Activated Desulfurized Rubber Powder/SBS/SEBS Composite-Modified Asphalt: Performance and Synergistic Modification Mechanism
Abstract
1. Introduction
2. Materials and Methods
2.1. Materials
2.1.1. Base Asphalt
2.1.2. Rubber Powder
2.1.3. SBS and SEBS
2.1.4. Additives
2.1.5. Preparation of Modified Asphalt
2.2. Test Methods
2.2.1. Conventional Performance Test of Asphalt
2.2.2. Rheological Test of Asphalt
2.2.3. Microscopic Performance Test of Asphalt
3. Results and Discussion
3.1. Analysis of the Impact of SE-S on Asphalt Performance
3.1.1. Optimization of the SE-S Composite Ratio
3.1.2. Analysis of the Influence of SE-S Dosage on Asphalt Performance
3.2. Analysis of the Conventional Performance of ASSA
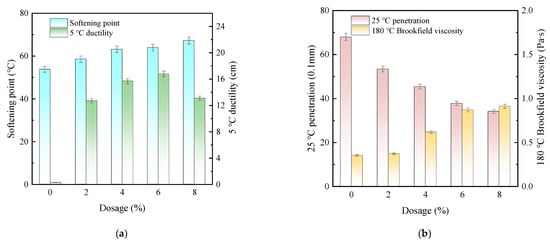
3.2.1. Analysis of Basic Performance
3.2.2. Analysis of Viscosity-Temperature Performance
3.2.3. Analysis of Storage Stability
3.3. Analysis of Rheological Properties of ASSA
3.3.1. Analysis of Temperature Scanning Test
3.3.2. Analysis of Frequency Scanning Test
3.3.3. Analysis of High-Temperature Resistance to Permanent Deformation Performance
3.3.4. Analysis of Low-Temperature Crack Resistance Performance
3.4. Analysis of Microstructure and Modification Mechanism
3.4.1. Analysis of Fluorescence Dispersibility
3.4.2. Analysis of Microscopic Morphology
3.4.3. Analysis of Modification Mechanism
4. Conclusions
- (1)
- SBS demonstrates superior efficacy in enhancing the low-temperature performance of asphalt, whereas SEBS more effectively improves the storage stability of the modified asphalt. With SEBS:SBS = 0.4:0.6 and a SE-S content of 2–4%, the modified asphalt exhibited better overall performance.
- (2)
- The synergistic effect of ARP and the SE-S elastic medium significantly improves the creep recovery ability and low-temperature crack resistance of modified asphalt, resulting in the excellent viscoelastic rheological properties of ASSA.
- (3)
- ARP increases the proportion of elasticity and ductility of asphalt. The addition of SE-S compensates for the high-viscosity deformation of ARA at higher temperatures, giving ASSA better low-temperature crack resistance and high-temperature deformation resistance.
- (4)
- SE-S and ARP fully swelled and crosslinked in the asphalt, exhibiting excellent compatibility and endowing the ASSA with superior stability and performance.
- (5)
- The modification mechanism of ASSA is predominantly physical, involving the formation of a crosslinked network through physical swelling and entanglement. The chemical changes observed by FTIR are attributed to the activation and desulfurization of the rubber powder, which enhances its compatibility and facilitates the physical modification process.
