The Structure and Properties of Polyacrylonitrile Nascent Composite Fibers with Grafted Multi Walled Carbon Nanotubes Prepared by Wet Spinning Method
Abstract
1. Introduction
2. Experiment
2.1. Materials
2.2. Preparation of the Amino-MWCNTs
2.3. PAN Grafted Amino-MWCNT Nanocomposites
2.4. The Grafted MWCNT/PAN Nascent Composite Fibers
2.5. Characterization
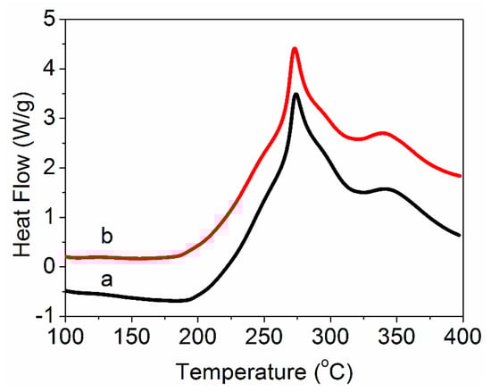
3. Results and Discussion
4. Conclusions
Author Contributions
Funding
Conflicts of Interest
References
- Ebbesen, T.W.; Lezec, H.J.; Hiura, H.; Bennett, J.W.; Ghaemi, H.F.; Thio, T. Electrical conductivity of individual carbon nanotubes. Nature 1996, 382, 54–56. [Google Scholar] [CrossRef]
- Liu, Y.; Kumar, S. Polymer/carbon nanotube nano composite fibers-a review. ACS Appl. Mater. Interface 2014, 6, 6069–6087. [Google Scholar] [CrossRef] [PubMed]
- Islam, M.F.; Rojas, E.; Bergey, D.M.; Johnson, A.T.; Yodh, A.G. High weight fraction surfactant solubilization of single-wall carbon nanotubes in water. Nano Lett. 2003, 3, 269–273. [Google Scholar] [CrossRef]
- Qin, S.; Qin, D.; Ford, W.T.; Resasco, D.E.; Herrera, J.E. Polymers brushes on single-walled carbon nanotubes by atom transfer radical polymerization of n-butyl methacrylate. J. Am. Chem. Soc. 2003, 126, 170–176. [Google Scholar] [CrossRef] [PubMed]
- Yao, Z.; Braidy, N.; Botton, G.A.; Adronov, A. Polymerization from the surface of single-walled carbon nanotubes-preparation and characterization of nanocomposites. J. Am. Chem. Soc. 2003, 125, 16015–16024. [Google Scholar] [CrossRef] [PubMed]
- Katti, P.; Bose, S.; Kumar, S. Tailored interface resulting in improvement in mechanical properties of epoxy composited containing poly(ether ether ketone) grafted multiwall carbon nanotubes. Polymer 2016, 102, 43–53. [Google Scholar] [CrossRef]
- Konnola, R.; Nair, C.P.R.; Joseph, K. High strength toughened epoxy nanocomposite based on poly(ether sulfone)-grafted multiwalled carbon nanotube. Polym. Adv. Technol. 2016, 27, 82–89. [Google Scholar] [CrossRef]
- Patole, A.S.; Patole, S.P.; Yoo, J.B.; An, J.H.; Kim, T.H. Fabrication of polystyrene/multiwalled carbon nanotube composite films synthesized by in situ microemulsion polymerization. Polym. Eng. Sci. 2013, 53, 1327–1336. [Google Scholar] [CrossRef]
- Mahmood, N.; Islam, M.; Hameed, A.; Saeed, S. Polyamide 6/multiwalled carbon nanotubes nanocomposites with modified morphology and thermal properties. Polymers 2013, 5, 1380–1391. [Google Scholar] [CrossRef]
- Khan, M.U.; Reddy, K.R.; Snguanwongchai, T.; Haque, E.; Gomes, V.G. Polymer brush synthesis on surface modified carbon nanotubes via in situ emulsion polymerization. Colloid Polym. Sci. 2016, 294, 1599–1610. [Google Scholar] [CrossRef]
- Wang, C.; Xu, J.; Yang, J.; Qian, Y.; Liu, H. In-situ polymerization and multifunctional properties of surface-modified multiwalled carbon nanotube-reinforced polyimide nanocomposites. High Perform. Polym. 2017, 29, 797–807. [Google Scholar] [CrossRef]
- Yan, D.; Yang, G. A novel approach of in situ grafting polyamide 6 to the surface of multi-walled carbon nanotubes. Mater. Lett. 2009, 63, 298–300. [Google Scholar] [CrossRef]
