Experimental Study on the Effect of Humidity on the Mechanical Properties of 3D-Printed Mechanical Metamaterials
Abstract
1. Introduction
2. Experimental Procedures
2.1. Specimen Preparation
2.2. Measurements
3. Results and Discussions
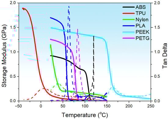
3.1. Preliminary Results of 3D-Printed Mechanical Metamaterials for Compressive Tests
3.2. Water Absorption Testing of the Materials
3.3. Effect of Relative Humidity on the Tensile Properties of Materials
3.4. Effect of Relative Density and Relative Humidity on the Mechanical Behavior of the Mechanical Metamaterials
4. Conclusions
- (1)
- All materials exhibit an initial rapid absorption phase (0–12 h), followed by a plateau with minor fluctuations (12–60 h), and a late-stage rebound (60–100 h). Final mass-gain ranking: Nylon > PETG > PLA ≈ ABS > TPU ≈ PEEK.
- (2)
- Nylon and TPU reach peak ductility and strength at 45% RH under tension, driven by water-induced capillary condensation and/or matrix absorption, leading to effective pore occlusion and enhanced interlayer slip. Meanwhile, PEEK and ABS are reliable for moisture-sensitive applications.
- (3)
- Mechanical metamaterials show the lowest peak stress at 25% RD under compression. Increasing RD raises peak stress across the board. For ABS, TPU, and PETG, the mechanical behavior at 35% and 45% RD is similar. In contrast, Nylon, PLA, and PEEK exhibit a stronger dependence of mechanical performance on RD—especially PLA, where the differences are most pronounced.
- (4)
- All mechanical metamaterials maintain a negative Poisson’s ratio but differ in RD–RH sensitivity: ABS increases with RD at all RH values; TPU and PLA show RD trends that shift with humidity; Nylon is invariant; and PEEK and PETG are stable at 35% RD but exhibit RH-dependent minima at 25% and 45% RD. Collectively, material responses remain predictable at low-to-moderate humidity, whereas high humidity serves as a critical threshold inducing abrupt Poisson’s ratio behavioral shifts.
Author Contributions
Funding
Institutional Review Board Statement
Data Availability Statement
Conflicts of Interest
Appendix A
Appendix A.1. Repeated Results of TPU and Nylon at RH 15%

Appendix A.2. Summarized Tensile Properties of All Materials
| Young’s Modulus (MPa) | Maximum Strain (%) | UTS (MPa) | |||||||
|---|---|---|---|---|---|---|---|---|---|
| RH% | 15 | 45 | 95 | 15 | 45 | 95 | 15 | 45 | 95 |
| ABS | 371.518 ± 78.216 | 394.856 ± 64.229 | 382.020 ± 88.507 | 0.081 ± 0.011 | 0.069 ± 0.011 | 0.077 ± 0.014 | 12.404 ± 3.082 | 12.645 ± 2.589 | 12.587 ± 3.278 |
| TPU | 46.436 ± 10.563 | 42.443 ± 4.165 | 43.859 ± 8.372 | 2.000 ± 0.000 | 8.858 ± 0.595 | 10.044 ± 0.665 | 10.275 ± 2.013 | 23.437 ± 3.112 | 28.243 ± 7.120 |
| Nylon | 261.548 ± 22.601 | 175.002 ± 15.867 | 67.743 ± 0.781 | 1.477 ± 0.905 | 7.081 ± 0.679 | 7.247 ± 0.463 | 12.655 ± 3.234 | 18.017 ± 1.039 | 14.841 ± 1.031 |
