Effect of Size Polydispersity on the Pitch of Nanorod Cholesterics
Abstract
1. Introduction
2. Onsager-Straley Theory for Polydisperse Cholesterics
3. Asymptotic Results for the Helical Amplitude and Twist Elastic Modulus
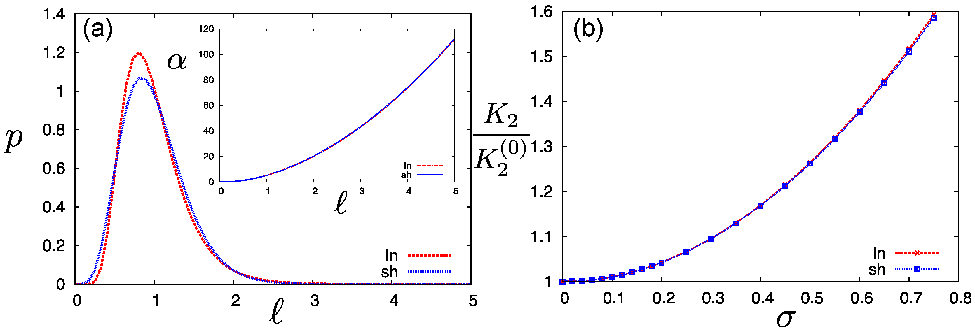
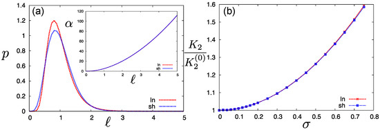
4. Results for Log-Normal and Schulz-Distributed Rod Lengths
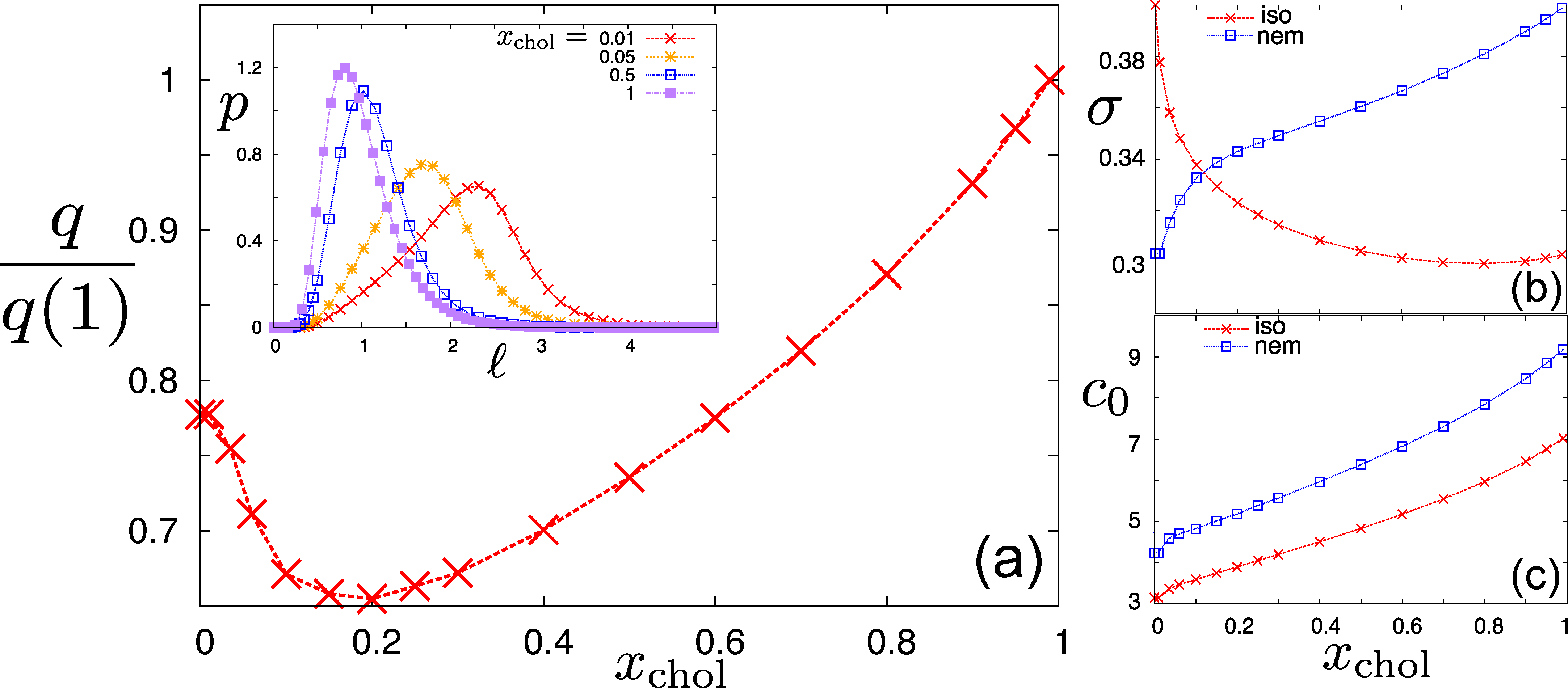
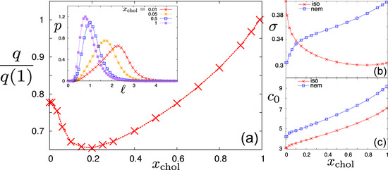
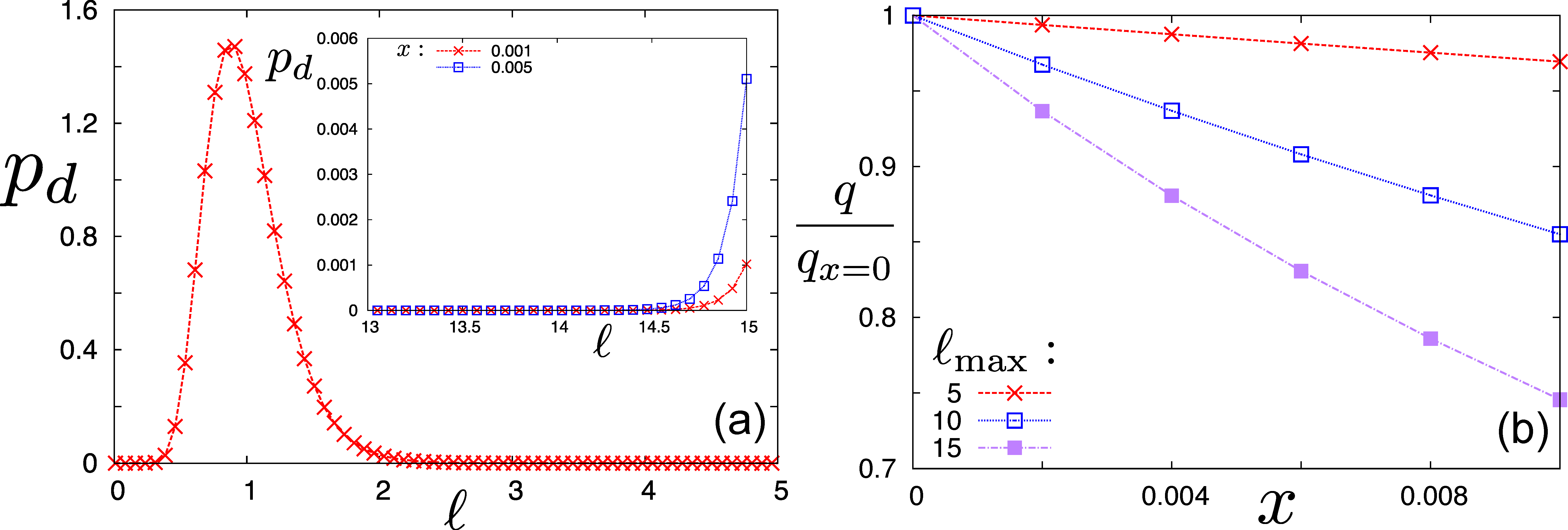
4.1. Effect of Large-Rod Dopants and Bimodality
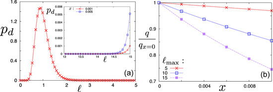
4.2. Pitch Variation across the Isotropic-Cholesteric Biphasic Region
5. Conclusions
Conflicts of Interest
Appendix A. Gaussian Averages
References
- Fasolo, M.; Sollich, P.; Speranza, A. Phase equilibria in polydisperse colloidal systems. React. Funct. Polym. 2004, 58, 187–196. [Google Scholar] [CrossRef]
- Huang, S.H.; Radosz, M. Equation of state for small, large, polydisperse and associating molecules—Extension to fluid mixtures. Ind. Eng. Chem. Res. 1991, 30, 1994. [Google Scholar] [CrossRef]
- Sollich, P. Predicting phase equilibria in polydisperse systems. J. Phys. Condens. Matter 2002, 14, 79. [Google Scholar] [CrossRef]
- Bushell, G.; Amal, R. Fractal aggregates of polydisperse particles. J. Colloid Interface Sci. 1998, 205, 459. [Google Scholar] [CrossRef] [PubMed]
- Farr, R.S.; Groot, R.D. Close packing density of polydisperse hard spheres. J. Chem. Phys. 2009, 131, 244104. [Google Scholar] [CrossRef] [PubMed]
- Kyrylyuk, A.V.; van der Schoot, P. Continuum percolation of carbon nanotubes in polymeric and colloidal media. Proc. Natl. Acad. Sci. USA 2008, 105, 8221–8226. [Google Scholar] [CrossRef] [PubMed]
- Murray, C.B.; Kagan, C.R.; Bawendi, M.G. Synthesis and characterization of monodisperse nanocrystals and close-packed nanocrystal assemblies. Annu. Rev. Mater. Sci. 2000, 30, 545–610. [Google Scholar] [CrossRef]
- Van Blaaderen, A.; Ruel, R.; Wiltzius, P. Template-directed colloidal crystallization. Nature 1997, 385, 321–324. [Google Scholar] [CrossRef]
- Kyrylyuk, A.V.; Hermant, M.C.; Schilling, T.; Klumperman, B.; Koning, C.E.; van der Schoot, P. Controlling electrical percolation in multicomponent carbon nanotube dispersions. Nat. Nanotechnol. 2011, 6, 364. [Google Scholar] [CrossRef] [PubMed]
