrin-Based Supramolecular Systems. J. Am. Chem. Soc. 2016, 138, 4547–4554. [Google Scholar] [CrossRef]
- Crespi, S.; Simeth, N.A.; König, B. Heteroaryl Azo Dyes as Molecular Photoswitches. Nat. Rev. Chem. 2019, 3, 133–146. [Google Scholar] [CrossRef]
- Carl, N.; Müller, W.; Schweins, R.; Huber, K. Controlling Self-Assembly with Light and Temperature. Langmuir 2020, 36, 223–231. [Google Scholar] [CrossRef]
- Gröhn, F. Soft Matter Nanoparticles with Various Shapes and Functionalities Can Form through Electrostatic Self-Assembly. Soft Matter 2010, 6, 4296–4302. [Google Scholar] [CrossRef]
- Aida, T.; Meijer, E.W.; Stupp, S.I. Functional Supramolecular Polymers. Science 2012, 335, 813–817. [Google Scholar] [CrossRef]
- Willerich, I.; Gröhn, F. Thermodynamics of Photoresponsive Polyelectrolyte-Dye Assemblies with Irradiation Wavelength Triggered Particle Size. Macromolecules 2011, 44, 4452–4461. [Google Scholar] [CrossRef]
- Zika, A.; Agarwal, M.; Schweins, R.; Gröhn, F. Joining Two Switches in One Nano-object: Photoacidity and Photoisomerization in Electrostatic Self-assembly. Chem.–A Eur. J. 2022, 29, 1–7. [Google Scholar] [CrossRef]
- Huang, Z.; Jiang, T.; Wang, J.; Ma, X.; Tian, H. Real-Time Visual Monitoring of Kinetically Controlled Self-Assembly. Angew. Chemie 2021, 133, 2891–2896. [Google Scholar] [CrossRef]
- Jensen, G.V.; Lund, R.; Gummel, J.; Monkenbusch, M.; Narayanan, T.; Pedersen, J.S. Direct Observation of the Formation of Surfactant Micelles under Nonisothermal Conditions by Synchrotron SAXS. J. Am. Chem. Soc. 2013, 135, 7214–7222. [Google Scholar] [CrossRef] [PubMed]
- Jensen, G.V.; Lund, R.; Gummel, J.; Narayanan, T.; Pedersen, J.S. Monitoring the Transition from Spherical to Polymer-like Surfactant Micelles Using Small-Angle X-Ray Scattering. Angew. Chemie-Int. Ed. 2014, 53, 11524–11528. [Google Scholar] [CrossRef] [PubMed]
- Lund, R.; Brun, G.; Chevallier, E.; Narayanan, T.; Tribet, C. Kinetics of Photocontrollable Micelles: Light-Induced Self-Assembly and Disassembly of Azobenzene-Based Surfactants Revealed by TR-SAXS. Langmuir 2016, 32, 2539–2548. [Google Scholar] [CrossRef]
- Kelly, E.A.; Houston, J.E.; Evans, R.C. Probing the Dynamic Self-Assembly Behaviour of Photoswitchable Wormlike Micelles in Real-Time. Soft Matter 2019, 15, 1253–1259. [Google Scholar] [CrossRef]
- Robinson, C.; Mills, H.A.T. The Colloid Chemistry of Dyes: The Aqueous Solutions of Benzopurpurine 4B and Its Isomer Prepared from m-Tolidine. Part I. Proc. R. Soc. London Ser. A 1931, 131, 576–595. [Google Scholar] [CrossRef]
- Moldenhauer, D.; Gröhn, F. Nanoassemblies with Light-Responsive Size and Density from Linear Flexible Polyelectrolytes. J. Polym. Sci. Part B Polym. Phys. 2013, 51, 802–816. [Google Scholar] [CrossRef]
- Glasoe, P.K.; Long, F.A. Use of Glass Electrodes to Measure Acidities in Deuterium Oxide. J. Phys. Chem. 1960, 64, 188–190. [Google Scholar] [CrossRef]
- Covington, A.K.; Paabo, M.; Robinson, R.A.; Bates, R.G. Use of the Glass Electrode in Deuterium Oxide and the Relation between the Standardized PD (PaD) Scale and the Operational PH in Heavy Water. Anal. Chem. 1968, 40, 700–706. [Google Scholar] [CrossRef]