| PLA | 406.939 ± 64.354 | 532.609 ± 79.684 | 462.855 ± 34.110 | 0.080 ± 0.028 | 0.077 ± 0.010 | 0.080 ± 0.028 | 11.040 ± 2.214 | 13.877 ± 0.932 | 12.086 ± 0.651 |
| PEEK | 563.447 ± 47.219 | 576.983 ± 48.710 | 547.799 ± 62.405 | 0.050 ± 0.117 | 0.045 ± 0.006 | 0.059 ± 0.028 | 11.994 ± 1.464 | 14.038 ± 0.909 | 12.621 ± 1.061 |
| PETG | 344.953 ± 41.337 | 355.370 ± 55.546 | 379.055 ± 73.427 | 0.075 ± 0.005 | 0.089 ± 0.016 | 0.086 ± 0.020 | 14.161 ± 2.269 | 14.206 ± 2.916 | 14.240 ± 2.677 |
| Wood | 345.822 ± 39.825 | 344.635 ± 50.400 | 379.309 ± 87.817 | 0.149 ± 0.026 | 0.135 ± 0.029 | 0.158 ± 0.038 | 8.297 ± 1.293 | 8.155 ± 1.400 | 8.345 ± 1.496 |
Appendix A.3. Detailed Results of 3D-Printed Wood Samples

References
- Jiao, P.; Mueller, J.; Raney, J.R.; Zheng, X.; Alavi, A.H. Mechanical metamaterials and beyond. Nat. Commun. 2023, 14, 6004. [Google Scholar] [CrossRef]
- Tan, X.; Cao, B.; Liu, W.; Ji, C.; Wang, B.; Li, S. Odd mechanical metamaterials with simultaneously expanding or contracting under both compression and tension. Thin-Walled Struct. 2024, 203, 112225. [Google Scholar] [CrossRef]
- Soni, A.; Yadav, P.C.; Veeman, D.; Katiyar, J.K. Fruit waste-derived hybrid biofillers as a potential reinforcement in 3D printed biocomposites for building construction applications. J. Manuf. Process. 2025, 152, 205–221. [Google Scholar] [CrossRef]
- Sun, Q.; Potu, S.T.; Man, J.; Tan, X.; Yin, K.; Cao, B.; Eberl, C. Effect of Infill Pattern on the Mechanical Properties and Stress Relaxation Behavior of 3D Printed PEEK. J. Mater. Res. Technol. 2025, 39, 5306–5318. [Google Scholar] [CrossRef]
- Yuan, S.; Chua, C.K.; Zhou, K. 3D-Printed Mechanical Metamaterials with High Energy Absorption. Adv. Mater. Technol. 2019, 4, 1800419. [Google Scholar] [CrossRef]
- Hewage, T.A.M.; Alderson, K.L.; Alderson, A.; Scarpa, F. Double-Negative Mechanical Metamaterials Displaying Simultaneous Negative Stiffness and Negative Poisson’s Ratio Properties. Adv. Mater. 2016, 28, 10323–10332. [Google Scholar] [CrossRef]
- Zadpoor, A.A. Mechanical meta-materials. Mater. Horiz. 2016, 3, 371–381. [Google Scholar] [CrossRef]
- Xiao, X.; Chen, J.; Wang, K.; Yu, Y.; Wei, K. Multimaterial Additively Manufactured Metamaterials Functionalized with Customizable Thermal Expansion in Multiple Directions. ACS Appl. Mater. Interfaces 2023, 15, 47434–47446. [Google Scholar] [CrossRef]
- Jiang, Y.; Liu, Z.; Matsuhisa, N.; Qi, D.; Leow, W.R.; Yang, H.; Yu, J.; Chen, G.; Liu, Y.; Wan, C.; et al. Auxetic Mechanical Metamaterials to Enhance Sensitivity of Stretchable Strain Sensors. Adv. Mater. 2018, 30, 1706589. [Google Scholar] [CrossRef]
- Rafsanjani, A.; Bertoldi, K.; Studart, A.R. Programming soft robots with flexible mechanical metamaterials. Sci. Robot. 2019, 4, eaav7874. [Google Scholar] [CrossRef]
- Evans, K.E. Auxetic polymers: A new range of materials. Endeavour 1991, 15, 170–174. [Google Scholar] [CrossRef]
