Generation of PVP Membranes Using Extracts/Phenolic Fraction of Dysphania ambrosioides, Opuntia ficus-indica, and Tradescantia pallida
Abstract
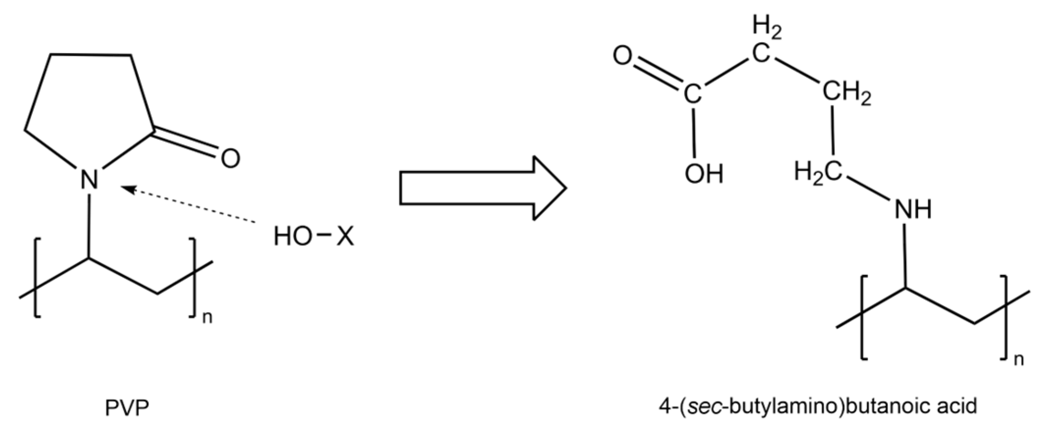
1. Introduction
2. Materials and Methods
2.1. Obtaining Biological Material
2.2. Obtaining the Extracts
2.3. Phenolic Fraction
2.4. Preparation of the Membranes
2.5. Characterization of Membranes
3. Results
3.1. Morphological Characterization of Membranes
3.2. Structural Characterization
4. Conclusions
Supplementary Materials
Author Contributions
Funding
Institutional Review Board Statement
Data Availability Statement
Conflicts of Interest
References
- Vela-Anaya, G.; Stegensek-Mejía, E.M.; Leija-Hernández, C. Investigación Epidemiological Characteristics and Wound Care Costs in Medical Units of the Secretaría de Salud Características Epidemiológicas y Costos de La Atención de Las Heridas En Unidades Médicas de La Secretaría de Salud. Rev. Enferm. Inst. Mex. Seguro Soc. 2018, 26, 105–114. [Google Scholar]
- Velnar, T.; Bailey, T.; Smrkolj, V. The Wound Healing Process: An Overview of the Cellular and Molecular Mechanisms. J. Int. Med. Res. 2009, 37, 1528–1542. [Google Scholar] [CrossRef] [PubMed]
- Guo, S.; DiPietro, L.A. Critical Review in Oral Biology & Medicine: Factors Affecting Wound Healing. J. Dent. Res. 2010, 89, 219–229. [Google Scholar] [CrossRef] [PubMed]
- Eduardo Jiménez, C. Curación Avanzada de Heridas. Rev. Colomb. Cir. 2008, 23, 146–155. [Google Scholar]
- Castellanos-Ramirez, D.K.; Gonzalez-Villordo, D.; Gracia-Bravo, L.J. Manejo de Heridas. Cir. Gen. 2014, 3, 112–120. [Google Scholar]
- Sahana, T.G.; Rekha, P.D. Biopolymers: Applications in Wound Healing and Skin Tissue Engineering. Mol. Biol. Rep. 2018, 45, 2857–2867. [Google Scholar] [CrossRef]
- Azimi, B.; Maleki, H.; Zavagna, L.; de la Ossa, J.G.; Linari, S.; Lazzeri, A.; Danti, S. Bio-Based Electrospun Fibers for Wound Healing. J. Funct. Biomater. 2020, 11, 67. [Google Scholar] [CrossRef]
- Kasuya, A.; Tokura, Y. Attempts to Accelerate Wound Healing. J. Dermatol. Sci. 2014, 76, 169–172. [Google Scholar] [CrossRef]
- Li, D.; Xia, Y. Electrospinning of Nanofibers: Reinventing the Wheel? Adv. Mater. 2004, 16, 1151–1170. [Google Scholar] [CrossRef]
- Wang, J.; Windbergs, M. Functional Electrospun Fibers for the Treatment of Human Skin Wounds. Eur. J. Pharm. Biopharm. 2017, 119, 283–299. [Google Scholar] [CrossRef] [PubMed]
- Bhardwaj, N.; Kundu, S.C. Electrospinning: A Fascinating Fiber Fabrication Technique. Biotechnol. Adv. 2010, 28, 325–347. [Google Scholar] [CrossRef]
- Rahmati, M.; Mills, D.K.; Urbanska, A.M.; Saeb, M.R.; Venugopal, J.R.; Ramakrishna, S.; Mozafari, M. Electrospinning for Tissue Engineering Applications. Prog. Mater. Sci. 2021, 117, 100721. [Google Scholar] [CrossRef]
- Jayakumar, R.; Prabaharan, M.; Sudheesh Kumar, P.T.; Nair, S.V.; Tamura, H. Biomaterials Based on Chitin and Chitosan in Wound Dressing Applications. Biotechnol. Adv. 2011, 29, 322–337. [Google Scholar] [CrossRef] [PubMed]
