Industrial Vegetable Oils: A Green Alternative for Enhancing Rubber Properties
Abstract
1. Introduction
2. Materials and Methods
2.1. Materials
2.2. Rubber Mixing Process
2.3. Properties of Extender (Hempseed) Oil
2.4. Properties of Rubber
2.5. Determination of Power Consumption
2.6. Statistical Analysis
2.7. Artificial Neural Networks
- -
- Fraction of extender oil in rubber mixture (phr);
- -
- Kinematic viscosity at 90 °C (mm2/s);
- -
- Surface tension at 90 °C (mN/m);
- -
- Relative density at 90 °C;
- -
- Mean molecular weight, kg/kmo;
- -
- Refractive index;
- -
- Hansen solubility parameter;
- -
- Iodine number.
3. Results and Discussion
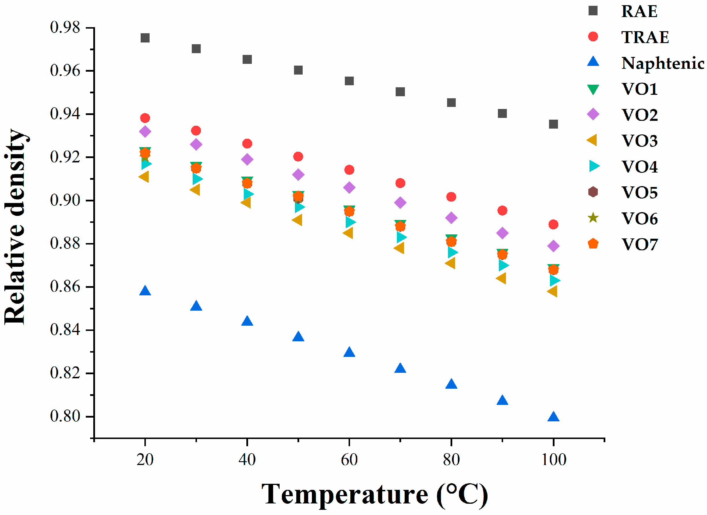
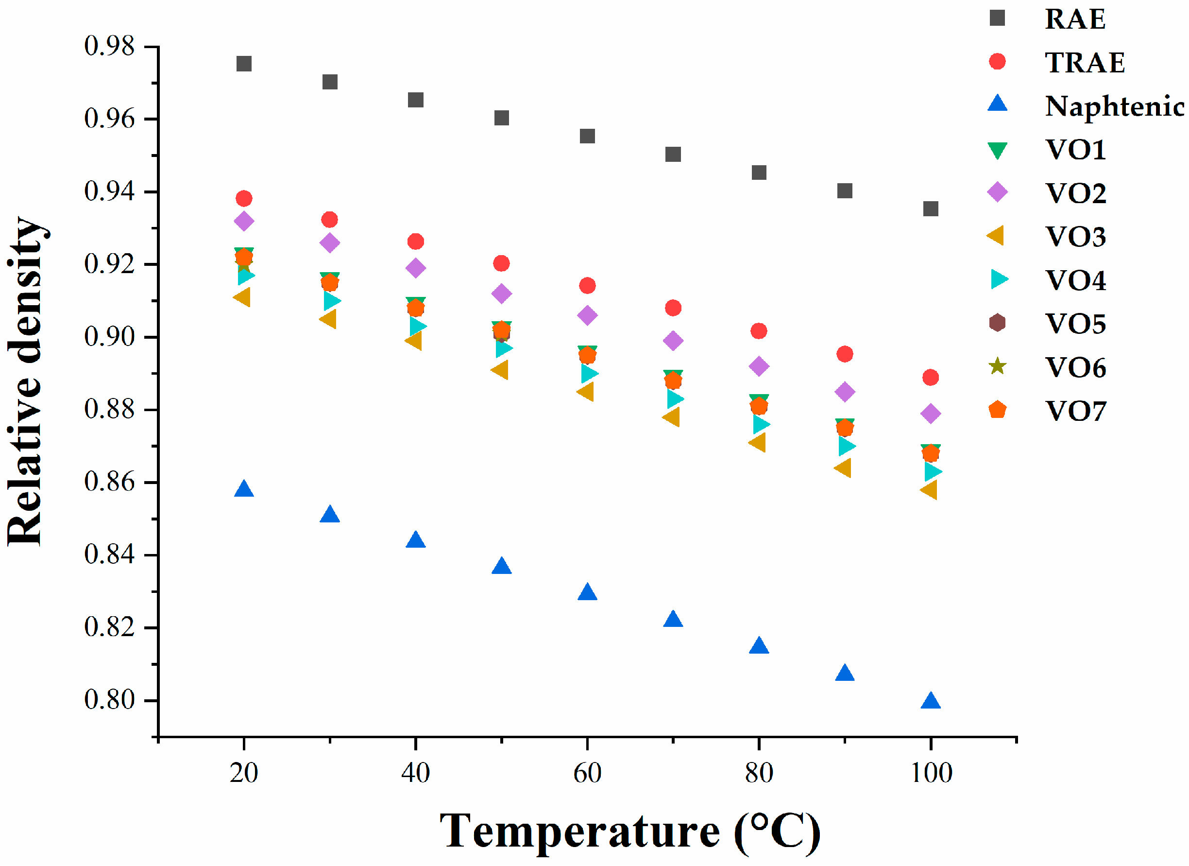
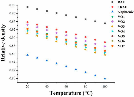
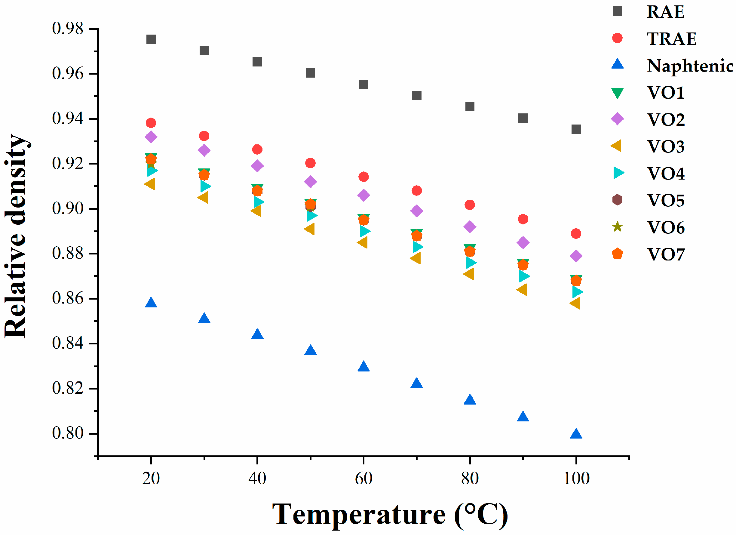
3.1. Rubber Process Oil Properties
3.2. Effect of Oil Content and Nature on Rubber Properties
3.3. Neural Networks and Global Sensitivity Analysis
3.3.1. Cure Rate Index
3.3.2. Hardness
3.3.3. Power Consumption
4. Conclusions
- Hempseed oil is an effective and environmentally friendly extender oil that enhances processability and produces softer natural rubber vulcanizates when compared to traditional mineral and vegetable oils.
- Compounds that contain vegetable extender oils require less mixing power than those made with mineral oils. This indicates improved filler dispersion and reduced compound viscosity.
- A global sensitivity analysis identified several key physico-chemical factors, such as oil content, surface tension, the Hansen solubility parameter, mean molecular weight, and iodine number, as the most influential predictors of the cure rate index, Shore A hardness, and power consumption during mixing.
- Ensembles of Multilayer Perceptron neural networks are capable of accurately predicting the cure rate index, Shore A hardness, and mixing power. They also provide actionable three-dimensional response surfaces that can guide formulation decisions.
