Graphene/Carbon Nanotube Hybrid Nanocomposites: Effect of Compression Molding and Fused Filament Fabrication on Properties
Abstract
1. Introduction
2. Materials and Methods
2.1. Materials
2.2. Material Processing and Sample Preparation
2.2.1. Compounding
2.2.2. Compression Molding (CM)
2.2.3. Filament Extrusion
2.2.4. FFF Printed Sample Preparation
2.3. Testing Techniques
2.3.1. Scanning Electron Microscopy (SEM)
2.3.2. Melt Flow Index (MFI)
2.3.3. Tensile Test
2.3.4. Electrical Resistivity Test
2.3.5. Electromagnetic Interference Shielding Effectiveness (EMI SE)
3. Results and Discussions
3.1. Melt Flow Index and Morphology
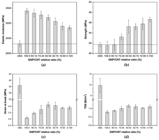
3.2. Tensile Properties
3.3. Electrical Resistivity
3.4. Electromagnetic Interference Shielding Effectiveness (EMI SE)
3.5. Comparison of the Results to Literature Data
4. Conclusions
Supplementary Materials
Author Contributions
Acknowledgments
Conflicts of Interest
References
- Mohan, V.B.; Lau, K.-T.; Hui, D.; Bhattacharyya, D. Graphene-based materials and their composites: A review on production, applications and product limitations. Compos. Part B Eng. 2018, 142, 200–220. [Google Scholar] [CrossRef]
- Chizari, K.; Arjmand, M.; Liu, Z.; Sundararaj, U.; Therriault, D. Three-dimensional printing of highly conductive polymer nanocomposites for emi shielding applications. Mater. Today Commun. 2017, 11, 112–118. [Google Scholar] [CrossRef]
- Mittal, G.; Dhand, V.; Rhee, K.Y.; Park, S.-J.; Lee, W.R. A review on carbon nanotubes and graphene as fillers in reinforced polymer nanocomposites. J. Ind. Eng. Chem. 2015, 21, 11–25. [Google Scholar] [CrossRef]
- Park, S.J.; Seo, M.K. Carbon fiber-reinforced polymer composites: Preparation, properties, and applications. In Polym. Composites; Thomas, P.D.S., Kuruvilla, P.D.J., Malhotra, D.S.K., Goda, P.K., Sreekala, D.M.S., Eds.; Wiley-VCH Verlag GmbH & Co. KGaA: Weinheim, Germany, 2012; Volume 1. [Google Scholar]
- Chen, J.; Liu, B.; Gao, X.; Xu, D. A review of the interfacial characteristics of polymer nanocomposites containing carbon nanotubes. RSC Adv. 2018, 8, 28048–28085. [Google Scholar] [CrossRef]
- Soares da Silva, J.P.; Soares, B.G.; Livi, S.; Barra, G.M.O. Phosphonium–based ionic liquid as dispersing agent for mwcnt in melt-mixing polystyrene blends: Rheology, electrical properties and emi shielding effectiveness. Mater. Chem. Phys. 2017, 189, 162–168. [Google Scholar] [CrossRef]
- Bagotia, N.; Choudhary, V.; Sharma, D.K. Synergistic effect of graphene/multiwalled carbon nanotube hybrid fillers on mechanical, electrical and emi shielding properties of polycarbonate/ethylene methyl acrylate nanocomposites. Compos. Part B Eng. 2019, 159, 378–388. [Google Scholar] [CrossRef]
- MacGregor, D.G.; Slovic, P.; Morgan, M.G. Perception of risks from electromagnetic fields: A psychometric evaluation of a risk-communication approach. Risk Anal. 1994, 14, 815–828. [Google Scholar] [CrossRef]
- Chung, D.D.L. Electromagnetic interference shielding effectiveness of carbon materials. Carbon 2001, 39, 279–285. [Google Scholar] [CrossRef]
- Thomassin, J.-M.; Jérôme, C.; Pardoen, T.; Bailly, C.; Huynen, I.; Detrembleur, C. Polymer/carbon based composites as electromagnetic interference (emi) shielding materials. Mater. Sci. Eng. R Rep. 2013, 74, 211–232. [Google Scholar] [CrossRef]
- Pawar, S.P.; Biswas, S.; Kar, G.P.; Bose, S. High frequency millimetre wave absorbers derived from polymeric nanocomposites. Polymer 2016, 84, 398–419. [Google Scholar] [CrossRef]