- Auer, S.; Frenkel, D. Suppression of crystal nucleation in polydisperse colloids due to increase of the surface free energy. Nature 2001, 413, 711. [Google Scholar] [CrossRef] [PubMed]
- Pusey, P.N.; Zaccarelli, E.; Valeriani, C.; Sanz, E.; Poon, W.C.K.; Cates, M.E. Hard spheres: Crystallization and glass formation. Philos. Trans. A Math. Phys. Eng. Sci. 2009, 367, 4993. [Google Scholar] [CrossRef] [PubMed]
- Ten Brinke, A.J.W.; Bailey, L.; Lekkerkerker, H.N.W.; Maitland, G.C. Rheology modification in mixed shape colloidal dispersions. Part II: Mixtures. Soft Matter 2008, 4, 337–348. [Google Scholar] [CrossRef]
- Odijk, T. Osmotic pressure of a nematic solution of polydisperse rod-like macromolecules. Liq. Cryst. 1986, 1, 97–100. [Google Scholar] [CrossRef]
- Sluckin, T.J. Polydispersity in liquid crystal systems. Liq. Cryst. 1989, 1, 111–131. [Google Scholar] [CrossRef]
- Odijk, T.; Lekkerkerker, H.N.W. Theory of the isotropic-liquid crystal phase separation for a solution of bidisperse rodllke macromolecules. J. Phys. Chem. 1985, 89, 2090–2096. [Google Scholar] [CrossRef]
- Vroege, G.J.; Lekkerkerker, H.N.W. Phase transitions in lyotropic colloidal and polymer liquid crystals. Rep. Prog. Phys. 1992, 55, 1241. [Google Scholar] [CrossRef]
- De Gennes, P.G.; Prost, J. The Physics of Liquid Crystals; Clarendon Press: Oxford, UK, 1993. [Google Scholar]
- Dierking, I. Chiral Liquid Crystals: Structures, Phases, Effects. Symmetry 2014, 6, 444–472. [Google Scholar] [CrossRef]
- Mitov, M. Cholesteric liquid crystals in living matter. Soft Matter 2017, 13, 4176–4209. [Google Scholar] [CrossRef] [PubMed]
- Werbowyj, R.S.; Gray, D.G. Liquid Crystalline Structure In Aqueous Hydroxypropyl Cellulose Solutions. Mol. Cryst. Liq. Cryst. 1976, 34, 97–103. [Google Scholar] [CrossRef]
- Heux, L.; Chauve, G.; Bonini, C. Nonflocculating and chiral-nematic self-ordering of cellulose microcrystals suspensions in nonpolar solvents. Langmuir 2000, 16, 8210–8212. [Google Scholar] [CrossRef]
- Lagerwall, J.P.F.; Schütz, C.; Salajková, M.; Noh, J.; Park, J.H.; Scalia, G.; Bergström, L. Cellulose nanocrystal- based materials: From liquid crystal self-assembly and glass formation to multifunctional thin films. NPG Asia Mater. 2014, 6, e80. [Google Scholar] [CrossRef]
