Enhancing Interfacial and Mechanical Properties of Carbon Fiber/Poly (Ether Ether Ketone) Composites via Bisphenol-Based Polyimide Modification
Abstract
1. Introduction
2. Materials and Methods
2.1. Materials
2.2. Monomer Synthesis
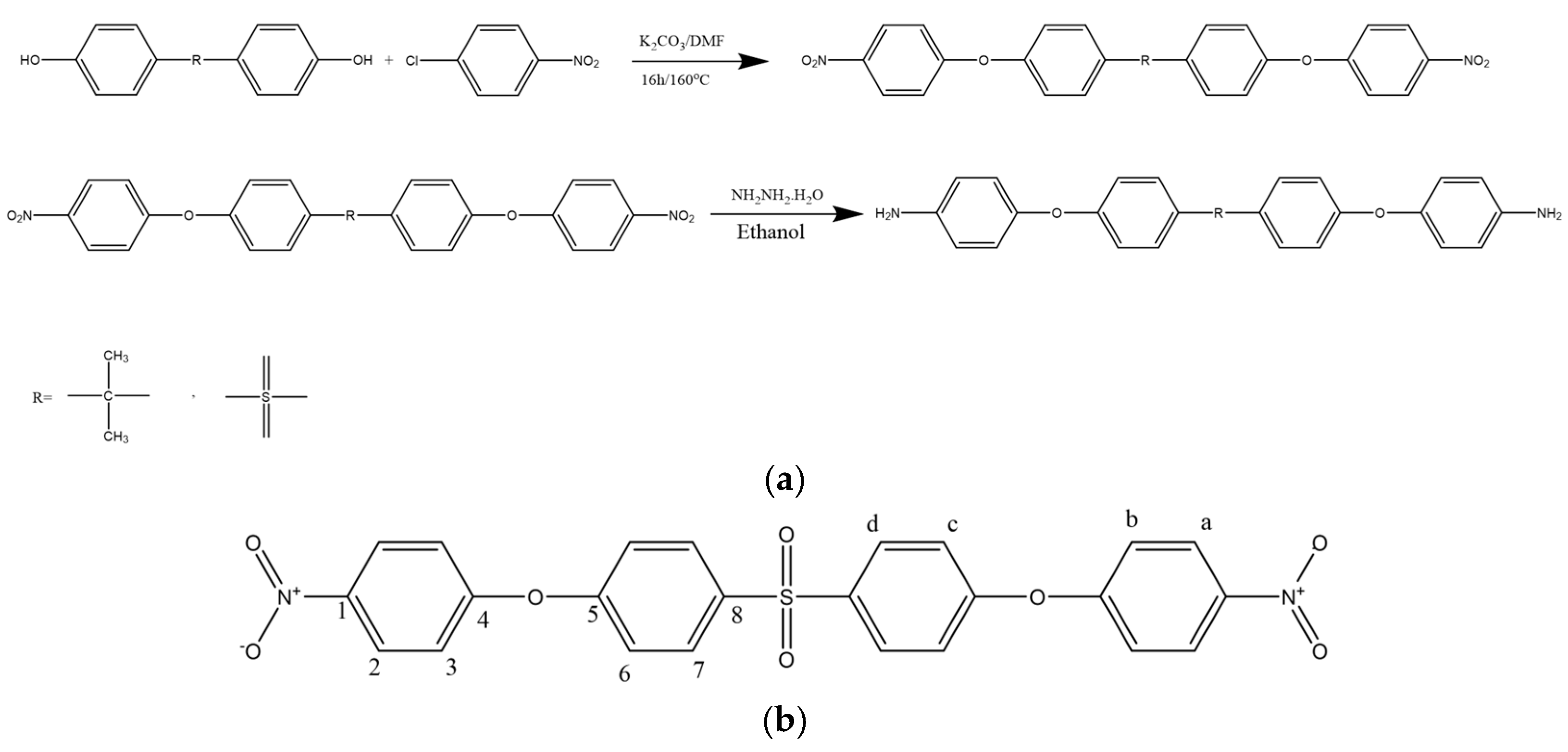
2.2.1. 4,4′-(Sulfonylbis (4-nitrophenoxy) benzene) (DNPSB)
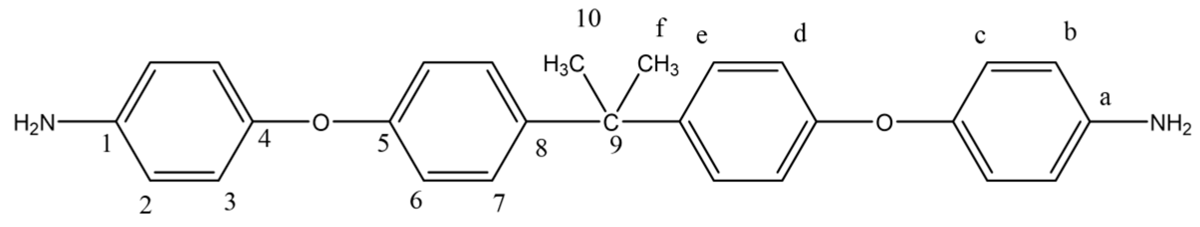
2.2.2. 4,4′-((Sulfonylbis (4,1-phenylene)) bis(oxy)) dianiline (BAPS)
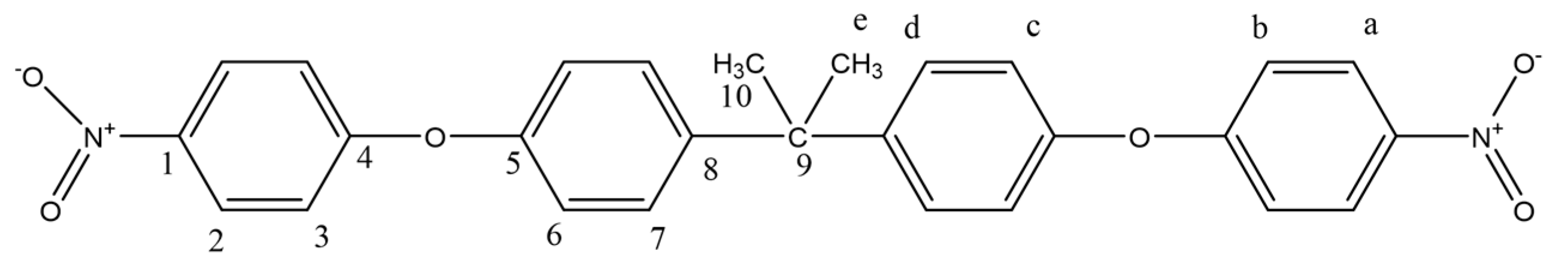
2.2.3. 4,4′-((Propane-2,2-diyl) bis(4-nitrophenoxy) benzene) (BPA-DN)
2.2.4. 4,4′-((Propane-2,2-diylbis(4,1-phenylene)) bis(oxy)) dianiline (BAPP)
2.2.5. Synthesis of PAA Solution and Coating of Carbon Fibers
2.2.6. Coating of CFs with PEEK and Fabrication of Composite Materials
2.2.7. Characterization
Chemical Characterization
Thermal Analysis
Surface Morphology
Mechanical Tests
Interlaminar Shear Strength (ILSS)
3. Results
3.1. Monomer Synthesis
3.1.1. Structural Characterization of Monomers
4,4′-(Sulfonylbis (4-nitrophenoxy) benzene) (DNPSB)
4,4′-((Sulfonylbis (4,1-phenylene)) bis(oxy)) dianiline (BAPS)
4,4′-((Propane-2,2-diyl) bis(4-nitrophenoxy) benzene) (BPA-DN)
4,4′-(Propane-2,2-diylbis(4,1-phenylene)) bis(oxy)) dianiline (BAPP)
3.2. Polyimide Film Synthesis
3.3. Characterization of Composite Materials
3.3.1. Morphological Analysis
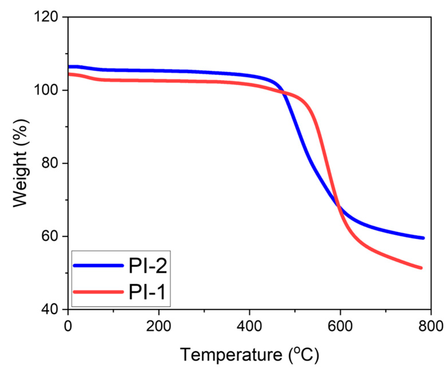
3.3.2. Thermal Properties
3.3.3. Mechanical Properties
4. Conclusions
Supplementary Materials
Author Contributions
Funding
Institutional Review Board Statement
Data Availability Statement
Acknowledgments
Conflicts of Interest
Abbreviations
| BPA | Bisphenol A |
| BPS | Bisphenol S |
| CF | Carbon Fiber |
| DMA | Dynamic Mechanical Analysis |
| DSC | Differential Scanning Calorimetry |
| FTIR | Fourier Transform Infrared Spectroscopy |
| ILSS | Interlaminar Shear Strength |
| PAA | Poly (amic acid) |
| PEEK | Poly (ether ether ketone) |
| PI | Polyimide |
| SEM | Scanning Electron Microscopy |
| TGA | Thermogravimetric Analysis |
References
- Akonda, M.; Lawrence, C.; Weager, B. Recycled carbon fibre-reinforced polypropylene thermoplastic composites. Compos. Part A Appl. Sci. Manuf. 2012, 43, 79–86. [Google Scholar] [CrossRef]
- Chen, J.; Wang, K.; Zhao, Y. Enhanced interfacial interactions of carbon fiber reinforced PEEK composites by regulating PEI and graphene oxide complex sizing at the interface. Compos. Sci. Technol. 2018, 154, 175–186. [Google Scholar] [CrossRef]