- Pang, H.; Xu, L.; Yan, D.-X.; Li, Z.-M. Conductive polymer composites with segregated structures. Prog. Polym. Sci. 2014, 39, 1908–1933. [Google Scholar] [CrossRef]
- Al-Saleh, M.H.; Sundararaj, U. A review of vapor grown carbon nanofiber/polymer conductive composites. Carbon 2009, 47, 2–22. [Google Scholar] [CrossRef]
- Kar, G.P.; Biswas, S.; Rohini, R.; Bose, S. Tailoring the dispersion of multiwall carbon nanotubes in co-continuous pvdf/abs blends to design materials with enhanced electromagnetic interference shielding. J. Mater. Chem. A 2015, 3, 7974–7985. [Google Scholar] [CrossRef]
- Saini, P.; Choudhary, V.; Singh, B.P.; Mathur, R.B.; Dhawan, S.K. Enhanced microwave absorption behavior of polyaniline-cnt/polystyrene blend in 12.4–18.0ghz range. Synth. Met. 2011, 161, 1522–1526. [Google Scholar] [CrossRef]
- Joseph, N.; Janardhanan, C.; Sebastian, M.T. Electromagnetic interference shielding properties of butyl rubber-single walled carbon nanotube composites. Compos. Sci. Technol. 2014, 101, 139–144. [Google Scholar] [CrossRef]
- Li, L.-y.; Li, S.-I.; Shao, Y.; Dou, R.; Yin, B.; Yang, M.-B. Pvdf/ps/hdpe/mwcnts/fe3o4 nanocomposites: Effective and lightweight electromagnetic interference shielding material through the synergetic effect of mwcnts and fe3o4 nanoparticles. Curr. Appl. Phys. 2018, 18, 388–396. [Google Scholar] [CrossRef]
- Huang, C.-Y.; Wu, C.-C. The emi shielding effectiveness of pc/abs/nickel-coated-carbon-fibre composites. Eur. Polym. J. 2000, 36, 2729–2737. [Google Scholar] [CrossRef]
- Huang, C.-Y.; Pai, J.-F. Studies on processing parameters and thermal stability of encf/abs composites for emi shielding. J. Appl. Polym. Sci. 1997, 63, 115–123. [Google Scholar] [CrossRef]
- Rostami, A.; Masoomi, M.; Fayazi, M.J.; Vahdati, M. Role of multiwalled carbon nanotubes (mwcnts) on rheological, thermal and electrical properties of pc/abs blend. RSC Adv. 2015, 5, 32880–32890. [Google Scholar] [CrossRef]
- Jyoti, J.; Basu, S.; Singh, B.P.; Dhakate, S.R. Superior mechanical and electrical properties of multiwall carbon nanotube reinforced acrylonitrile butadiene styrene high performance composites. Compos. Part B Eng. 2015, 83, 58–65. [Google Scholar] [CrossRef]
- Schmitz, D.P.; Ecco, L.G.; Dul, S.; Pereira, E.C.L.; Soares, B.G.; Barra, G.M.O.; Pegoretti, A. Electromagnetic interference shielding effectiveness of abs carbon-based composites manufactured via fused deposition modelling. Mater. Today Commun. 2018, 15, 70–80. [Google Scholar] [CrossRef]
- Ecco, L.; Dul, S.; Schmitz, D.; Barra, G.; Soares, B.; Fambri, L.; Pegoretti, A. Rapid prototyping of efficient electromagnetic interference shielding polymer composites via fused deposition modeling. Appl. Sci. 2018, 9, 37. [Google Scholar] [CrossRef]
- Dimitrov, D.; Schreve, K.; Beer, N.D. Advances in three dimensional printing – state of the art and future perspectives. Rapid Prototyp. J. 2006, 12, 136–147. [Google Scholar] [CrossRef]
- Krawczak, P. Additive manufacturing of plastic and polymer composite parts: Promises and challenges of 3d-printing. Express Polym. Lett. 2015, 9, 959. [Google Scholar] [CrossRef]
- Durgun, I.; Ertan, R. Experimental investigation of fdm process for improvement of mechanical properties and production cost. Rapid Prototyp. J. 2014, 20, 228–235. [Google Scholar] [CrossRef]
- Parandoush, P.; Lin, D. A review on additive manufacturing of polymer-fiber composites. Compos. Struct. 2017, 182, 36–53. [Google Scholar] [CrossRef]