- Evans, K.E.; Nkansah, M.A.; Hutchinson, I.J.; Rogers, S.C. Molecular network design. Nature 1991, 353, 124. [Google Scholar] [CrossRef]
- Wang, Z. Recent advances in novel metallic honeycomb structure. Compos. Part B Eng. 2019, 166, 731–741. [Google Scholar] [CrossRef]
- Li, T.; Liu, F.; Wang, L. Enhancing indentation and impact resistance in auxetic composite materials. Compos. Part B Eng. 2020, 198, 108229. [Google Scholar] [CrossRef]
- Evans, K.E.; Alderson, A. Auxetic Materials: Functional Materials and Structures from Lateral Thinking! Adv. Mater. 2000, 12, 617–628. [Google Scholar] [CrossRef]
- Lakes, R. Advances in negative Poisson’s ratio materials. Adv. Mater. 1993, 5, 293–296. [Google Scholar] [CrossRef]
- Alderson, K.L.; Pickles, A.P.; Neale, P.J.; Evans, K.E. Auxetic polyethylene: The effect of a negative poisson’s ratio on hardness. Acta Metall. Mater. 1994, 42, 2261–2266. [Google Scholar] [CrossRef]
- Zhang, J.; Lu, G.; You, Z. Large deformation and energy absorption of additively manufactured auxetic materials and structures: A review. Compos. Part B Eng. 2020, 201, 108340. [Google Scholar] [CrossRef]
- Yao, Y.; Luo, Y.; Xu, Y.; Wang, B.; Li, J.; Deng, H.; Lu, H. Fabrication and characterization of auxetic shape memory composite foams. Compos. Part B Eng. 2018, 152, 1–7. [Google Scholar] [CrossRef]
- Jiang, H.; Ren, Y.; Jin, Q.; Zhu, G.; Hu, Y.; Cheng, F. Crashworthiness of novel concentric auxetic reentrant honeycomb with negative Poisson’s ratio biologically inspired by coconut palm. Thin-Walled Struct. 2020, 154, 106911. [Google Scholar] [CrossRef]
- Hu, L.L.; Luo, Z.R.; Yin, Q.Y. Negative Poisson’s ratio effect of re-entrant anti-trichiral honeycombs under large deformation. Thin-Walled Struct. 2019, 141, 283–292. [Google Scholar] [CrossRef]
- Janus-Michalska, M.; Jasińska, D.; Smardzewski, J. Comparison of contact stress distribution for foam seat and seat of auxetic spring skeleton. Int. J. Appl. Mech. Eng. 2013, 18, 55–72. [Google Scholar] [CrossRef][Green Version]
- Warmuth, F.; Osmanlic, F.; Adler, L.; Lodes, M.A.; Körner, C. Fabrication and characterisation of a fully auxetic 3D lattice structure via selective electron beam melting. Smart Mater. Struct. 2016, 26, 025013. [Google Scholar] [CrossRef]
- Zhang, S.L.; Lai, Y.-C.; He, X.; Liu, R.; Zi, Y.; Wang, Z.L. Auxetic Foam-Based Contact-Mode Triboelectric Nanogenerator with Highly Sensitive Self-Powered Strain Sensing Capabilities to Monitor Human Body Movement. Adv. Funct. Mater. 2017, 27, 1606695. [Google Scholar] [CrossRef]
- Bai, Y.; Liu, C.; Li, Y.; Li, J.; Qiao, L.; Zhou, J.; Bai, Y. Moisture-sensitive mechanical metamaterials with unusual and re-programmable hygroscopic deformation modes. Mater. Horiz. 2022, 9, 2835–2845. [Google Scholar] [CrossRef]
- Li, S.; Chen, R.; Xu, W.; Zhang, C.; Liu, G.; Wang, Q.; Tan, X. PEEK-Based Orthopedic Composites and Structures for Orthopedic Repair: A Review. Polym. Compos. 2025, 1–17. [Google Scholar] [CrossRef]