- Markarian, J. Processing and recycling advantages drive growth in thermoplastic elastomers. Plast. Addit. Compd. 2004, 6, 22–25. [Google Scholar] [CrossRef]
- Vieille, B.; Casado, V.M.; Bouvet, C. About the impact behavior of woven-ply carbon fiber-reinforced thermoplastic-and thermosetting-composites: A comparative study. Compos. Struct. 2013, 101, 9–21. [Google Scholar] [CrossRef]
- Wong, K.; Nirmal, U.; Lim, B. Impact behavior of short and continuous fiber-reinforced polyester composites. J. Reinf. Plast. Compos. 2010, 29, 3463–3474. [Google Scholar] [CrossRef]
- Chen, W.; Zhang, K.; Wang, S.; Chen, C.; Zhao, X.; Zhou, H.; Wang, D. Construction of “rigid-and-flexible” interphase by waterborne carboxylated polyimide sizing agent for interfacial enhancement of carbon fiber/poly ether ether ketone (CF/PEEK) composites. Compos. Part B Eng. 2025, 298, 112388. [Google Scholar] [CrossRef]
- Lin, Y.X.; Gao, C.H.; Li, Y. Experimental Study on the Tribological Behavior of CaCO3/PEEK Composites under Water Lubrication. Adv. Mater. Res. 2010, 139, 98–101. [Google Scholar] [CrossRef]
- Zhang, G.; Zhang, C.; Nardin, P.; Li, W.-Y.; Liao, H.; Coddet, C. Effects of sliding velocity and applied load on the tribological mechanism of amorphous poly-ether–ether–ketone (PEEK). Tribol. Int. 2008, 41, 79–86. [Google Scholar] [CrossRef]
- Du, D.; Hu, Y.; Li, H.; Liu, C.; Tao, J. Open-hole tensile progressive damage and failure prediction of carbon fiber-reinforced PEEK–titanium laminates. Compos. Part B Eng. 2016, 91, 65–74. [Google Scholar] [CrossRef]
- Hasan, M.; Cherif, C.; Foisal, A.; Onggar, T.; Hund, R.; Nocke, A. Development of conductive coated Polyether ether ketone (PEEK) filament for structural health monitoring of composites. Compos. Sci. Technol. 2013, 88, 76–83. [Google Scholar] [CrossRef]
- Hassan, E.A.; Ge, D.; Yang, L.; Zhou, J.; Liu, M.; Yu, M.; Zhu, S. Highly boosting the interlaminar shear strength of CF/PEEK composites via introduction of PEKK onto activated CF. Compos. Part A Appl. Sci. Manuf. 2018, 112, 155–160. [Google Scholar] [CrossRef]
- Iveković, A.; Novak, S.; Lukek, M.; Kalin, M. Aqueous electrophoretic deposition of bulk polyether ether ketone (PEEK). J. Mater. Process. Technol. 2015, 223, 58–64. [Google Scholar] [CrossRef]