- Li, J.; Wong, P.-S.; Kim, J.-K. Hybrid nanocomposites containing carbon nanotubes and graphite nanoplatelets. Mater. Sci. Eng. A 2008, 483, 660–663. [Google Scholar] [CrossRef]
- Yang, S.-Y.; Lin, W.-N.; Huang, Y.-L.; Tien, H.-W.; Wang, J.-Y.; Ma, C.-C.M.; Li, S.-M.; Wang, Y.-S. Synergetic effects of graphene platelets and carbon nanotubes on the mechanical and thermal properties of epoxy composites. Carbon 2011, 49, 793–803. [Google Scholar] [CrossRef]
- Wang, P.-N.; Hsieh, T.-H.; Chiang, C.-L.; Shen, M.-Y. Synergetic effects of mechanical properties on graphene nanoplatelet and multiwalled carbon nanotube hybrids reinforced epoxy/carbon fiber composites. J. Nanomater. 2015, 2015, 9. [Google Scholar] [CrossRef]
- Ivanov, E.; Kotsilkova, R.; Xia, H.; Chen, Y.; Donato, R.K.; Donato, K.; Godoy, A.P.; Di Maio, R.; Silvestre, C.; Cimmino, S.; et al. Pla/graphene/mwcnt composites with improved electrical and thermal properties suitable for fdm 3d printing applications. Appl. Sci. 2019, 9, 1209. [Google Scholar] [CrossRef]
- Spinelli, G.; Lamberti, P.; Tucci, V.; Kotsilkova, R.; Tabakova, S.; Ivanova, R.; Angelova, P.; Angelov, V.; Ivanov, E.; Di Maio, R.; et al. Morphological, rheological and electromagnetic properties of nanocarbon/poly(lactic) acid for 3d printing: Solution blending vs. Melt mixing. Materials 2018, 11, 2256. [Google Scholar] [CrossRef] [PubMed]
- Spinelli, G.; Lamberti, P.; Tucci, V.; Kotsilkova, R.; Ivanov, E.; Menseidov, D.; Naddeo, C.; Romano, V.; Guadagno, L.; Adami, R.; et al. Nanocarbon/poly(lactic) acid for 3d printing: Effect of fillers content on electromagnetic and thermal properties. Materials 2019, 12, 2369. [Google Scholar] [CrossRef] [PubMed]
- Yuan, D.; Pedrazzoli, D.; Manas-Zloczower, I. Synergistic effects in thermoplastic polyurethanes incorporating hybrid carbon nanofillers. Int. Polym. Process. 2016, 31, 554–561. [Google Scholar] [CrossRef]
- Gonçalves, J.; Lima, P.; Krause, B.; Pötschke, P.; Lafont, U.; Gomes, J.; Abreu, C.; Paiva, M.; Covas, J. Electrically conductive polyetheretherketone nanocomposite filaments: From production to fused deposition modeling. Polymers 2018, 10, 925. [Google Scholar] [CrossRef] [PubMed]
- Daniel, F.; Patoary, N.H.; Moore, A.L.; Weiss, L.; Radadia, A.D. Temperature-dependent electrical resistance of conductive polylactic acid filament for fused deposition modeling. Int. J. Adv. Manuf. Technol. 2018, 99, 1215–1224. [Google Scholar] [CrossRef]
- Dul, S.; Fambri, L.; Pegoretti, A. Fused deposition modelling with abs–graphene nanocomposites. Compos. Part A Appl. Sci. Manuf. 2016, 85, 181–191. [Google Scholar] [CrossRef]
- Dorigato, A.; Moretti, V.; Dul, S.; Unterberger, S.H.; Pegoretti, A. Electrically conductive nanocomposites for fused deposition modelling. Synth. Met. 2017, 226, 7–14. [Google Scholar] [CrossRef]
- Dul, S.; Fambri, L.; Pegoretti, A. Filaments production and fused deposition modelling of abs/carbon nanotubes composites. Nanomaterials 2018, 8, 49–73. [Google Scholar]
- Dul, S.; Pegoretti, A.; Fambri, L. Effects of the nanofillers on physical properties of acrylonitrile-butadiene-styrene nanocomposites: Comparison of graphene nanoplatelets and multiwall carbon nanotubes. Nanomaterials 2018, 8, 674. [Google Scholar] [CrossRef]
- Versalis, S.P.A. sinkral® f 322- abs Product Data. Available online: https://www.Materialdatacenter.Com/ms/en/sinkral/versalis+s%252ep%252ea/sinkral%c2%ae+f+332/c6da6726/1895 (accessed on 15 April 2019).