- Oladapo, B.I.; Zahedi, S.A.; Ismail, S.O.; Omigbodun, F.T. 3D printing of PEEK and its composite to increase biointerfaces as a biomedical material- A review. Colloids Surf. B Biointerfaces 2021, 203, 111726. [Google Scholar] [CrossRef]
- Singh, S.; Prakash, C.; Ramakrishna, S. 3D printing of polyether-ether-ketone for biomedical applications. Eur. Polym. J. 2019, 114, 234–248. [Google Scholar] [CrossRef]
- Jiao, P.; Yang, Y.; Egbe, K.I.; He, Z.; Lin, Y. Mechanical Metamaterials Gyro-Structure Piezoelectric Nanogenerators for Energy Harvesting under Quasi-Static Excitations in Ocean Engineering. ACS Omega 2021, 6, 15348–15360. [Google Scholar] [CrossRef]
- Fischer, S.C.L.; Hillen, L.; Eberl, C. Mechanical Metamaterials on the Way from Laboratory Scale to Industrial Applications: Challenges for Characterization and Scalability. Materials 2020, 13, 3605. [Google Scholar] [CrossRef]
- Wang, Z.; Chen, X.; Chen, X.; Liang, J.; Zeng, D.; Gan, Y. Effect of moisture content in polyether-ether-ketone (PEEK) filament on 3D printed parts. Discov. Appl. Sci. 2024, 6, 394. [Google Scholar] [CrossRef]
- Kariz, M.; Sernek, M.; Kitek Kuzman, M. Effect of humidity on 3D-printed specimens from wood-pla filaments. Wood Res. 2018, 63, 917–922. [Google Scholar]
- Leite, M.; Varanda, A.; Ribeiro, A.R.; Silva, A.; Vaz, M.F. Mechanical properties and water absorption of surface modified ABS 3D printed by fused deposition modelling. Rapid Prototyp. J. 2018, 24, 195–203. [Google Scholar] [CrossRef]
- Moreno Nieto, D.; Alonso-García, M.; Pardo-Vicente, M.-A.; Rodríguez-Parada, L. Product Design by Additive Manufacturing for Water Environments: Study of Degradation and Absorption Behavior of PLA and PETG. Polymers 2021, 13, 1036. [Google Scholar] [CrossRef]
- Banjo, A.D.; Agrawal, V.; Auad, M.L.; Celestine, A.-D.N. Moisture-induced changes in the mechanical behavior of 3D printed polymers. Compos. Part C Open Access 2022, 7, 100243. [Google Scholar] [CrossRef]
- Xu, D.-H.; Liu, F.; Pan, G.; Zhao, Z.-G.; Yang, X.; Shi, H.-C.; Luan, S.-F. Softening and hardening of thermal plastic polyurethane blends by water absorbed. Polymer 2021, 218, 123498. [Google Scholar] [CrossRef]
- Mian, S.H.; Abouel Nasr, E.; Moiduddin, K.; Saleh, M.; Alkhalefah, H. An Insight into the Characteristics of 3D Printed Polymer Materials for Orthoses Applications: Experimental Study. Polymers 2024, 16, 403. [Google Scholar] [CrossRef]
- Reuvers, N.J.W.; Huinink, H.P.; Fischer, H.R.; Adan, O.C.G. Quantitative Water Uptake Study in Thin Nylon-6 Films with NMR Imaging. Macromolecules 2012, 45, 1937–1945. [Google Scholar] [CrossRef]
- Pai, C.-C.; Jeng, R.-J.; Grossman, S.J.; Huang, J.-C. Effects of moisture on thermal and mechanical properties of nylon-6,6. Adv. Polym. Technol. 1989, 9, 157–163. [Google Scholar] [CrossRef]
