Preparation of Bio-Based Polyurethane Coating from Citrullus colocynthis Seed Oil: Characterization and Corrosion Performance
Abstract
1. Introduction
2. Materials and Methods
2.1. Materials
2.2. Oil Extraction
2.3. Physicochemical Properties of the Extracted Oils
- ).
2.4. Epoxidation Process
2.5. Hydroxylation Process
2.6. PU Film Formulation and Casting
2.7. Characterization
2.7.1. Fatty Acid Composition
2.7.2. Spectroscopy Analysis
2.7.3. Thermal Analysis
2.7.4. Coating Tests
2.7.5. Electrochemical Impedance Spectroscopy (EIS) Test for Corrosion
3. Results and Discussion
3.1. Fatty Acid Compositions
3.2. Physicochemical Properties of the Extracted Oils
3.3. Spectroscopy Analysis
3.3.1. Fourier-Transform Infrared Spectroscopy (FT-IR)
3.3.2. 1H NMR Spectra
3.4. TGA and DSC Analysis
3.5. Coating Tests
3.5.1. Chemical Resistance
3.5.2. Physical Properties of Alkyd Coatings
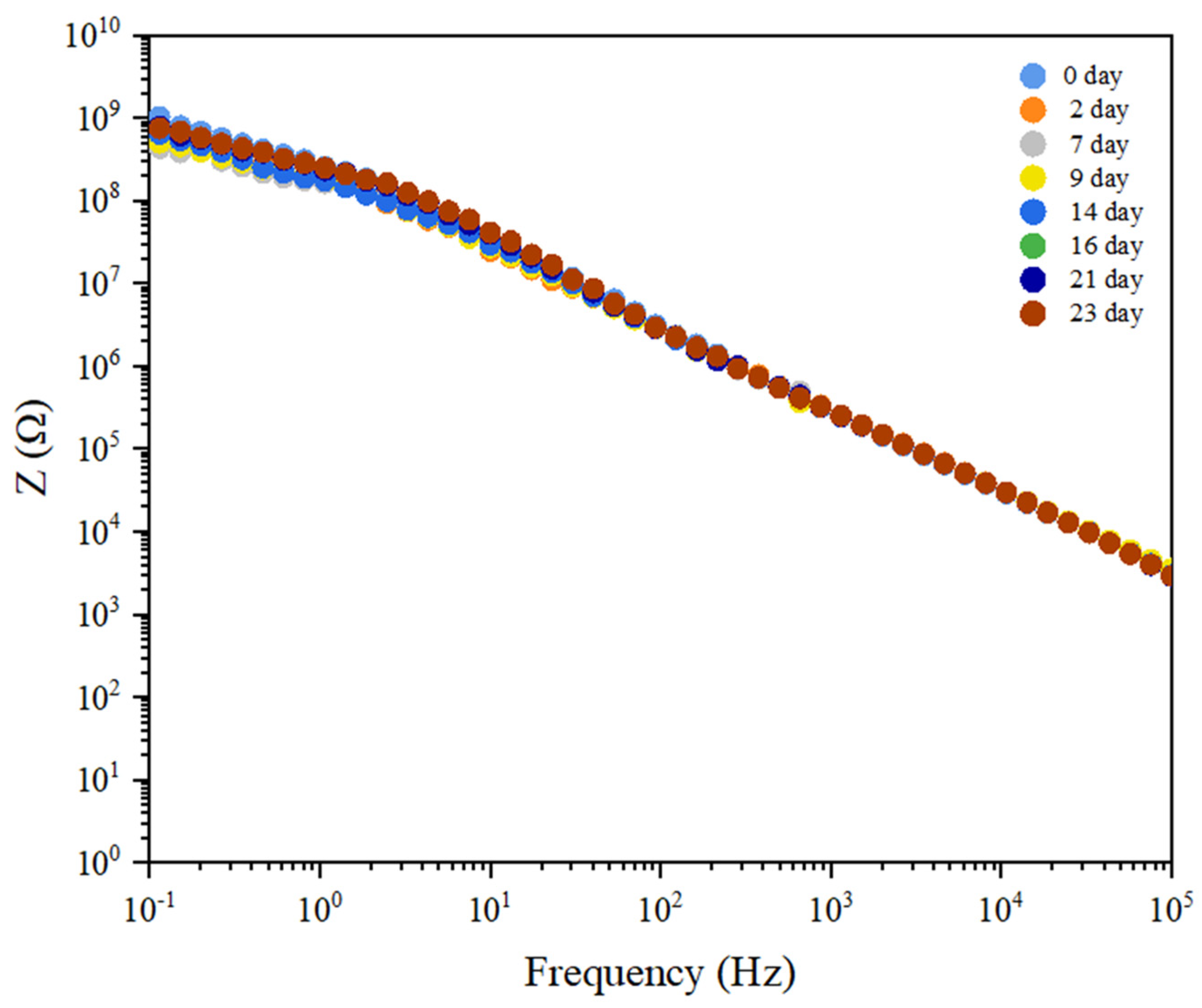
3.5.3. EIS Analysis
4. Conclusions
Author Contributions
Funding
Institutional Review Board Statement
Data Availability Statement
Acknowledgments
Conflicts of Interest
References
- Biermann, U.; Bornscheuer, U.; Meier, M.A.; Metzger, J.O.; Schäfer, H.J. Oils and fats as renewable raw materials in chemistry. Angew. Chem. Int. Ed. 2011, 50, 3854–3871. [Google Scholar] [CrossRef]
- Corma Canos, A.; Iborra, S.; Velty, A. Chemical routes for the transformation of biomass into chemicals. Chem. Rev. 2007, 107, 2411–2502. [Google Scholar] [CrossRef] [PubMed]
- Pfister, D.P.; Xia, Y.; Larock, R.C. Recent advances in vegetable oil-based polyurethanes. ChemSusChem 2011, 4, 703–717. [Google Scholar] [CrossRef]
- Sbihi, H.M.; Shaikh, H.; El Blidi, L.; Nehdi, I.A.; Samad, U.A.; Romdhani-Younes, M.; Al-Resayes, S.I. Preparation and characterization of alkyd resins based on citrullus colocynthis seed oil. J. Renew. Mater. 2018, 6, 651–661. [Google Scholar]
- Nehdi, I.A.; Sbihi, H.; Tan, C.P.; Al-Resayes, S.I. Evaluation and characterisation of Citrullus colocynthis (L.) Schrad seed oil: Comparison with Helianthus annuus (sunflower) seed oil. Food Chem. 2013, 136, 348–353. [Google Scholar] [CrossRef]
- Petrović, Z.S. Polyurethanes from vegetable oils. Polym. Rev. 2008, 48, 109–155. [Google Scholar] [CrossRef]
- Vianello, C.; Piccolo, D.; Lorenzetti, A.; Salzano, E.; Maschio, G. Study of soybean oil epoxidation: Effects of sulfuric acid and the mixing program. Ind. Eng. Chem. Res. 2018, 57, 11517–11525. [Google Scholar] [CrossRef]