- Xg Sciences (2017) xgnp® Graphene Nanoplatelets Grade M Product Data. Available online: https://xgsciences.Com/materials/graphene-nano-platelets (accessed on 15 April 2019).
- Nanocyl®nc7000tm (2016) Multiwall Carbon Nanotubes Product Data. Available online: http://www.Nanocyl.Com/wp-content/uploads/2016/07/dm-ti-02-tds-nc7000-v08.Pdfxg (accessed on 15 April 2019).
- Dul, S.; Fambri, L.; Merlini, C.; Barra, G.M.O.; Bersani, M.; Vanzetti, L.; Pegoretti, A. Effect of graphene nanoplatelets structure on the properties of acrylonitrile–butadiene–styrene composites. Polym. Compos. 2019, 40, E285–E300. [Google Scholar] [CrossRef]
- Shokrieh, M.M.; Esmkhani, M.; Shahverdi, H.R.; Vahedi, F. Effect of graphene nanosheets (gns) and graphite nanoplatelets (gnp) on the mechanical properties of epoxy nanocomposites. Sci. Adv. Mater. 2013, 5, 260–266. [Google Scholar] [CrossRef]
- Batakliev, T.; Georgiev, V.; Ivanov, E.; Kotsilkova, R.; Di Maio, R.; Silvestre, C.; Cimmino, S. Nanoindentation analysis of 3d printed poly(lactic acid)-based composites reinforced with graphene and multiwall carbon nanotubes. J. Appl. Polym. Sci. 2019, 136, 47260. [Google Scholar] [CrossRef]
- Dul, S.; Pegoretti, A.; Fambri, L. Fused filament fabrication of piezoresistive carbon nanotubes nanocomposites for strain monitoring. Front. Mater. 2020, in press. [Google Scholar]
- Ramôa, S.D.A.S.; Barra, G.M.O.; Merlini, C.; Schreiner, W.H.; Livi, S.; Soares, B.G. Production of montmorillonite/polypyrrole nanocomposites through in situ oxidative polymerization of pyrrole: Effect of anionic and cationic surfactants on structure and properties. Appl. Clay Sci. 2015, 104, 160–167. [Google Scholar] [CrossRef]
- Soares, B.G.; Leyva, M.E.; Barra, G.M.O.; Khastgir, D. Dielectric behavior of polyaniline synthesized by different techniques. Eur. Polym. J. 2006, 42, 676–686. [Google Scholar] [CrossRef]
- Sachdev, V.K.; Sharma, S.K.; Tomar, M.; Gupta, V.; Tandon, R.P. Emi shielding of mwcnt/abs nanocomposites in contrast to graphite/abs composites and mwcnt/ps nanocomposites. RSC Adv. 2016, 6, 45049–45058. [Google Scholar] [CrossRef]
- Sachdev, V.K.; Patel, K.; Bhattacharya, S.; Tandon, R.P. Electromagnetic interference shielding of graphite/acrylonitrile butadiene styrene composites. J. Appl. Polym. Sci. 2011, 120, 1100–1105. [Google Scholar] [CrossRef]
- Gao, C.; Zhang, S.; Wang, F.; Wen, B.; Han, C.; Ding, Y.; Yang, M. Graphene networks with low percolation threshold in abs nanocomposites: Selective localization and electrical and rheological properties. ACS Appl. Mater. Interfaces 2014, 6, 12252–12260. [Google Scholar] [CrossRef]
- Heo, C.; Moon, H.-G.; Yoon, C.S.; Chang, J.-H. Abs nanocomposite films based on functionalized-graphene sheets. J. Appl. Polym. Sci. 2012, 124, 4663–4670. [Google Scholar] [CrossRef]
