Large Scale Vat-Photopolymerization of Investment Casting Master Patterns: The Total Solution
Abstract
1. Introduction
2. Materials and Methods
2.1. Materials and Mixture Preparation
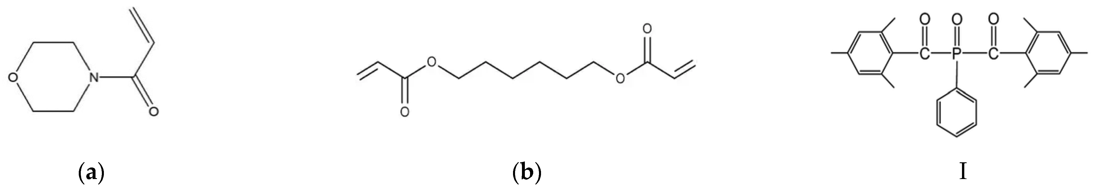
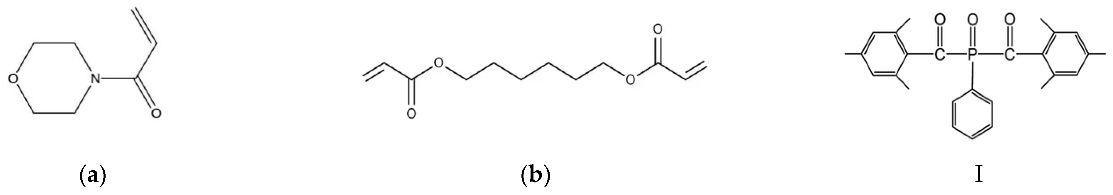
2.1.1. Unfilled Photoresins
2.1.2. Wax-Filled Photoresins
2.2. Viscosity Measurements
2.3. Degree of Conversion
2.4. Tensile Strength
2.5. Water Absorption
2.6. Thermal Analysis
2.7. Deflection Test for Burnout Softening Investigation
2.8. Dimensional Measurements
2.9. Burnout of Casting Pattern
3. Results and Discussion
3.1. Viscosity
3.2. Degree of Conversion (DC)
3.3. Tensile Tests
3.4. Water Absorption
3.5. Thermal Analysis
3.5.1. Thermomechanical Analysis (TMA)
3.5.2. Thermogravimetric Analysis
3.5.3. Deflection Tests
3.6. Dimensional Studies
3.7. Burnout of Casting Patterns
4. Conclusions
- -
- Due to the high levels of water absorption of ACMO, HDDA was introduced to the mixture in different ratios. Increasing the HDDA content from 20 wt% to 60 wt% reduced the water absorption by almost 90%.
- -
- A sudden drop in strength of the printed material was observed at higher temperatures (above 150 °C), using deflection test, which is highly desirable in the intended application. As a result, burnability of the parts significantly improved and the risk of ceramic shell failure during burnout process was minimized. This was confirmed by the successful burnout of a turbine blade casting pattern with no shell cracking and failure.
- -
- An excellent dimensional accuracy of the VPP-printed components was achieved, using a turbine blade verification sample. Dimensional stability of the parts was also proved within the acceptable range, when stored and remeasured within 14 days of production. The dimensional deviations of the parts did not exceed an average of ±130 µm at any point during a 21-day period. The post-cured samples retained lower dimensional deviations throughout the measurement intervals.
Supplementary Materials
Author Contributions
Funding
Institutional Review Board Statement
Informed Consent Statement
Data Availability Statement
Acknowledgments
Conflicts of Interest
References
- Mandolini, M.; Campi, F.; Favi, C.; Cicconi, P.; Germani, M. An analytical cost model for invesrment casting. Proc. Des. Soc. Des. Conf. 2020, 1, 987–996. [Google Scholar] [CrossRef]
- Beddoes, J.; Bibby, M. Solidification and casting processes. In Principles of Metal Manufacturing Processes; Butterworth-Heinemann: Oxford, uk, 1999; pp. 18–66. [Google Scholar]
- Mukhtarkhanov, M.; Perveen, A.; Talamona, D. Application of Stereolithography Based 3D Printing Technology in Investment Casting. Micromachines 2020, 11, 946. [Google Scholar] [CrossRef] [PubMed]
- Tamta, K.; Karunakar, D.B. Development of hybrid pattern material for investment casting process: An experimental investigation on improvement in pattern characteristics. Mater. Manuf. Process. 2021, 36, 744–751. [Google Scholar] [CrossRef]
- Pattnaik, S.; Karunakar, D.B.; Jha, P.K.K. Developments in investment casting process—A. review. J. Mater. Process. Technol. 2012, 212, 2332–2348. [Google Scholar] [CrossRef]
- Wang, S.; Miranda, A.G.; Shih, C. A Study of Investment Casting with Plastic Patterns. Mater. Manuf. Process. 2010, 25, 1482–1488. [Google Scholar] [CrossRef]
- Ingole, D.S.; Kuthe, A.M.; Thakare, S.B.; Talankar, A.S. Rapid prototyping—A technology transfer approach for development of rapid tooling. Rapid Prototyp. J. 2009, 15, 280–290. [Google Scholar] [CrossRef]