- Janković, M.R.; Govedarica, O.M.; Sinadinović-Fišer, S.V. The epoxidation of linseed oil with in situ formed peracetic acid: A model with included influence of the oil fatty acid composition. Ind. Crops Prod. 2020, 143, 111881. [Google Scholar] [CrossRef]
- Thomas, J.; Patil, R. Enabling green manufacture of polymer products via vegetable oil epoxides. Ind. Eng. Chem. Res. 2023, 62, 1725–1735. [Google Scholar] [CrossRef]
- Carbonell-Verdu, A.; Bernardi, L.; Garcia-Garcia, D.; Sanchez-Nacher, L.; Balart, R. Development of environmentally friendly composite matrices from epoxidized cottonseed oil. Eur. Polym. J. 2015, 63, 1–10. [Google Scholar] [CrossRef]
- Garcia-Garcia, D.; Carbonell-Verdu, A.; Arrieta, M.; López-Martínez, J.; Samper, M. Improvement of PLA film ductility by plasticization with epoxidized karanja oil. Polym. Degrad. Stab. 2020, 179, 109259. [Google Scholar] [CrossRef]
- Sahoo, S.K.; Khandelwal, V.; Manik, G. Development of completely bio-based epoxy networks derived from epoxidized linseed and castor oil cured with citric acid. Polym. Adv. Technol. 2018, 29, 2080–2090. [Google Scholar] [CrossRef]
- Su, Y.; Ma, S.; Wang, B.; Xu, X.; Feng, H.; Hu, K.; Zhang, W.; Zhou, S.; Weng, G.; Zhu, J. High-performance castor oil-based polyurethane thermosets: Facile synthesis and properties. React. Funct. Polym. 2023, 183, 105496. [Google Scholar] [CrossRef]
- Prociak, A.; Malewska, E.; Kurańska, M.; Bąk, S.; Budny, P. Flexible polyurethane foams synthesized with palm oil-based bio-polyols obtained with the use of different oxirane ring opener. Ind. Crops Prod. 2018, 115, 69–77. [Google Scholar] [CrossRef]
- Kirpluks, M.; Kalnbunde, D.; Walterova, Z.; Cabulis, U. Rapeseed oil as feedstock for high functionality polyol synthesis. J. Renew. Mater. 2017, 5, 258–270. [Google Scholar] [CrossRef]
- Dominguez-Candela, I.; Lerma-Canto, A.; Cardona, S.C.; Lora, J.; Fombuena, V. Physicochemical Characterization of Novel Epoxidized Vegetable Oil from Chia Seed Oil. Materials 2022, 15, 3250. [Google Scholar] [CrossRef] [PubMed]
- Kaikade, D.S.; Sabnis, A.S. Polyurethane foams from vegetable oil-based polyols: A review. Polym. Bull. 2023, 80, 2239–2261. [Google Scholar] [CrossRef] [PubMed]
- Qiao, C.; Jian, X.; Gao, Z.; Ban, Q.; Zhang, X.; Wang, H.; Zheng, Y. Tough polyurethane elastomers with high strength and rapid healing ability. Mater. Adv. 2023, 4, 1711–1719. [Google Scholar] [CrossRef]