- Krȩzel, A.; Bal, W. A Formula for Correlating PKa Values Determined in D 2O and H2O. J. Inorg. Biochem. 2004, 98, 161–166. [Google Scholar] [CrossRef] [PubMed]
- Rubinson, K.A. Practical Corrections for p(H,D) Measurements in Mixed H2O/D2O Biological Buffers. Anal. Methods 2017, 9, 2744–2750. [Google Scholar] [CrossRef]
- Schärtl, W. Light Scattering from Polymer Solutions and Nanoparticle Dispersions; Springer: Berlin/Heidelberg, Germany, 2007; pp. 1–24. ISBN 9783540719519. [Google Scholar]
- Provencher, S.W. Contin: A General Purpose Constrained Regularization Program for Inverting Noisy Linear Algebraic and Integral Equations. Comput. Phys. Commun. 1982, 27, 229–242. [Google Scholar] [CrossRef]
- Provencher, S.W. Inverse Problems in Polymer Characterization: Direct Analysis of Polydispersity with Photon Correlation Spectroscopy. Die Makromol. Chemie 1979, 180, 201–209. [Google Scholar] [CrossRef]
- Zimm, B.H. The Scattering of Light and the Radial Distribution Function of High Polymer Solutions. J. Chem. Phys. 1948, 16, 1093–1099. [Google Scholar] [CrossRef]
- Guinier, A.; Fouret, G. Small-Angle Scattering of X-Rays; John Wiley Sons, Inc.: New York, NY, USA, 1955; Volume 18, pp. 5–78. [Google Scholar] [CrossRef]
- Smoluchowski, M.v. Molekular-Kinetische Theorie Der Opaleszenz von Gasen Im Kritischen Zustande, Sowie Einiger Verwandter Erscheinungen. Ann. Phys. 1908, 330, 205–226. [Google Scholar] [CrossRef]
- Polaczyk, A.L.; Amburgey, J.E.; Alansari, A.; Poler, J.C.; Propato, M.; Hill, V.R. Calculation and Uncertainty of Zeta Potentials of Microorganisms in a 1:1 Electrolyte with a Conductivity Similar to Surface Water. Colloids Surf. A Physicochem. Eng. Asp. 2020, 586, 124097. [Google Scholar] [CrossRef]
- Feigin, L.A.; Svergun, D.I. Structure Analysis by Small-Angle X-Ray and Neutron Scattering; Plenum Press: New York, NY, USA, 1987. [Google Scholar]
- Isihara, A. Determination of Molecular Shape by Osmotic Measurement. J. Chem. Phys. 1950, 18, 1446–1449. [Google Scholar] [CrossRef]
- Arnold, O.; Bilheux, J.C.; Borreguero, J.M.; Buts, A.; Campbell, S.I.; Chapon, L.; Doucet, M.; Draper, N.; Ferraz Leal, R.; Gigg, M.A.; et al. Mantid—Data Analysis and Visualization Package for Neutron Scattering and μ SR Experiments. Nucl. Instrum. Methods Phys. Res. Sect. A Accel. Spectrometers Detect. Assoc. Equip. 2014, 764, 156–166. [Google Scholar] [CrossRef]















| lc | Rate Constant, k/s−1 | |
|---|---|---|
| AY38/G4 | AY38/G5 | |
| 2.0 | 3.5 × 10−6 | 2.0 × 10−6 |
| 3.0 | 9.7 × 10−6 | 1.2 × 10−5 |
| 4.0 | 1.0 × 10−5 | 1.3 × 10−5 |
| Time/min | Shape | Rmin/nm | PDI (Rmin) | Rmaj/nm | PDI (Rmaj) | χ2 |
|---|---|---|---|---|---|---|
| 30 | ![]() | 25 | 0.25 | 2.9 | ||
| 60 | ![]() | 34 | 0.20 | 2.4 | ||
| 90 | ![]() | 43 | 0.23 | 2.6 | ||
| 120 | ![]() | 60 | 0.29 | 2.8 | ||
| 150 | ![]() | 35 | 0.30 | 139 | 0.02 | 2.0 |
| 180 | ![]() | 33 | 0.40 | 132 | 0.07 | 1.7 |
| 210 | ![]() | 33 | 0.40 | 132 | 0.10 | 2.2 |
| 240 | ![]() | 30 | 0.40 | 136 | 0.03 | 1.9 |
| Time/min | Shape | Radius/nm | PDI | χ2 |
|---|---|---|---|---|
