Effect of Stainless Steel Mesh Structural Parameters on the Temperature Field and Joint Tensile-Shear Performance in CF/PC Resistance Welding
Abstract
1. Introduction
2. Materials and Methods
2.1. Materials
2.2. Welding Equipment and Process
2.3. Finite Element Simulation
3. Results and Discussion
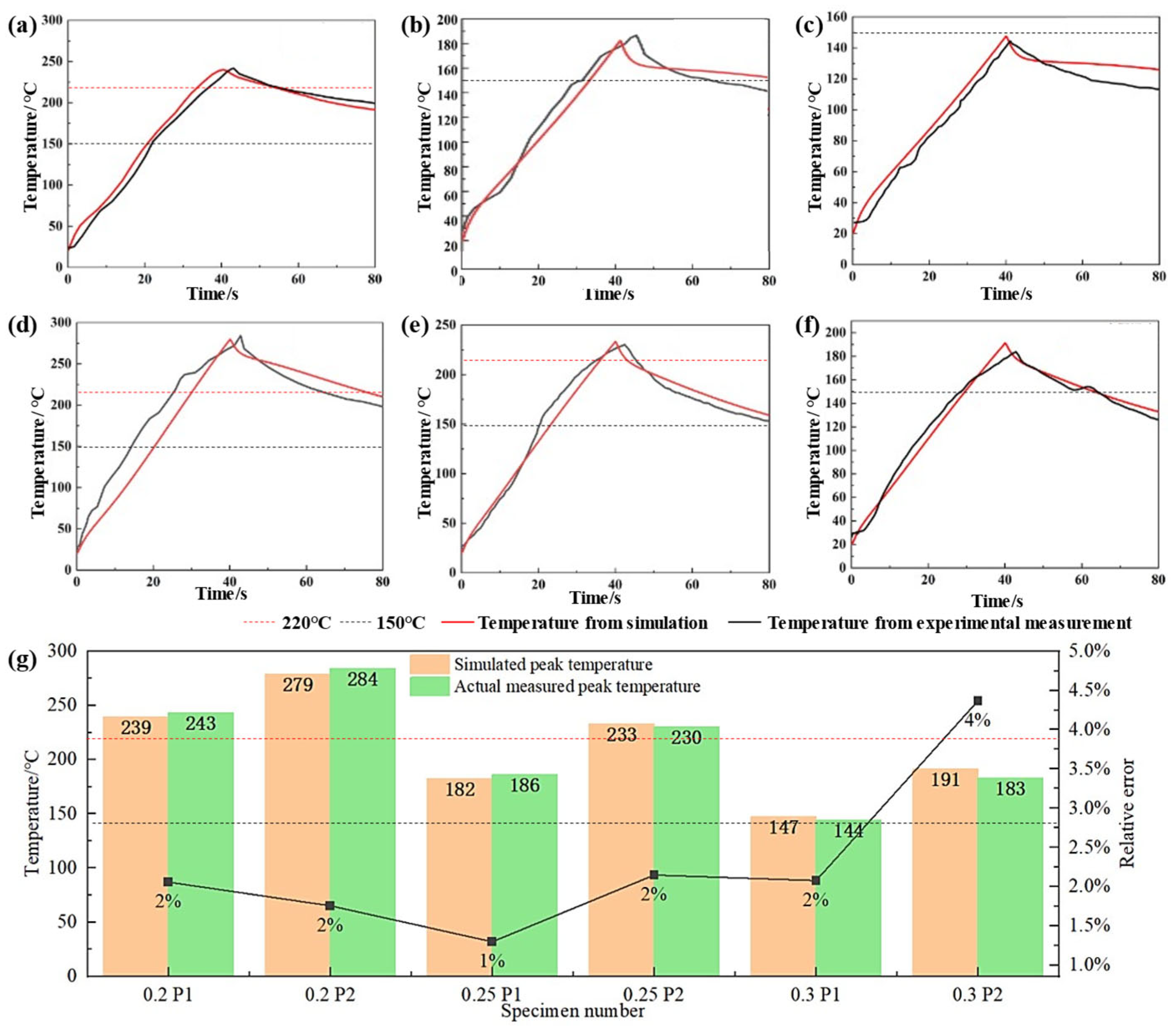
3.1. Validation of Finite Element Model
3.2. Influence of SS Mesh Geometric Parameters on Temperature Field
3.3. Influence of Clamping Distance on Welding Temperature Field
3.4. Influence of SS Mesh Thickness on Joint Performance
3.5. Novel Mesh Heating Element with Varying Aperture Size
4. Conclusions
- (1)
- The developed finite element model accurately captured the temperature evolution during the welding process, with a relative error between simulated and experimentally measured temperatures of only 1–4%.