- Hwang, G.L.; Shieh, Y.T.; Hwang, K.C. Efficient load transfer to polymer-grafted multiwalled carbon nanotubes in polymer composites. Adv. Funct. Mater. 2004, 14, 487–491. [Google Scholar] [CrossRef]
- Sreekumar, T.V.; Liu, T.; Min, B.G.; Guo, H.; Kumar, S.; Hauge, R.H.; Smalley, R.E. Polyacrylonitrile single-walled carbon nanotube composite fibers. Adv. Mater. 2004, 16, 58–61. [Google Scholar] [CrossRef]
- Majeed, S.; Fierro, D.; Buhr, K.; Wind, J.; Du, B.; Boschetti-de-Fierro, A.; Abetz, V. Multi-walled carbon nanotubes (MWCNTs) mixed polyacrylonitrile (PAN) ultrafiltration membranes. J. Membr. Sci. 2012, 403, 101–109. [Google Scholar] [CrossRef]
- Kim, S.H.; Min, B.G.; Lee, S.C. Properties of polyacrylonitrile/single wall carbon nanotube composite films prepared in nitric acid. Fibers Polym. 2005, 6, 108–112. [Google Scholar] [CrossRef]
- Zhou, H.; Tang, X.; Dong, Y.; Chen, L.; Zhang, L.; Wang, W.; Xiong, X. Multiwalled carbon nanotube/polyacrylonitrile composite fibers prepared by in situ polymerization. J. Appl. Polym. Sci. 2011, 120, 1385–1389. [Google Scholar] [CrossRef]
- Poochai, C.; Pongprayoon, T. Enhancing dispersion of carbon nanotube in polyacrylonitrile matrix using admicellar polymerization. Colloids Surf. A 2014, 456, 67–74. [Google Scholar] [CrossRef]
- Quan, L.; Zhang, H.; Xu, L. Orientation and thermal properties of carbon nanotube/polyacrylonitrile nascent composite fibers. J. Polym. Res. 2015, 22, 1–6. [Google Scholar] [CrossRef]
- Bell, J.P.; Dumbleton, J.H. Changes in the structure of wet-spun acrylic fibers during processing. Text. Res. J. 1971, 41, 196–203. [Google Scholar] [CrossRef]
- Bashir, Z. Thermoreversible gelation and plasticization of polyacrylonitrile. Polymer 1992, 33, 4304–4313. [Google Scholar] [CrossRef]
- Vuković, G.; Marinković, A.; Obradović, M.; Radmilović, V.; Čolić, M.; Aleksić, R.; Uskoković, P.S. Synthesis, characterization and cytotoxicity of surface amino-functionalized water-dispersible multi-walled carbon nanotubes. Appl. Surf. Sci. 2009, 255, 8067–8075. [Google Scholar] [CrossRef]
- Valentini, L.; Macan, J.; Armentano, I.; Mengoni, F.; Kenny, J.M. Modification of fluorinated single-walled carbon nanotubes with aminosilane molecules. Carbon 2006, 44, 2196–2201. [Google Scholar] [CrossRef]
- Zhao, Y.Q.; Wang, C.G.; Bai, Y.J.; Chen, G.W.; Jing, M.; Zhu, B. Property changes of powdery polyacrylonitrile synthesized by aqueous suspension polymerization during heat treatment process under air atmosphere. J. Colloid Interface Sci. 2009, 329, 48–53. [Google Scholar] [CrossRef] [PubMed]
- Bajaj, P.; Sen, K.; Bahrami, S.H. Solution polymerization of acrylonitrile with vinyl acids in dimethylformamide. J. Appl. Polym. Sci. 1996, 59, 1539–1550. [Google Scholar] [CrossRef]
- Ma, H.Y.; Tong, L.F.; Xu, Z.B.; Fang, Z.P. Functionalizing carbon nanotubes by grafting on intumescent flame ratardant: Nanocomposite synthesis, morphology, rheology, and flammability. Adv. Funct. Mater. 2008, 18, 414–421. [Google Scholar] [CrossRef]
- Owens, F.J. Raman and mechanical properties measurements of single walled carbon nanotube composites of polyisobutylene. J. Mater. Chem. 2006, 16, 505–508. [Google Scholar] [CrossRef]