Author Contributions
Funding
Data Availability Statement
Conflicts of Interest
Abbreviations
| SBS | Styrene–Butadiene–Styrene |
| SEBS | Styrene–Ethylene–Butylene–Styrene |
| CRP | crushed rubber powder |
| DRP | desulfurized rubber powder |
| ARP | activated desulfurized rubber powder |
| RA | rubber powder-modified asphalt |
| BA | base asphalt |
| SBSMA | SBS-modified asphalt |
| SE-S | SEBS/SBS |
| SE-SMA | SE-S-modified asphalt |
| ARA | ARP-modified asphalt |
| ASSA | ARP/SBS/SEBS composite-modified asphalt |
| ASSA-15 | ASSA with an ARP content of 15% |
| ASSA-20 | ASSA with an ARP content of 20% |
| ASSA-25 | ASSA with an ARP content of 30% |
References
- Huang, S.; Chen, H.K.; Niu, D.Y.; Ren, S.S.; Liu, X.Y. Insights into the micro-modification mechanism, thermal stability, and rheological property of sbs/tb rubber crumb modified asphalt binder. Constr. Build. Mater. 2025, 482, 141670. [Google Scholar] [CrossRef]
- Ma, F.; Huang, R.Z.; Shi, K.; Fu, Z.; Jin, Y.X. Warm-mix rejuvenation effects of waste polyethylene wax and rejuvenator blends on aged asphalt binder. Fuel 2026, 404, 136288. [Google Scholar] [CrossRef]
- Zhang, M.; Wang, C.; Fan, L.L.; Yi, J.Y. Decision-making for typical pavement structure based on life-cycle economic evaluation and key performance indicators. Coatings 2022, 12, 1124. [Google Scholar] [CrossRef]
- Chen, J.Q.; Dan, H.C.; Ding, Y.J.; Gao, Y.M.; Guo, M.; Guo, S.C.; Han, B.Y.; Hong, B.; Hou, Y.; Hu, C.C.; et al. New innovations in pavement materials and engineering: A review on pavement engineering research 2021. J. Traffic Transp. Eng.-Engl. Ed. 2021, 8, 815–999. [Google Scholar] [CrossRef]
- Xin, J.Y.; Akiyama, M.; Frangopol, D.M.; Zhang, M.Y.; Pei, J.Z.; Zhang, J.P. Reliability-based life-cycle cost design of asphalt pavement using artificial neural networks. Struct. Infrastruct. Eng. 2021, 17, 872–886. [Google Scholar] [CrossRef]
- Fazli, A.; Rodrigue, D. Recycling waste tires into ground tire rubber (gtr)/rubber compounds: A review. J. Compos. Sci. 2020, 4, 103. [Google Scholar] [CrossRef]
- Czarna-Juszkiewicz, D.; Kunecki, P.; Cader, J.; Wdowin, M. Review in waste tire management-potential applications in mitigating environmental pollution. Materials 2023, 16, 5771. [Google Scholar] [CrossRef]
- Li, L.W.; Zhou, T.; Cao, L.P.; Zhou, J.; Liu, Z.Y.; Dong, Z.J. Characterization of emissions from rubber modified asphalt and their impact on environmental burden: Insights into composition variability and hazard assessment. J. Hazard. Mater. 2024, 477, 135336. [Google Scholar] [CrossRef]
- Wang, Q.Z.; Wang, N.N.; Tseng, M.L.; Huang, Y.M.; Li, N.L. Waste tire recycling assessment: Road application potential and carbon emissions reduction analysis of crumb rubber modified asphalt in China. J. Clean. Prod. 2020, 249, 119411. [Google Scholar] [CrossRef]
- McMinn, M.H.; Hu, X.M.; Poisson, K.; Berger, P.; Pimentel, P.; Zhang, X.W.; Ashara, P.; Greenfield, E.L.; Eig, J.; Tian, Z.Y. Emerging investigator series: In-depth chemical profiling of tire and artificial turf crumb rubber: Aging, transformation products, and transport pathways. Environ. Sci.-Process Impacts 2024, 26, 1703–1715. [Google Scholar] [CrossRef]
- Zhang, L.; Wang, H.A.; Yu, C.; Xing, C.; Tan, Y.Q.; Wang, G.Q.; Qin, L.S.; Tian, Z.N. Comprehensive study on the applicability of evaluation index for rubber modified asphalt rheological property. Constr. Build. Mater. 2025, 470, 140520. [Google Scholar] [CrossRef]
- Sakhaeifar, M.S.; Brown, E.R.; Tran, N.; Dean, J. Evaluation of long-lasting perpetual asphalt pavement with life-cycle cost analysis. Transp. Res. Record 2013, 2368, 3–11. [Google Scholar] [CrossRef]
- Wang, S.; Huang, W.D.; Liu, X.Y.; Lin, P. Influence of high content crumb rubber and different preparation methods on properties of asphalt under different aging conditions: Chemical properties, rheological properties, and fatigue performance. Constr. Build. Mater. 2022, 327, 126937. [Google Scholar] [CrossRef]