- Lu, Z.L.; Cao, J.W.; Jing, H.; Liu, T.; Lu, F.; Wang, D.X.; Li, D.C. Review of main manufacturing processes of complex hollow turbine blades. Virtual Phys. Prototyp. 2013, 8, 87–95. [Google Scholar] [CrossRef]
- Singh, S.; Singh, R. Fused deposition modelling based rapid patterns for investment casting applications: A review. Rapid Prototyp. J. 2016, 22, 123–143. [Google Scholar] [CrossRef]
- Chen, X.; Li, D.; Wu, H.; Tang, Y.; Zhao, L. Analysis of ceramic shell cracking in stereolithography-based rapid casting of turbine blade. Int. J. Adv. Manuf. Technol. 2011, 55, 447–455. [Google Scholar] [CrossRef]
- Pal, D.; Ravi, B. Rapid tooling route selection and evaluation for sand and investment casting. Virtual Phys. Prototyp. 2007, 2, 197–207. [Google Scholar] [CrossRef]
- Wawulska-Marek, K.J.K.P.; Sitek, R.; Bolek, T.; Zdunek, J.; Mizera, J. A study on technological properties of investment casting waxes. Adv. Appl. Plasma Sci. 2015, 10, 37–40. [Google Scholar]
- Schmidleithner, C.; Kalaskar, D.M. “Stereolithography”. In 3D Printing; IntechOpen: London, UK, 2018; Available online: https://www.intechopen.com/chapters/61889 (accessed on 10 September 2022). [CrossRef]
- Ligon, S.C.; Liska, R.; Stampfl, J.; Gurr, M.; Mülhaupt, R. Polymers for 3D Printing and Customized Additive Manufacturing. Chem. Rev. 2017, 117, 10212–10290. [Google Scholar] [CrossRef]
- Slapnik, J.; Pulko, I. Tailoring properties of photopolymers for additive manufacturing with mixture design. Prog. Addit. Manuf. 2021, 6, 83–91. [Google Scholar] [CrossRef]
- Rapid prototyping & amp; manufacturing—Fundamentals of stereolithography. J. Manuf. Syst. 1993, 12, 430–433. [CrossRef]
- Salonitis, K. Stereolithography. In Comprehensive Materials Processing; Elsevier: Oxford, UK, 2014; pp. 19–67. [Google Scholar] [CrossRef]
- Greene, J.P. Polymer Materials. In Automotive Plastics and Composites: Materials and Processing; William Andrew: Norwich, NY, USA, 2021; pp. 17–25. [Google Scholar]
- Vengatesan, M.R.; Varghese, A.M.; Mittal, V. Thermal properties of thermoset polymers. In Thermosets; Woodhead Publishing: Sawston, UK, 2018; pp. 69–114. [Google Scholar]
- Chohan, J.S.; Singh, R. Effect of Thermal Cycles on Thermosetting Polymers. In Encyclopedia of Materials: Plastics and Polymers; Elsevier: Oxford, UK, 2022; pp. 156–161. [Google Scholar] [CrossRef]
- Hague, R.; Dickens, P.M. Improvements in investment casting with stereolithography patterns. Proc. Inst. Mech. Eng. Part B J. Eng. Manuf. 2001, 215, 1–11. [Google Scholar] [CrossRef]
- Pang, D.T.H.; Jacobs, P.F. StereoLithography 1993; QuickCast TM: Austin, TX, USA, 1993. [Google Scholar]
- Jacobs, P. Stereolithography 1993: Epoxy resins, improved accuracy, and investment casting. In Coupling Technology to National Need; Society of Photo Optical: Washington, DC, USA, 1994; Volume 2102, pp. 41–52. [Google Scholar]
- Hague, R.; Dickens, P. Finite element analysis and strain gauging of the stereolithography/investment casting system. In Solid Freeform Fabrication Symposium Proceedings; University of Texas at Austin: Austin, TX, USA, 1996; pp. 523–538. [Google Scholar]
- Ferreira, J.C.; Mateus, A. A numerical and experimental study of fracture in RP stereolithography patterns and ceramic shells for investment casting. J. Mater. Process. Technol. 2003, 134, 135–144. [Google Scholar] [CrossRef]
- Norouzi, Y.; Rahmati, S.; Hojjat, Y. A novel lattice structure for SL investment casting patterns. Rapid Prototyp. J. 2009, 15, 255–263. [Google Scholar] [CrossRef]