- Meiling, C.; Liping, O.; Tao, L.; Heying, W.; Fanhao, M.; Yan, Y.; Congqin, N.; Jingzhi, M.; Xuanyong, L. Enhanced Bioactivity and Bacteriostasis of Surface Fluorinated Polyetheretherketone. ACS Appl. Mater. Interfaces 2017, 9, 16824–16833. [Google Scholar] [CrossRef]
- Gao, X.; Huang, Z.; Zhou, H.; Li, D.; Li, Y.; Wang, Y. Higher mechanical performances of CF/PEEK composite laminates via reducing interlayer porosity based on the affinity of functional s-PEEK. Polym. Compos. 2019, 40, 3749–3757. [Google Scholar] [CrossRef]
- Jung, H.; Bae, K.J.; Jin, J.-u.; Oh, Y.; Hong, H.; Youn, S.J.; You, N.-H.; Yu, J. The effect of aqueous polyimide sizing agent on PEEK based carbon fiber composites using experimental techniques and molecular dynamics simulations. Funct. Compos. Struct. 2020, 2, 025001. [Google Scholar] [CrossRef]
- Jung, H.; Bae, K.J.; Oh, Y.; Jin, J.-U.; You, N.-H.; Yu, J. Effects on the Thermo-Mechanical and Interfacial Performance of Newly Developed PI-Sized Carbon Fiber–Polyether Ether Ketone Composites: Experiments and Molecular Dynamics Simulations. Polymers 2023, 15, 1646. [Google Scholar] [CrossRef] [PubMed]
- Lu, C.; Xu, N.; Zheng, T.; Zhang, X.; Lv, H.; Lu, X.; Xiao, L.; Zhang, D. The optimization of process parameters and characterization of high-performance CF/PEEK composites prepared by flexible CF/PEEK plain weave fabrics. Polymers 2018, 11, 53. [Google Scholar] [CrossRef] [PubMed]
- Li, F.; Liu, Y.; Qu, C.-B.; Xiao, H.-M.; Hua, Y.; Sui, G.-X.; Fu, S.-Y. Enhanced mechanical properties of short carbon fiber reinforced polyethersulfone composites by graphene oxide coating. Polymer 2015, 59, 155–165. [Google Scholar] [CrossRef]
- Liu, W.; Zhang, S.; Hao, L.; Jiao, W.; Yang, F.; Li, X.; Wang, R. Properties of carbon fiber sized with poly (phthalazinone ether ketone) resin. J. Appl. Polym. Sci. 2013, 128, 3702–3709. [Google Scholar] [CrossRef]
- Tiwari, S.; Sharma, M.; Panier, S.; Mutel, B.; Mitschang, P.; Bijwe, J. Influence of cold remote nitrogen oxygen plasma treatment on carbon fabric and its composites with specialty polymers. J. Mater. Sci. 2011, 46, 964–974. [Google Scholar] [CrossRef]
- Wang, T.; Jiao, Y.; Mi, Z.; Li, J.; Wang, D.; Zhao, X.; Zhou, H.; Chen, C. PEEK composites with polyimide sizing SCF as reinforcement: Preparation, characterization, and mechanical properties. High Perform. Polym. 2020, 32, 383–393. [Google Scholar] [CrossRef]