- White, G.; Kidd, A.; Shadforth, T. Effect of low dosage crumbed rubber on the mechanical properties of a dense graded asphalt mixture. Road Mater. Pavement Des. 2023, 24, 2464–2482. [Google Scholar] [CrossRef]
- Lushinga, N.; Cao, L.P.; Dong, Z.J.; Assogba, C.O. Improving storage stability and physicochemical performance of styrene-butadiene-styrene asphalt binder modified with nanosilica. Sustainability 2020, 12, 8968. [Google Scholar] [CrossRef]
- Niu, D.Y.; Xie, X.W.; Zhang, Z.; Niu, Y.H.; Yang, Z.X. Influence of binary waste mixtures on road performance of asphalt and asphalt mixture. J. Clean. Prod. 2021, 298, 126842. [Google Scholar] [CrossRef]
- Yu, R.B.; Gong, Z.H.; Guo, W.H.; Zhang, H.B.; Liu, C.L. A novel grafting-modified waste rubber powder as filler in natural rubber vulcanizates. J. Appl. Polym. Sci. 2016, 133, 42993. [Google Scholar] [CrossRef]
- Zhang, H.G.; Zhang, Y.P.; Chen, J.; Liu, W.C.; Wang, W.S. Effect of desulfurization process variables on the properties of crumb rubber modified asphalt. Polymers 2022, 14, 1365. [Google Scholar] [CrossRef]
- Liu, W.H.; Xu, Y.S.; Wang, H.J.; Shu, B.N.; Barbieri, D.M.; Norambuena-Contreras, J. Enhanced storage stability and rheological properties of asphalt modified by activated waste rubber powder. Materials 2021, 14, 2693. [Google Scholar] [CrossRef]
- Li, J.C.; Cao, W.D.; Yan, Z.Q.; Li, Y.J.; Zhan, Z.H. Performance assessment of micro-nano tire rubber and sbs composite-modified asphalt based on the combination weighting and TOPSIS method. Constr. Build. Mater. 2025, 471, 140592. [Google Scholar] [CrossRef]
- Islam, S.S.; Singh, S.K.; Ransinchung, G.; Ravindranath, S.S. Imperative role of sbs molecular structure on the performance properties of modified binders and asphalt mixes. Int. J. Pavement Eng. 2023, 24, 2226290. [Google Scholar] [CrossRef]
- Pandey, A.; Islam, S.S.; Ransingchung, R.; Ravindranath, S.S. Comparing the performance of sbs and thermoplastics modified asphalt binders and asphalt mixes. Road Mater. Pavement Des. 2023, 24, 369–388. [Google Scholar] [CrossRef]
- Song, H.; Zhou, T.; Luo, Y.X.; Wang, C.; Zhang, H. A study on the performance of asphalt modified by desulfurized waste rubber/ethylene vinyl acetate composite with additives. Sustainability 2024, 16, 1122. [Google Scholar] [CrossRef]
- Guo, P.; Ma, Q.W.; Li, Y.; Yang, C.G.; Qiu, Y.J.; Sun, L.Y.; Zhang, X.L.; Yang, F.Y. Research on rheological properties by desulfurized rubber powder/sbs composite-modified asphalt and road performance of its mixture. Adv. Mater. Sci. Eng. 2022, 2022, 2061326. [Google Scholar] [CrossRef]
- Shi, K.; Ma, F.; Liu, J.; Fu, Z.; Song, R.M.; Yuan, D.D.; Ogbon, A.W. Evolution of sbs-modified asphalt performance under aging and rejuvenation cycle conditions. Constr. Build. Mater. 2024, 416, 135156. [Google Scholar] [CrossRef]
- Gong, Y.F.; Wu, S.Z.; Zhang, Y.W.; Pang, Y.Z.; Ma, Y.L. Investigation of the high-temperature and rheological properties for asphalt sealant modified by sbs and rubber crumb. Polymers 2022, 14, 2558. [Google Scholar] [CrossRef]
- Liu, S.W.; Qiu, J.; Han, L.L.; Ma, X.Y.; Chen, W.Q. Mechanism and influence factors of abrasion resistance of high-flow grade sebs/pp blended thermoplastic elastomer. Polymers 2022, 14, 1795. [Google Scholar] [CrossRef]
- JTG E20-2011; Standard Test Methods of Bitumen and Bituminous Mixtures for Highway Engineering. China Communications Press: Beijing, China, 2011.
- AASHTO T 315-2024; Standard Method of Test for Determining the Rheological Properties of Asphalt Binder Using a Dynamic Shear Rheometer (DSR). AASHTO: Washington, DC, USA, 2024.
- AASHTO M 332-2023; Performance-Graded Asphalt Binder Using Multiple Stress Creep Recovery (MSCR) Test. AASHTO: Washington, DC, USA, 2023.
- AASHTO T 313-2019; Standard Method of Test for Determining the Flexural Creep Stiffness of Asphalt Binder Using the Bending Beam Rheometer (BBR). AASHTO: Washington, DC, USA, 2019.