- Zahedi, P.; Rezaeian, I.; Ranaei-Siadat, S.O.; Jafari, S.H.; Supaphol, P. A Review on Wound Dressings with an Emphasis on Electrospun Nanofibrous Polymeric Bandages. Polym. Adv. Technol. 2010, 21, 77–95. [Google Scholar] [CrossRef]
- Dicks, L.M.T.; Heunis, T.D.J. Nanofibers Offer Alternative Ways to the Treatment of Skin Infections. J. Biomed. Biotechnol. 2010, 2010, 510682. [Google Scholar]
- Ewaldz, E.; Brettmann, B. Molecular Interactions in Electrospinning: From Polymer Mixtures to Supramolecular Assemblies. ACS Appl. Polym. Mater. 2019, 1, 298–308. [Google Scholar] [CrossRef]
- Thomas, S.W.; Alcantar, N.A.; Pais, Y. Electrospinning and Characterization of Novel Opuntia Ficus-Indica Mucilage Biomembrane. Mater. Res. Soc. Symp. Proc. 2012, 1480, 25–32. [Google Scholar] [CrossRef]
- Thomas, S.W.; Devisetty, M.; Katakam, H.C.; Perez, S.; Guo, F.; Stebbins, D.; Alcantar, N.; Muppaneni, R. Investigation of Novel Opuntia Ficus-Indica Mucilage Nanofiber Membrane Filtration for Water Systems. Mater. Res. Soc. Symp. Proc. 2015, 1745, 1–7. [Google Scholar] [CrossRef]
- Yao, C.H.; Yeh, J.Y.; Chen, Y.S.; Li, M.H.; Huang, C.H. Wound-Healing Effect of Electrospun Gelatin Nanofibres Containing Centella Asiatica Extract in a Rat Model. J. Tissue Eng. Regen. Med. 2017, 11, 905–915. [Google Scholar] [CrossRef]
- Pourhojat, F.; Sohrabi, M.; Shariati, S.; Mahdavi, H.; Asadpour, L. Evaluation of Poly ε-Caprolactone Electrospun Nanofibers Loaded with Hypericum Perforatum Extract as a Wound Dressing. Res. Chem. Intermed. 2017, 43, 297–320. [Google Scholar] [CrossRef]
- Aruan, N.M.; Sriyanti, I.; Edikresnha, D.; Suciati, T.; Munir, M.M.; Khairurrijal, K. Polyvinyl Alcohol/Soursop Leaves Extract Composite Nanofibers Synthesized Using Electrospinning Technique and Their Potential as Antibacterial Wound Dressing. Procedia Eng. 2017, 170, 31–35. [Google Scholar] [CrossRef]
- Pedram Rad, Z.; Mokhtari, J.; Abbasi, M. Calendula Officinalis Extract/PCL/Zein/Gum Arabic Nanofibrous Bio-Composite Scaffolds via Suspension, Two-Nozzle and Multilayer Electrospinning for Skin Tissue Engineering. Int. J. Biol. Macromol. 2019, 135, 530–543. [Google Scholar] [CrossRef]
- Yousefi, I.; Pakravan, M.; Rahimi, H.; Bahador, A.; Farshadzadeh, Z.; Haririan, I. An Investigation of Electrospun Henna Leaves Extract-Loaded Chitosan Based Nanofibrous Mats for Skin Tissue Engineering. Mater. Sci. Eng. C 2017, 75, 433–444. [Google Scholar] [CrossRef]
- Fayemi, O.E.; Ekennia, A.C.; Katata-Seru, L.; Ebokaiwe, A.P.; Ijomone, O.M.; Onwudiwe, D.C.; Ebenso, E.E. Antimicrobial and Wound Healing Properties of Polyacrylonitrile-Moringa Extract Nanofibers. ACS Omega 2018, 3, 4791–4797. [Google Scholar] [CrossRef] [PubMed]
- Charernsriwilaiwat, N.; Rojanarata, T.; Ngawhirunpat, T.; Sukma, M.; Opanasopit, P. Electrospun Chitosan-Based Nanofiber Mats Loaded with Garcinia Mangostana Extracts. Int. J. Pharm. 2013, 452, 333–343. [Google Scholar] [CrossRef] [PubMed]
- Motealleh, B.; Zahedi, P.; Rezaeian, I.; Moghimi, M.; Abdolghaffari, A.H.; Zarandi, M.A. Morphology, Drug Release, Antibacterial, Cell Proliferation, and Histology Studies of Chamomile-Loaded Wound Dressing Mats Based on Electrospun Nanofibrous Poly(ε-Caprolactone)/Polystyrene Blends. J. Biomed. Mater. Res. B Appl. Biomater. 2014, 102, 977–987. [Google Scholar] [CrossRef]
