Modelling of Optical Damage in Nanorippled ZnO Produced by Ion Irradiation
Abstract
1. Introduction
2. Materials and Methods
3. Results and Discussion
3.1. Pattern Formation
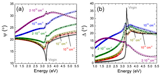
3.2. Structural and Optical Damage
4. Conclusions
Author Contributions
Funding
Acknowledgments
Conflicts of Interest
References
- Muñoz-García, J.; Vázquez, L.; Castro, M.; Gago, R.; Redondo-Cubero, A.; Moreno-Barrado, A.; Cuerno, R. Self-organized nanopatterning of silicon surfaces by ion beam sputtering. Mater. Sci. Eng. R-Rep. 2014, 86, 1–44. [Google Scholar] [CrossRef]
- Facsko, S.; Dekorsy, T.; Koerdt, C.; Trappe, C.; Kurz, H.; Vogt, A.; Hartnagel, H.L. Formation of ordered nanoscale semiconductor dots by ion sputtering. Science 1999, 285, 1551–1553. [Google Scholar] [CrossRef] [PubMed]
- Frost, F.; Schindler, A.; Bigl, F. Roughness Evolution of ion sputtered rotating InP surfaces: pattern formation and scaling laws. Phys. Rev. Lett. 2000, 85, 4116–4119. [Google Scholar] [CrossRef] [PubMed]
- Frost, F.; Ziberi, B.; Höche, T.; Rauschenbach, B. The shape and ordering of self-organized nanostructures by ion sputtering. Nucl. Instr. Meth. B 2004, 216, 9–19. [Google Scholar] [CrossRef]
- Facsko, S.; Kurz, H.; Dekorsy, T. Energy dependence of quantum dot formation by ion sputtering. Phys. Rev. B 2001, 63, 1–5. [Google Scholar] [CrossRef]
- Wendler, E.; Wesch, W.; Azarov, A.Y.; Catarino, N.; Redondo-Cubero, A.; Alves, E.; Lorenz, K. Comparison of low- and room-temperature damage formation in Ar ion implanted GaN and ZnO. Nucl. Instrum. Meth. B 2003, 307, 394–398. [Google Scholar] [CrossRef]
- Nakamura, S.; Pearton, S.; Fasol, G. The Blue Laser Diode; Springer: Berlin, Germany, 1997. [Google Scholar]
- Nakahara, K.; Akasaka, S.; Yuji, H.; Tamura, K.; Fujii, T.; Nishimoto, Y.; Takamizu, D.; Sasaki, A.; Tanabe, T.; Takasu, H.; et al. Nitrogen doped MgxZn1−xO/ZnO single heterostructure ultraviolet light-emitting diodes on ZnO substrates. Appl. Phys. Lett. 2010, 97, 1–3. [Google Scholar] [CrossRef]
- Qian, H.X.; Zhou, W. Focused ion beam irradiation of ZnO film: an atomic force microscopy study. J. Phys. D: Appl. Phys. 2009, 42, 1–5. [Google Scholar] [CrossRef]
- Jia, X.; Jia, T.Q.; Zhang, Y.; Xiong, P.X.; Feng, D.H.; Sun, Z.R.; Qiu, J.R.; Xu, Z.Z. Periodic nanoripples in the surface and subsurface layers in ZnO irradiated by femtosecond laser pulses. Optics Lett. 2010, 35, 1248–1250. [Google Scholar] [CrossRef]
- Bhattacharjee, S.; Karmakar, P.; Sinha, A.K.; Charkrabarti, A. Ripple topography on thin ZnO films by grazing and oblique incidence ion sputtering. Appl. Surf. Sci. 2011, 257, 6775–6778. [Google Scholar] [CrossRef]
- Petrik, P.; Polgár, O.; Fried, M.; Lohner, T.; Khánh, N.Q.; Gyulai, J. Ellipsometric characterization of damage profiles using an advanced optical model. J. Appl. Phys. 2003, 93, 1987–1990. [Google Scholar] [CrossRef]
- Erman, M.; Theeten, J.B.; Chambon, P.; Kelso, S.M.; Aspnes, D.E. Optical properties and damage analysis of GaAs single crystals partly amorphized by ion implantation. J. Appl. Phys. 1984, 56, 2664–2671. [Google Scholar] [CrossRef]
- Ziegler, J.F.; Biersack, J.P.; Littmark, U. The Stopping and Range of Ions in Solids. In Ion Implantation Techniques; Heiner, R., Hans, G., Eds.; Pergamon: New York, NY, USA, 1985. [Google Scholar]
- Nečas, D.; Klapetek, P. Gwyddion: an open-source software for SPM data analysis. Cent. Eur. J. Phys. 2012, 10, 181–188. [Google Scholar] [CrossRef]
- Abramoff, M.D.; Magalhaes, P.J.; Ram, S.J. Image processing with ImageJ. Biophotonics Int. 2004, 11, 36–42. [Google Scholar]
- Azzam, R.M.A.; Bashara, N.M. Ellipsometry and Polarized Light; 3rd reprint 1999 Edition; North Holland: Amsterdam, The Netherlands, 1977. [Google Scholar]
