TEV—A Program for the Determination of the Thermal Expansion Tensor from Diffraction Data
Abstract
:1. Introduction
2. Results and Discussion
2.1. Mathematical Background
2.2. Using the Program—General Remarks
- (i)
- the evaluation of a data set containing a sequence of lattice parameters measured as a function of temperature T;
- (ii)
- the evaluation of an already existing polynomial description of the lattice parameters obtained from another fitting program or from the literature.
| Triclinic | T1; a1; b1; c1; α1; β1; γ1 |
| T2; a2; b2; c2; α2; β2; γ2 | |
| ⁞ | |
| Monoclinic | T1; a1; b1; c1; oblique angle β1 or γ1 |
| T2; a2; b2; c2; oblique angle β2 or γ2 | |
| ⁞ | |
| Orthorhombic | T1; a1; b1; c1 |
| T2; a2; b2; c2 | |
| ⁞ | |
| Rhombohedral | T1; a1; α1 |
| T2; a2; α2 | |
| ⁞ | |
| Hexagonal/Tetragonal | T1; a1; c1 |
| T2; a2; c2 | |
| ⁞ | |
| Cubic | T1; a1 |
| T2; a2 | |
| ⁞ |
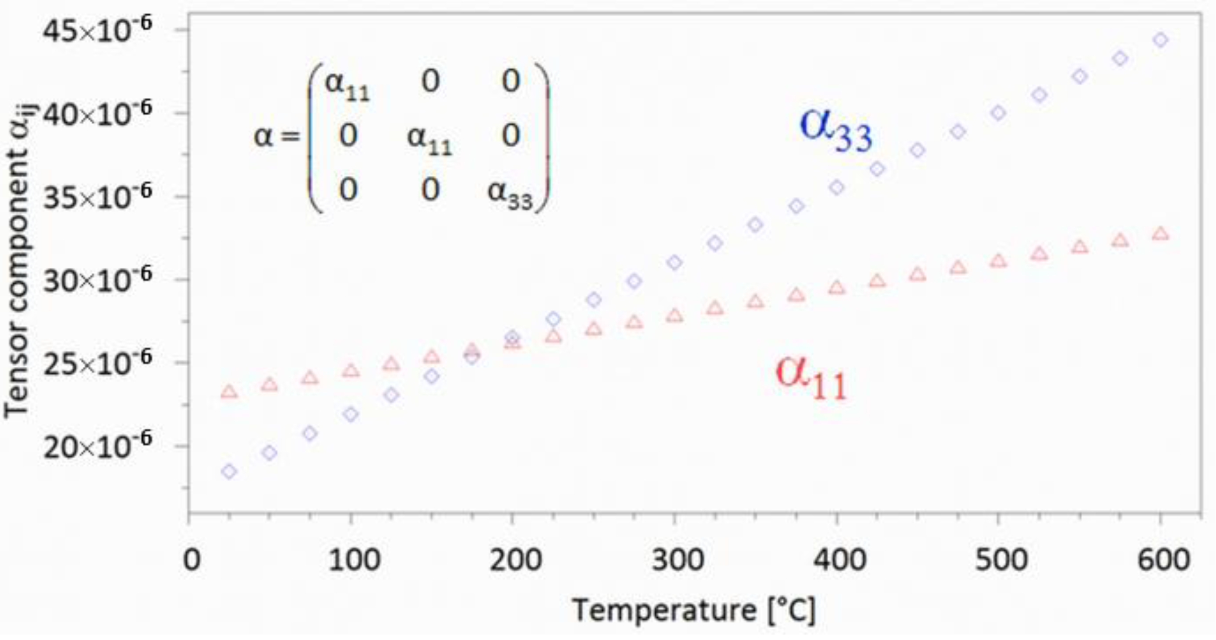
2.3. Examples







2.4. Final Remarks
Acknowledgments
Author Contributions
Conflicts of Interest
References
- Jessen, S.M.; Küppers, H. The precision of thermal-expansion tensors of triclinic and monoclinic crystals. J. Appl. Cryst. 1991, 24, 239–242. [Google Scholar] [CrossRef]
- Lonappan, M.A. Thermal expansion of boric acid. Proc. Indian Acad. Sci. A 1955, 42, 10–21. [Google Scholar]
- Haussühl, S. Physical Properties of Crystals—An Introduction; Wiley-VCH: Weinheim, Germany, 2007; pp. 159–164. [Google Scholar]
- Schlenker, J.L.; Gibbs, G.V.; Boisen, M.B. Thermal expansion coefficients for monoclinic crystals: A phenomenological approach. Am. Mineral. 1975, 60, 828–833. [Google Scholar]
- Schlenker, J.L.; Gibbs, G.V.; Boisen, M.B. Strain-tensor components expressed in terms of lattice parameters. Acta Cryst. A 1978, 34, 52–54. [Google Scholar] [CrossRef]
- Paufler, P.; Weber, Z. On the determination of linear thermal expansion coefficients of triclinic crystals using X-ray diffraction. Eur. J. Mineral. 1999, 11, 721–730. [Google Scholar] [CrossRef]
- Knight, K.S. A neutron powder diffraction determination of the thermal expansion tensor of crocoite (PbCrO4) between 60 K and 290 K. Mineral. Mag. 1996, 60, 963–972. [Google Scholar] [CrossRef]
- Knight, K.S.; Stretton, I.C.; Schofield, P.F. Temperature evolution between 50 K and 230 K of the thermal expansion tensor of gypsum derived from neutron powder diffraction data. Phys. Chem. Minerals 1999, 26, 477–483. [Google Scholar] [CrossRef]
- Ballirano, P.; Melis, E. Thermal behaviour and kinetics of dehydration of gypsum in air from in situ real-time laboratory parallel-beam X-ray powder diffraction. Phys. Chem. Minerals 2009, 7, 391–402. [Google Scholar] [CrossRef]
- Knight, K.S. Low temperature thermoelastic and structural properties of LaGaO3 perovskite in the Pbnm phase. J. Solid State Chem. 2012, 194, 286–296. [Google Scholar] [CrossRef]
- Knight, K.S. A high-resolution powder neutron diffraction study of the crystal structure of neighborite (NaMgF3) between 9 K and 440 K. Am. Mineral. 2014, 99, 824–838. [Google Scholar] [CrossRef]