- Zhang, R.; Chen, J.; Mi, J. Excess molar enthalpies for binary mixtures of different amines with water. J. Chem. Thermodyn. 2015, 89, 16–21. [Google Scholar] [CrossRef]
- Huang, Y.; Liu, L.; Qiu, J.; Shao, L. Influence of ultrasonic treatment on the characteristics of epoxy resin and the interfacial property of its carbon fiber composites. Compos. Sci. Technol. 2002, 62, 2153–2159. [Google Scholar] [CrossRef]
- Hassan, E.A.; Elagib, T.H.; Memon, H.; Yu, M.; Zhu, S. Surface modification of carbon fibers by grafting peek-nh2 for improving interfacial adhesion with polyetheretherketone. Materials 2019, 12, 778. [Google Scholar] [CrossRef] [PubMed]
- Liu, F.; Shi, Z.; Dong, Y. Improved wettability and interfacial adhesion in carbon fibre/epoxy composites via an aqueous epoxy sizing agent. Compos. Part A Appl. Sci. Manuf. 2018, 112, 337–345. [Google Scholar] [CrossRef]
- Lyu, H.; Jiang, N.; Hu, J.; Li, Y.; Zhou, N.; Zhang, D. Preparing water-based phosphorylated PEEK sizing agent for CF/PEEK interface enhancement. Compos. Sci. Technol. 2022, 217, 109096. [Google Scholar] [CrossRef]
- Wang, X.; Huang, Z.; Lai, M.; Jiang, L.; Zhang, Y.; Zhou, H. Highly enhancing the interfacial strength of CF/PEEK composites by introducing PAIK onto diazonium functionalized carbon fibers. Appl. Surf. Sci. 2020, 510, 145400. [Google Scholar] [CrossRef]
- Zhou, N.; Jia, J.; Zhao, S.; Zhang, D.; Feng, M. Interfacial enhancement of CF/PEEK composites by coating sulfonated PEEK sizing agent. Surf. Interfaces 2023, 37, 102652. [Google Scholar] [CrossRef]
- Na, R.; Liu, J.; Wang, G.; Zhang, S. Light weight and flexible poly (ether ether ketone) based composite film with excellent thermal stability and mechanical properties for wide-band electromagnetic interference shielding. RSC Adv. 2018, 8, 3296–3303. [Google Scholar] [CrossRef]
- Cakmakci, E. Synthesis and Characterization of New High-Performance Polyimides. Ph.D. Thesis, Marmara University, Istanbul, Türkiye, 2013. [Google Scholar]
- Diaham, S. Polyimide in electronics: Applications and processability overview, Polyimide Electron. Electr. Eng. Appl. 2021, 2020–2021. [Google Scholar] [CrossRef]
- Yuan, H.; Zhang, S.; Lu, C.; He, S.; An, F. Improved interfacial adhesion in carbon fiber/polyether sulfone composites through an organic solvent-free polyamic acid sizing. Appl. Surf. Sci. 2013, 279, 279–284. [Google Scholar] [CrossRef]