- Nguyen, T.T.T.; Ghosh, C.; Hwang, S.G.; Tran, L.D.; Park, J.S. Characteristics of Curcumin-Loaded Poly (Lactic Acid) Nanofibers for Wound Healing. J. Mater. Sci. 2013, 48, 7125–7133. [Google Scholar] [CrossRef]
- Bigued; Taiwe, G.S.; Njapdounke, J.S.K.; Ngaibi, J.; Nguezeye, Y.; Sidiki, N.; Bum, E.N. Behavioural and Neurochemical Characterisation of the Anxiolytic Properties of an Aqueous Extract of Dysphania ambrosioides (L.) Mosyakin and Clemants (Chenopodiaceae) in Experimental Mice. GSC Biol. Pharm. Sci. 2021, 14, 265–276. [Google Scholar] [CrossRef]
- Almeida Bezerra, J.W.; Rodrigues Costa, A.; de Freitas, M.A.; Rodrigues, F.C.; de Souza, M.A.; da Silva, A.R.P.; dos Santos, A.T.L.; Vieiralves Linhares, K.; Melo Coutinho, H.D.; de Lima Silva, J.R.; et al. Chemical Composition, Antimicrobial, Modulator and Antioxidant Activity of Essential Oil of Dysphania ambrosioides (L.) Mosyakin & Clemants. Comp. Immunol. Microbiol. Infect. Dis. 2019, 65, 58–64. [Google Scholar] [CrossRef]
- Pereira-de-Morais, L.; Silva, A.A.; da Silva, R.E.R.; Ferraz Navarro, D.M.D.A.; Melo Coutinho, H.D.; Menezes, I.R.A.; Kerntopf, M.R.; Cunha, F.A.B.D.; Leal-Cardoso, J.H.; Barbosa, R. Myorelaxant Action of the Dysphania ambrosioides (L.) Mosyakin & Clemants Essential Oil and Its Major. Constituent α-Terpinene in Isolated Rat Trachea. Food Chem. 2020, 325, 126923. [Google Scholar] [CrossRef]
- Jorge, P.; Troncoso, L. Capacidad Antioxidante Del Fruto de La Opuntia Apurimacensis (Ayrampo) y de La Opuntia Ficus-Indica (Tuna) Antioxidant Properties of the Fruits Opuntia Apurimacensis (Ayrampo) and Opuntia Ficus-Indica (Cactus Pear). An. Fac. Med. 2016, 77, 105–109. [Google Scholar] [CrossRef]
- Kaur, M.; Kaur, A.; Sharma, R. Pharmacological Actions of Opuntia Ficus Indica: A Review. J. Appl. Pharm. Sci. 2012, 2, 15–18. [Google Scholar] [CrossRef]
- Crispim, B.d.A.; Vaini, J.O.; Grisolia, A.B.; Teixeira, T.Z.; Mussury, R.M.; Seno, L.O. Biomonitoring the Genotoxic Effects of Pollutants on Tradescantia Pallida (Rose) D.R. Hunt in Dourados, Brazil. Environ. Sci. Pollut. Res. 2012, 19, 718–723. [Google Scholar] [CrossRef] [PubMed]
- Kim, J.S.; Kim, K.C. Antioxidant and α-Glucosidase Inhibitory Activities of Tradescantia Pallida (Rose) Hunt Leaf Extract and Fractions. Korean J. Med. Crop Sci. 2016, 24, 222–227. [Google Scholar] [CrossRef]
- Silva, A.M.A.P.; Silva, A.M.; Masson, R.; Mota, R.D.; Costa, N.C.; Ribeiro, E.E.; Loureiro, W.A.S.; Figueiredo, P.M.S. Evaluation of Antimicrobial Activity of the Tradescantia Pallida Munt Plant (Taboquinha Roxa). Rev. Bras. Plantas Med. 2015, 17, 374–378. [Google Scholar] [CrossRef]
- Villanueva-Toledo, J.R.; Chale-Dzul, J.; Castillo-Bautista, C.; Olivera-Castillo, L.; Rangel-Méndez, J.A.; Graniel-Sabido, M.J.; Moo-Puc, R.E. Hepatoprotective Effect of an Ethanol Extract of Tradescantia Pallida against CCl4-Induced Liver Damage in Rats. S. Afr. J. Bot. 2020, 135, 444–450. [Google Scholar] [CrossRef]
