Sign in to use this feature.

Years

Between: -

Subjects

remove_circle_outline
remove_circle_outline
remove_circle_outline
remove_circle_outline
remove_circle_outline
remove_circle_outline
remove_circle_outline
remove_circle_outline

Journals

Article Types

Countries / Regions

Search Results (153)

Search Parameters:
Keywords = investment casting

Order results
Result details
Results per page
Select all
Export citation of selected articles as:
16 pages, 7447 KB  
Article
Effect of the Incorporation of 0.1 wt.% TiC on the Microstructure and Tensile Properties of AlSi7Mg0.3 Samples Produced by Investment Casting
by Ane Jimenez, Anna Wójcik, Wojciech Maziarz, Mikel Merchán and Maider García de Cortázar
Metals 2026, 16(1), 34; https://doi.org/10.3390/met16010034 - 27 Dec 2025
Viewed by 127
Abstract
Investment casting of aluminum alloys is widely used in the aeronautical and automotive sectors for manufacturing complex components. However, conventional alloys lack sufficient mechanical strength and high-temperature resistance, prompting the need for enhanced materials. This study investigated the addition of submicron TiC particles, [...] Read more.
Investment casting of aluminum alloys is widely used in the aeronautical and automotive sectors for manufacturing complex components. However, conventional alloys lack sufficient mechanical strength and high-temperature resistance, prompting the need for enhanced materials. This study investigated the addition of submicron TiC particles, introduced via stir casting process, to an AlSi7Mg0.3 alloy for investment casting. Chemical analysis confirmed the incorporation of up to 0.1 wt.% TiC, but no significant improvement in tensile properties was observed. High Resolution Scanning Electron Microscopy (HRSEM) and Transmission Electron Microscopy (TEM) revealed a complex microstructure with few TiC particles and needle-shaped intermetallic phases containing titanium, iron, silicon, or aluminum. The high mold temperature (700 °C) and slow solidification rate likely caused partial TiC dissolution and intermetallic precipitation, which may have offset strengthening mechanisms like the Hall–Petch effect. Notably, the partial dissolution of TiC particles in investment casting has not been previously reported in similar alloys. These findings highlight the challenges of using particle-reinforced alloys in this process and emphasize the need for further research into process–microstructure relationships. Full article
(This article belongs to the Special Issue Microstructure and Characterization of Metal Matrix Composites)
Show Figures

Figure 1

12 pages, 3677 KB  
Article
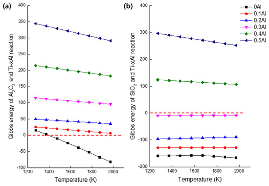
Variation in Alpha-Case Thickness of Ti-xAl Castings
by Byungil Kang, Taekyu Ha, Seul Lee, Youngkyu Ju and Youngjig Kim
Materials 2026, 19(1), 29; https://doi.org/10.3390/ma19010029 - 21 Dec 2025
Viewed by 249
Abstract
Alpha-case formation, originating from interfacial reactions between molten titanium and oxide molds, remains a critical issue limiting the surface integrity and mechanical performance of titanium castings. In this study, the effect of aluminum content (0–52 at%) on alpha-case formation was systematically investigated using [...] Read more.
Alpha-case formation, originating from interfacial reactions between molten titanium and oxide molds, remains a critical issue limiting the surface integrity and mechanical performance of titanium castings. In this study, the effect of aluminum content (0–52 at%) on alpha-case formation was systematically investigated using plasma arc melting and drop casting with alumina-based molds. The reaction kinetics between titanium melts and alumina molds were evaluated through cooling rate measurements and thermodynamic modeling. Microstructural and compositional analyses using optical microscopy, hardness testing, and electron probe microanalysis revealed that increasing aluminum content effectively suppressed alpha-case development. No distinct reaction layer was observed when the aluminum concentration exceeded 30 at%. The alpha-case consisted primarily of Ti3Al, TiO2, and Ti5Si3 phases, indicating that the molten titanium reacted with both alumina and silica constituents of the mold. Oxygen was identified as the dominant element controlling the reaction depth, consistent with its diffusion behavior across titanium phases. Calculated alpha-case thicknesses showed excellent agreement with experimental measurements, confirming that the reduction in alpha-case depth with increasing aluminum content results from decreased oxygen diffusivity, shorter reaction time, and lower interfacial temperature. These findings establish aluminum addition as a key strategy for minimizing interfacial reactions during titanium investment casting, thereby improving dimensional accuracy and surface quality in high-temperature components. Full article
Show Figures