- Fortes, A.D.; Wood, I.G.; Knight, K.S. The crystal structure and thermal expansion tensor of MgSO4–11D2O (meridianite) determined by neutron powder diffraction. Phys. Chem. Minerals 2008, 35, 207–221. [Google Scholar] [CrossRef]
- Fortes, A.D.; Suard, E.; Knight, K.S. Negative linear compressibility and massive anisotropic thermal expansion in methanol monohydrate. Science 2011, 331, 742–746. [Google Scholar] [CrossRef] [PubMed]
- David, W.I.F.; Evans, J.S.O. Parametric Powder Diffraction. In Uniting Electron Crystallography and Powder Diffraction; NATO Science for Peace and Security Series B. Physics and Biophysics; Kolb, U., Shankland, K., Meshi, L., Avilov, A., David, W., Eds.; Springer Science + Business Media: Dordrecht, The Netherlands, 2012; pp. 149–163. [Google Scholar]
- Senyshyn, A.; Boysen, H.; Niewa, R.; Banys, J.; Kinka, M.; Burak, Ya.; Adamiv, V.; Izumi, F.; Chumak, I.; Fuess, H. High-temperature properties of lithium tetraborate Li2B4O7. J. Phys. D Appl. Phys. 2012, 45, 1–15. [Google Scholar] [CrossRef]
- Fey, Y. Thermal expansion. In Mineral Physics & Crystallography: A Handbook of Physical Constants; Ahrens, T.J., Ed.; American Geophysical Union: Washington, DC, USA, 1995; pp. 29–44. [Google Scholar]
- Botta, C.; Kahlenberg, V.; Hejny, C.; Többens, D.M.; Bykov, M.; van Smaalen, S. Structural investigations, high temperature behaviour and phase transition of Na6Ca4(SO4)6F2. Mineral. Petrol. 2014, 108, 487–501. [Google Scholar]
- Weber, Th.; Harz, M.; Wehner, B.; Zahn, G.; Paufler, P. Thermal expansion of CuMoO4 below room temperature. Z. Kristallogr. 1998, 213, 210–216. [Google Scholar] [CrossRef]
- Williams, T.; Kelley, C.; et al. Gnuplot 4.6.6: An Interactive Plotting Program. Available online: http://gnuplot.info (accessed on 8 October 2014).
- Download Free Java Software. Available online: http://www.java.com/en/download/ (accessed on 9 February 2015).
- Langreiter, T.; Kahlenberg, V. Thermal Expansion Visualizing—A program for the determination of the thermal expansion tensor from diffraction data. Available online: http://www.uibk.ac.at/mineralogie/downloads/TEV.html (accessed on 12 December 2014).
© 2015 by the authors; licensee MDPI, Basel, Switzerland. This article is an open access article distributed under the terms and conditions of the Creative Commons Attribution license (http://creativecommons.org/licenses/by/4.0/).
Share and Cite
Langreiter, T.; Kahlenberg, V. TEV—A Program for the Determination of the Thermal Expansion Tensor from Diffraction Data. Crystals 2015, 5, 143-153. https://doi.org/10.3390/cryst5010143
Langreiter T, Kahlenberg V. TEV—A Program for the Determination of the Thermal Expansion Tensor from Diffraction Data. Crystals. 2015; 5(1):143-153. https://doi.org/10.3390/cryst5010143
Chicago/Turabian StyleLangreiter, Thomas, and Volker Kahlenberg. 2015. "TEV—A Program for the Determination of the Thermal Expansion Tensor from Diffraction Data" Crystals 5, no. 1: 143-153. https://doi.org/10.3390/cryst5010143
APA StyleLangreiter, T., & Kahlenberg, V. (2015). TEV—A Program for the Determination of the Thermal Expansion Tensor from Diffraction Data. Crystals, 5(1), 143-153. https://doi.org/10.3390/cryst5010143
