Impact of Thermomechanical Aging on Marginal Fit and Fracture Resistance of CAD/CAM Endocrowns Fabricated from Different Materials
Abstract
1. Introduction
2. Materials and Methods
2.1. Study Design
2.2. Specimen Selection and Standardization
2.3. Endodontic Treatment
2.4. Endocrown Fabrication
2.5. Cementation Procedure
2.6. Thermomechanical Aging
2.7. Marginal Gap Measurement
2.8. Fracture Resistance Test
2.9. Statistical Analysis
3. Results
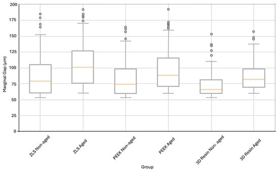
3.1. Marginal Gap Analysis
3.2. Fracture Resistance
4. Discussion
5. Conclusions
Author Contributions
Funding
Institutional Review Board Statement
Informed Consent Statement
Data Availability Statement
Conflicts of Interest
Abbreviations
| 3D | Three-Dimensional |
| °C | Degree Celsius |
| ANOVA | Analysis of Variance |
| BisEMA | Bisphenol A ethoxylate dimethacrylate |
| CAD/CAM | Computer-Aided Design / Computer-Aided Manufacturing |
| EDTA | Ethylenediaminetetraacetic Acid |
| ICC | Intraclass Correlation Coefficient |
| NaOCl | Sodium Hypochlorite |
| N | Newton |
| PDL | Periodontal Ligament |
| PEEK | Polyetherether Ketone |
| PVC | Polyvinyl Chloride |
| SD | Standard Deviation |
| SEM | Scanning Electron Microscopy |
| SLA | Stereolithography Apparatus |
| ZLS | Zirconia-Reinforced Lithium Silicate |
| µm | Micrometer |
References
- Heydecke, G.; Peters, M.C. The restoration of endodontically treated, single-rooted teeth with cast or direct posts and cores: A systematic review. J. Prosthet. Dent. 2002, 87, 380–386. [Google Scholar] [CrossRef] [PubMed]
- Sevimli, G.; Cengiz, S.; Oruç, S. Endocrowns. J. Istanbul Univ. Fac. Dent. 2015, 49, 57–63. [Google Scholar] [CrossRef]
- He, L.-H.; Purton, D.; Swain, M. A novel polymer infiltrated ceramic for dental simulation. J. Mater. Sci. Mater. Med. 2011, 22, 1639–1643. [Google Scholar] [CrossRef] [PubMed]
- Naumann, M.; Schmitter, M.; Frankenberger, R.; Krastl, G. “Ferrule comes first. Post is second!” Fake news and alternative facts? A systematic review. J. Endod. 2018, 44, 212–219. [Google Scholar] [CrossRef]
- Ferrari, M.; Pontoriero, D.I.; Ferrari Cagidiaco, E.; Carboncini, F. Restorative difficulty evaluation system of endodontically treated teeth. J. Esthet. Restor. Dent. 2022, 34, 65–80. [Google Scholar] [CrossRef]
- Kosan, E.; Prates-Soares, A.; Blunck, U.; Neumann, K.; Bitter, K. Root canal pre-treatment and adhesive system affect bond strength durability of fiber posts ex vivo. Clin. Oral Investig. 2021, 25, 6419–6434. [Google Scholar] [CrossRef] [PubMed]
- Bitter, K.; Maletic, A.; Neumann, K.; Breschi, L.; Sterzenbach, G.; Taschner, M. Adhesive durability inside the root canal using self-adhesive resin cements for luting fiber posts. Oper. Dent. 2017, 42, E167–E176. [Google Scholar] [CrossRef]
- Göhring, T.N.; Peters, O.A. Restoration of endodontically treated teeth without posts. Am. J. Dent. 2003, 16, 313–317. [Google Scholar]
- Lin, C.-L.; Chang, Y.-H.; Pai, C.-A. Evaluation of failure risks in ceramic restorations for endodontically treated premolar with MOD preparation. Dent. Mater. 2011, 27, 431–438. [Google Scholar] [CrossRef]
- Dejak, B.; Młotkowski, A. Strength comparison of anterior teeth restored with ceramic endocrowns vs custom-made post and cores. J. Prosthodont. Res. 2018, 62, 171–176. [Google Scholar] [CrossRef]
- Suganna, M.; Kausher, H.; Ahmed, S.T.; Alharbi, H.S.; Alsubaie, B.F.; Ds, A.; Haleem, S.; Ali, A.B.M.R. Contemporary evidence of CAD-CAM in dentistry: A systematic review. Cureus 2022, 14, e31687. [Google Scholar] [CrossRef] [PubMed]