| 4 | ![]() | 87 | 0.24 | 1.5 |
| 8 | ![]() | 105 | 0.23 | 1.2 |
| 16 | ![]() | 118 | 0.24 | 1.0 |
| 24 | ![]() | 134 | 0.24 | 1.0 |
| 32 | ![]() | 145 | 0.26 | 1.2 |
| 40 | ![]() | 152 | 0.27 | 1.1 |
| 70 | ![]() | 171 | 0.33 | 0.8 |
| 100 | ![]() | 176 | 0.36 | 0.7 |
| 130 | ![]() | 179 | 0.39 | 0.8 |
| 160 | ![]() | 178 | 0.43 | 0.9 |
| 180 | ![]() | 180 | 0.40 | 0.8 |
| Time/min | Shape | Radius/nm | PDI | χ2 |
|---|---|---|---|---|
| 3 | ![]() | 59 | 0.30 | 1.3 |
| 6 | ![]() | 76 | 0.20 | 1.4 |
| 9 | ![]() | 84 | 0.23 | 1.3 |
| 12 | ![]() | 92 | 0.22 | 0.9 |
| 15 | ![]() | 100 | 0.22 | 0.9 |
| 20 | ![]() | 106 | 0.26 | 0.9 |
| 25 | ![]() | 121 | 0.22 | 1.1 |
| 30 | ![]() | 123 | 0.30 | 0.8 |
| 35 | ![]() | 126 | 0.34 | 0.9 |
| 40 | ![]() | 132 | 0.25 | 1.0 |
| 70 | ![]() | 181 | 0.30 | 0.9 |
| 100 | ![]() | 206 | 0.36 | 0.7 |
| 130 | ![]() | 189 | 0.40 | 0.8 |
| 180 | ![]() | 202 | 0.38 | 0.9 |
| Key Features | Pre-Irradiation (Method A) | Post-Irradiation (Method B) |
|---|---|---|
| Kinetics | Slow kinetics, ≈3 h | Fast kinetics, <20 min |
| Irradiation | Pre-irradiated AY38 (cis state) before assembly | UV irradiation during self-assembly |
| Properties | Allows controlled, stepwise formation, ideal for detailed analysis | Captures immediate, rapid transformations |
| Pre-Irradiation (Method A) | |||||
|---|---|---|---|---|---|
| System ID | lc | After Irradiation (t−1) | t0 | tm | tf |
| AY38/G4 | 2.0 | ![]() | ![]() | ![]() | ![]() |
| AY38/G5 | 2.0 | ![]() | ![]() | ![]() | ![]() |
| 3.0 | ![]() | ![]() | ![]() | ![]() | |
| Post-Irradiation (Method B) | |||||
| System ID | lc | Before Irradiation | After Irradiation | ||
| AY38/G4 | 1.5 | ![]() | ![]() | ||
| AY38/G5 | 1.5 | ![]() | ![]() | ||
| 2.0 | ![]() | ![]() | |||
Disclaimer/Publisher’s Note: The statements, opinions and data contained in all publications are solely those of the individual author(s) and contributor(s) and not of MDPI and/or the editor(s). MDPI and/or the editor(s) disclaim responsibility for any injury to people or property resulting from any ideas, methods, instructions or products referred to in the content. |
© 2026 by the authors. Licensee MDPI, Basel, Switzerland. This article is an open access article distributed under the terms and conditions of the Creative Commons Attribution (CC BY) license.
Share and Cite
Agarwal, M.; Schweins, R.; Gröhn, F. Light-Induced Structural Evolutions in Electrostatic Nanoassemblies. Polymers 2026, 18, 190. https://doi.org/10.3390/polym18020190
Agarwal M, Schweins R, Gröhn F. Light-Induced Structural Evolutions in Electrostatic Nanoassemblies. Polymers. 2026; 18(2):190. https://doi.org/10.3390/polym18020190
Chicago/Turabian StyleAgarwal, Mohit, Ralf Schweins, and Franziska Gröhn. 2026. "Light-Induced Structural Evolutions in Electrostatic Nanoassemblies" Polymers 18, no. 2: 190. https://doi.org/10.3390/polym18020190
APA StyleAgarwal, M., Schweins, R., & Gröhn, F. (2026). Light-Induced Structural Evolutions in Electrostatic Nanoassemblies. Polymers, 18(2), 190. https://doi.org/10.3390/polym18020190




















