- Hong, N.; Zhan, J.; Wang, X.; Stec, A.A.; Richard Hull, T.; Ge, H.; Xing, W.; Song, L.; Hu, Y. Enhanced mechanical, thermal and flame retardant properties by combining graphene nanosheets and metal hydroxide nanorods for acrylonitrile–butadiene–styrene copolymer composite. Compos. Part A Appl. Sci. Manuf. 2014, 64, 203–210. [Google Scholar] [CrossRef]
- Dahiya, H.S.; Kishore, N.; Mehra, R.M. Effect of percolation on electrical and dielectric properties of acrylonitrile butadiene styrene/graphite composite. J. Appl. Polym. Sci. 2007, 106, 2101–2110. [Google Scholar] [CrossRef]
- Wei, X.; Li, D.; Jiang, W.; Gu, Z.; Wang, X.; Zhang, Z.; Sun, Z. 3d printable graphene composite. Sci. Rep. 2015, 5, 11181. [Google Scholar] [CrossRef] [PubMed]
- Pandey, A.K.; Kumar, R.; Kachhavah, V.S.; Kar, K.K. Mechanical and thermal behaviours of graphite flake-reinforced acrylonitrile-butadiene-styrene composites and their correlation with entanglement density, adhesion, reinforcement and c factor. RSC Adv. 2016, 6, 50559–50571. [Google Scholar] [CrossRef]
- Pour, R.H.; Hassan, A.; Soheilmoghaddam, M.; Bidsorkhi, H.C. Mechanical, thermal, and morphological properties of graphene reinforced polycarbonate/acrylonitrile butadiene styrene nanocomposites. Polym. Compos. 2016, 37, 1633–1640. [Google Scholar] [CrossRef]
- Zhang, D.; Chi, B.; Li, B.; Gao, Z.; Du, Y.; Guo, J.; Wei, J. Fabrication of highly conductive graphene flexible circuits by 3d printing. Synth. Met. 2016, 217, 79–86. [Google Scholar] [CrossRef]
- Gnanasekaran, K.; Heijmans, T.; van Bennekom, S.; Woldhuis, H.; Wijnia, S.; de With, G.; Friedrich, H. 3d printing of cnt- and graphene-based conductive polymer nanocomposites by fused deposition modeling. Appl. Mater. Today 2017, 9, 21–28. [Google Scholar] [CrossRef]
- Chatterjee, S.; Nüesch, F.A.; Chu, B.T.T. Comparing carbon nanotubes and graphene nanoplatelets as reinforcements in polyamide 12 composites. Nanotechnology 2011, 22, 275714. [Google Scholar] [CrossRef]
- Al-Saleh, M.H.; Al-Anid, H.K.; Hussain, Y.A. Cnt/abs nanocomposites by solution processing: Proper dispersion and selective localization for low percolation threshold. Compos. Part A Appl. Sci. Manuf. 2013, 46, 53–59. [Google Scholar] [CrossRef]
- Wu, C.S.; Liao, H.T. Interface design of environmentally friendly carbon nanotube-filled polyester composites: Fabrication, characterisation, functionality and application. Express Polym. Lett. 2017, 11, 187–198. [Google Scholar] [CrossRef]
- Zhang, J.; Yang, B.; Fu, F.; You, F.; Dong, X.; Dai, M. Resistivity and its anisotropy characterization of 3d-printed acrylonitrile butadiene styrene copolymer (abs)/carbon black (cb) composites. Appl. Sci. 2017, 7, 20. [Google Scholar] [CrossRef]