- Sayed, A.M.; Odeh, E. The effect of thermocycling on the marginal integrity of 3d printed and machined hybrid resin-ceramic crowns: An in-vitro study. Egypt. Dent. J. 2025, 71, 2355–2361. [Google Scholar] [CrossRef]
- Taha, A.I.; Hatata, N. Marginal and internal gaps evaluation of endocrown restoration fabricated of different CAD/CAM materials using CBCT: An In vitro study. Adv. Dent. J. 2024, 6, 208–215. [Google Scholar] [CrossRef]
- Coldea, A.; Fischer, J.; Swain, M.V.; Thiel, N. Damage tolerance of indirect restorative materials (including PICN) after simulated bur adjustments. Dent. Mater. 2015, 31, 684–694. [Google Scholar] [CrossRef]
- Zarone, F.; Sorrentino, R.; Apicella, D.; Valentino, B.; Ferrari, M.; Aversa, R.; Apicella, A. Evaluation of the biomechanical behavior of maxillary central incisors restored by means of endocrowns compared to a natural tooth: A 3D static linear finite elements analysis. Dent. Mater. 2006, 22, 1035–1044. [Google Scholar] [CrossRef]
- Elsaka, S.E.; Elnaghy, A.M. Mechanical properties of zirconia reinforced lithium silicate glass-ceramic. Dent. Mater. 2016, 32, 908–914. [Google Scholar] [CrossRef]
- Lien, W.; Roberts, H.W.; Platt, J.A.; Vandewalle, K.S.; Hill, T.J.; Chu, T.-M.G. Microstructural evolution and physical behavior of a lithium disilicate glass–ceramic. Dent. Mater. 2015, 31, 928–940. [Google Scholar] [CrossRef]
- Pidhatika, B.; Widyaya, V.T.; Nalam, P.C.; Swasono, Y.A.; Ardhani, R. Surface Modifications of High-Performance Polymer Polyetheretherketone (PEEK) to Improve Its Biological Performance in Dentistry. Polymers 2022, 14, 5526. [Google Scholar] [CrossRef] [PubMed]
- Refaie, A.; Fouda, A.; Bourauel, C.; Singer, L. Marginal gap and internal fit of 3D printed versus milled monolithic zirconia crowns. BMC Oral Health 2023, 23, 448. [Google Scholar] [CrossRef]
- Lebon, N.; Tapie, L.; Duret, F.; Attal, J.-P. Understanding dental CAD/CAM for restorations-dental milling machines from a mechanical engineering viewpoint. Part A: Chairside milling machines. Int. J. Comput. Dent. 2016, 19, 45–62. [Google Scholar]
- Deckers, J.; Vleugels, J.; Kruth, J.-P. Additive manufacturing of ceramics: A review. J. Ceram. Sci. Technol. 2014, 5, 245–260. [Google Scholar] [CrossRef]
- Abduo, J.; Lyons, K.; Swain, M. Fit of zirconia fixed partial denture: A systematic review. J. Oral Rehabil. 2010, 37, 866–876. [Google Scholar] [CrossRef]
- Haralur, S.B.; Ghaseb, G.A.A.; Alqahtani, N.A.; Alqahtani, B. Comparison of microleakage between different restorative materials to restore marginal gap at crown margin. PeerJ 2021, 9, e10823. [Google Scholar] [CrossRef]
- Beuer, F.; Naumann, M.; Gernet, W.; Sorensen, J.A. Precision of fit: Zirconia three-unit fixed dental prostheses. Clin. Oral Investig. 2009, 13, 343–349. [Google Scholar] [CrossRef]
- El Shahawy, O.I.; Azab, M.M. Fracture resistance of prefabricated versus custom-made zirconia crowns after thermo-mechanical aging: An in-vitro study. BMC Oral Health 2022, 22, 587. [Google Scholar] [CrossRef]
- Sasany, R.; Yilmaz, B. Marginal discrepancy and fracture load of thermomechanically fatigued crowns fabricated with different CAD-CAM techniques. J. Prosthodont. 2023, 32, 602–607. [Google Scholar] [CrossRef] [PubMed]
- Kim, S.-Y.; Bae, H.-J.; Lee, H.-H.; Lee, J.-H.; Kim, Y.-J.; Choi, Y.-S.; Lee, J.-H.; Shin, S.-Y. The effects of Thermocycling on the physical properties and biocompatibilities of various CAD/CAM restorative materials. Pharmaceutics 2023, 15, 2122. [Google Scholar] [CrossRef] [PubMed]