Figure 1

16 pages, 7278 KB  
Article
Study on Cold Cracking in 430Cb Ferritic Stainless Steel Castings Based on Multiscale Characterization and Simulation Analysis
by Siyu Qiu, Jun Xiao and Aimin Zhao
Metals 2025, 15(12), 1310; https://doi.org/10.3390/met15121310 - 28 Nov 2025
Viewed by 331
Abstract
Cracks were found at the gate of the 430Cb ferritic stainless steel exhaust system jet base produced by investment casting. In this paper, the cracks of failed stainless steel castings were comprehensively analyzed by means of macroscopic inspection, laser confocal microscopy, field emission [...] Read more.
Cracks were found at the gate of the 430Cb ferritic stainless steel exhaust system jet base produced by investment casting. In this paper, the cracks of failed stainless steel castings were comprehensively analyzed by means of macroscopic inspection, laser confocal microscopy, field emission scanning electron microscopy, electron backscatter diffraction, X-ray diffractometer, ProCAST (version 2018, ESI Group, Paris, France) simulation and Thermo-Calc (TCFE10 database, 2022a, Thermo-Calc Software AB, Solna, Sweden) thermodynamic calculation. It can be concluded that all the cracks originate from the gate on the surface of the casting, and the fracture surface shows brittle intergranular characteristics, which can be determined as cold cracks. The formation of cold cracks can be attributed to the fact that the local stress generated during cooling after the casting solidifies exceeds the strength limit of the material itself. As the gate is the final solidification zone, shrinkage is limited and stress is concentrated. The grains are coarse, and the microstructure defects such as shrinkage porosity, pores and needle-like NbC further weaken the plasticity of the grain boundaries, promoting the crack to propagate along the direction of the maximum principal stress. The uneven cooling rate and shell constraint during the investment casting process make it difficult to release stress, and the existence of microstructure defects are the fundamental causes of crack generation. Full article
(This article belongs to the Special Issue Innovations in Heat Treatment of Metallic Materials)
Show Figures

Figure 1

18 pages, 953 KB  
Article
Comparative Environmental Insights into Additive Manufacturing in Sand Casting and Investment Casting: Pathways to Net-Zero Manufacturing
by Alok Yadav, Rajiv Kumar Garg, Anish Sachdeva, Karishma M. Qureshi, Mohamed Rafik Noor Mohamed Qureshi and Muhammad Musa Al-Qahtani
Sustainability 2025, 17(21), 9709; https://doi.org/10.3390/su17219709 - 31 Oct 2025
Viewed by 658
Abstract
As manufacturing industries pursue net-zero emission (NZE) goals, hybrid manufacturing processes that integrate additive manufacturing (AM) with traditional casting techniques are gaining traction for their sustainability potential across the globe. Therefore, this work presents a “gate-to-gate” life cycle assessment (LCA) comparing AM-assisted sand [...] Read more.
As manufacturing industries pursue net-zero emission (NZE) goals, hybrid manufacturing processes that integrate additive manufacturing (AM) with traditional casting techniques are gaining traction for their sustainability potential across the globe. Therefore, this work presents a “gate-to-gate” life cycle assessment (LCA) comparing AM-assisted sand casting (AM-SC) and AM-assisted investment casting (AM-IC), for Al-Si5-Cu3 alloy as a case material, under various energy scenarios including a conventional grid mix and renewable sources (wind, solar, hydro, and biomass). This study compares multiple environmental impact categories based on the CML 2001 methodology. The outcomes show that AM-SC consistently outperforms AM-IC in most impact categories. Under the grid mix scenario, AM-SC achieves 31.57% lower GWP, 19.28% lower AP, and 21.15% lower EP compared to AM-IC. AM-SC exhibits a 90.5% reduction in “Terrestrial Ecotoxicity Potential” and 75.73% in “Marine Ecotoxicity Potential”. Wind energy delivers the most significant emission reduction across both processes, reducing GWP by up to 98.3%, while AM-IC performs slightly better in HTP. These outcomes of the study offer site-specific empirical insights that support strategic decision-making for process selection and energy optimisation in casting. By quantifying environmental trade-offs aligned with India’s current energy mix and future renewable targets, the study provides a practical benchmark for tracking incremental gains toward the NZE goal. This work followed international standards (ISO 14040 and 14044), and the data were validated with both foundry records and field measurements; this study ensures reliable methods. The findings provide practical applications for making sustainable choices in the manufacturing process and show that the AM-assisted conventional manufacturing process is a promising route toward net-zero goals. Full article
Show Figures