- Kotsilkova, R.; Petrova-Doycheva, I.; Menseidov, D.; Ivanov, E.; Paddubskaya, A.; Kuzhir, P. Exploring thermal annealing and graphene-carbon nanotube additives to enhance crystallinity, thermal, electrical and tensile properties of aged poly(lactic) acid-based filament for 3d printing. Compos. Sci. Technol. 2019, 181, 107712. [Google Scholar] [CrossRef]













| Nanoparticle | Length/Width (μm) | Diameter/Thickness (nm) | Surface Area (m2/g) | Carbon Purity (%) | Density (g/cm3) | Manufacturer |
|---|---|---|---|---|---|---|
| xGnP-M5 | 5 | 6–8 | 120–150 | >99.5 | 2.06 ± 0.03 * | XG sciences, USA [42] |
| MWCNT-NC7000 | 1.5 | 9.5 | 250–300 | >90 | 2.15 ± 0.03 ** | Nanocyl, Belgium [43] |
| Sample | ABS (wt.%) | GNP (wt.%) | CNT (wt.%) | GNP/CNT Relative Ratio |
|---|---|---|---|---|
| ABS | 100 | 0 | 0 | 0:0 |
| GNP/CNT (100:0) | 94 | 6.0 | 0.0 | 100:0 |
| GNP/CNT (90:10) | 94 | 5.4 | 0.6 | 90:10 |
| GNP/CNT (70:30) | 94 | 4.2 | 1.8 | 70:30 |
| GNP/CNT (50:50) | 94 | 3.0 | 3.0 | 50:50 |
| GNP/CNT (30:70) | 94 | 1.8 | 4.2 | 30:70 |
| GNP/CNT (10:90) | 94 | 0.6 | 5.4 | 10:90 |
| GNP/CNT (0:100) | 94 | 0.0 | 6.0 | 0:100 |
| Matrix | Type of Nanofiller | Nanofiller | Process Technique * | Modulus ** | Strength ** | Conductivity (S/cm) | EMI SE | References | |
|---|---|---|---|---|---|---|---|---|---|
| Content | Thickness | (-dB) | |||||||
| Graphene | |||||||||
| ABS | GNP nanosheet | 0.13 vol.% | SM/CM | - | - | 1.0 × 10−3 | - | - | [52] |
| ABS | C18-graphene | 1 wt.% | SM/SC | +18% | +38% | − | - | - | [53] |
| ABS | GNP nanosheet | 2 wt.% | SM/CM | +48% | +41% | − | - | - | [54] |
| ABS | Graphite | 4.9 vol.% | MM/CM | - | - | 2.0 × 10−1 | - | [55] | |
| ABS | GO | 5.6 wt.% | SM/3DP | - | - | 1.1 × 10−5 | - | - | [56] |
| ABS | Graphite | 15 wt.% | MM/CM | - | - | 1.6 × 10−1 | 3 mm | 60 at 8.0–12.0 GHz | [51] |
| ABS | Graphite | 40 vol.% | MM/IM | +96% | −19% | − | - | - | [57] |
| ABS/PC | GNP | 3 wt.% | MM/IM | +30% | +15% | − | - | - | [58] |
| PLA | r-GO | 6 wt.% | MM/3DP | +36% | +74% | 4.7 × 100 | - | [59] | |
| PLA | GNP | 6 wt.% | MM/3DP | - | - | 8.4 × 10−5 | - | - | [31] |
| PLA | GNP | 12 wt.% | MM/3DP | - | - | 6.3 × 10−2 | 10 mm | 10.2 at 30 GHz | [33] |
| PBT | GNP | 8.4 vol.% | SM/3DP | - | - | 4.0 × 10−2 | - | - | [60] |
| PA12 | Graphene | 5 wt.% | MM/CM | - | - | 2.0 × 10−2 | - | - | [61] |
| Carbon Nanotubes | |||||||||
| ABS | CNT | 3 wt.% | MM/CM | - | - | 10−2 | 2 mm | 10 at 8.2–12.4 GHz | [22] |
| ABS | CNT | 5 wt.% | Solid mixing/CM | - | - | 2.0 × 10−3 | 2.8 mm | 38.0 at 8–12 GHz | [50] |
| ABS | CNT | 6.1 vol.% | SM/CM | - | - | 1.0 × 100 | - | - | [62] |
