Sign in to use this feature.

Years

Between: -

Subjects

remove_circle_outline
remove_circle_outline
remove_circle_outline
remove_circle_outline
remove_circle_outline
remove_circle_outline
remove_circle_outline
remove_circle_outline
remove_circle_outline

Journals

remove_circle_outline
remove_circle_outline
remove_circle_outline
remove_circle_outline
remove_circle_outline
remove_circle_outline
remove_circle_outline
remove_circle_outline
remove_circle_outline
remove_circle_outline
remove_circle_outline
remove_circle_outline
remove_circle_outline
remove_circle_outline
remove_circle_outline
remove_circle_outline
remove_circle_outline
remove_circle_outline
remove_circle_outline
remove_circle_outline
remove_circle_outline
remove_circle_outline
remove_circle_outline
remove_circle_outline
remove_circle_outline
remove_circle_outline
remove_circle_outline
remove_circle_outline
remove_circle_outline
remove_circle_outline
remove_circle_outline
remove_circle_outline
remove_circle_outline
remove_circle_outline
remove_circle_outline

Article Types

Countries / Regions

remove_circle_outline
remove_circle_outline
remove_circle_outline
remove_circle_outline
remove_circle_outline
remove_circle_outline
remove_circle_outline
remove_circle_outline
remove_circle_outline
remove_circle_outline
remove_circle_outline
remove_circle_outline

Search Results (29,254)

Search Parameters:
Keywords = diffraction

Order results
Result details
Results per page
Select all
Export citation of selected articles as:
25 pages, 5352 KB  
Article
A Comprehensive Fractal Characterization of Pore Structures in Bituminous Coal Induced by Optimized Acidification
by Yanwei Qu, Feng Chen, Lulu Ma, Peiwen Jiang, Bing Li, Jiangang Ren, Runsheng Lv and Zhimin Song
Energies 2026, 19(8), 1813; https://doi.org/10.3390/en19081813 (registering DOI) - 8 Apr 2026
Abstract
The efficient recovery of coalbed methane (CBM) is critically constrained by the inherent low permeability of coal reservoirs, a challenge predominantly attributed to mineral blockages within the pore-fracture structure. In this study, the deashing efficacy of several acid solutions (HCl, HNO3, [...] Read more.
The efficient recovery of coalbed methane (CBM) is critically constrained by the inherent low permeability of coal reservoirs, a challenge predominantly attributed to mineral blockages within the pore-fracture structure. In this study, the deashing efficacy of several acid solutions (HCl, HNO3, HF, and CH3COOH) on bituminous coals from the Yushuwan (YSW) and Jiangna (JN) mines was initially assessed to determine the optimal acidizing system. Subsequently, the multi-scale evolution of pore-fracture structures and the fractal characteristics of coal samples treated with the optimized acids were systematically investigated. A multi-analytical approach, integrating scanning electron microscopy (SEM), X-ray diffraction (XRD) with microcrystalline peak-fitting, and low-temperature nitrogen gas adsorption (LT-N2GA), was employed to quantitatively elucidate the underlying transformation mechanisms. The experimental results indicate that HCl and HNO3 emerged as the most effective agents for the YSW and JN coals, respectively. Optimized acidification achieved significant reductions in ash content (specifically, an ash removal efficiency of 83.99% for HCl-treated YSW coal) through the selective dissolution of carbonate and clay minerals, thereby facilitating the exposure of the organic matrix and the induction of extensive dissolution pits and secondary fractures. Although the dissolution-induced collapse of mineral-supported fine pores led to a reduction in both total pore volume and BET specific surface area, the average pore diameter undergoes a substantial increase (e.g., nearly doubling from 9.0068 nm to 16.5126 nm for the JN coal). Furthermore, the reduction in Frenkel–Halsey–Hill (FHH) fractal dimensions (D1 and D2) indicates a decrease in pore-surface complexity and structural heterogeneity. These findings reveal that optimized acidification induces significant alterations in pore structure and mineral composition. The treatment facilitates the conversion of isolated pores into interconnected networks, accompanied by an increase in pore volume and a shift in pore size distribution toward larger dimensions. This research elucidates the mechanisms of mineral dissolution and pore expansion, providing a fundamental characterization of the microstructural evolution of coal in response to acid treatment. Full article
Show Figures