Figure 1

9 pages, 5251 KB  
Communication
Electrochemical Surface Modification of Laser Cladded Ni-Based Single Crystal Superalloy in NaNO3 Solution
by Jingbo Liu, Yongxin Liu, Xianqi Meng, Linfeng Tang, Xiaowei Lei and Nan Wang
Materials 2025, 18(21), 4967; https://doi.org/10.3390/ma18214967 - 30 Oct 2025
Viewed by 444
Abstract
Since mechanical processing can introduce stress in the sample, electrochemical dissolution has been utilized to attain shape accuracy in certain materials. However, this technique is rarely applied to laser-repaired Ni-based single-crystal superalloys. In this work, the transpassive dissolution behaviors of an additive manufacturing-repaired [...] Read more.
Since mechanical processing can introduce stress in the sample, electrochemical dissolution has been utilized to attain shape accuracy in certain materials. However, this technique is rarely applied to laser-repaired Ni-based single-crystal superalloys. In this work, the transpassive dissolution behaviors of an additive manufacturing-repaired Ni-based single crystal superalloy in a 10% NaNO3 solution were investigated by comparison with the substrate. A significant disparity in dissolution rates was found between the dendritic and interdendritic regions of the substrate, resulting in a rough surface. Conversely, the dissolution of the dendritic and interdendritic regions in the cladding structure occurred nearly simultaneously, leading to a high-quality, smooth surface. This behavior was attributed to the differences in phase dissolution preferences between the substrate and the cladding structure. It indicates that electrochemical dissolution is a promising method for achieving shape accuracy in laser-clad Ni-based single-crystal superalloys. Full article
Show Figures

Figure 1

22 pages, 1481 KB  
Article
Sustainable Frugal Innovation in Cultural Heritage for the Production of Decorative Items by Adopting Digital Twin
by Josip Stjepandić, Andrej Bašić, Martin Bilušić and Tomislava Majić
World 2025, 6(4), 137; https://doi.org/10.3390/world6040137 - 11 Oct 2025
Viewed by 884
Abstract
Throughout history, cultural heritage has accumulated, and is often embodied in monuments, structures, and notable figures. Cultural heritage preservation and management also include digitalization, allowing tangible monuments to be managed as digital inventory with “digital twins”. This provides innovative ways to experience and [...] Read more.
Throughout history, cultural heritage has accumulated, and is often embodied in monuments, structures, and notable figures. Cultural heritage preservation and management also include digitalization, allowing tangible monuments to be managed as digital inventory with “digital twins”. This provides innovative ways to experience and interact with the real world, in particular by using modern mobile devices. The digitalization of monuments opens new ways to produce decorative items based on the shape of the monuments. Usually, decorative items are produced by craft businesses, family-run for generations, with specialized skills in metal and stone processing. We developed and tested a methodological proposal for frugal innovation: how to produce decorative items with minimal costs based on digital twins, which are particularly in demand in tourism-driven countries like Croatia. A micro-business with three employees, specializing in “metal art,” aims to innovate and expand by producing small-scale replicas of cultural heritage objects, such as busts, statues, monuments, or profiles. A method has been developed to create replicas in the desired material and at a desired scale, faithfully reproducing the original—whether based on a physical object, 3D model, or photograph. The results demonstrate that this sustainable frugal innovation can be successfully implemented using affordable tools and licenses. Full article
Show Figures