- (2)
- Under identical conditions of thickness, aperture spacing, and opening area ratio, SS meshes with rhombic apertures—oriented such that the short diagonal is aligned parallel to the current direction—exhibited higher heating efficiency. Moreover, the electrical resistance of the SS mesh increased with decreasing thickness and increasing open area ratio.
- (3)
- Reducing the clamping distance improved the temperature uniformity across the lap zone, mitigated the edge effect, and effectively suppressed resin degradation near the specimen edges, thereby enhancing interfacial bonding at the joint.
- (4)
- The SS mesh with a thickness of 0.2 mm and diamond apertures measuring 2 mm × 3 mm demonstrated the highest heating efficiency. Experimental optimization identified the optimal welding parameters as: 18 A current, 40 s welding time, 40 s holding time, and 0.3 MPa clamping pressure, achieving a tensile shear force of 8.713 kN.
- (5)
- A novel SS mesh design—featuring larger openings in the weld zone to enhance local heating and smaller peripheral openings to suppress edge effect—improved temperature uniformity and yielded a tensile shear force of 9.851 kN, with defect-free cross-sectional morphology observed.
Author Contributions
Funding
Data Availability Statement
Conflicts of Interest
References
- Platzer, M.F. The Prospects for Green Aviation by 2050. Prog. Aerosp. Sci. 2023, 141, 100926. [Google Scholar] [CrossRef]
- Díaz, J.; Rubio, L. Developments to Manufacture Structural Aeronautical Parts in Carbon Fibre Reinforced Thermoplastic Materials. J. Mater. Process. Technol. 2003, 143–144, 342–346. [Google Scholar] [CrossRef]
- Yerra, V.A.C. Understanding the Theory and Use of Resistive Welding Technology for Fiber-Reinforced Thermoplastic Composite Structures in Automotive Applications. Ph.D. Thesis, Clemson University, Clemson, SC, USA, 2019. [Google Scholar]
- Ishikawa, T.; Amaoka, K.; Masubuchi, Y.; Yamamoto, T.; Yamanaka, A.; Arai, M.; Takahashi, J. Overview of Automotive Structural Composites Technology Developments in Japan. Compos. Sci. Technol. 2018, 155, 221–246. [Google Scholar] [CrossRef]
- Upadhyayula, V.K.K.; Gadhamshetty, V.; Athanassiadis, D.; Tysklind, M.; Meng, F.; Pan, Q.; Cullen, J.M.; Yacout, D.M.M. Wind Turbine Blades Using Recycled Carbon Fibers: An Environmental Assessment. Environ. Sci. Technol. 2022, 56, 1267–1277. [Google Scholar] [CrossRef]
- Johnson, M.S.; Evans, R.; Mistry, P.J.; Li, S.; Bruni, S.; Bernasconi, A.; Cervello, S. Structural Analysis for the Design of a Lightweight Composite Railway Axle. Compos. Struct. 2022, 290, 115544. [Google Scholar] [CrossRef]
- Reis, J.P.; de Moura, M.; Samborski, S. Thermoplastic Composites and Their Promising Applications in Joining and Repair Composites Structures: A Review. Materials 2020, 13, 5832. [Google Scholar] [CrossRef]
- Sekkal, S.E.; Meraghni, F.; Chatzigeorgiou, G.; Peltier, L.; Durand, N. Experimental and Multi-Scale Investigation of the Mechanical Behavior of Mechanically Recycled Glass Fiber Reinforced Thermoplastic Composites. Compos. Part B 2023, 264, 110925. [Google Scholar] [CrossRef]