- Revol, J.F.; Marchessault, R. In vitro chiral nematic ordering of chitin crystallites. Int. J. Biol. Macromol. 1993, 15, 329–335. [Google Scholar] [CrossRef]
- Belamie, E.; Davidson, P.; Giraud-Guille, M.M. Structure and chirality of the nematic phase in α-chitin suspensions. J. Phys. Chem. B 2004, 108, 14991–15000. [Google Scholar] [CrossRef]
- Giraud-Guille, M.M.; Mosser, G.; Belamie, E. Liquid crystallinity in collagen systems in vitro and in vivo. Curr. Opin. Colloid Interface Sci. 2008, 13, 303–313. [Google Scholar] [CrossRef]
- Nyström, G.; Arcari, M.; Mezzenga, R. Confinement-induced liquid crystalline transitions in amyloid fibril cholesteric tactoids. Nat. Nanotechnol. 2018, 13, 330–336. [Google Scholar] [CrossRef] [PubMed]
- Bagnani, M.; Nyström, G.; De Michele, C.; Mezzenga, R. Amyloid Fibrils Length Controls Shape and Structure of Nematic and Cholesteric Tactoids. ACS Nano 2019, 13, 591–600. [Google Scholar] [CrossRef] [PubMed]
- Tam-Chang, S.W.; Huang, L. Chromonic liquid crystals: Properties and applications as functional materials. Chem. Commun. 2008, 17, 1957–1967. [Google Scholar] [CrossRef] [PubMed]
- Zanchetta, G.; Giavazzi, F.; Nakata, M.; Buscaglia, M.; Cerbino, R.; Clark, N.A.; Bellini, T. Right-handed double-helix ultrashort DNA yields chiral nematic phases with both right-and left-handed director twist. Proc. Natl. Acad. Sci. USA 2010, 107, 17497. [Google Scholar] [CrossRef] [PubMed]
- De Michele, C.; Zanchetta, G.; Bellini, T.; Frezza, E.; Ferrarini, A. Hierarchical Propagation of Chirality through Reversible Polymerization: The Cholesteric Phase of DNA Oligomers. ACS Macro Lett. 2016, 5, 208–212. [Google Scholar] [CrossRef]
- Taylor, M.P.; Herzfeld, J. Liquid-crystal phases of self-assembled molecular aggregates. J. Phys. Condens. Matter 1993, 5, 2651–2678. [Google Scholar] [CrossRef]
- Van der Schoot, P.; Cates, M.E. Growth, Static Light Scattering, and Spontaneous Ordering of Rodlike Micelles. Langmuir 1994, 10, 670–679. [Google Scholar] [CrossRef]
- Onsager, L. The Effects of Shape on the Interaction of Colloidal Particles. Ann. N. Y. Acad. Sci. 1949, 51, 627. [Google Scholar] [CrossRef]
- Straley, J.P. Theory of piezoelectricity in nematic liquid crystals, and of the cholesteric ordering. Phys. Rev. A 1976, 14, 1835. [Google Scholar] [CrossRef]