- Gu, X.J.; Zhu, J.H.; Zhang, W.H. The lattice structure configuration design for stereolithography investment casting pattern using topology optimization. Rapid Prototyp. J. 2012, 18, 353–361. [Google Scholar] [CrossRef]
- Zhu, J.; Zhang, W.; Gu, X. On the topology optimization design for the stereolithography based investment casting model. Adv. Mater. Res. 2010, 139–141, 1464–1467. [Google Scholar] [CrossRef]
- Marwah, O.M.F.; Sharif, S.; Zainol, M.A.; Ibrahim, M.; Mohamad, E.J. 3D printer patterns evaluation for direct investment casting. Appl. Mech. Mater. 2014, 465–466, 1400–1403. [Google Scholar] [CrossRef]
- Carneiro, V.H.; Rawson, S.D.; Puga, H.; Meireles, J.; Withers, P.J. Additive manufacturing assisted investment casting: A low-cost method to fabricate periodic metallic cellular lattices. Addit. Manuf. 2020, 33, 101085. [Google Scholar] [CrossRef]
- Nkhasi, N.P.; Preez, W.B.D.; van der Walt, J.G. Investment Casting of Aluminium Alloy A356 Using Primecast® and Pmma Additive Manufacturing Materials for Sacrificial Patterns. In Proceedings of the 19th Annual Internation RAPDASA Conference, Johannesburg, South Africa, 7–9 November 2018; pp. 22–31. [Google Scholar]
- Andrew, K.; Weaver, J.M. Using Wax Filament Additive Manufacturing for Low-Volume Investment Casting. In International Solid Freeform Fabrication Symposium; University of Texas at Austin: Austin, TX, USA, 2019. [Google Scholar] [CrossRef]
- Wang, D.; Dong, A.; Zhu, G.; Shu, D.; Sun, J.; Li, F.; Sun, B. Rapid casting of complex impeller based on 3D printing wax pattern and simulation optimization. Int. J. Adv. Manuf. Technol. 2019, 100, 2629–2635. [Google Scholar] [CrossRef]
- Badanova, N.; Perveen, A.; Talamona, D. Study of SLA Printing Parameters Affecting the Dimensional Accuracy of the Pattern and Casting in Rapid Investment Casting. J. Manuf. Mater. Process. 2022, 6, 109. [Google Scholar] [CrossRef]
- Yang, Q.; Avis, S. Method of Investment Casting Using Additive Manufacturing. U.S. Patent 15/160,798, 20 May 2016. [Google Scholar]
- Investment Casting Patterns. Available online: https://www.3dsystems.com/on-demand-manufacturing/investment-casting-patterns (accessed on 14 April 2022).
- Dougherty, T.K.; Rey, D.; Elias, W.E.; Segundo, E.; Thelander, T.C.; Bhavnani, M.N.; Bar, D. Resin Composition and Process for Investment Casting Using Stereolithography. U.S. Patent 5,391,460, 21 February 1995. [Google Scholar]
- Deng, S.; Wu, J.; Dickey, M.D.; Zhao, Q.; Xie, T. Rapid Open-Air Digital Light 3D Printing of Thermoplastic Polymer. Adv. Mater. 2019, 31, 1903970. [Google Scholar] [CrossRef]
- Wu, Y.; Fei, M.; Chen, T.; Li, C.; Wu, S.; Qiu, R.; Liu, W. Photocuring Three-Dimensional Printing of Thermoplastic Polymers Enabled by Hydrogen Bonds. ACS Appl. Mater. Interfaces 2021, 13, 22946–22954. [Google Scholar] [CrossRef]
- Zhu, G.; Hou, Y.; Xiang, J.; Xu, J.; Zhao, N. Digital Light Processing 3D Printing of Healable and Recyclable Polymers with Tailorable Mechanical Properties. ACS Appl. Mater. Interfaces 2021, 13, 34954–34961. [Google Scholar] [CrossRef] [PubMed]
- Saini, B.; Khuntia, S.; Sinha, M.K. Incorporation of cross-linked poly(AA-co-ACMO) copolymer with pH responsive and hydrophilic properties to polysulfone ultrafiltration membrane for the mitigation of fouling behaviour. J. Memb. Sci. 2019, 572, 184–197. [Google Scholar] [CrossRef]
- Barszczewska-Rybarek, I.M. Quantitative determination of degree of conversion in photocured poly(urethane-dimethacrylate)s by Fourier transform infrared spectroscopy. J. Appl. Polym. Sci. 2012, 123, 1604–1611. [Google Scholar] [CrossRef]