- Tiwari, S.; Chhaunker, S.; Maiti, P. Bio-based polyurethane-graphene composites for adhesive application. SPE Polym. 2023, 4, 41–48. [Google Scholar] [CrossRef]
- Bhaskaran, S.K.; Boga, K.; Arukula, R.; Gaddam, S.K. Natural fibre reinforced vegetable-oil based polyurethane composites: A review. J. Polym. Res. 2023, 30, 325. [Google Scholar] [CrossRef]
- Sawpan, M.A. Polyurethanes from vegetable oils and applications: A review. J. Polym. Res. 2018, 25, 184. [Google Scholar] [CrossRef]
- Kaikade, D.S.; Sabnis, A.S. Recent Advances in Polyurethane Coatings and Adhesives Derived from Vegetable Oil-Based Polyols. J. Polym. Environ. 2023, 31, 4583–4605. [Google Scholar] [CrossRef]
- Paraskar, P.M.; Prabhudesai, M.S.; Hatkar, V.M.; Kulkarni, R.D. Vegetable oil based polyurethane coatings—A sustainable approach: A review. Prog. Org. Coat. 2021, 156, 106267. [Google Scholar] [CrossRef]
- Singh, P.; Rana, A.; Karak, N.; Kumar, I.; Rana, S.; Kumar, P. Sustainable smart anti-corrosion coating materials derived from vegetable oil derivatives: A review. RSC Adv. 2023, 13, 3910–3941. [Google Scholar] [CrossRef]
- Nielsen, S.S.; Qian, M.C.; Pike, O.A. Fat Characterization. In Food Analysis Laboratory Manual, 3rd ed.; Springer: Cham, Switzerland, 2017; pp. 185–194. [Google Scholar]
- Dinda, S.; Patwardhan, A.V.; Goud, V.V.; Pradhan, N.C. Epoxidation of cottonseed oil by aqueous hydrogen peroxide catalysed by liquid inorganic acids. Bioresour. Technol. 2008, 99, 3737–3744. [Google Scholar] [CrossRef]
- Musik, M.; Milchert, E.; Malarczyk-Matusiak, K. Technological parameters of epoxidation of sesame oil with performic acid. Pol. J. Chem. Technol. 2018, 20, 53–59. [Google Scholar] [CrossRef]
- Aerts, H.A.; Jacobs, P.A. Epoxide yield determination of oils and fatty acid methyl esters using 1H NMR. J. Am. Oil Chem. Soc. 2004, 81, 841–846. [Google Scholar] [CrossRef]
- Farias, M.; Martinelli, M.; Bottega, D.P. Epoxidation of soybean oil using a homogeneous catalytic system based on a molybdenum (VI) complex. Appl. Catal. A Gen. 2010, 384, 213–219. [Google Scholar] [CrossRef]
- Hazmi, A.S.A.; Aung, M.M.; Abdullah, L.C.; Salleh, M.Z.; Mahmood, M.H. Producing Jatropha oil-based polyol via epoxidation and ring opening. Ind. Crops Prod. 2013, 50, 563–567. [Google Scholar] [CrossRef]
- ASTM E222; Standard Test Methods for Hydroxyl Groups Using Acetic Anhydride Acetylation. ASTM International: West Conshohocken, PA, USA, 2023.