- Att, W.; Komine, F.; Gerds, T.; Strub, J.R. Marginal adaptation of three different zirconium dioxide three-unit fixed dental prostheses. J. Prosthet. Dent. 2009, 101, 239–247. [Google Scholar] [CrossRef] [PubMed]
- Tsertsidou, V.; Mourouzis, P.; Dionysopoulos, D.; Pandoleon, P.; Tolidis, K. Fracture Resistance of Class II MOD Cavities Restored by Direct and Indirect Techniques and Different Materials Combination. Polymers 2023, 15, 3413. [Google Scholar] [CrossRef]
- Abo-Elsoud, A.A.E.; Mohamady, E.M.; Fathi Abdou, N.E.-S. Thermomechanical aging effects on vertical marginal gap and fracture resistance: A comparative study of Bioflx and traditional pediatric crowns. BMC Oral Health 2024, 24, 1334. [Google Scholar] [CrossRef]
- Soliman, M.; Alzahrani, G.; Alabdualataif, F.; Eldwakhly, E.; Alsamady, S.; Aldegheishem, A.; Abdelhafeez, M.M. Impact of ceramic material and preparation design on marginal fit of endocrown restorations. Materials 2022, 15, 5592. [Google Scholar] [CrossRef]
- Souza, R.O.A.; Özcan, M.; Pavanelli, C.A.; Buso, L.; Lombardo, G.H.L.; Michida, S.M.A.; Mesquita, A.M.M.; Bottino, M.A. Marginal and internal discrepancies related to margin design of ceramic crowns fabricated by a CAD/CAM system. J. Prosthodont. 2012, 21, 94–100. [Google Scholar] [CrossRef]
- Elsharkawy, A. Marginal adaptation and fracture resistance of endocrown restorations constructed from two cad/cam blocks. Egypt. Dent. J. 2021, 67, 3547–3560. [Google Scholar] [CrossRef]
- Kim, C.-M.; Kim, S.-R.; Kim, J.-H.; Kim, H.-Y.; Kim, W.-C. Trueness of milled prostheses according to number of ball-end mill burs. J. Prosthet. Dent. 2016, 115, 624–629. [Google Scholar] [CrossRef] [PubMed]
- Nawafleh, N.A.; Mack, F.; Evans, J.; Mackay, J.; Hatamleh, M.M. Accuracy and reliability of methods to measure marginal adaptation of crowns and FDPs: A literature review. J. Prosthodont. 2013, 22, 419–428. [Google Scholar] [CrossRef] [PubMed]
- Angwarawong, T.; Reeponmaha, T.; Angwaravong, O. Influence of thermomechanical aging on marginal gap of CAD-CAM and conventional interim restorations. J. Prosthet. Dent. 2020, 124, 566.e1–566.e6. [Google Scholar] [CrossRef]
- Eldin, S.; Elguindy, J.; Ahmed, A.; Kotb Salem, S. Effect of Aging on Marginal Adaptation and Fracture Resistance of Differently Designed CAD/CAM Restorations for Endodontically Treated Single Rooted Teeth. Al-Azhar J. Dent. 2023, 10, 10. [Google Scholar] [CrossRef]
- Zarone, F.; Ruggiero, G.; Leone, R.; Breschi, L.; Leuci, S.; Sorrentino, R. Zirconia-reinforced lithium silicate (ZLS) mechanical and biological properties: A literature review. J. Dent. 2021, 109, 103661. [Google Scholar] [CrossRef]
- Falahchai, M.; Rahimabadi, S.; Khabazkar, G.; Babaee Hemmati, Y.; Neshandar Asli, H. Marginal and internal fit and fracture resistance of three-unit provisional restorations fabricated by additive, subtractive, and conventional methods. Clin. Exp. Dent. Res. 2022, 8, 1404–1412. [Google Scholar] [CrossRef]
- Di Fiore, A.; Savio, G.; Stellini, E.; Vigolo, P.; Monaco, C.; Meneghello, R. Influence of ceramic firing on marginal gap accuracy and metal-ceramic bond strength of 3D-printed Co-Cr frameworks. J. Prosthet. Dent. 2020, 124, 75–80. [Google Scholar] [CrossRef] [PubMed]
- Al-Ramadan, A.; Abualsaud, R.; Al-Dulaijan, Y.A.; Al-Thobity, A.M.; Alalawi, H. Accuracy and Fit of Ceramic Filled 3D-Printed Resin for Permanent Crown Fabrication: An In Vitro Comparative Study. Prosthesis 2024, 6, 1029–1041. [Google Scholar] [CrossRef]