- Ge, J.; Catalanotti, G.; Falzon, B.G.; Higgins, C.; McClory, C.; Thiebot, J.-A.; Zhang, L.; He, M.; Jin, Y.; Sun, D. Process Characteristics, Damage Mechanisms and Challenges in Machining of Fibre Reinforced Thermoplastic Polymer (FRTP) Composites: A Review. Compos. Part B Eng. 2024, 273, 111247. [Google Scholar] [CrossRef]
- Ou, Y.; Chen, C. Research Advances in the Mechanical Joining Process for Fiber Reinforced Plastic Composites. Compos. Struct. 2022, 296, 115906. [Google Scholar] [CrossRef]
- Shi, H.; Villegas, I.F.; Bersee, H.E.N. Strength and Failure Modes in Resistance Welded Thermoplastic Composite Joints: Effect of Fibre-Matrix Adhesion and Fibre Orientation. Compos. Part A Appl. Sci. Manuf. 2013, 55, 1–10. [Google Scholar] [CrossRef]
- Larsen, L.; Endrass, M.; Jarka, S.; Bauer, S.; Janek, M. Exploring Ultrasonic and Resistance Welding for Thermoplastic Composite Structures: Process Development and Application Potential. Compos. Part B 2025, 289, 111927. [Google Scholar] [CrossRef]
- Wang, F.; Zhang, P.; Luo, J.; Li, B.; Liu, G.; Zhan, X. Effect of Heat Input on Temperature Characteristics and Fusion Behavior at Bonding Interface of CFRTP Induction Welded Joint with Carbon Fiber Susceptor. Polym. Compos. 2023, 44, 1586–1602. [Google Scholar] [CrossRef]
- Nguyen, T.; Thanh, L.Q.; Loc, N.H.; Huu, M.N.; Nguyen Van, A. Effects of Different Roller Profiles on the Microstructure and Peel Strength of the Ultrasonic Welding Joints of Nonwoven Fabrics. Appl. Sci. 2020, 10, 4101. [Google Scholar] [CrossRef]
- Yang, Y.; Liu, Z.; Wang, Y.; Li, Y. Numerical Study of Contact Behavior and Temperature Characterization in Ultrasonic Welding of CF/PA66. Polymers 2022, 14, 683. [Google Scholar] [CrossRef] [PubMed]
- Wang, T.; Zhang, Z.; Ao, S.; Wang, K.; Li, Y. Ultrasonic Welding of Continuous Carbon Fiber Reinforced PEEK with Embossed Energy Directors. J. Manuf. Process. 2024, 131, 256–269. [Google Scholar] [CrossRef]
- Stavrov, D.; Bersee, H.E.N. Resistance Welding of Thermoplastic Composites—An Overview. Compos. Part A Appl. Sci. Manuf. 2005, 36, 39–54. [Google Scholar] [CrossRef]
- Xiong, X.; Wang, D.; Wei, J.; Zhao, P.; Ren, R.; Dong, J.; Cui, X. Resistance Welding Technology of Fiber Reinforced Polymer Composites: A Review. J. Adhes. Sci. Technol. 2021, 35, 1593–1619. [Google Scholar] [CrossRef]
- Geng, Z.; Yu, S.; Wang, S.; Tian, Z.; Gao, Z.; Wang, K.; Li, Y. Advances in Resistance Welding of Fiber-Reinforced Thermoplastics. Materials 2024, 17, 4693. [Google Scholar] [CrossRef]
- Du, B.; Chen, L.; Liu, H.; He, Q.; Qin, W.; Li, W. Resistance Welding of Glass Fiber Reinforced Thermoplastic Composite: Experimental Investigation and Process Parameter Optimization. Chin. J. Aeronaut. 2020, 33, 3469–3478. [Google Scholar] [CrossRef]
- Tanaka, K.; Nishikawa, T.; Aoto, K.; Katayama, T. Effect of Carbon Nanotube Deposition Time to the Surface of Carbon Fibres on Flexural Strength of Resistance Welded Carbon Fibre Reinforced Thermoplastics Using Carbon Nanotube Grafted Carbon Fibre as Heating Element. J. Compos. Sci. 2019, 3, 9. [Google Scholar] [CrossRef]