5. Limitations and Future Work
Author Contributions
Funding
Institutional Review Board Statement
Data Availability Statement
Acknowledgments
Conflicts of Interest
References
- El-Sabbagh, S.H.; Yehia, A.A. Detection of crosslink density by different methods for natural rubber blended with SBR and NBR. Egypt. J. Solids 2007, 30, 157–173. [Google Scholar] [CrossRef]
- Dasgupta, S.; Agrawal, S.L.; Bandyopadhyay, S.; Chakraborty, S.; Mukhopadhyay, R.; Malkani, R.K.; Ameta, S.C. Characterisation of eco-friendly processing aids for rubber compound: Part II. Polym. Test. 2008, 27, 277–283. [Google Scholar] [CrossRef]
- Öter, M.; Karaagaç, B.; Deniz, V. Substitution of aromatic processing oils in rubber compounds. Kautsch. Gummi Kunstst. 2011, 64, 48–51. [Google Scholar]
- Kuta, A.; Hrdlička, Z.; Voldánová, J.; Brejcha, J.; Pokorný, J.; Plitz, J. Dynamic mechanical properties of rubbers with standard oils and oils with low content of polycyclic aromatic hydrocarbons. Kautsch. Gummi Kunstst. 2010, 63, 120–122. [Google Scholar]
- Tanrattanakul, V.; Petchkaew, A. Mechanical properties and blend compatibility of natural rubber-Chlorosulfonated polyethylene blends. J. Appl. Polym. Sci. 2006, 99, 127–140. [Google Scholar] [CrossRef]
- Petchkaew, A.; Sahakaro, K.; Noordermeer, J.W.M. Petroleum-based safe process oils in NR, SBR and their blends: Study on unfilled compounds. Part I. Oil characteristics and solubility aspects. Kautsch. Gummi Kunstst. 2013, 4, 43–47. [Google Scholar]
- Dasgupta, S.; Agrawal, S.L.; Bandyopadhyay, S.; Chakraborty, S.; Mukhopadhyay, R.; Malkani, R.K.; Ameta, S.C. Characterization of eco-friendly processing aids for rubber compound. Polym. Test. 2007, 26, 489–500. [Google Scholar] [CrossRef]
- Petchkaew, A. Implications of Non-Carcinogenic PAH-Free Extender Oils in Natural Rubber Based Tire Compounds. Ph.D. Thesis, University of Twente, Enschede, The Netherlands, Prince of Songkla University, Pattani Campus, Rusamilae, Thailand, 2015. [Google Scholar]
- Chandrasekara, G.; Mahanama, M.K.; Edirisinghe, D.G.; Karunanayake, L. Epoxidized vegetable oils as processing aids and activators in carbon-black filled natural rubber compounds. J. Natl. Sci. Found. Sri Lanka 2011, 39, 243–250. [Google Scholar] [CrossRef]
- Sovtić, N.; Kojic, P.; Bera, O.; Pavličević, J.; Govedarica, O.; Jovičić, M.; Govedarica, D. A review of environmentally friendly rubber production using different vegetable oils. Polym. Eng. Sci. 2020, 60, 1097–1117. [Google Scholar] [CrossRef]
- Petrović, Z.S.; Ionescu, M.; Milić, J.; Halladay, J.R. Soybean Oil Plasticizers As Replacement of Petroleum Oil in Rubber. Rubber Chem. Technol. 2013, 86, 233–249. [Google Scholar] [CrossRef]
- Jayewardhana, W.G.D.; Perera, G.M.; Edirisinghe, D.G.; Karunanayake, L. Study on natural oils as alternative processing aids and activators in carbon black filled natural rubber. J. Natl. Sci. Found. Sri Lanka 2009, 37, 187–193. [Google Scholar] [CrossRef]
- Li, J.; Isayev, A.I.; Wang, Q.; Soucek, M.D. Sustainable plasticizer for butyl rubber cured by phenolic resin. J. Appl. Polym. Sci. 2018, 135, 45500. [Google Scholar] [CrossRef]
- Xu, H.; Fan, T.; Ye, N.; Wu, W.; Huang, D.; Wang, D.; Wang, Z.; Zhang, L. Plasticization effect of bio-based plasticizers from soybean oil for tire tread rubber. Polymers 2020, 12, 623. [Google Scholar] [CrossRef]