- El-Farag, S.A.A.; Elerian, F.A.; Elsherbiny, A.A.; Abbas, M.H. Impact of different CAD/CAM materials on internal and marginal adaptations and fracture resistance of endocrown restorations with: 3D finite element analysis. BMC Oral Health 2023, 23, 421. [Google Scholar] [CrossRef] [PubMed]
- Nagi, N.; Fouda, A.M.; Bourauel, C. Comparative evaluation of internal fit and marginal gap of endocrowns using lithium disilicate and polyether ether ketone materials—An in vitro study. BMC Oral Health 2023, 23, 207. [Google Scholar] [CrossRef] [PubMed]
- Rosentritt, M.; Sikora, M.; Behr, M.; Handel, G. In vitro fracture resistance and marginal adaptation of metallic and tooth-coloured post systems. J. Oral Rehabil. 2004, 31, 675–681. [Google Scholar] [CrossRef]
- Chuchulska, B.; Zlatev, S. Linear Dimensional Change and Ultimate Tensile Strength of Polyamide Materials for Denture Bases. Polymers 2021, 13, 3446. [Google Scholar] [CrossRef]
- Morresi, A.L.; D’Amario, M.; Monaco, A.; Rengo, C.; Grassi, F.R.; Capogreco, M. Effects of critical thermal cycling on the flexural strength of resin composites. J. Oral Sci. 2015, 57, 137–143. [Google Scholar] [CrossRef] [PubMed]
- Rohym, S.M.; Badra, H.; Nassar, H. Comparative evaluation of marginal adaptation and fatigue resistance of endodontically treated premolars restored with direct and indirect coronal restorations: An in vitro study. BMC Oral Health 2024, 24, 696. [Google Scholar] [CrossRef]
- Sailer, I.; Balmer, M.; Hüsler, J.; Hämmerle, C.H.F.; Känel, S.; Thoma, D.S. 10-year randomized trial (RCT) of zirconia-ceramic and metal-ceramic fixed dental prostheses. J. Dent. 2018, 76, 32–39. [Google Scholar] [CrossRef]
- Villefort, R.F.; Diamantino, P.J.S.; Zeidler, S.; Borges, A.L.S.; Silva-Concílio, L.R.; Saavedra, G.; Tribst, J.P.M. Mechanical Response of PEKK and PEEK As Frameworks for Implant-Supported Full-Arch Fixed Dental Prosthesis: 3D Finite Element Analysis. Eur. J. Dent. 2022, 16, 115–121. [Google Scholar] [CrossRef]
- Kasahara, M.; Someya, T.; Hattori, M. Effect of Surface Treatments of Polyetherketoneketone as a Post Material on Shear Bond Strength to Root Dentin using Two Types of Resin Cement. J. Adhes. Dent. 2022, 24, 435–443. [Google Scholar] [CrossRef]
- Eisa, N.; Essam, E.; Amin, R.; Elsharkawy, Z. Fracture Resistance and Retention of Three Different Endocrown Materials. Al-Azhar J. Dent. 2020, 7, 189–198. [Google Scholar] [CrossRef]
- Taha, D.; Spintzyk, S.; Sabet, A.; Wahsh, M.; Salah, T. Assessment of marginal adaptation and fracture resistance of endocrown restorations utilizing different machinable blocks subjected to thermomechanical aging. J. Esthet. Restor. Dent. 2018, 30, 319–328. [Google Scholar] [CrossRef]
- Euán, R.; Figueras-Álvarez, O.; Cabratosa-Termes, J.; Oliver-Parra, R. Marginal adaptation of zirconium dioxide copings: Influence of the CAD/CAM system and the finish line design. J. Prosthet. Dent. 2014, 112, 155–162. [Google Scholar] [CrossRef]
- Song, M.G.; Ko, K.H.; Huh, Y.H.; Park, C.J.; Cho, L.R. Edge Chipping Resistance and Flexural Strength of CAD-CAM Ceramics Before and After Thermomechanical Aging. J. Esthet. Restor. Dent. 2025, 37, 1096–1104. [Google Scholar] [CrossRef] [PubMed]
- Luo, C.; Liu, Y.; Peng, B.; Chen, M.; Liu, Z.; Li, Z.; Kuang, H.; Gong, B.; Li, Z.; Sun, H. PEEK for Oral Applications: Recent Advances in Mechanical and Adhesive Properties. Polymers 2023, 15, 386. [Google Scholar] [CrossRef] [PubMed]
- Revilla-León, M.; Özcan, M. Additive Manufacturing Technologies Used for Processing Polymers: Current Status and Potential Application in Prosthetic Dentistry. J. Prosthodont. 2019, 28, 146–158. [Google Scholar] [CrossRef]