- Su, C.; Xue, F.; Li, T.; Xin, Y.; Wang, M.; Tang, J.; Ma, Y. Fabrication and multifunctional properties of polyimide based hierarchical composites with in situ grown carbon nanotubes. Rsc Adv. 2017, 7, 29686–29696. [Google Scholar] [CrossRef]
- Hassan, E.A.; Ge, D.; Zhu, S.; Yang, L.; Zhou, J.; Yu, M. Enhancing CF/PEEK composites by CF decoration with polyimide and loosely-packed CNT arrays. Compos. Part A Appl. Sci. Manuf. 2019, 127, 105613. [Google Scholar] [CrossRef]
- Huang, C.; Sun, J.; Liu, Z.; Li, B.; Sun, M.; Liu, H.; Zhao, Y.; Zhang, P.; Bao, J. Enhanced Interfacial Properties of Carbon Fiber/Polymerization of Monomers Reactants Method Polyimide Composite by Polyimide Sizing. Materials 2024, 17, 5962. [Google Scholar] [CrossRef]
- Kurinchyselvan, S.; Chandramohan, A.; Hariharan, A.; Gomathipriya, P.; Alagar, M. Mesoporous silica MCM-41-reinforced cardanol-based benzoxazine nanocomposites for low-k applications. Polym. Bull. 2021, 78, 2043–2065. [Google Scholar] [CrossRef]
- Leu, T.S.; Wang, C.S. Synthesis and characterization of copolyimides with high solubility. J. Appl. Polym. Sci. 2003, 88, 1963–1970. [Google Scholar] [CrossRef]
- Ozbas, R.; Dogu, M.; Moroydor Derun, E. Enhanced interfacial and mechanical properties of carbon fabric/PA12 composites via grafting silanized nano hexagonal boron nitride onto the fibers. Compos. Interfaces 2024, 31, 895–917. [Google Scholar] [CrossRef]
- Rosso, P.; Friedrich, K.; Wollny, A.; Mülhaupt, R. A novel polyamide 12 polymerization system and its use for a LCM-process to produce CFRP. J. Thermoplast. Compos. Mater. 2005, 18, 77–90. [Google Scholar] [CrossRef]
- ISO 527-4:2023; Plastics-Determination of tensile properties-Part 4: Test conditions for isotropic and orthotropic fibre-reinforced plastic composites. ISO: Geneva, Switzerland, 2023.
- EN 2562:1997; Aerospace series-Carbon fibre reinforced plastics-Unidirectional laminates-Flexural test parallel to the fibre direction. CEN: Brussels, Belgium, 1997.
- ASTM D3410/ D3410M-16e1; Standard Test Method for Compressive Properties of Polymer Matrix Composite Materials with Unsupported Gage Section by Shear Loading. ASTM International: West Conshohocken, PA, USA, 2016.
- EN 2563:1997; Aerospace series-Carbon fibre reinforced plastics-Unidirectional laminates-Determination of the apparent interlaminar shear strength. CEN: Brussels, Belgium, 1997.
- Cheek, G.; Mertens, R. Metal-insulator-semiconductor silicon solar cells. Sol. Cells 1983, 8, 17–32. [Google Scholar] [CrossRef]