- Hayichelaeh, C.; Boonkerd, K. Enhancement of the properties of carbon-black-filled natural rubber compounds containing soybean oil cured with peroxide through the addition of coagents. Ind. Crops Prod. 2022, 187, 115306. [Google Scholar] [CrossRef]
- Sivaselvi, K.; Varma, V.S.; Harikumar, A.; Jayaprakash, A.; Sankar, S.; Krishna, C.Y.; Gopal, K. Improving the mechanical properties of natural rubber composite with carbon black (N220) as filler. Mater. Today Proc. 2021, 42, 921–925. [Google Scholar] [CrossRef]
- Lovison, V.M.H.; de Freitas, M.A.; Forte, M.M.D.C. Chemically modified soybean oils as plasticizers for silica-filled e-SBR/Br compounds for tire tread applications. J. Elastomers Plast. 2021, 53, 806–824. [Google Scholar] [CrossRef]
- Scarton, C.T.; Guerra, N.B.; Giovanela, M.; Moresco, S.; Crespo, J.D.S. Evaluation of natural and epoxidized vegetable oil in elastomeric compositions for tread rubber. J. Elastomers Plast. 2022, 54, 264–278. [Google Scholar] [CrossRef]
- Roy, K.; Poompiew, N.; Pongwisuthiruchte, A.; Potiyaraj, P. Application of different vegetable oils as processing aids in industrial rubber composites: A sustainable approach. ACS Omega 2021, 6, 31384–31389. [Google Scholar] [CrossRef] [PubMed]
- Khalaf, A.I.; Ward, A.A.; Abd El-Kader, A.E.; El-Sabbagh, S.H. Effect of selected vegetable oils on the properties of acrylonitrile-butadiene rubber vulcanizates. Polimery 2015, 60, 43–56. [Google Scholar] [CrossRef]
- Rahman, M.M.; Oßwald, K.; Reincke, K.; Langer, B. Influence of bio-based plasticizers on the properties of NBR materials. Materials 2020, 13, 2095. [Google Scholar] [CrossRef]
- Sarma, A.D.; Federico, C.E.; Staropoli, M.; Nzulu, F.; Weydert, M.; Verge, P.; Schmidt, D.F. Properties of silica-filled rubber compounds vs. epoxidized oil content and degree of epoxidation. Ind. Crop. Prod. 2021, 168, 113600. [Google Scholar] [CrossRef]
- Karmakar, G.; Ghosh, P.; Sharma, B.K. Chemically modifying vegetable oils to prepare green lubricants. Lubricants 2017, 5, 44. [Google Scholar] [CrossRef]
- Quinchia, L.A.; Delgado, M.A.; Reddyhoff, T.; Gallegos, C.; Spikes, H.A. Tribological studies of potential vegetable oil-based lubricants containing environmentally friendly viscosity modifiers. Tribol. Int. 2014, 69, 110–117. [Google Scholar] [CrossRef]
- Rapa, M.; Ciano, S.; Rocchi, A.; D’Ascenzo, F.; Ruggieri, R.; Vinci, G. Hempseed oil quality parameters: Optimization of sustainable methods by miniaturization. Sustainability 2019, 11, 3104. [Google Scholar] [CrossRef]
- Zanetti, F.; Monti, A.; Berti, M.T. Challenges and opportunities for new industrial oilseed crops in EU-27: A review. Ind. Crops Prod. 2013, 50, 580–595. [Google Scholar] [CrossRef]
- Su, M.; Yang, R.; Li, M. Biodiesel production from hempseed oil using alkaline earth metal oxides supporting copper oxide as bi-functional catalysts for transesterification and selective hydrogenation. Fuel 2013, 103, 398–407. [Google Scholar] [CrossRef]
- Gupta, A.R.; Jalan, A.P.; Rathod, V.K. Solar energy as a process intensification tool for the biodiesel production from hempseed oil. Energy Convers. Manag. 2018, 171, 126–132. [Google Scholar] [CrossRef]
- Naebpetch, W.; Thumrat, S.; Indriasari; Nakaramontri, Y.; Sattayanurak, S. Effect of Glycerol as Processing Oil in Natural Rubber/Carbon Black Composites: Processing, Mechanical, and Thermal Aging Properties. Polymers 2023, 15, 3599. [Google Scholar] [CrossRef] [PubMed]