Figure 1

16 pages, 950 KB  
Article
Sustainability Evaluation and Process Optimization of Mechanical Manufacturing Systems Based on Emergy Theory
by Yuan Wang, Xiaoxiao Si and Yingyan Zhang
Processes 2025, 13(9), 2963; https://doi.org/10.3390/pr13092963 - 17 Sep 2025
Viewed by 796
Abstract
To address the sustainability challenges faced by the machinery manufacturing industry, this study establishes an emergy-based evaluation framework that integrates four dimensions—economic, social, ecological, and sustainability—to comprehensively assess the sustainability of mechanical manufacturing systems. An empirical study was conducted on the balance shaft [...] Read more.
To address the sustainability challenges faced by the machinery manufacturing industry, this study establishes an emergy-based evaluation framework that integrates four dimensions—economic, social, ecological, and sustainability—to comprehensively assess the sustainability of mechanical manufacturing systems. An empirical study was conducted on the balance shaft housing manufacturing system of AH Axle Co., Ltd. Results reveal that the system exhibits a relatively low net emergy yield ratio (NEYR), with an emergy investment ratio (EIR) of 2.27 and an improved emergy sustainable index (IESI) of 0.44, indicating poor social benefits and weak long-term sustainability. However, through the optimization of finishing and casting processes, the emergy waste rate (EWR) decreased from 12.96% to 9.86%, substantially enhancing overall sustainability. This study not only provides a novel perspective and practical tool for sustainability assessment in mechanical manufacturing systems but also offers significant theoretical and practical implications for promoting green transformation and sustainable development across the industry. Full article
Show Figures

Figure 1

17 pages, 3481 KB  
Article
Thermal and Structural Behavior of Investment Casting Molds Modified with Biodegradable Walnut Shell Chips
by Marcin Małek, Janusz Kluczyński, Rafał Grzejda, Paweł Wiśniewski, Agnieszka Jenerowicz and Ireneusz Ewiak
Materials 2025, 18(18), 4289; https://doi.org/10.3390/ma18184289 - 12 Sep 2025
Cited by 1 | Viewed by 876
Abstract
Two types of spherical mold samples—designated PW1 (reference) and PW2 (modified) were prepared using the dip-and-sprinkle method. Both samples consisted of seven layers, but PW2 was differentiated by the incorporation of 5 wt.% ground walnut shell chips into the fifth layer of its [...] Read more.
Two types of spherical mold samples—designated PW1 (reference) and PW2 (modified) were prepared using the dip-and-sprinkle method. Both samples consisted of seven layers, but PW2 was differentiated by the incorporation of 5 wt.% ground walnut shell chips into the fifth layer of its structure. The aim of this modification was to assess the feasibility of employing biodegradable organic additives to generate controlled porosity after thermal decomposition, thereby enhancing gas transport through the mold structure. The gas permeability of the samples was determined across a broad temperature range from 25 to 950 °C using a dedicated, custom-built test rig developed for elevated-temperature permeability assessments. The results revealed that the inclusion of walnut shell chips significantly increased the gas permeability of the molds by approximately 42% at ambient temperature and 36% at 950 °C, attributable to the formation of stochastically distributed macro-voids upon burnout of the organic additive. The study demonstrates that selective layer modification using natural waste materials can be a viable method for tailoring functional properties of ceramic molds, offering a cost-effective, sustainable, and easily scalable alternative to conventional pore-forming strategies. Full article
(This article belongs to the Special Issue Achievements in Foundry Materials and Technologies)
Show Figures

Figure 1

19 pages, 4380 KB  
Article
Optimization of Casting Process Parameters for Solidification Structures in Complex Superalloy Castings
by Shaoli Han, Heli Luo, Shangping Li and Guangwei Han
Materials 2025, 18(17), 4205; https://doi.org/10.3390/ma18174205 - 8 Sep 2025
Viewed by 1002
Abstract
This study aimed to optimize the grain structure of complex thin-walled nickel-based superalloy castings by investigating the influence of key casting parameters using both cellular automaton–finite element (CAFE) simulations and experimental validation. The main problem addressed was the inhomogeneous grain morphology arising from [...] Read more.
This study aimed to optimize the grain structure of complex thin-walled nickel-based superalloy castings by investigating the influence of key casting parameters using both cellular automaton–finite element (CAFE) simulations and experimental validation. The main problem addressed was the inhomogeneous grain morphology arising from complex mold geometries and uneven thermal conditions during investment casting. The solidification process was simulated using the ProCAST software, incorporating the CAFE method to model temperature fields and grain growth dynamics. The results revealed that the molten metal flow pattern during mold filling significantly affected the local temperature field and subsequent grain formation. Specifically, simultaneous bidirectional filling minimized thermal gradients and suppressed coarse columnar grain formation, promoting finer, more uniform equiaxed grains. Lowering the pouring temperature (to 1430 °C) in combination with reduced shell temperature (600–800 °C) enhanced nucleation and improved grain uniformity in thin-walled regions. Higher cooling rates also refined the grain structure by increasing undercooling and limiting grain growth. Experimental castings confirmed these simulation outcomes, demonstrating that the proposed optimization strategies can significantly improve grain homogeneity in critical structural areas. These findings provide a practical approach for controlling microstructure in large, intricate superalloy components through targeted process parameter tuning. Full article
Show Figures