- Liu, M.; Zhu, T.; Li, Z.; Liu, Z. One-step in situ synthesis of poly(methyl mechacrylate)-grafted single-walled carbon nanotube composites. J. Phys. Chem. C 2009, 113, 9670–9675. [Google Scholar] [CrossRef]
- Koganemaru, A.; Bin, Y.; Agari, Y.; Matsuo, M. Composites of polyacrylonitrile and multiwalled carbon nanotubes prepared by gelation/crystallization from solution. Adv. Funct. Mater. 2004, 14, 842–850. [Google Scholar] [CrossRef]
- Dong, X.G.; Wang, C.G.; Chen, J.; Cao, W.W. Crystallinity development in polyacrylonitrile nascent fibers during coagulation. J. Polym. Res. 2008, 15, 125–130. [Google Scholar] [CrossRef]
- Zhang, H.; Xu, L.; Yang, F.; Geng, L. The synthesis of polyacrylonitrile/carbon nanotube microspheres by aqueous deposition polymerization under ultrasonication. Carbon 2010, 48, 688–695. [Google Scholar] [CrossRef]
- Youssefi, M.; Safaie, B. Effect of multi walled carbon nanotube on the crystalline structure of polypropylene fibers. Fibers Polym. 2013, 14, 1602–1607. [Google Scholar] [CrossRef]
- Zhang, H.; Quan, L.; Shi, F.; Li, C.; Liu, H.; Xu, L. Multi-walled carbon nanotube/polyacrylonitrile concentrated solutions and crystal structure of composite fibers. Polymers 2018, 10, 186. [Google Scholar] [CrossRef]









| Samples | Degree of Crystallization (%) | Crystal Size (nm) |
|---|---|---|
| PAN | 35.23 | 3.01 |
| grafted MWCNT/PAN | 38.73 | 3.42 |
| Samples | Ti (°C) | T1 (°C) | T2 (°C) | Tf (°C) | ΔH (J·g−1) | ΔT (°C) | ΔH/ΔT (J·g−1·°C−1) |
|---|---|---|---|---|---|---|---|
| PAN | 194.0 | 273.9 | 340.9 | 390.3 | 1546 | 196.3 | 7.9 |
| grafted MWCNT/PAN | 188.1 | 273.0 | 339.5 | 388.9 | 1470 | 200.8 | 7.3 |
| Samples | Tensile Strength (cN/dtex) | Tensile Modulus (cN/dtex) | Breaking Elongation (%) |
|---|---|---|---|
| PAN | 3.83 ± 0.34 | 101.73 ± 9.32 | 50.63 ± 4.24 |
| grafted MWCNT/PAN | 4.37 ± 0.28 | 121.82 ± 8.13 | 32.68 ± 2.33 |
© 2019 by the authors. Licensee MDPI, Basel, Switzerland. This article is an open access article distributed under the terms and conditions of the Creative Commons Attribution (CC BY) license (http://creativecommons.org/licenses/by/4.0/).
Share and Cite
Zhang, H.; Quan, L.; Gao, A.; Tong, Y.; Shi, F.; Xu, L. The Structure and Properties of Polyacrylonitrile Nascent Composite Fibers with Grafted Multi Walled Carbon Nanotubes Prepared by Wet Spinning Method. Polymers 2019, 11, 422. https://doi.org/10.3390/polym11030422
Zhang H, Quan L, Gao A, Tong Y, Shi F, Xu L. The Structure and Properties of Polyacrylonitrile Nascent Composite Fibers with Grafted Multi Walled Carbon Nanotubes Prepared by Wet Spinning Method. Polymers. 2019; 11(3):422. https://doi.org/10.3390/polym11030422
Chicago/Turabian StyleZhang, Hailong, Ling Quan, Aijun Gao, Yuping Tong, Fengjun Shi, and Lianghua Xu. 2019. "The Structure and Properties of Polyacrylonitrile Nascent Composite Fibers with Grafted Multi Walled Carbon Nanotubes Prepared by Wet Spinning Method" Polymers 11, no. 3: 422. https://doi.org/10.3390/polym11030422
APA StyleZhang, H., Quan, L., Gao, A., Tong, Y., Shi, F., & Xu, L. (2019). The Structure and Properties of Polyacrylonitrile Nascent Composite Fibers with Grafted Multi Walled Carbon Nanotubes Prepared by Wet Spinning Method. Polymers, 11(3), 422. https://doi.org/10.3390/polym11030422