- Hassouna, F.; Therias, S.; Mailhot, G.; Gardette, J.L. Photooxidation of Poly(N-Vinylpyrrolidone) (PVP) in the Solid State and in Aqueous Solution. Polym. Degrad. Stab. 2009, 94, 2257–2266. [Google Scholar] [CrossRef]







| Samples | Membranes |
|---|---|
| Polyvinylpyrrolidone | PVP |
| Extract (Dysphania ambrosioides) + Polyvinylpyrrolidone | DA + PVP |
| Extract (Opuntia ficus-indica) + Polyvinylpyrrolidone | OFI + PVP |
| Extract (Tradescantia pallida) + Polyvinylpyrrolidone | TP + PVP |
| Phenolic fraction (Dysphania ambrosioides) + Polyvinylpyrrolidone | FR-DA + PVP |
| Phenolic fraction (Opuntia ficus-indica) + Polyvinylpyrrolidone | FR-OFI + PVP |
| Phenolic fraction (Tradescantia pallida) + Polyvinylpyrrolidone | FR-TP + PVP |
| Membranes | NFD 1 | NFD SD 1 | PA 2 | PA SD 2 | NPA 3 + | NPA SD 3 + |
|---|---|---|---|---|---|---|
| PVP | 915.17 | 185.64 | 1405.04 | 997.84 | - | - |
| DA + PVP | 544.04 | 125.08 | 2139.21 | 18,116.57 | 11,261.54 | 19,083.83 |
| OFI + PVP | 680.50 | 166.38 | 3132.52 | 2983.64 | 8504.04 | 150,252 |
| TP + PVP | 572.57 | 172.85 | 1361.80 | 1043.10 | 64,588.08 | 65,905.26 |
| FR-DA + PVP | 323.12 | 92.32 | 152.60 | 110.09 | - | - |
| FR-OFI + PVP | 338.21 | 115.26 | 172.18 | 101.24 | - | - |
| FR-TP + PVP | 331.48 | 138.22 | 181.88 | 137.356 | - | - |
Disclaimer/Publisher’s Note: The statements, opinions and data contained in all publications are solely those of the individual author(s) and contributor(s) and not of MDPI and/or the editor(s). MDPI and/or the editor(s) disclaim responsibility for any injury to people or property resulting from any ideas, methods, instructions or products referred to in the content. |
© 2023 by the authors. Licensee MDPI, Basel, Switzerland. This article is an open access article distributed under the terms and conditions of the Creative Commons Attribution (CC BY) license (https://creativecommons.org/licenses/by/4.0/).
Share and Cite
Zaca Moran, O.; García Suastegui, W.A.; Cruz San Juan, J.H.; López Méndez, L.C.; López Gayou, V. Generation of PVP Membranes Using Extracts/Phenolic Fraction of Dysphania ambrosioides, Opuntia ficus-indica, and Tradescantia pallida. Polymers 2023, 15, 4720. https://doi.org/10.3390/polym15244720
Zaca Moran O, García Suastegui WA, Cruz San Juan JH, López Méndez LC, López Gayou V. Generation of PVP Membranes Using Extracts/Phenolic Fraction of Dysphania ambrosioides, Opuntia ficus-indica, and Tradescantia pallida. Polymers. 2023; 15(24):4720. https://doi.org/10.3390/polym15244720
Chicago/Turabian StyleZaca Moran, Orlando, Wendy Argelia García Suastegui, Jonathan Hillel Cruz San Juan, Lawrence Christopher López Méndez, and Valentin López Gayou. 2023. "Generation of PVP Membranes Using Extracts/Phenolic Fraction of Dysphania ambrosioides, Opuntia ficus-indica, and Tradescantia pallida" Polymers 15, no. 24: 4720. https://doi.org/10.3390/polym15244720
APA StyleZaca Moran, O., García Suastegui, W. A., Cruz San Juan, J. H., López Méndez, L. C., & López Gayou, V. (2023). Generation of PVP Membranes Using Extracts/Phenolic Fraction of Dysphania ambrosioides, Opuntia ficus-indica, and Tradescantia pallida. Polymers, 15(24), 4720. https://doi.org/10.3390/polym15244720