Figure 1

20 pages, 691 KB  
Review
Alloy Selection and Manufacturing Technologies for Total Ankle Arthroplasty: A Narrative Review
by Kishen Mitra, Arun K. Movva, Michael O. Sohn, Joshua M. Tennyson, Grayson M. Talaski, Samuel B. Adams and Albert T. Anastasio
Materials 2025, 18(16), 3770; https://doi.org/10.3390/ma18163770 - 11 Aug 2025
Cited by 1 | Viewed by 946
Abstract
Total ankle arthroplasty (TAA) has evolved significantly through advances in alloy selection and manufacturing technologies. This narrative review examines the metallurgical foundations of contemporary TAA implants, analyzing primary alloy systems and their mechanical properties. Cobalt-chromium alloys provide superior mechanical strength and durability but [...] Read more.
Total ankle arthroplasty (TAA) has evolved significantly through advances in alloy selection and manufacturing technologies. This narrative review examines the metallurgical foundations of contemporary TAA implants, analyzing primary alloy systems and their mechanical properties. Cobalt-chromium alloys provide superior mechanical strength and durability but present metal ion release concerns, while titanium alloys (Ti6Al4V) optimize biocompatibility with elastic modulus values (101–113 GPa) closer to bone, despite tribological limitations. Novel β-titanium formulations (Ti-35Nb-7Zr-5Ta, Ti10Mo6Zr4Sn3Nb) eliminate toxic aluminum and vanadium components while achieving lower elastic modulus values (50–85 GPa) that better match cortical bone properties. Manufacturing has transitioned from traditional methods (investment casting, forging, CNC machining) toward additive manufacturing technologies. Selective laser melting and electron beam melting enable patient-specific geometries, controlled porosity, and optimized microstructures, though challenges remain with residual stresses, surface finish requirements, and post-processing needs. Emerging biodegradable materials, composite structures, and hybrid implant designs represent promising future directions for addressing current material limitations. This review provides evidence-based insights for alloy selection and manufacturing approaches, emphasizing the critical role of materials engineering in TAA implant performance and clinical outcomes. Full article
(This article belongs to the Special Issue Microstructure and Mechanical Properties of Alloys (2nd Edition))
Show Figures

Graphical abstract

8 pages, 810 KB  
Proceeding Paper
Towards Cost Modelling for Rapid Prototyping and Tooling Technology-Based Investment Casting Process for Development of Low-Cost Dies
by Samina Bibi and Muhammad Sajid
Mater. Proc. 2025, 23(1), 6; https://doi.org/10.3390/materproc2025023006 - 30 Jul 2025
Viewed by 757
Abstract
In precision manufacturing, selecting the most economically viable process is essential for low-volume, high-complexity applications. This study compares the machining process (MP), conventional investment casting (CIC), and rapid prototyping (RP) through a mathematical cost model based on the activity-based costing (ABC) approach. The [...] Read more.
In precision manufacturing, selecting the most economically viable process is essential for low-volume, high-complexity applications. This study compares the machining process (MP), conventional investment casting (CIC), and rapid prototyping (RP) through a mathematical cost model based on the activity-based costing (ABC) approach. The model captures detailed cost drivers across design, logistics, production, and environmental dimensions. Results show that MP incurs the highest production cost (94.45%) but minimal logistics (3.43%). CIC bears the highest total cost and significant production overhead (93.2%), while RIC achieves the lowest total cost, driven by major savings in production (84.6%) and labor. Although RIC has slightly higher logistics than MP, it demonstrates superior economic efficiency for small-batch, high-accuracy production. This study provides a unified quantitative framework for cost comparison and offers valuable guidance for manufacturers aiming to enhance efficiency, sustainability, and profitability across diverse fabrication strategies. Full article
Show Figures