- Cao, D. Fusion Joining of Thermoplastic Composites with a Carbon Fabric Heating Element Modified by Multiwalled Carbon Nanotube Sheets. Int. J. Adv. Manuf. Technol. 2023, 128, 4443–4453. [Google Scholar] [CrossRef]
- Rohart, V.; Laberge Lebel, L.; Dubé, M. Improved Adhesion between Stainless Steel Heating Element and PPS Polymer in Resistance Welding of Thermoplastic Composites. Compos. Part B Eng. 2020, 188, 107876. [Google Scholar] [CrossRef]
- Dubé, M.; Hubert, P.; Gallet, J.N.; Stavrov, D.; Bersee, H.E.; Yousefpour, A. Metal Mesh Heating Element Size Effect in Resistance Welding of Thermoplastic Composites. J. Compos. Mater. 2012, 46, 911–919. [Google Scholar] [CrossRef]
- Stavrov, D.; Bersee, H.E.N. Thermal Aspects in Resistance Welding of Thermoplastic Composites. In Proceedings of the 2003 ASME Heat Transfer Summer Conference, Las Vegas, NV, USA, 21–23 July 2003; ASMEDC: New York, NY, USA, 2003; Volume 3, pp. 151–156. [Google Scholar]
- Wei, D.; Gu, Y.; Zhu, H.; Li, M.; Wang, S. Influence of Electrical Heating Metal Mesh and Power Density on Resistance Welding of Carbon Fiber/PEEK Composite. Polymers 2022, 14, 2563. [Google Scholar] [CrossRef]
- Dubé, M.; Hubert, P.; Yousefpour, A.; Denault, J. Current Leakage Prevention in Resistance Welding of Carbon Fibre Reinforced Thermoplastics. Compos. Sci. Technol. 2008, 68, 1579–1587. [Google Scholar] [CrossRef]
- McKnight, S.H.; Holmes, S.T.; Gillespie, J.W., Jr.; Lambing, C.L.T.; Marinelli, J.M. Scaling Issues in Resistance-Welded Thermoplastic Composite Joints. Adv. Polym. Technol. 1997, 16, 279–295. [Google Scholar] [CrossRef]
- Ma, Z.; Xu, Z.; Li, Z.; Chen, S.; Wu, Y.; Yan, J. Improving the Quality of Resistance Welded Thermoplastic Composite Joints by Applying Ultrasonic. Compos. Part B Eng. 2024, 277, 111398. [Google Scholar] [CrossRef]
- Ma, Z.; Xu, Z.; Li, Z.; Chen, S.; Wu, Y.; Zhang, H.; Yan, J. A Novel Method for Reducing the Welding Pressure Requirement in Resistance Welding of Thermoplastic Composites. Compos. Sci. Technol. 2024, 258, 110850. [Google Scholar] [CrossRef]
- Eveno, E.C.; Gillespie, J.W. Resistance Welding of Graphite Polyetheretherketone Composites: An Experimental Investigation. J. Thermoplast. Compos. Mater. 1988, 1, 322–338. [Google Scholar] [CrossRef]
- Endraß, M.; Thomè, A.; Gadletz, V.; Bauer, S.; Jarka, S.; Gänswürger, P.; Kupke, M. Resistance Welding of Low-Melt Polyaryletherketone: Process Definition and Optimization. In Proceedings of the ECCM 2022-Proceedings of the 20th European Conference on Composite Materials: Composites Meet Sustainability, Lausanne, Switzerland, 26–30 June 2022. [Google Scholar]
- Ageorges, C.; Ye, L.; Mai, Y.-W.; Hou, M. Characteristics of Resistance Welding of Lap Shear Coupons. Part I: Heat Transfer. Compos. Part A Appl. Sci. Manuf. 1998, 29, 899–909. [Google Scholar] [CrossRef]











| Temperature/°C | Coefficient of Thermal Expansion/K−1 × 10−6 | Elasticity Modulus/GPa | Density/kg·m−3 | Electrical Resistivity/Ω·m × 10−8 | Thermal Conductivity/W·m−1·K−1 | Specific Heat/J·kg−1·K−1 |