- Varga, S.; Jackson, G. Study of the pitch of fluids of electrostatically chiral anisotropic molecules: Mean-field theory and simulation. Mol. Phys. 2006, 104, 3681. [Google Scholar] [CrossRef]
- Wensink, H.H.; Jackson, G. Generalized van der Waals theory for the twist elastic modulus and helical pitch of cholesterics. J. Chem. Phys. 2009, 130, 234911. [Google Scholar] [CrossRef] [PubMed]
- Odijk, T. Pitch of a Polymer Cholesteric. J. Phys. Chem. 1987, 91, 6060. [Google Scholar] [CrossRef]
- Harris, A.B.; Kamien, R.D.; Lubensky, T.C. Molecular chirality and chiral parameters. Rev. Mod. Phys. 1999, 71, 1745. [Google Scholar] [CrossRef]
- Odijk, T. Theory of Lyotropic Polymer Liquid Crystals. Macromolecules 1986, 19, 2313–2329. [Google Scholar] [CrossRef]
- Franco-Melgar, M.; Haslam, A.J.; Jackson, G. A generalisation of the Onsager trial-function approach: Describing nematic liquid crystals with an algebraic equation of state. Mol. Phys. 2008, 106, 649. [Google Scholar] [CrossRef]
- Wensink, H.H.; Vroege, G.J. Isotropic-nematic phase behavior of length-polydisperse hard rods. J. Chem. Phys. 2003, 119, 6868–6882. [Google Scholar] [CrossRef]
- Goossens, W.J.A. A Molecular Theory of the Cholesteric Phase and of the Twisting Power of Optically Active Molecules in a Nematic Liqud Crystal. Mol. Cryst. Liq. Cryst. 1971, 12, 237–244. [Google Scholar] [CrossRef]
- Varga, S.; Jackson, G. Simulation of the macroscopic pitch of a chiral nematic phase of a model chiral mesogen. Chem. Phys. Lett. 2003, 377, 6–12. [Google Scholar] [CrossRef]
- Odijk, T. Elastic constants of nematic solutions of rod-like and semi-flexible polymers. Liq. Cryst. 1986, 1, 553–559. [Google Scholar] [CrossRef]
- Dussi, S.; Belli, S.; van Roij, R.; Dijkstra, M. Cholesterics of colloidal helices: Predicting the macroscopic pitch from the particle shape and thermodynamic state. J. Chem. Phys. 2015, 142, 074905. [Google Scholar] [CrossRef] [PubMed]
- Kolli, H.B.; Frezza, E.; Cinacchi, G.; Ferrarini, A.; Giacometti, A.; Hudson, T.S.; De Michele, C.; Sciortino, F. Self-assembly of hard helices: A rich and unconventional polymorphism. Soft Matter 2014, 10, 8171–8187. [Google Scholar] [CrossRef] [PubMed]