- Fujiwara, H. Spectroscopic Ellipsometry: Principles and Applications. Wiley: Chichester, UK, 2007. [Google Scholar]
- Barabási, A.L.; Stanley, H.E. Fractal Concepts in Surface Growth; Cambridge University Press: Cambridge, UK, 1995. [Google Scholar]
- Chan, W.L.; Chason, E. Making waves: kinetic processes controlling surface evolution during low energy ion sputtering. J. Appl. Phys. 2007, 101, 1–46. [Google Scholar] [CrossRef]
- Vasco, E.; Zaldo, C.; Vazquez, L. Growth evolution of ZnO films deposited by pulsed laser ablation. J. Phys.: Condens. Matter 2001, 13, L663–L672. [Google Scholar] [CrossRef]
- Baxter, J.B.; Wu, F.; Aydil, E.S. Growth mechanism and characterization of zinc oxide hexagonal columns. Appl. Phys. Lett. 2003, 83, 3797–3799. [Google Scholar] [CrossRef]
- Engler, M.; Macko, S.; Frost, F.; Michely, T. Evolution of ion beam induced patterns on Si(001). Phys. Rev. B. 2014, 89, 1–14. [Google Scholar] [CrossRef]
- Vivo, E.; Nicoli, M.; Engler, M.; Michely, T.; Vázquez, L.; Cuerno, R. Strong anisotropy in surface kinetic roughening: analysis and experiments. Phys. Rev. B 2012, 86, 1–8. [Google Scholar] [CrossRef]
- López, J.M.; Rodríguez, M.A.; Cuerno, R. Superroughening versus intrinsic anomalous scaling of surfaces. Phys. Rev. E 1997, 56, 3993–3998. [Google Scholar] [CrossRef]
- Auger, M.A.; Vázquez, L.; Sánchez, O.; Jergel, M.; Cuerno, R.; Castro, M. Growth dynamics of reactive-sputtering-deposited AlN films. J. Appl. Phys. 2005, 97, 123528. [Google Scholar] [CrossRef]
- Auger, M.A.; Vázquez, L.; Cuerno, R.; Castro, M.; Jergel, M.; Sánchez, O. Intrinsic anomalous surface roughening of TiN films deposited by reactive sputtering. Phys. Rev. B 2006, 73, 1–7. [Google Scholar] [CrossRef]
- Chowdhury, D.; Ghose, D. Super-roughening scaling behaviour of Si surface morphology at grazing incidence low energy ion beam sputtering. Appl. Surf. Sci. 2015, 324, 517–524. [Google Scholar] [CrossRef]
- Keller, A.; Cuerno, R.; Facsko, S.; Möller, W. Anisotropic scaling of ripple morphologies on high-fluence sputtered silicon. Phys. Rev. B 2009, 79, 1–7. [Google Scholar] [CrossRef]
- Cuerno, R.; Castro, M.; Muñoz-García, J.; Gago, R.; Vázquez, L. Universal non-equilibrium phenomena at submicrometric surfaces and interfaces. Eur. Phys. J. Special Topics 2007, 146, 427–441. [Google Scholar] [CrossRef]
- Krug, J. Origins of scale invariance in growth processes. Adv. Phys. 1997, 46, 139–282. [Google Scholar] [CrossRef]
- Rezakhaniha, R.; Agianniotis, A.; Schrauwen, J.T.C.; Griffa, A.; Sage, D.; Bouten, C.V.C.; van de Vosse, F.N.; Unser, M.; Stergiopulos, N. Experimental investigation of collagen waviness and orientation in the arterial adventitia using confocal laser scanning microscopy. Biomech. Model. Mechanobiol. 2012, 11, 451–473. [Google Scholar] [CrossRef]
- Fried, M.; Lohner, T.; Gyulai, J. Ellipsometric analysis. In Effect of Disorder and Defects in Ion-Implanted Semiconductors: Optical and Photothermal Characterization; Christofides, C., Ghibaudo, G., Semiconductor and Semimetals, Eds.; Academic Press: San Diego, CA, USA, 1997. [Google Scholar]
- Ben Sedrine, N.; Zukauskaite, A.; Birch, J.; Jensen, J.; Hultman, L.; Schöche, S.; Schubert, M.; Darakchieva, V. Infrared dielectric functions and optical phonons of wurtzite YxAl1−xN (0 ≤ x ≤ 0.22). J. Phys. D Appl. Phys. 2015, 48, 1–8. [Google Scholar] [CrossRef]
- Tanguy, C. Optical dispersion by Wannier excitons. Phys. Rev. Lett. 1995, 75, 4090–4093. [Google Scholar] [CrossRef] [PubMed]
- Bouzarâa, M.B.; Battie, Y.; Dalmasso, S.; Zaïbi, M.A.; Oueslati, M.; En Naciri, A. Comparative study of ZnO optical dispersion laws. Superlattices Microstruct. 2017, 104, 24–36. [Google Scholar] [CrossRef]