- Boonrasri, S.; Thipchai, P.; Sae-Oui, P.; Thanakkasaranee, S.; Jantanasakulwong, K.; Rachtanapun, P. Property Improvements of Silica-Filled Styrene Butadiene Rubber/Butadiene Rubber Blend Incorporated with Fatty-Acid-Containing Palm Oil. Polymers 2023, 15, 3429. [Google Scholar] [CrossRef]
- Faillace, E.; Brunini-Bronzini de Caraffa, V.; Mariani, M.; Berti, L.; Maury, J.; Vincenti, S. Optimizing the First Step of the Biocatalytic Process for Green Leaf Volatiles Production: Lipase-Catalyzed Hydrolysis of Three Vegetable Oils. Int. J. Mol. Sci. 2023, 24, 12274. [Google Scholar] [CrossRef]
- Liu, G.; Wang, H.; Ren, T.; Chen, Y.; Liu, S. Systematic Investigation of the Degradation Properties of Nitrile-Butadiene Rubber/Polyamide Elastomer/Single-Walled Carbon Nanotube Composites in Thermo-Oxidative and Hot Oil Environments. Polymers 2024, 16, 226. [Google Scholar] [CrossRef]
- Nafees, A.; Hashmi, S.; Ahmed, R. Investigating the Effect of Nano-Crystalline Cellulose in Nitrile Butadiene Rubber Matrix for Improved Thermo-Mechanical Properties. Processes 2024, 12, 2350. [Google Scholar] [CrossRef]
- Wang, B.; Ma, J.H.; Wu, Y.P. Application of artificial neural network in prediction of abrasion of rubber composites. Mater. Des. 2013, 49, 802–807. [Google Scholar] [CrossRef]
- Kopal, I.; Labaj, I.; Vršková, J.; Harničárová, M.; Valíček, J.; Bakošová, A.; Tozan, H.; Khanna, A. Predictive Modelling and Optimisation of Rubber Blend Mixing Using a General Regression Neural Network. Polymers 2025, 17, 1868. [Google Scholar] [CrossRef]
- Lukas, M.; Leineweber, S.; Reitz, B.; Overmeyer, L.; Aschemann, A.; Klie, B.; Giese, U. Minimising Temperature Deviations in Rubber Mixing Process by Using Artificial Neural Networks. Rubber Chem. Technol. 2024, 97, 371–379. [Google Scholar] [CrossRef]
- Ghaffarian, N.; Hamedi, M. Optimization of rubber compound design process using artificial neural network and genetic algorithm. Int. J. Eng. Trans. B Appl. 2020, 33, 2319–2326. [Google Scholar]
- Karaağaç, B.; İnal, M.; Deniz, V. Artificial neural network approach for predicting optimum cure time of rubber compounds. Mater. Des. 2009, 30, 1685–1690. [Google Scholar] [CrossRef]
- D2270-10; Standard Practice for Calculating Viscosity Index from Kinematic Viscosity at 40 and 100 °C. ASTM International: West Conshohocken, PA, USA, 2011.
- D2501-14; Standard Test Method for calculation of Viscosity-Gravity Constant (VGC) of Petroleum Oils. ASTM International: West Conshohocken, PA, USA, 2014.
- D2502-14; Standard Test Method for Estimation of Mean Relative Molecular Mass of Petroleum Oils from Viscosity Measurements. ASTM International: West Conshohocken, PA, USA, 2014.
- Hansen, C.M. Hansen Solubility Parameters: A User’s Handbook, 2nd ed.; CRC Press: Boca Raton, FL, USA, 2007; pp. 203–230. [Google Scholar]
- Cataldo, F.; Ursini, O.; Angelini, G. Biodiesel as a Plasticizer of a SBR-Based Tire Tread Formulation. International Scholarly Research Notices. ISRN Polym. Sci. 2013, 2013, 340426. [Google Scholar] [CrossRef]
- ISO 7619-1:2010; Rubber, vulcanized or thermoplastic—Determination of indentation hardness—Part 1: Durometer method (Shore hardness). ISO: Geneva, Switzerland, 2010.
- D412-06a; Standard Test Methods for Vulcanized Rubber and Thermoplastic Elastomers—Tension. ASTM International: West Conshohocken, PA, USA, 2006.