- Boubakri, A.; Elleuch, K.; Guermazi, N.; Ayedi, H.F. Investigations on hygrothermal aging of thermoplastic polyurethane material. Mater. Des. 2009, 30, 3958–3965. [Google Scholar] [CrossRef]
- Li, S.; Wang, T.; Chen, S.; Li, Y.; Zou, Y.; Cao, B.; Hu, J.; Tan, X.; Wang, B. Compressive properties and biocompatibility of additively manufactured lattice structures by using bioactive materials. Thin-Walled Struct. 2024, 205, 112469. [Google Scholar] [CrossRef]
- Kelkar, P.U.; Kim, H.S.; Cho, K.-H.; Kwak, J.Y.; Kang, C.-Y.; Song, H.-C. Cellular Auxetic Structures for Mechanical Metamaterials: A Review. Sensors 2020, 20, 3132. [Google Scholar] [CrossRef]
- Wang, H.; Lyu, Y.; Bosiakov, S.; Zhu, H.; Ren, Y. A review on the mechanical metamaterials and their applications in the field of biomedical engineering. Front. Mater. 2023, 10, 1273961. [Google Scholar] [CrossRef]
- Chen, J.; Chen, J.; Wang, H.; He, L.; Huang, B.; Dadbakhsh, S.; Bartolo, P. Fabrication and development of mechanical metamaterials via additive manufacturing for biomedical applications: A review. Int. J. Extrem. Manuf. 2024, 7, 012001. [Google Scholar] [CrossRef]
- Thieringer, F.M.; Sharma, N.; Mootien, A.; Schumacher, R.; Honigmann, P. Patient Specific Implants from a 3D Printer—An Innovative Manufacturing Process for Custom PEEK Implants in Cranio-Maxillofacial Surgery. In Industrializing Additive Manufacturing—Proceedings of Additive Manufacturing in Products and Applications—AMPA2017; Meboldt, M., Klahn, C., Eds.; Springer International Publishing: Cham, Switzerland, 2018; pp. 308–315. [Google Scholar] [CrossRef]
- Kennedy, S.M.; GR, R.; RB, J.R.; G, M.; M, S. PEEK-based 3D printing: A paradigm shift in implant revolution for healthcare. Polym.-Plast. Technol. Mater. 2024, 63, 680–702. [Google Scholar] [CrossRef]
- Kang, J.; Zhang, J.; Zheng, J.; Wang, L.; Li, D.; Liu, S. 3D-printed PEEK implant for mandibular defects repair—A new method. J. Mech. Behav. Biomed. Mater. 2021, 116, 104335. [Google Scholar] [CrossRef]
- Hanon, M.M.; Zsidai, L. Comprehending the role of process parameters and filament color on the structure and tribological performance of 3D printed PLA. J. Mater. Res. Technol. 2021, 15, 647–660. [Google Scholar] [CrossRef]
- Tan, X.; Zhu, S.; Wang, B.; Kadic, M. Tuning negative stiffness mechanical metamaterial’s snap-through behavior with a series-connected spring. Eur. J. Mech.-A/Solids 2024, 107, 105382. [Google Scholar] [CrossRef]
- ASTM D638-14; Standard Test Method for Tensile Properties of Plastics. ASTM: West Conshohocken, PA, USA, 2022.
- Ghavidelnia, N.; Bodaghi, M.; Hedayati, R. Femur Auxetic Meta-Implants with Tuned Micromotion Distribution. Materials 2021, 14, 114. [Google Scholar] [CrossRef]
- ASTM D570-22; Standard Test Method for Water Absorption of Plastics. ASTM: West Conshohocken, PA, USA, 2022.
- Water Absorption 24 Hour—(ASTM D570) Test of Plastics. Available online: https://www.specialchem.com/plastics/guide/water-absorption-24-hours (accessed on 17 July 2025).