- Corbel, S.; Dufaud, O.; Roques-Carmes, T. Materials for Stereolithography. In Stereolithography; Springer: Boston, MA, USA, 2011; pp. 141–159. [Google Scholar]
- Sameni, F.; Ozkan, B.; Zarezadeh, H.; Karmel, S.; Engstrøm, D.S.; Sabet, E. Hot Lithography Vat Photopolymerisation 3D Printing: Vat Temperature vs. Mixture Design. Polymers 2022, 14, 2988. [Google Scholar] [CrossRef]
- Smith, B.C. Fundamentals of Fourier Transform Infrared Spectroscopy, 2nd ed.; CRC Press: Boca Raton, FL, USA, 2011. [Google Scholar]









| Content | ACMO | HDDA | Wax (Vol%) | Black Pigment (wt%) | Post-Cured | |
|---|---|---|---|---|---|---|
| Label | ||||||
| A100 | 100 | - | - | - | No | |
| A80 | 80 | 20 | - | - | No | |
| A60 | 60 | 40 | - | - | No | |
| A40 | 40 | 60 | - | - | No | |
| A80W50 | 80 | 20 | 50 | - | No | |
| A60W50 | 60 | 40 | 50 | - | No | |
| A40W50 | 40 | 60 | 50 | - | No | |
| A40W40 | 40 | 60 | 40 | - | No | |
| A40W60 | 40 | 60 | 60 | - | No | |
| A40W50-B | 40 | 60 | 50 | 1.5 | No | |
| A40W50-PC | 40 | 60 | 50 | - | Yes | |
| A40W50-B-PC | 40 | 60 | 50 | 1.5 | Yes | |
| A80 | A60 | A40 | A80W50 | A60W50 | A40W50 | A40W50-PC | A40W50-B | A40W50-B-PC | |
|---|---|---|---|---|---|---|---|---|---|
| DC (%) | 61.62 | 46.99 | 44.96 | 45.63 | 36.98 | 38.46 | 44.99 | 45.26 | 49.36 |
| A80 | A60 | A40 | A80W50 | A60W50 | A40W50 | A40W50-PC | A40W50-B | A40W50-B-PC | |
|---|---|---|---|---|---|---|---|---|---|
| UTS (MPa) | 17.06 | 20.64 | 19.19 | 10.89 | 11.86 | 14.41 | 22.1 | 16.73 | 16.99 |
| A80 | A60 | A40 | A80W50 | A60W50 | A40W50 | A40W50-PC | A40W50-B | A40W50-B-PC | |
|---|---|---|---|---|---|---|---|---|---|
| Water absorption (%) | 17.63 | 5.56 | 1.97 | 17.3 | 3.48 | 0.83 | 0.77 | 0.84 | 0.77 |
| * CTE (Ambient to 160 °C) 10−6 k−1 | CTE (160 to 200 °C) 10−6 k−1 | ** Dimension Change before/at 160 °C % | *** Dimension Change at 200 °C | |
|---|---|---|---|---|
| A40 | 218.8 | 813.8 | 3 | 6.2 |
| A40W50 | 219.4 | - | 2.7 | - |
| A40W50PC | 257 | - | 3.43 | - |
| A40W50-B | 222.1 | - | 2.42 | - |
| A40W50-B-PC | 226.2 | - | 2.2 | - |
Publisher’s Note: MDPI stays neutral with regard to jurisdictional claims in published maps and institutional affiliations. |
© 2022 by the authors. Licensee MDPI, Basel, Switzerland. This article is an open access article distributed under the terms and conditions of the Creative Commons Attribution (CC BY) license (https://creativecommons.org/licenses/by/4.0/).
Share and Cite
Sameni, F.; Ozkan, B.; Karmel, S.; Engstrøm, D.S.; Sabet, E. Large Scale Vat-Photopolymerization of Investment Casting Master Patterns: The Total Solution. Polymers 2022, 14, 4593. https://doi.org/10.3390/polym14214593
Sameni F, Ozkan B, Karmel S, Engstrøm DS, Sabet E. Large Scale Vat-Photopolymerization of Investment Casting Master Patterns: The Total Solution. Polymers. 2022; 14(21):4593. https://doi.org/10.3390/polym14214593
Chicago/Turabian StyleSameni, Farzaneh, Basar Ozkan, Sarah Karmel, Daniel S. Engstrøm, and Ehsan Sabet. 2022. "Large Scale Vat-Photopolymerization of Investment Casting Master Patterns: The Total Solution" Polymers 14, no. 21: 4593. https://doi.org/10.3390/polym14214593
APA StyleSameni, F., Ozkan, B., Karmel, S., Engstrøm, D. S., & Sabet, E. (2022). Large Scale Vat-Photopolymerization of Investment Casting Master Patterns: The Total Solution. Polymers, 14(21), 4593. https://doi.org/10.3390/polym14214593