- Ke, Y.B.; Cao, J.T.; Xu, S.; Bian, C.Y.; Zhang, C.; Jia, X.J. Storage stability and anti-aging performance of sebs/organ-montmorillonite modified asphalt. Constr. Build. Mater. 2022, 341, 127875. [Google Scholar] [CrossRef]
- Liao, W.; Zhang, H.T. Experimental studies and molecular dynamics simulations of the compatibility between sebs and asphalt. J. Mater. Civ. Eng. 2025, 37, 04025188. [Google Scholar] [CrossRef]
- Zhao, Y.C.; Dong, R.; Zhao, J.Z.; Wang, Y.N.; Guo, F.C.; Wei, X.L.; Li, B. Rheological properties and influence mechanisms of twin-screw activated rubber powder composite sbs-modified asphalt. Materials 2025, 18, 2359. [Google Scholar] [CrossRef]
- Zhang, K.; Zhong, X.W.; Huang, X.K.; Wan, W.H.; Zhou, H.; Liu, B. Micromodification mechanism and high-temperature rheological properties of activated rubber/styrene-butadiene-styrene compound-modified asphalt. Materials 2025, 18, 2643. [Google Scholar] [CrossRef] [PubMed]
- Kabir, S.F.; Zheng, R.F.; Delgado, A.G.; Fini, E.H. Use of microbially desulfurized rubber to produce sustainable rubberized bitumen. Resour. Conserv. Recycl. 2021, 164, 105144. [Google Scholar] [CrossRef]
















| Project | Requirements | Test Result | |
|---|---|---|---|
| Penetration (25 °C, 100 g, 5 s) (0.1 mm) | 60~80 | 68.7 | |
| Softening point (°C) | ≥46 | 50.0 | |
| Ductility (5 cm/min, 10 °C) (cm) | ≥20 | 80.7 | |
| Brookfield viscosity (135 °C) (Pa·s) | ≥0.16 | 0.56 | |
| Dynamic viscosity (60 °C) (Pa·s) | ≥160 | 248.3 | |
| After TFOT | Mass loss (%) | ≤±0.8 | 0.49 |
| Penetration ratio (25 °C) (%) | ≥61 | 65.7 | |
| Ductility (5 cm/min, 10 °C) (cm) | ≥8 | 10.3 | |
| Project | Test Result |
|---|---|
| Relative density | 1.18 |
| Ash content (%) | 7.2 |
| Acetone extract (%) | 11 |
| Carbon black (%) | 28.3 |
| Rubber hydrocarbon (%) | 51 |
| Items | Value | |
|---|---|---|
| SBS | SEBS | |
| Model | YH-791 | YH-503 |
| Stress at 300% (MPa) | ≥2 | ≥3 |
| Elongation (%) | ≥700 | ≥400 |
| Permanent deformation (%) | ≤40 | ≤40 |
| Tensile strength (MPa) | ≥15 | ≥16 |
| Shore hardness (A) | ≥68 | ≥70 |
| Volatile component (%) | ≤0.7 | ≤1.0 |
Disclaimer/Publisher’s Note: The statements, opinions and data contained in all publications are solely those of the individual author(s) and contributor(s) and not of MDPI and/or the editor(s). MDPI and/or the editor(s) disclaim responsibility for any injury to people or property resulting from any ideas, methods, instructions or products referred to in the content. |
© 2025 by the authors. Licensee MDPI, Basel, Switzerland. This article is an open access article distributed under the terms and conditions of the Creative Commons Attribution (CC BY) license (https://creativecommons.org/licenses/by/4.0/).
Share and Cite
Su, Q.; Yang, S.; Liu, W.; Zhang, M.; Li, A.; Cao, D. Activated Desulfurized Rubber Powder/SBS/SEBS Composite-Modified Asphalt: Performance and Synergistic Modification Mechanism. Polymers 2025, 17, 3113. https://doi.org/10.3390/polym17233113
Su Q, Yang S, Liu W, Zhang M, Li A, Cao D. Activated Desulfurized Rubber Powder/SBS/SEBS Composite-Modified Asphalt: Performance and Synergistic Modification Mechanism. Polymers. 2025; 17(23):3113. https://doi.org/10.3390/polym17233113
Chicago/Turabian StyleSu, Qidong, Songqiao Yang, Wenjing Liu, Mingming Zhang, Aoxue Li, and Dongwei Cao. 2025. "Activated Desulfurized Rubber Powder/SBS/SEBS Composite-Modified Asphalt: Performance and Synergistic Modification Mechanism" Polymers 17, no. 23: 3113. https://doi.org/10.3390/polym17233113
APA StyleSu, Q., Yang, S., Liu, W., Zhang, M., Li, A., & Cao, D. (2025). Activated Desulfurized Rubber Powder/SBS/SEBS Composite-Modified Asphalt: Performance and Synergistic Modification Mechanism. Polymers, 17(23), 3113. https://doi.org/10.3390/polym17233113