Figure 1

21 pages, 4393 KB  
Article
Lightweight and Sustainable Steering Knuckle via Topology Optimization and Rapid Investment Casting
by Daniele Almonti, Daniel Salvi, Emanuele Mingione and Silvia Vesco
J. Manuf. Mater. Process. 2025, 9(8), 252; https://doi.org/10.3390/jmmp9080252 - 24 Jul 2025
Cited by 3 | Viewed by 2300
Abstract
Considering the importance of the automotive industry, reducing the environmental impact of automotive component manufacturing is crucial. Additionally, lightening of the latter promotes a reduction in fuel consumption throughout the vehicle’s life cycle, limiting emissions. This study presents a comprehensive approach to optimizing [...] Read more.
Considering the importance of the automotive industry, reducing the environmental impact of automotive component manufacturing is crucial. Additionally, lightening of the latter promotes a reduction in fuel consumption throughout the vehicle’s life cycle, limiting emissions. This study presents a comprehensive approach to optimizing and manufacturing a MacPherson steering knuckle using topology optimization (TO), additive manufacturing, and rapid investment casting (RIC). Static structural simulations confirmed the mechanical integrity of the optimized design, with stress and strain values remaining within the elastic limits of the SG A536 iron alloy. The TO process achieved a 30% reduction in mass, resulting in lower material use and production costs. Additive manufacturing of optimized geometry reduced resin consumption by 27% and printing time by 9%. RIC simulations validated efficient mold filling and solidification, with porosity confined to removable riser regions. Life cycle assessment (LCA) demonstrated a 27% reduction in manufacturing environmental impact and a 31% decrease throughout the component life cycle, largely due to vehicle lightweighting. The findings highlight the potential of integrated TO and advanced manufacturing techniques to produce structurally efficient and environmentally sustainable automotive components. This workflow offers promising implications for broader industrial applications that aim to balance mechanical performance with ecological responsibility. Full article
Show Figures

Figure 1

19 pages, 11860 KB  
Article
Improved Properties of Ceramic Shells by Optimizing the Surface Composition from Lanthanide-Based Composites
by Minghui Li, Jianbo Yu, Xia Li, Zhigang Yang, Zhongming Ren and Xiaoxin Zhang
Coatings 2025, 15(7), 746; https://doi.org/10.3390/coatings15070746 - 23 Jun 2025
Cited by 3 | Viewed by 748
Abstract
The precision casting of nickel-based single-crystal superalloys imposes stringent requirements on the high-temperature stability and chemical inertness of ceramic shell face coats. To address the issue of traditional EC95 shells (95% Al2O3–5% SiO2) being prone to react [...] Read more.
The precision casting of nickel-based single-crystal superalloys imposes stringent requirements on the high-temperature stability and chemical inertness of ceramic shell face coats. To address the issue of traditional EC95 shells (95% Al2O3–5% SiO2) being prone to react with the alloy melt at elevated temperatures, thereby inducing casting defects, this study proposes a lanthanide oxide-based ceramic face coat material. Three distinct powders—LaAlO3 (LA), LaAlO3/La2Si2O7 (LAS), and LaAl11O18/La2Si2O7/Al2O3 (LA11S)—are successfully prepared through solid-phase sintering of the La2O3-Al2O3-SiO2 ternary system. Their slurry properties, shell sintering processes, and high-temperature performance are systematically investigated. The results demonstrate that optimal slurry coating effectiveness is achieved when LA powder is processed with a liquid-to-powder ratio of 3:1 and a particle size of 300 mesh. While LA shells show no cracking at 1300 °C, their face coats fail above 1400 °C due to the formation of a La2Si2O7 phase. In contrast, LAS and LA11S shells suppress cracking through the La2Si2O7 and LaAl11O18 phases, respectively, exhibiting exceptionally high-temperature stability at 1400 °C and 1500 °C. All three shells meet the high-temperature strength requirements for CMSX-4 single-crystal alloy casting. Interfacial reaction analysis and Gibbs free energy calculations reveal that Al2O3-forming reactions occur between the novel shells and alloy melt, accompanied by minor dissolution erosion without other chemical side reactions. This work provides a high-performance face coat material solution for investment casting of nickel-based superalloys. Full article
(This article belongs to the Special Issue Advances in Ceramic Materials and Coatings)
Show Figures