- Shiva, M.; Atashi, H.; Hassanpourfard, M. Studying the abrasion behavior of rubbery materials with combined design of experiment-artificial neural network. Chinese Journal of Polymer Science, Chin. J. Polym. Sci. (Engl. Ed.) 2012, 30, 520–529. [Google Scholar] [CrossRef]
- Gao, F.; Birch, J. Oxidative stability, thermal decomposition, and oxidation onset prediction of carrot, flax, hemp, and canola seed oils in relation to oil composition and positional distribution of fatty acids. Eur. J. Lipid Sci. Technol. 2016, 118, 1042–1052. [Google Scholar] [CrossRef]
- EN ISO 12966-2:2017; Animal and vegetable fats and oils—Gas chromatography of fatty acid methyl esters—Part 2: Preparation of methyl esters of fatty acids. CEN: Brussels, Belgium, 2017.
- Siol, M.; Chołuj, N.; Mańko-Jurkowska, D.; Bryś, J. Assessment of the Stability and Nutritional Quality of Hemp Oil and Pumpkin Seed Oil Blends. Foods 2024, 13, 3813. [Google Scholar] [CrossRef] [PubMed]
- Hayichelaeh, C.; Nun-Anan, P.; Purbaya, M.; Boonkerd, K. Unfilled natural rubber compounds containing bio-oil cured with different curing systems: A comparative study. Polymers 2022, 14, 2479. [Google Scholar] [CrossRef] [PubMed]
- He, C.; Chen, C.; Zhang, G.; Bai, T.; Ji, Y.; Pei, D.; Wang, W. Influence of environmentally friendly curing system on properties of railway rubber pad. J. Appl. Polym. Sci. 2024, 141, e55306. [Google Scholar] [CrossRef]
- Arti, D.K.; Donwang, W. Influence of Processing Oil Content on Rubber-Filler Interactions in Silica/Carbon Black-Filled Natural Rubber Compounding. In E3S Web of Conferences; EDP Sciences, 2024; Volume 481, p. 06007. [Google Scholar]
- Style, R.W.; Jagota, A.; Hui, C.Y.; Dufresne, E.R. Elastocapillarity: Surface tension and the mechanics of soft solids. Annu. Rev. Condens. Matter Phys. 2017, 8, 99–118. [Google Scholar] [CrossRef]
- Meffo Kemda, M.; Marchi, M.; Neri, E.; Marchettini, N.; Niccolucci, V. Environmental impact assessment of hemp cultivation and its seed-based food products. Front. Environ. Sci. 2024, 12, 1342330. [Google Scholar] [CrossRef]
- Mistry, M.; Turumella, S.; Prajapati, V.; Dholakiya, B.Z. Harnessing hemp seed oil for a circular bioeconomy: A data-driven exploration of sustainable applications for next-generation industries. Bioresour. Technol. Rep. 2025, 102126. [Google Scholar] [CrossRef]
- Ingrao, C.; Giudice, A.L.; Bacenetti, J.; Tricase, C.; Dotelli, G.; Fiala, M.; Siracusa, V.; Mbohwa, C. Energy and environmental assessment of industrial hemp for building applications: A review. Renew. Sustain. Energy Rev. 2015, 51, 29–42. [Google Scholar] [CrossRef]




















| Ingredient | Function | Amount (phr) | |||
|---|---|---|---|---|---|
| NR | Matrix | 100 | 100 | 100 | 100 |
| Extender oil | Processing aid/plasticizer | 0 | 10 | 20 | 30 |
| ZnO | Activator | 5 | 5 | 5 | 5 |
| Stearic acid | Activator/ dispersing aid | 2 | 2 | 2 | 2 |
| Carbon black | Reinforcing filler | 30 | 30 | 30 | 30 |
| IPPD * | Antioxidant | 1 | 1 | 1 | 1 |