- Hlali, S.; Hizem, N.; Kalboussi, A. Electrical characteristics of metal–insulator–semiconductor and metal–insulator–semiconductor–insulator–metal capacitors under different high-k gate dielectrics investigated in the semi-classical and quantum mechanical models. Bull. Mater. Sci. 2017, 40, 67–78. [Google Scholar] [CrossRef]
- Rasheed, H.K.; Kareem, A.A. The potential barrier and thermal stability dependence on PI thickness of Al/PI/c-Si schottky diode. Iraqi J. Sci. 2020, 61, 3235–3241. [Google Scholar] [CrossRef]
- Gao, S.-L.; Kim, J.-K. Cooling rate influences in carbon fibre/PEEK composites. Part 1. Crystallinity and interface adhesion. Compos. Part A Appl. Sci. Manuf. 2000, 31, 517–530. [Google Scholar] [CrossRef]
- Haris, N.I.N.; Ilyas, R.; Hassan, M.Z.; Sapuan, S.; Afdzaluddin, A.; Jamaludin, K.R.; Zaki, S.A.; Ramlie, F. Dynamic mechanical properties and thermal properties of longitudinal basalt/woven glass fiber reinforced unsaturated polyester hybrid composites. Polymers 2021, 13, 3343. [Google Scholar] [CrossRef]
- Nurazzi, N.M.; Khalina, A.; Sapuan, S.; Ilyas, R.; Rafiqah, S.A.; Hanafee, Z. Thermal properties of treated sugar palm yarn/glass fiber reinforced unsaturated polyester hybrid composites. J. Mater. Res. Technol. 2020, 9, 1606–1618. [Google Scholar] [CrossRef]
- Arulmurugan, M.; Prabu, K.; Rajamurugan, G.; Selvakumar, A. Impact of BaSO4 filler on woven Aloevera/Hemp hybrid composite: Dynamic mechanical analysis. Mater. Res. Express 2019, 6, 045309. [Google Scholar] [CrossRef]
- Kumar, S.V.; Kumar, K.S.; Jailani, H.S.; Rajamurugan, G. Mechanical, DMA and sound acoustic behaviour of flax woven fabric reinforced epoxy composites. Mater. Res. Express 2020, 7, 085302. [Google Scholar] [CrossRef]
- Manoharan, S.; Suresha, B.; Ramadoss, G.; Bharath, B. Effect of short fiber reinforcement on mechanical properties of hybrid phenolic composites. J. Mater. 2014, 2014, 478549. [Google Scholar] [CrossRef]
- Negawo, T.A.; Polat, Y.; Buyuknalcaci, F.N.; Kilic, A.; Saba, N.; Jawaid, M. Mechanical, morphological, structural and dynamic mechanical properties of alkali treated Ensete stem fibers reinforced unsaturated polyester composites. Compos. Struct. 2019, 207, 589–597. [Google Scholar] [CrossRef]
- Ren, T.; Zhu, G.; Zhang, C.; Wang, S. Preparation of CF/PEEK composites with high mechanical performance using PEEK derivatives as the sizing agent. Macromol. Rapid Commun. 2023, 44, 2200738. [Google Scholar] [CrossRef]