|---|---|---|---|---|---|---|
| 20 | 16.6 | 124 | 8747 | 2.64 | 390.62 | 397.75 |
| 100 | 16.7 | 105 | 8747 | 3.00 | 370.42 | 401.93 |
| 200 | 17.1 | 93.0 | 8747 | 3.99 | 355.45 | 418.68 |
| 300 | 17.5 | 82.7 | 8747 | 5.05 | 345.72 | 431.24 |
| 500 | 18.4 | 38.6 | 8747 | 6.99 | 320.28 | 452.17 |
| 600 | 18.5 | 24.8 | 8747 | 8.00 | 315.79 | 464.73 |
| 800 | 19.3 | 13.8 | 8747 | 9.48 | 305.32 | 477.30 |
| Temperature/°C | Coefficient of Thermal Expansion/K−1 × 10−6 | Elasticity Modulus/GPa | Density/kg·m−3 | Electrical Resistivity/Ω·m × 10−8 | Thermal Conductivity/W·m−1·K−1 | Specific Heat/J·kg−1·K−1 |
|---|---|---|---|---|---|---|
| 20 | 17.0 | 198 | 7930 | 73 | 14.6 | 462 |
| 100 | 17.4 | 193 | 7880 | 86 | 15.1 | 496 |
| 200 | 18.0 | 185 | 7830 | 106 | 16.1 | 512 |
| 300 | 18.6 | 176 | 7790 | 121 | 17.9 | 525 |
| 500 | 19.1 | 167 | 7750 | 121 | 18.0 | 540 |
| 600 | 19.6 | 159 | 7660 | 121 | 20.8 | 577 |
| 800 | 20.2 | 151 | 7560 | 121 | 23.9 | 604 |
| 1200 | 20.7 | 60 | 7370 | 130 | 32.2 | 676 |
| 1400 | 21.1 | 20 | 7320 | 161 | 33.7 | 692 |
| 1500 | 21.6 | 10 | 7320 | 170 | 120.0 | 700 |
| Material | Coefficient of Thermal Expansion/K−1 × 10−6 | Elasticity Modulus/GPa | Density/kg·m−3 | Electrical Resistivity/Ω·m × 10−8 | Specific Heat/J·kg−1·K−1 |
|---|---|---|---|---|---|
| PC | 68 | 2.3 | 1200 | 0.220 | 1200 |
| CCF/PC | — | 4.0 | 1350 | 0.763 | 1735 |
| Component | Length/mm | Width/mm | Thickness/mm | Number of Nodes | Number of Elements |
|---|---|---|---|---|---|
| Top copper block | 20 | 40 | 10 | 150 | 264 |
| SS mesh | 80 | 20 | - | - | - |
| Bottom copper block | 20 | 40 | 20 | 250 | 396 |
| PC Film | 20 | 25 | 0.2 | 2850 | 5916 |
| CCF/PC sheet | 100 | 25 | 2.0 | 71,250 | 87,348 |
| No. | Thickness/mm | Aperture Shape | Aperture Spacing d/mm | Dimensions of x × y/mm × mm | Aperture Area/mm2 | Number of Elements | Number of Nodes |
|---|---|---|---|---|---|---|---|
| 1 | 0.2 | a | 0.2 | 2 × 3 | 3 | 1457 | 3802 |
| 2 | 0.25 | a | 0.2 | 2 × 3 | 3 | 2484 | 5181 |
| 3 | 0.3 | a | 0.2 | 2 × 3 | 3 | 2568 | 5732 |
| 4 | 0.2 | b | 0.2 | 3 × 2 | 3 | 1711 | 5678 |
| 5 | 0.2 | c | 0.2 | 2.449 × 2.449 | 3 | 1535 | 4206 |
| 6 | 0.2 | d | 0.2 | 1.732 × 1.732 | 3 | 1321 | 3848 |
| 7 | 0.2 | e | 0.2 | 2.148 × 1.074 | 3 | 2609 | 7234 |
| 8 | 0.2 | f | 0.2 | 1.074 × 2.148 | 3 | 2723 | 7576 |
| 9 | 0.2 | g | 0.2 | 1.954 × 1.954 | 3 | 3143 | 9902 |
| 10 | 0.2 | h | 0.2 | 1.954 × 1.954 | 3 | 2658 | 6890 |
| 11 | 0.2 | a | 0.2 | 3 × 6 | 9 | 1914 | 4263 |
| 12 | 0.25 | a | 0.2 | 3 × 6 | 9 | 1936 | 4296 |
| 13 | 0.3 | a | 0.2 | 3 × 6 | 9 | 1994 | 4383 |
| 14 | 0.2 | a | 0.2 | 4 × 8 | 16 | 964 | 3172 |
| 15 | 0.25 | a | 0.2 | 4 × 8 | 16 | 1086 | 3279 |
| 16 | 0.3 | a | 0.2 | 4 × 8 | 16 | 1293 | 3348 |
| 17 | 0.2 | i | 0.2 | 2 × 3, 4.6 × 6.9 | 6, 15.87 | 1945 | 5824 |
| No. | Aperture Shape | Peak Temp./°C | Min. Temp./°C | FPL 1/mm | Current Path Length/mm | Conductive Area Fraction | Simulated Resistance/mΩ |
|---|---|---|---|---|---|---|---|