Figure 1

12 pages, 3795 KB  
Article
Microstructural Investigation of Stress-Induced Degradation of Gamma and Gamma Prime Phases on the Surface of the Aerofoil of Nickel-Based Single Crystal Superalloy Turbine Blades
by KeeHyun Park, Jonathan Davies and Paul Withey
Crystals 2025, 15(6), 553; https://doi.org/10.3390/cryst15060553 - 10 Jun 2025
Cited by 2 | Viewed by 1913
Abstract
Nickel-based single-crystal superalloy turbine blades are typically manufactured via investment casting followed by a well-established heat treatment process, resulting in a uniform microstructure composed of thin γ channels and cubic-shaped γ’. However, the region near the corner of the aerofoil/platform of the blade [...] Read more.
Nickel-based single-crystal superalloy turbine blades are typically manufactured via investment casting followed by a well-established heat treatment process, resulting in a uniform microstructure composed of thin γ channels and cubic-shaped γ’. However, the region near the corner of the aerofoil/platform of the blade exhibits a distinct contrast compared to the surrounding area. High-resolution scanning electron microscopy (SEM) reveals significant degradation of the γ and γ’ phases in the dark contrast region. In this area, the γ’ phase no longer maintains its characteristic cubic morphology and appears partially dissolved or even melted. Although the regularity of the γ/γ’ microstructure is disrupted, the region is still composed of irregular-shaped γ and γ’ phases. Based on these microstructural observations, a possible formation mechanism of the abnormal microstructure is discussed. Although the blades are not exposed to conventional creep conditions during casting and heat treatment, residual stress accumulated during casting may be relieved at elevated temperatures during the heat treatment process. The synergistic effect of stress, temperature, and time may contribute to the formation of the observed abnormal microstructure. Full article
Show Figures

Figure 1

37 pages, 1769 KB  
Review
Economic and Social Aspects of the Space Sector Development Based on the Modified Structure–Conduct–Performance Framework
by Michał Pietrzak
World 2025, 6(2), 79; https://doi.org/10.3390/world6020079 - 1 Jun 2025
Cited by 2 | Viewed by 10046
Abstract
Background: The global space economy has grown remarkably, witnessing a 10-fold increase in active satellites during the last 15 years. This growth was accompanied by both the increase in geopolitical tensions feeding huge investments (the New Space Race), on the one hand, and [...] Read more.
Background: The global space economy has grown remarkably, witnessing a 10-fold increase in active satellites during the last 15 years. This growth was accompanied by both the increase in geopolitical tensions feeding huge investments (the New Space Race), on the one hand, and the transformation, shifting from a domain historically dominated by government-led programs to one partially energized by commercial players and innovative business models (“New Space”), on the other hand. Objective: To assess the space economy’s current state and future prospects by considering its economic and social dimensions. Methods: Over 120 scholarly articles and “grey” literature positions (e.g., industry reports) were reviewed. The review was structured by a modified Structure–Conduct–Performance framework originally developed by industrial organization (IO) scholars. Findings: Outer space creates extremely harsh conditions for placing and operating objects in orbits, which results in high launching costs, steep reliability standards, capital intensity, and risks that are unmatched in most terrestrial industries. One of the main motivations to venture into this harsh domain was, and still is, the desire to dominate or the fear of being subjugated by others. This “original sin”, born of geopolitical rivalries, continues to cast a shadow over the space economy, channeling the majority of public space budgets into military-related programs. Moreover, many space technologies have a dual-use feature. Not surprisingly, governments are still the major source of demand, dominating midstream in the space value chain. This triad—harsh physics, great power rivalry, and a state-centric midstream—produces a specificity of the sector. In the recent two decades, new entrants (called “New Space”) have begun altering market structure, resulting in new conduct patterns focused on pursuits towards serial production, reusability, and lowering costs. Performance outcomes are mixed. While some efficiency gains are unprecedented, some doubts about market power and negative externalities arise. The assessment of the space economy’s performance is a challenge, as such, due to the blurred boundary between political objectives (supplying public goods, mitigating negative externalities) and economic optimization. Such trade-offs are becoming even more complicated considering the potential conflict between national and global perspectives. The paper offers a preliminary, descriptive study of the space economy through the lens of the modified S-C-P framework, laying basic foundations for the future, possibly more rigorous research of the increasingly important space economy. Full article
Show Figures

Figure 1

Back to TopTop