| CBS * | Accelerator | 2 | 2 | 2 | 2 |
| Sulfur | Curing agent | 2.5 | 2.5 | 2.5 | 2.5 |
| Vegetable Oils | Mineral Oils | ||||||||
|---|---|---|---|---|---|---|---|---|---|
| VO1 | VO2 | VO3 | VO4 | VO5 | VO6 | VO7 | RAE | TRAE | Naphthenic |
| Hempseed | Linseed | Raw rapeseed | Raw sunflower | Raw soybean | Degummed rapeseed | Refined sunflower | Residual aromatic extract | Treated aromatic extract | Naphthenic |
| VO1 | VO2 | VO3 | VO4 | VO5 | VO6 | VO7 | |
|---|---|---|---|---|---|---|---|
| Relative density at 90 °C | 0.87607 | 0.88550 | 0.86450 | 0.86970 | 0.87465 | 0.87467 | 0.87470 |
| Kinematic viscosity at 90 °C, mm2/s | 9.2422 | 8.8863 | 9.0119 | 9.9224 | 8.7658 | 10.4536 | 9.1206 |
| VI | 186.95 | 249 | 231 | 228 | 242 | 214 | 245 |
| VGC | 0.88825 | 0.901 | 0.872 | 0.881 | 0.887 | 0.882 | 0.886 |
| Refraction index at 20 °C | 1.4765 | 1.4802 | 1.4719 | 1.4735 | 1.4746 | 1.4715 | 1.4732 |
| Iodine number (g of iodine/100 g of oil) | 143.9 | 194.41 | 113.88 | 121.65 | 119.77 | 113.39 | 120.75 |
| Mean molecular weight, kg/kmol | 882.81 | 874.22 | 881.40 | 879.02 | 876.27 | 882.10 | 879.11 |
| Surface tension, mN/m | 28.56 | 28.64 | 25.81 | 26.80 | 27.20 | 25.72 | 26.54 |
| Composition | VO1 |
|---|---|
| Palmitic acid (C16:0), % | 8.51 |
| Stearic acid (C18:0), % | 3.44 |
| Oleic acid (C18:1), % | 17.10 |
| Linoleic acid (C18:2), % | 51.18 |
| γ-Linolenic acid (C18:3n6), % | 3.18 |
| α-linolenic (C18:3n3), % | 13.30 |
| Other fatty acids, % | 3.29 |
| Extender Oil | δmixture (MPa1/2) | |Δδ| = |δNR − δmixture| |
|---|---|---|
| VO1 | 16.8184 | 0.1184 |
| VO2 | 16.731 | 0.0310 |
| VO3 | 16.865 | 0.1650 |
| VO4 | 16.869 | 0.1690 |
| VO5 | 16.850 | 0.1500 |
| VO6 | 16.850 | 0.1500 |
| VO7 | 16.869 | 0.1690 |
| RAE | 15.716 | 0.9840 |
| TRAE | 15.803 | 0.8966 |
| Naphthenic | 15.028 | 1.6723 |
| Mechanical or Rheological Property | Standard Deviation | First Quartile | Median | Third Quartile | Mean Value |
|---|---|---|---|---|---|
| Hardness (Shore A) | ±4.105 | 45.500 | 50.300 | 53.500 | 49.143 |
| Vc (1/min) | ±9.54 | 49.99 | 55.75 | 65.53 | 57.19 |
| Ts (MPa) | ±3.303 | 13.289 | 17.060 | 19.820 | 16.520 |
| Eb (%) | ±32.91 | 464.15 | 479.03 | 490.00 | 480.90 |
| M100 (MPa) | ±0.2900 | 1.3348 | 1.6700 | 1.9176 | 1.6417 |
| M300 (MPa) | ±2.008 | 5.715 | 7.705 | 9.058 | 7.514 |
| Power consumption (kW) | ±0.002532 | 0.028550 | 0.031317 | 0.033735 | 0.031255 |
| Index | Network Name | Training Performance | Test Performance | Validation Performance | Training Algorithm | Hidden Activation | Output Activation |
|---|---|---|---|---|---|---|---|
| NN1 | MLP 8-10-1 | 0.822928 | 0.999747 | 0.994468 | BFGS 2 | Logistic | Exponential |
| NN2 | MLP 8-7-1 | 0.788813 | 0.991634 | 0.992451 | BFGS 5 | Exponential | Logistic |
| NN3 | MLP 8-12-1 | 0.869379 | 0.990547 | 0.997150 | BFGS 3 | Exponential | Identity |
| NN4 | MLP 8-9-1 | 0.802732 | 0.973328 | 0.999599 | BFGS 6 | Exponential | Logistic |
| NN5 | MLP 8-8-1 | 0.863681 | 0.991025 | 0.999875 | BFGS 4 | Tanh | Logistic |