- Jellison, G.E.; Modine, F.A. Parameterization of the optical functions of amorphous materials in the interband region. Appl. Phys. Lett. 1996, 69, 371–373. [Google Scholar] [CrossRef]
- Jellison, G.E.; Modine, F.A. Erratum. Appl. Phys. Lett. 1996, 69, 2137. [Google Scholar] [CrossRef]
- Aspnes, D.E. Optical properties of solids. In Handbook on Semiconductors; Balkanski, E.M., Ed.; North Holland: Amsterdam, The Netherlands, 1980. [Google Scholar]
- Bruggeman, A.G. Berechnung verschiedener physikalischer Konstanten von heterogenen Substanzen. I. Dielektrizitätskonstanten und Leitfähigkeiten der Mischkörper aus isotropen Substanzen. Ann. Phys. (Leipzig) 1935, 24, 636–664. [Google Scholar] [CrossRef]
- Levenberg, K. A method for the solution of certain problems in least squares. Q. J. Math. 1944, 2, 164–168. [Google Scholar]
- Marquardt, D.W. An algorithm for least-squares estimation of nonlinear parameters. J. Soc. Ind. Appl. Math. 1963, 11, 431–441. [Google Scholar] [CrossRef]
- Ben Sedrine, N.; Lafosse, X.; Mauguin, O.; Chtourou, R.; Harmand, J.C. Rapid thermal annealing effects on the optical properties of GaAs0.9−xNxSb0.1 structures grown by MBE. Mater. Sci. Semicond. Process. 2015, 29, 331–336. [Google Scholar] [CrossRef]
- Shrisha, B.V.; Bhat, S.; Kushavah, D.; Naik, K.G. Hydrothermal growth and characterization of Al-doped ZnO nanorods. Mater. Today Proc. 2016, 3, 1693–1701. [Google Scholar] [CrossRef]
- Ghodsi, F.E.; Absalan, H. Comparative study of ZnO thin films prepared by different sol-gel route. Acta Phys. Pol. A 2010, 118, 659–664. [Google Scholar] [CrossRef]
- Ben Sedrine, N.; Rodrigues, J.; Cardoso, J.; Faye, D.N.; Fialho, M.; Magalhães, S.; Martins, A.F.; Neves, A.J.; Alves, E.; Bockowski, M.; et al. Optical investigations of europium ion implanted in nitride-based diode Structures. Surf. Coat. Technol. 2018, 355, 40–44. [Google Scholar] [CrossRef]
- Ben Sedrine, N.; Rodrigues, J.; Faye, D.N.; Neves, A.J.; Alves, E.; Bockowski, M.; Hoffmann, V.; Weyers, M.; Lorenz, K.; Correia, M.R.; et al. Eu-Doped AlGaN/GaN superlattice-based diode structure for red lighting: excitation mechanisms and active sites. ACS Appl. Nano Mater. 2018, 1, 3845–3858. [Google Scholar] [CrossRef]







| Parameter | Ion Fluence | ||||
|---|---|---|---|---|---|
| 1016 cm−2 | 1017 cm−2 | 2 × 1017 cm−2 | 1018 cm−2 | 2 × 1018 cm−2 | |
| σSE (nm) | 0.09(2) | 1.55(3) | 2.0(4) | 15.3(6) | 82(3) |
| d (nm) | 38.8(2) | 39.7(1) | 43.5(3) | 51.6(3) | 36(1) |
| ε∞ | 1.165(3) | 1.16(6) | 1.14(5) | 0.90(2) | 0.8(3) |
| ECPPB (eV) | 2.9(3) | 2.7(3) | 2.4(3) | 2.1(3) | 1.5(3) |
© 2019 by the authors. Licensee MDPI, Basel, Switzerland. This article is an open access article distributed under the terms and conditions of the Creative Commons Attribution (CC BY) license (http://creativecommons.org/licenses/by/4.0/).
Share and Cite
Redondo-Cubero, A.; Vázquez, L.; Jalabert, D.; Lorenz, K.; Ben Sedrine, N. Modelling of Optical Damage in Nanorippled ZnO Produced by Ion Irradiation. Crystals 2019, 9, 453. https://doi.org/10.3390/cryst9090453
Redondo-Cubero A, Vázquez L, Jalabert D, Lorenz K, Ben Sedrine N. Modelling of Optical Damage in Nanorippled ZnO Produced by Ion Irradiation. Crystals. 2019; 9(9):453. https://doi.org/10.3390/cryst9090453
Chicago/Turabian StyleRedondo-Cubero, Andrés, Luis Vázquez, Denis Jalabert, Katharina Lorenz, and Nebiha Ben Sedrine. 2019. "Modelling of Optical Damage in Nanorippled ZnO Produced by Ion Irradiation" Crystals 9, no. 9: 453. https://doi.org/10.3390/cryst9090453
APA StyleRedondo-Cubero, A., Vázquez, L., Jalabert, D., Lorenz, K., & Ben Sedrine, N. (2019). Modelling of Optical Damage in Nanorippled ZnO Produced by Ion Irradiation. Crystals, 9(9), 453. https://doi.org/10.3390/cryst9090453