- ASTM D7253-16; Standard Test Method for Polyurethane Raw Materials: Determination of Acidity as Acid Number for Polyether Polyols. ASTM International: West Conshohocken, PA, USA,, 2022.
- Dai, H.; Yang, L.; Lin, B.; Wang, C.; Shi, G. Synthesis and characterization of the different soy-based polyols by ring opening of epoxidized soybean oil with methanol, 1, 2-ethanediol and 1, 2-propanediol. J. Am. Oil Chem. Soc. 2009, 86, 261–267. [Google Scholar] [CrossRef]
- ASTM D543-95(2001); Standard Practices For Evaluating The Resistance Of Plastics To Chemical Reagents. ASTM International: West Conshohocken, PA, USA, 2001.
- ASTM D523-14; Standard Test Method for Specular Gloss. ASTM International: West Conshohocken, PA, USA, 2014.
- Boruah, M.; Gogoi, P.; Adhikari, B.; Dolui, S.K. Preparation and characterization of Jatropha curcas oil based alkyd resin suitable for surface coating. Prog. Org. Coat. 2015, 74, 596–602. [Google Scholar] [CrossRef]
- ASTM D3363-05(2011); Standard Test Method for Film Hardness by Pencil Test. ASTM International: West Conshohocken, PA, USA, 2011.
- ASTM D3359-09; Standard Test Methods for Measuring Adhesion by Tape Test. ASTM International: West Conshohocken, PA, USA, 2009.
- ASTM D4366-14; Standard Test Methods for Hardness of Organic Coatings by Pendulum Damping Tests. ASTM International: West Conshohocken, PA, USA, 2014.
- Gonzalez-Garcia, Y.; Garcia, S.; Mol, J.M. Electrochemical techniques for the study of self healing coatings. In Active Protective Coatings: New-Generation Coatings for Metals; Springer: Dordrecht, The Netherland, 2016; pp. 203–240. [Google Scholar]
- Borowicz, M.; Paciorek-Sadowska, J.; Isbrandt, M. Synthesis and application of new bio-polyols based on mustard oil for the production of selected polyurethane materials. Ind. Crops Prod. 2020, 155, 112831. [Google Scholar] [CrossRef]
- Jena, K.K.; Chattopadhyay, D.; Raju, K. Synthesis and characterization of hyperbranched polyurethane–urea coatings. Eur. Polym. J. 2007, 43, 1825–1837. [Google Scholar] [CrossRef]
- Thakur, S.; Karak, N. Castor oil-based hyperbranched polyurethanes as advanced surface coating materials. Prog. Org. Coat. 2013, 76, 157–164. [Google Scholar] [CrossRef]
- Ibrahim, S.; Ahmad, A.; Mohamed, N.S. Characterization of novel castor oil-based polyurethane polymer electrolytes. Polymers 2015, 7, 747–759. [Google Scholar] [CrossRef]
- Dehonor Marquez, E.; Nieto Alarcon, J.F.; Vigueras Santiago, E.; Hernandez Lopez, S. Effective and fast epoxidation reaction of linseed oil using 50 wt.% hydrogen peroxyde. Am. J. Chem. 2018, 8, 99–106. [Google Scholar]










| Coating | CCSO-PU |
|---|---|
| Polyol (wt.%) | 47 |
| 3HDI (wt.%) | 33 |
| Solvent (wt.%) | 18 |
| BYK-333 (wt.%) | 2 |
| Fatty Acids | Compositions (%) |
|---|---|
| CCSO | |