| Index | Network Name | Training Performance | Test Performance | Validation Performance | Training Algorithm | Hidden Activation | Output Activation |
|---|---|---|---|---|---|---|---|
| NN1 | MLP 8-5-1 | 0.988800 | 0.997974 | 0.999990 | BFGS 27 | Tanh | Exponential |
| NN2 | MLP 8-5-1 | 0.990519 | 0.997300 | 0.999999 | BFGS 17 | Tanh | Tanh |
| NN3 | MLP 8-7-1 | 0.987565 | 0.996226 | 0.999997 | BFGS 33 | Logistic | Logistic |
| NN4 | MLP 8-5-1 | 0.989657 | 0.994869 | 0.999993 | BFGS 16 | Tanh | Logistic |
| NN5 | MLP 8-4-1 | 0.989811 | 0.995998 | 0.999997 | BFGS 27 | Logistic | Exponential |
| Index | Network Name | Training Performance | Test Performance | Validation Performance | Training Algorithm | Hidden Activation | Output Activation |
|---|---|---|---|---|---|---|---|
| NN1 | MLP 8-9-1 | 0.966634 | 0.999264 | 0.999999 | BFGS 4 | Exponential | Tanh |
| NN2 | MLP 8-9-1 | 0.999999 | 0.999351 | 1.000000 | BFGS 1001 | Exponential | Exponential |
| NN3 | MLP 8-4-1 | 0.977186 | 0.998968 | 0.999998 | BFGS 7 | Logistic | Logistic |
| NN4 | MLP 8-8-1 | 0.999985 | 0.999904 | 1.000000 | BFGS 74 | Exponential | Identity |
| NN5 | MLP 8-9-1 | 0.999999 | 0.999091 | 0.999999 | BFGS 2703 | Exponential | Exponential |
| R2 | R2 Adjusted | R2 Predicted | Standard Deviation | |
|---|---|---|---|---|
| Vc (1/min) | 0.8464 | 0.7637 | 0.6127 | 4.63744 |
| Hardness (Shore A) | 0.9743 | 0.9605 | 0.9318 | 0.815879 |
| Power consumption (kW) | 0.9938 | 0.9905 | 0.9832 | 0.0002472 |
Disclaimer/Publisher’s Note: The statements, opinions and data contained in all publications are solely those of the individual author(s) and contributor(s) and not of MDPI and/or the editor(s). MDPI and/or the editor(s) disclaim responsibility for any injury to people or property resulting from any ideas, methods, instructions or products referred to in the content. |
© 2025 by the authors. Licensee MDPI, Basel, Switzerland. This article is an open access article distributed under the terms and conditions of the Creative Commons Attribution (CC BY) license (https://creativecommons.org/licenses/by/4.0/).
Share and Cite
Žeravica, J.; Govedarica, O.; Jovičić, M.; Stojanov, S.; Govedarica, D. Industrial Vegetable Oils: A Green Alternative for Enhancing Rubber Properties. Polymers 2025, 17, 2898. https://doi.org/10.3390/polym17212898
Žeravica J, Govedarica O, Jovičić M, Stojanov S, Govedarica D. Industrial Vegetable Oils: A Green Alternative for Enhancing Rubber Properties. Polymers. 2025; 17(21):2898. https://doi.org/10.3390/polym17212898
Chicago/Turabian StyleŽeravica, Julijana, Olga Govedarica, Mirjana Jovičić, Sonja Stojanov, and Dragan Govedarica. 2025. "Industrial Vegetable Oils: A Green Alternative for Enhancing Rubber Properties" Polymers 17, no. 21: 2898. https://doi.org/10.3390/polym17212898
APA StyleŽeravica, J., Govedarica, O., Jovičić, M., Stojanov, S., & Govedarica, D. (2025). Industrial Vegetable Oils: A Green Alternative for Enhancing Rubber Properties. Polymers, 17(21), 2898. https://doi.org/10.3390/polym17212898