- Wensink, H.H.; Anda, L.M. Chiral assembly of weakly curled hard rods: Effect of steric chirality and polarity. J. Chem. Phys. 2015, 143, 144907. [Google Scholar] [CrossRef] [PubMed]
- Tombolato, F.; Ferrarini, A.; Grelet, E. Chiral Nematic Phase of Suspensions of Rodlike Viruses: Left-Handed Phase Helicity from a Right-Handed Molecular Helix. Phys. Rev. Lett. 2006, 96, 258302. [Google Scholar] [CrossRef] [PubMed]
- Šolc, K. Cloud-Point Curves of Polymers with Logarithmic-Normal Distribution of Molecular Weight. Macromolecules 1975, 8, 819–827. [Google Scholar] [CrossRef]
- Kiss, L.B.; Söderlund, J.; Niklasson, G.A.; Granqvist, C.G. New approach to the origin of lognormal size distributions of nanoparticles. Nanotechnology 1999, 10, 25. [Google Scholar] [CrossRef]
- Schulz, G.V. Über die kinetik der kettenpolymerisationen. Z. Physik. Chem. B 1939, 43, 25–46. [Google Scholar] [CrossRef]
- Zimm, B.H. Apparatus and Methods for Measurement and Interpretation of the Angular Variation of Light Scattering; Preliminary Results on Polystyrene Solutions. J. Chem. Phys. 1948, 16, 1099–1116. [Google Scholar] [CrossRef]
- Speranza, A.; Sollich, P. Isotropic-nematic phase equilibria of polydisperse hard rods: The effect of fat tails in the length distribution. J. Chem. Phys. 2003, 118, 5213–5223. [Google Scholar] [CrossRef]
- Ferreiro-Córdova, C.; Wensink, H.H. Spinodal instabilities in polydisperse lyotropic nematics. J. Chem. Phys. 2016, 145, 244904. [Google Scholar] [CrossRef] [PubMed]




© 2019 by the author. Licensee MDPI, Basel, Switzerland. This article is an open access article distributed under the terms and conditions of the Creative Commons Attribution (CC BY) license (http://creativecommons.org/licenses/by/4.0/).
Share and Cite
Wensink, H.H. Effect of Size Polydispersity on the Pitch of Nanorod Cholesterics. Crystals 2019, 9, 143. https://doi.org/10.3390/cryst9030143
Wensink HH. Effect of Size Polydispersity on the Pitch of Nanorod Cholesterics. Crystals. 2019; 9(3):143. https://doi.org/10.3390/cryst9030143
Chicago/Turabian StyleWensink, Henricus H. 2019. "Effect of Size Polydispersity on the Pitch of Nanorod Cholesterics" Crystals 9, no. 3: 143. https://doi.org/10.3390/cryst9030143
APA StyleWensink, H. H. (2019). Effect of Size Polydispersity on the Pitch of Nanorod Cholesterics. Crystals, 9(3), 143. https://doi.org/10.3390/cryst9030143