- Comer, A.; Ray, D.; Obande, W.; Jones, D.; Lyons, J.; Rosca, I.; O’higgins, R.; McCarthy, M. Mechanical characterisation of carbon fibre–PEEK manufactured by laser-assisted automated-tape-placement and autoclave. Compos. Part A Appl. Sci. Manuf. 2015, 69, 10–20. [Google Scholar] [CrossRef]














| Diamine | Dianhydride | Resin | Polyimide |
|---|---|---|---|
![]() | ![]() | PAA-1 | PI-1 |
![]() | ![]() | PAA-2 | PI-2 |
| Sample | Tg (oC) | Tm (oC) | ∆Hc (J/g) | Crystallinity (%) |
|---|---|---|---|---|
| CF-PEEK-PI-A | 172 | 291 | −12.16 | 23.4 |
| CF-PEEK-PI-S | 188 | 293 | −16.18 | 31.1 |
Disclaimer/Publisher’s Note: The statements, opinions and data contained in all publications are solely those of the individual author(s) and contributor(s) and not of MDPI and/or the editor(s). MDPI and/or the editor(s) disclaim responsibility for any injury to people or property resulting from any ideas, methods, instructions or products referred to in the content. |
© 2025 by the authors. Licensee MDPI, Basel, Switzerland. This article is an open access article distributed under the terms and conditions of the Creative Commons Attribution (CC BY) license (https://creativecommons.org/licenses/by/4.0/).
Share and Cite
Albayrak, A.; Dogu, M.; Cakir, M.; Turhan, K. Enhancing Interfacial and Mechanical Properties of Carbon Fiber/Poly (Ether Ether Ketone) Composites via Bisphenol-Based Polyimide Modification. Polymers 2025, 17, 3258. https://doi.org/10.3390/polym17243258
Albayrak A, Dogu M, Cakir M, Turhan K. Enhancing Interfacial and Mechanical Properties of Carbon Fiber/Poly (Ether Ether Ketone) Composites via Bisphenol-Based Polyimide Modification. Polymers. 2025; 17(24):3258. https://doi.org/10.3390/polym17243258
Chicago/Turabian StyleAlbayrak, Aylin, Mustafa Dogu, Mustafa Cakir, and Kadir Turhan. 2025. "Enhancing Interfacial and Mechanical Properties of Carbon Fiber/Poly (Ether Ether Ketone) Composites via Bisphenol-Based Polyimide Modification" Polymers 17, no. 24: 3258. https://doi.org/10.3390/polym17243258
APA StyleAlbayrak, A., Dogu, M., Cakir, M., & Turhan, K. (2025). Enhancing Interfacial and Mechanical Properties of Carbon Fiber/Poly (Ether Ether Ketone) Composites via Bisphenol-Based Polyimide Modification. Polymers, 17(24), 3258. https://doi.org/10.3390/polym17243258