- Elashmawy, Y.; Elshahawy, W. Effect of Thermomechanical Fatigue Loading on the Internal and Marginal Adaptation of Endocrowns Utilizing Different CAD/CAM Restorative Materials. Int. J. Prosthodont. 2023, 36, 738–747. [Google Scholar] [CrossRef] [PubMed]
- Özkardeş, M.H.; Özel, H.B.; Kahramanoğlu, E. Effect of thermomechanical aging on fracture strength of anterior crowns fabricated with different CAD-CAM materials. J. Adv. Prosthodont. 2025, 17, 158–168. [Google Scholar] [CrossRef]







| Material | Product Name | Composition | Manufacturer |
|---|---|---|---|
| Zirconia-reinforced lithium silicate glass-ceramic (ZLS) | Vita Suprinity® PC | SiO2: 56–64% Li2O: 15–21% ZrO2: 8–12% TiO2: ~10% Coloring pigments: <10% | VITA Zahnfabrik H. Rauter GmbH, Bad Säckingen, Germany |
| 3D-printed Resin | Crowntec® | BisEMA (Bisphenol A polyethylene glycol diether dimethacrylate): 50–<75% Methyl benzoylformate: 1–<5% TPO-type photoinitiator: 1–<5% | Saremco Dental AG, Rebstein, Switzerland |
| Polyetherether ketone (PEEK) | Ceramill® PEEK | Polyetheretherketone ~100% high-purity, unfilled polymer | Amann Girrbach, Mäder, Austria |
| Material | Control Groups (A) (n = 10) | Thermomechanically Aged Groups (B) (n = 10) | % Change (B–A) | F Test | p Value |
|---|---|---|---|---|---|
| ZLS | 81.21 ± 38.78 | 102.02 ± 45.60 | +25.8 | 6.784 | 0.012 * |
| PEEK | 74.19 ± 24.56 | 88.67 ± 39.74 | +19.5 | 5.319 | 0.021 * |
| 3D Resin | 67.08 ± 11.22 | 83.38 ± 33.96 | +23.9 | 5.911 | 0.018 * |
| Material | Control Groups (A) (n = 10) | Thermomechanically Aged Groups (B) (n = 10) | % Change (B–A) | F Test | p Value |
|---|---|---|---|---|---|
| ZLS | 2874.21 ± 271.57 | 2265.32 ± 249.74 | −21.2 | 8.752 | 0.004 * |
| PEEK | 3306.78 ± 401.88 | 3129.53 ± 389.14 | −5.4 | 2.187 | 0.092 |
| 3D Resin | 1523.62 ± 184.09 | 1205.48 ± 176.42 | −20.9 | 9.416 | 0.003 * |
| Material | p Value |
|---|---|
| ZLS-PEEK | 0.0000049 * |
| PEEK–3D Resin | 0 * |
| ZLS-3D Resin | 0 * |
Disclaimer/Publisher’s Note: The statements, opinions and data contained in all publications are solely those of the individual author(s) and contributor(s) and not of MDPI and/or the editor(s). MDPI and/or the editor(s) disclaim responsibility for any injury to people or property resulting from any ideas, methods, instructions or products referred to in the content. |
© 2026 by the authors. Licensee MDPI, Basel, Switzerland. This article is an open access article distributed under the terms and conditions of the Creative Commons Attribution (CC BY) license.
Share and Cite
Tartuk, B.K.; Akın Tartuk, G. Impact of Thermomechanical Aging on Marginal Fit and Fracture Resistance of CAD/CAM Endocrowns Fabricated from Different Materials. Polymers 2026, 18, 143. https://doi.org/10.3390/polym18010143
Tartuk BK, Akın Tartuk G. Impact of Thermomechanical Aging on Marginal Fit and Fracture Resistance of CAD/CAM Endocrowns Fabricated from Different Materials. Polymers. 2026; 18(1):143. https://doi.org/10.3390/polym18010143
Chicago/Turabian StyleTartuk, Bülent Kadir, and Gizem Akın Tartuk. 2026. "Impact of Thermomechanical Aging on Marginal Fit and Fracture Resistance of CAD/CAM Endocrowns Fabricated from Different Materials" Polymers 18, no. 1: 143. https://doi.org/10.3390/polym18010143
APA StyleTartuk, B. K., & Akın Tartuk, G. (2026). Impact of Thermomechanical Aging on Marginal Fit and Fracture Resistance of CAD/CAM Endocrowns Fabricated from Different Materials. Polymers, 18(1), 143. https://doi.org/10.3390/polym18010143