| Saturated | 16.27 |
| Palmitic (C16:0) | 9.41 |
| Stearic (C18:0) | 6.86 |
| Total unsaturated | 83.21 |
| Monounsaturated | 14.59 |
| Oleic (C18:1Δ9) | 14.22 |
| Oleic (C18:1Δ11) | 0.37 |
| Polyunsaturated | 68.62 |
| Linoleic (C18:2) | 68.38 |
| Linolenic (C18:3) | 0.24 |
| Properties | CCSO |
|---|---|
| Color | Yellow |
| Oil yield (w/w) (%) | 17 |
| Acid value (mg KOH/g) | 0.97 |
| Iodine value (I2 g/100 g oil) | 131.61 |
| Saponification value (mg KOH/g) | 193.45 |
| Density (25 °C) (g/cm3) | 0.9035 |
| Kinematic viscosity (mm2/s) | - |
| Dyn. Viscosity mPa.s | 31.65 |
| Molecular weight (g/mol) | 873.68 |
| Coatings | CCSO-PU |
|---|---|
| Td5 (°C) | 322.7 |
| Td15 (°C) | 392.3 |
| Td30 (°C) | 431.7 |
| Td50 (°C) | 463.7 |
| Type of Coating | Tg (°C) | Chemical Resistance | |
|---|---|---|---|
| Acidic (10% HCl) | Basic (1% NaOH) | ||
| CCSO-PU | 10.2 | Excellent | Excellent |
| Coating | Persoz Hardness (osc.) | Gloss | Pencil Hardness | Cross-Hatch Adhesion | ||||
|---|---|---|---|---|---|---|---|---|
| 20° | 60° | 85° | Before | After | Before | After | ||
| CCSO-PU | 55 | 129 | 172 | 96.3 | HB | 4H | 0B | 5B |
Disclaimer/Publisher’s Note: The statements, opinions and data contained in all publications are solely those of the individual author(s) and contributor(s) and not of MDPI and/or the editor(s). MDPI and/or the editor(s) disclaim responsibility for any injury to people or property resulting from any ideas, methods, instructions or products referred to in the content. |
© 2024 by the authors. Licensee MDPI, Basel, Switzerland. This article is an open access article distributed under the terms and conditions of the Creative Commons Attribution (CC BY) license (https://creativecommons.org/licenses/by/4.0/).
Share and Cite
Alshabebi, A.S.; Alrashed, M.M.; El Blidi, L.; Haider, S. Preparation of Bio-Based Polyurethane Coating from Citrullus colocynthis Seed Oil: Characterization and Corrosion Performance. Polymers 2024, 16, 214. https://doi.org/10.3390/polym16020214
Alshabebi AS, Alrashed MM, El Blidi L, Haider S. Preparation of Bio-Based Polyurethane Coating from Citrullus colocynthis Seed Oil: Characterization and Corrosion Performance. Polymers. 2024; 16(2):214. https://doi.org/10.3390/polym16020214
Chicago/Turabian StyleAlshabebi, Ahmed S., Maher M. Alrashed, Lahssen El Blidi, and Sajjad Haider. 2024. "Preparation of Bio-Based Polyurethane Coating from Citrullus colocynthis Seed Oil: Characterization and Corrosion Performance" Polymers 16, no. 2: 214. https://doi.org/10.3390/polym16020214
APA StyleAlshabebi, A. S., Alrashed, M. M., El Blidi, L., & Haider, S. (2024). Preparation of Bio-Based Polyurethane Coating from Citrullus colocynthis Seed Oil: Characterization and Corrosion Performance. Polymers, 16(2), 214. https://doi.org/10.3390/polym16020214