Figure 1

49 pages, 11375 KB  
Article
Static and Dynamic Properties of Organic Soils Stabilized with Nano-Silica and Sand
by Gaoliang Tao, Ning Yang, Shaoping Huang, Qingsheng Chen and Eihui Guo
Appl. Sci. 2026, 16(7), 3607; https://doi.org/10.3390/app16073607 - 7 Apr 2026
Abstract
The stabilization of soft, organic-rich soils with cement is often hindered by retarded hydration and poor long-term performance under cyclic loads. While nano-silica or sand are known modifiers, their individual efficacy in high-organic environments remains limited, and a systematic comparison of their composite [...] Read more.
The stabilization of soft, organic-rich soils with cement is often hindered by retarded hydration and poor long-term performance under cyclic loads. While nano-silica or sand are known modifiers, their individual efficacy in high-organic environments remains limited, and a systematic comparison of their composite effect across different soil types is lacking. This study investigates the synergistic enhancement of cement-stabilized soils using a combined nano-SiO2 and sand composite, comparing its effectiveness in high-organic soft soil and low-organic clay. Laboratory tests, including unconfined compressive strength (UCS), cyclic loading, scanning electron microscopy (SEM), and X-ray diffraction (XRD), were conducted. Results showed a stark contrast in 28-day UCS between unmodified soft soil cement (0.13 MPa) and clay cement (1.04 MPa). The optimal composite of 3.5% nano-SiO2 and 40% sand increased the 28-day UCS to 1.39 MPa for soft soil (a 969% improvement) and 5.51 MPa for clay (a 430% improvement), respectively. Notably, under a cyclic stress ratio (CSR) of 0.7~0.8, unmodified specimens failed after fewer than 120 load cycles, whereas the composite-modified soils withstood 20,000 cycles without failure, demonstrating exceptional fatigue resistance independent of static strength gain. Microstructural analysis revealed that the composite effectively promoted the formation of cementitious hydration products, counteracting the inhibitory effect of organic matter. This research demonstrates that the nano-silica sand composite provides a superior and more broadly applicable improvement for cement-stabilized soils across the tested organic content range (3.3–7.7% LOI) compared to single-additive approaches, significantly enhancing both mechanical strength and long-term durability. Full article
20 pages, 1295 KB  
Article
Crystal Structure vs. Vibrational Behavior of Wollastonite-1A from Băița Bihor, Bihor Mountains, Romania
by Ştefan Marincea, Delia-Georgeta Dumitraş, Frédéric Hatert, Cristina Sava Ghineț, George Dincă, Aurora-Măruța Iancu and Martin Depret
Crystals 2026, 16(4), 247; https://doi.org/10.3390/cryst16040247 - 7 Apr 2026
Abstract
Wollastonite-1A from Băița Bihor occurs in distal calcic skarns developed in the contact zone of a mainly granodioritic batholith, of Upper Cretaceous age, with Mesozoic limestones and dolostones. Wollastonite generally occurs in the inner part of metasomatic columns, in monomineralic skarns or [...] Read more.
Wollastonite-1A from Băița Bihor occurs in distal calcic skarns developed in the contact zone of a mainly granodioritic batholith, of Upper Cretaceous age, with Mesozoic limestones and dolostones. Wollastonite generally occurs in the inner part of metasomatic columns, in monomineralic skarns or associated with grossular and molybdenite-2H as ore mineral. The physical properties (i.e., refraction indices α = 1.616, β = 1.629, and γ = 1.631, 2Vα = 39° and density Dm = 2.922(3) g/cm3) are typical for a term close to the stoichiometry, which is confirmed by the chemical analysis. The chemical structural formula of the analyzed wollastonite-1A is (Ca1.000Mg0.002Mn0.001Fe0.001)(Al0.004Ti0.001Si0.994)O3, which closely approximates the ideal CaSiO3. The Gladstone–Dale compatibility indices account for an excellent agreement between physical and chemical data. The mineral can be satisfactorily refined as triclinic, space group 1, with R1 = 0.0678 and cell parameters a = 7.9233(3) Å, b = 7.3203(3) Å, c = 7.0651(3) Å, α = 90.053(3)°, β = 95.208(3)°, γ = 103.384(3)°. Both the IR and Raman spectra principally reveal bands related to vibrations of bridged and non-bridged oxygens pertaining to SiO4 structural tetrahedra. At Băița Bihor, wollastonite-1A is part of the prograde paragenesis, marked by a peak temperature of 550–600 °C. Full article
(This article belongs to the Section Mineralogical Crystallography and Biomineralization)
28 pages, 7631 KB  
Article
Compressive Strength of Alkali-Activated Recycled Aggregate Concrete Incorporating Nano CNTs/GO After Exposure to Elevated Temperatures
by Chunyang Liu, Yunlong Wang, Yali Gu and Ya Ge
Buildings 2026, 16(7), 1459; https://doi.org/10.3390/buildings16071459 - 7 Apr 2026
Abstract
To investigate the effects of incorporating nanomaterials—carbon nanotubes (CNTs) and graphene oxide (GO)—on the axial compressive mechanical properties of alkali-activated recycled aggregate concrete (AARAC) after high-temperature exposure, this study designed 51 sets of specimens with recycled coarse aggregate replacement rate, nanomaterial content, and [...] Read more.
To investigate the effects of incorporating nanomaterials—carbon nanotubes (CNTs) and graphene oxide (GO)—on the axial compressive mechanical properties of alkali-activated recycled aggregate concrete (AARAC) after high-temperature exposure, this study designed 51 sets of specimens with recycled coarse aggregate replacement rate, nanomaterial content, and temperature as the main parameters. Compression tests were conducted to analyze the failure mode and strength variation in AARAC specimens after heating. In addition, microscopic tests, including X-ray diffraction, scanning electron microscopy, and computed tomography (CT scanning), were performed to analyze the microstructural characteristics of the post-heated AARAC specimens. The results indicate that as the replacement rate of recycled coarse aggregate increased from 0% to 100%, the residual compressive strength after exposure to 600 °C decreased from 33.6 MPa to 19 MPa. When 0.1 wt% of CNTs is added, the compressive strength of AARAC after exposure to a high temperature of 600 °C increases by approximately 30.4% compared to that of AARAC without nanomaterial addition. When 0.1 wt% of CNTs and 0.05 wt% of GO are added, the compressive strength after exposure to a high temperature of 600 °C increases by approximately 44.3%, while the size of scattered fragments upon failure increased, and the failure mode appeared more complete. Microscopic test results indicate that the high-temperature treatment did not cause significant changes in the main phase composition of AARAC. The synergistic effect of the nanomaterials CNTs and GO can fully utilize their functions as nucleation sites, pore fillers, and crack bridging agents. By strengthening the Interfacial Transition Zone between the recycled coarse aggregate and the cement paste, refining the Matrix Pore Structure, dispersing local thermal stress, and suppressing the propagation of high-temperature cracks, the mechanical properties of AARAC after high-temperature exposure can be effectively maintained. Full article
(This article belongs to the Section Building Materials, and Repair & Renovation)
12 pages, 2299 KB  
Article
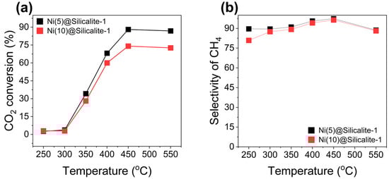
Silicalite-Supported Ni Catalysts for Efficient CO2 Conversion into CH4
by Nasir Shezad, Avik De, Ajaikumar Samikannu, Jyri-Pekka Mikkola and Farid Akhtar
Molecules 2026, 31(7), 1215; https://doi.org/10.3390/molecules31071215 - 7 Apr 2026
Abstract
The catalytic conversion of CO2 into methane (CH4) offers a sustainable solution to the worsening global warming scenario, especially for controlling CO2 levels. This study reports silicalite-1 supported Ni catalysts with different loadings for CO2 conversion to CH [...] Read more.
The catalytic conversion of CO2 into methane (CH4) offers a sustainable solution to the worsening global warming scenario, especially for controlling CO2 levels. This study reports silicalite-1 supported Ni catalysts with different loadings for CO2 conversion to CH4, prepared via wet impregnation. The X-ray diffraction pattern revealed an increase in crystallite size at higher Ni loadings, which was further supported by N2 sorption, where the specific surface area and microporosity of the catalysts were decreased. There was a slight shift in the reducibility of the catalysts, potentially indicating the impact of loading on dispersion and spatial distribution. The catalyst performance was evaluated over a range of temperatures at 5 bar and a GHSV of 20,000 mL gcat−1 h−1. Surprisingly, the Ni(5)@Silicalite-1 exhibited higher CO2 conversion efficiency across the range of temperatures compared to Ni(10)@Silicalite-1. The NiO(5)@Silicalite-1 demonstrated a maximum CO2 conversion of 88% at 450 °C, which was approximately 14% higher than that of the catalyst with a 10 wt.% loading. Notably, the CH4 selectivity pattern was quite identical across the catalysts, underscoring that the reaction pathways were unaffected by the loadings. The higher performance of NiO(5)@Silicalite-1 could be ascribed to smaller NiO crystallites and improved textural properties. Full article
(This article belongs to the Special Issue Design, Synthesis, and Application of Zeolite Materials)
Show Figures