- Azizan, A.; Johar, M.; Karam Singh, S.S.; Abdullah, S.; Koloor, S.S.R.; Petrů, M.; Wong, K.J.; Tamin, M.N. An Extended Thickness-Dependent Moisture Absorption Model for Unidirectional Carbon/Epoxy Composites. Polymers 2021, 13, 440. [Google Scholar] [CrossRef]
- Chow, W.S. Water absorption of epoxy/glass fiber/organo-montmorillonite nanocomposites. Express Polym. Lett. 2007, 1, 104–108. [Google Scholar] [CrossRef]
- Chakkour, M.; Ould Moussa, M.; Khay, I.; Balli, M.; Ben Zineb, T. Effects of humidity conditions on the physical, morphological and mechanical properties of bamboo fibers composites. Ind. Crops Prod. 2023, 192, 116085. [Google Scholar] [CrossRef]
- Yu, X.; Wang, Z.; Fu, W.; Yu, Z.; Wang, Y.; Zhao, Y.; Zhao, J. Compression performances and damage mechanisms of Al2O3 ceramic lattices fabricated by additive manufacturing: Imitating metal crystal structures. Ceram. Int. 2023, 49, 1419–1435. [Google Scholar] [CrossRef]
- Doyle, L.; Weidlich, I. Moisture uptake and effects of hygrothermal exposure on closed-cell semicrystalline polyethylene terephthalate foam. Polym. Degrad. Stab. 2022, 202, 110009. [Google Scholar] [CrossRef]
- Chen, E.; Luan, S.; Gaitanaros, S. On the compressive strength of brittle lattice metamaterials. Int. J. Solids Struct. 2022, 257, 111871. [Google Scholar] [CrossRef]
- Mahatme, C.; Giri, J.; Mohammad, F.; Ali, M.S.; Sathish, T.; Sunheriya, N.; Chadge, R. Experimental and numerical investigation of PLA based different lattice topologies and unit cell configurations for additive manufacturing. Int. J. Adv. Manuf. Technol. 2025, 136, 159–186. [Google Scholar] [CrossRef]









| Material | Nozzle Temp. (°C) | Bed Temp. (°C) | Speed (mm/s) | Layer Height (mm) | Filament Supplier |
|---|---|---|---|---|---|
| ABS | 250 | 90 | 30 | 0.1 | D-BSDF ABS |
| TPU | 220 | 50 | 30 | 0.1 | PolyFlex TPU95 (Polymaker, Houten, Netherlands) |
| Nylon | 280 | 50 | 30 | 0.1 | PolyMide PA6-CF (Polymaker, Houten, Netherlands) |
| PLA | 215 | 60 | 30 | 0.1 | Prusa Galaxy Black PLA (Prusa Research, Prague, Czech Republic) |
| PEEK | 400 | 120 | 15 | 0.1 | Intamsys (INTAMSYS Technology GmbH, Eschborn, Germany) |
| PETG | 240 | 80 | 30 | 0.1 | PolyLite PETG (Polymaker, Houten, Netherlands) |
Disclaimer/Publisher’s Note: The statements, opinions and data contained in all publications are solely those of the individual author(s) and contributor(s) and not of MDPI and/or the editor(s). MDPI and/or the editor(s) disclaim responsibility for any injury to people or property resulting from any ideas, methods, instructions or products referred to in the content. |
© 2025 by the authors. Licensee MDPI, Basel, Switzerland. This article is an open access article distributed under the terms and conditions of the Creative Commons Attribution (CC BY) license (https://creativecommons.org/licenses/by/4.0/).
Share and Cite
Sun, Q.; Tan, X.; Man, J.; Li, S.; Ali, Z.; Yin, K.; Cao, B.; Eberl, C. Experimental Study on the Effect of Humidity on the Mechanical Properties of 3D-Printed Mechanical Metamaterials. Polymers 2025, 17, 2938. https://doi.org/10.3390/polym17212938
Sun Q, Tan X, Man J, Li S, Ali Z, Yin K, Cao B, Eberl C. Experimental Study on the Effect of Humidity on the Mechanical Properties of 3D-Printed Mechanical Metamaterials. Polymers. 2025; 17(21):2938. https://doi.org/10.3390/polym17212938
Chicago/Turabian StyleSun, Qian, Xiaojun Tan, Jianhao Man, Shuai Li, Zeeshan Ali, Kaiyang Yin, Bo Cao, and Christoph Eberl. 2025. "Experimental Study on the Effect of Humidity on the Mechanical Properties of 3D-Printed Mechanical Metamaterials" Polymers 17, no. 21: 2938. https://doi.org/10.3390/polym17212938
APA StyleSun, Q., Tan, X., Man, J., Li, S., Ali, Z., Yin, K., Cao, B., & Eberl, C. (2025). Experimental Study on the Effect of Humidity on the Mechanical Properties of 3D-Printed Mechanical Metamaterials. Polymers, 17(21), 2938. https://doi.org/10.3390/polym17212938