| 1 | Diamond | 343.0 | 25.43 | 2.000 | 3.605 | 20.30% | 217.5 |
| 5 | Square | 322.2 | 24.33 | 2.449 | 3.964 | 19.61% | 189.6 |
| 7 | Hexagon | 306.4 | 24.02 | 1.862 | 3.225 | 18.48% | 172.1 |
| 8 | Hexagon | 285.7 | 23.56 | 2.150 | 3.225 | 18.48% | 159.8 |
| 4 | Diamond | 270.6 | 22.43 | 3.000 | 3.605 | 20.30% | 133.1 |
| 6 | Square | 260.3 | 21.95 | 1.732 | 1.732 | 19.61% | 126.7 |
| 9 | Circular | 178.6 | 20.93 | 1.954 | 3.070 | 25.38% | 79.42 |
| 10 | Circular | 163.4 | 20.84 | 1.954 | 3.070 | 35.37% | 74.67 |
| No. | SS Mesh Thickness/mm | Peak Temp. at P1/°C | Peak Temp. at P2/°C | Duration > 150 °C at P1/s | Duration > 220 °C at P1/s | Duration > 150 °C at P2/s | Duration > 220 °C at P2/s | Max. Lap-Shear Force/kN |
|---|---|---|---|---|---|---|---|---|
| 1 | 0.2 | 243 | 284 | 39 | 20 | 65 | 37 | 8.713 |
| 2 | 0.25 | 186 | 230 | 35 | 0 | 60 | 9 | 2.383 |
| 3 | 0.3 | 144 | 183 | 0 | 0 | 35 | 0 | 0 |
| No. | Welding Current /A | Welding Time /s | Holding Time /s | Welding Pressure /MPa | Average Lap Shear Force /kN |
|---|---|---|---|---|---|
| 1 | 18 | 40 | 40 | 0.3 | 8.264 |
| 2 | 18 | 35 | 40 | 0.3 | 9.415 |
| 3 | 18 | 37 | 40 | 0.3 | 8.159 |
| 4 | 18 | 33 | 40 | 0.3 | 6.443 |
| 5 | 16 | 35 | 40 | 0.3 | 8.447 |
| 6 | 15 | 35 | 40 | 0.3 | 9.438 |
| 7 | 14 | 35 | 40 | 0.3 | 8.936 |
| 8 | 15 | 42 | 40 | 0.3 | 7.463 |
| 9 | 14 | 40 | 40 | 0.3 | 9.851 |
Disclaimer/Publisher’s Note: The statements, opinions and data contained in all publications are solely those of the individual author(s) and contributor(s) and not of MDPI and/or the editor(s). MDPI and/or the editor(s) disclaim responsibility for any injury to people or property resulting from any ideas, methods, instructions or products referred to in the content. |
© 2025 by the authors. Licensee MDPI, Basel, Switzerland. This article is an open access article distributed under the terms and conditions of the Creative Commons Attribution (CC BY) license (https://creativecommons.org/licenses/by/4.0/).
Share and Cite
Geng, Z.; Wang, S.; Li, Y.; Ao, S.; Li, Y. Effect of Stainless Steel Mesh Structural Parameters on the Temperature Field and Joint Tensile-Shear Performance in CF/PC Resistance Welding. Polymers 2025, 17, 2899. https://doi.org/10.3390/polym17212899
Geng Z, Wang S, Li Y, Ao S, Li Y. Effect of Stainless Steel Mesh Structural Parameters on the Temperature Field and Joint Tensile-Shear Performance in CF/PC Resistance Welding. Polymers. 2025; 17(21):2899. https://doi.org/10.3390/polym17212899
Chicago/Turabian StyleGeng, Zhanyi, Shiyuan Wang, Yiwen Li, Sansan Ao, and Yang Li. 2025. "Effect of Stainless Steel Mesh Structural Parameters on the Temperature Field and Joint Tensile-Shear Performance in CF/PC Resistance Welding" Polymers 17, no. 21: 2899. https://doi.org/10.3390/polym17212899
APA StyleGeng, Z., Wang, S., Li, Y., Ao, S., & Li, Y. (2025). Effect of Stainless Steel Mesh Structural Parameters on the Temperature Field and Joint Tensile-Shear Performance in CF/PC Resistance Welding. Polymers, 17(21), 2899. https://doi.org/10.3390/polym17212899