| PLA | CNT | 12 wt.% | MM/3DP | - | - | 4.5 × 10−2 | 10 mm | 10.2 at 30 GHz | [33] |
| PLA | CNT | 6 wt.% | MM/3DP | - | - | 2.1 × 10−4 | - | - | [31] |
| PHAs | f-MWCNT | 1 wt.% | MM/extrusion | +33% | +102% | 1.0 × 10−7 | - | - | [63] |
| PA12 | CNT | 5 wt.% | MM/CM | - | - | 1.4 × 10−1 | - | - | [61] |
| PBT | CNT | 3.5 vol.% | SM/3DP | - | - | 2.5 × 10−1 | - | - | [60] |
| Carbon Black | |||||||||
| ABS | CB | 3 wt.% | MM/CM | - | - | 10−7 | 2 mm | 4 at 8.2–12.4 GHz | [22] |
| ABS | CB | 15 wt.% | MM/3DP | - | - | 3.4 × 10−4 | - | - | [64] |
| Hybrids | |||||||||
| ABS | CB/CNT | 3 wt.% | MM/3DP | - | - | 10−3 | 2 mm | 8 at 8.2–12.4 GHz | [22] |
| PLA | GNP/CNT | 12 wt.% | MM/3DP | ~20% | - | − | - | - | [46] |
| PLA | GNP/CNT | 12 wt.% | MM/3DP | 46% | -21% | 2.2 × 10−3 | - | - | [65] |
| PLA | GNP/CNT | 6 wt.% | MM/3DP | - | - | 5.9 × 10−2 | - | - | [31] |
| PLA | GNP/CNT | 12 wt.% | MM/3DP | - | - | 9.5 × 10−3 | 10 mm | 13.5 at 30 GHz | [33] |
| PEEK | GNP/CNT | 7 wt.% | MM/3DP | ~ +11% | ~ +2% | ~1.0 × 10−6 | - | - | [35] |
| ABS | - | 0 | MM/3DP | 2308 MPa | 41.1 MPa | 1.6 × 10−16 | 2 mm | 2.7 at 8.2–12.4 GHz | This study |
| ABS | GNP | 6 wt.% | MM/3DP | +38% | −1% | 1.9 × 10−15 | 2 mm | 4.4 at 8.2–12.4 GHz | This study |
| ABS | CNT | 6 wt.% | MM/3DP | +19% | +5% | 6.8 × 10−6 | 2 mm | 15.3 at 8.2–12.4 GHz | This study |
| ABS | GNP/CNT | 6 wt.% | MM/3DP | +38% | −4% | 2.0 × 10−2 | 2 mm | 12.7 at 8.2–12.4 GHz | This study |
© 2020 by the authors. Licensee MDPI, Basel, Switzerland. This article is an open access article distributed under the terms and conditions of the Creative Commons Attribution (CC BY) license (http://creativecommons.org/licenses/by/4.0/).
Share and Cite
Dul, S.; Ecco, L.G.; Pegoretti, A.; Fambri, L. Graphene/Carbon Nanotube Hybrid Nanocomposites: Effect of Compression Molding and Fused Filament Fabrication on Properties. Polymers 2020, 12, 101. https://doi.org/10.3390/polym12010101
Dul S, Ecco LG, Pegoretti A, Fambri L. Graphene/Carbon Nanotube Hybrid Nanocomposites: Effect of Compression Molding and Fused Filament Fabrication on Properties. Polymers. 2020; 12(1):101. https://doi.org/10.3390/polym12010101
Chicago/Turabian StyleDul, Sithiprumnea, Luiz Gustavo Ecco, Alessandro Pegoretti, and Luca Fambri. 2020. "Graphene/Carbon Nanotube Hybrid Nanocomposites: Effect of Compression Molding and Fused Filament Fabrication on Properties" Polymers 12, no. 1: 101. https://doi.org/10.3390/polym12010101
APA StyleDul, S., Ecco, L. G., Pegoretti, A., & Fambri, L. (2020). Graphene/Carbon Nanotube Hybrid Nanocomposites: Effect of Compression Molding and Fused Filament Fabrication on Properties. Polymers, 12(1), 101. https://doi.org/10.3390/polym12010101