Figure 1

9 pages, 1866 KB  
Article
Hydrogenation Behavior of a Fine-Grained Ti-V-Zr-Nb-Mo-Hf-Ta-W Refractory High-Entropy Alloy Produced by Plasma-Assisted Centrifugal Atomization
by Marina Ciurans-Oset, Johanne Mouzon and Farid Akhtar
Powders 2026, 5(2), 14; https://doi.org/10.3390/powders5020014 - 7 Apr 2026
Abstract
In this work, the hydrogenation behavior of a near-equiatomic Ti-V-Zr-Nb-Mo-Hf-Ta-W refractory high-entropy alloy (R-HEA) exposed to pressurized hydrogen has been thoroughly investigated. Isothermal gas-phase hydrogen absorption experiments have been performed and a maximum uptake of 1.13 wt.% H has been achieved after exposure [...] Read more.
In this work, the hydrogenation behavior of a near-equiatomic Ti-V-Zr-Nb-Mo-Hf-Ta-W refractory high-entropy alloy (R-HEA) exposed to pressurized hydrogen has been thoroughly investigated. Isothermal gas-phase hydrogen absorption experiments have been performed and a maximum uptake of 1.13 wt.% H has been achieved after exposure to a pure H2 atmosphere at 350 °C and 60 bar H2 for 6 h. This hydrogen absorption capacity is rather low compared to previous literature, where capacities as high as 2.7 wt.% have been reported. The presence of two distinct (Hf,Zr)-mixed oxides at the surface of the particles has been deduced from X-ray diffraction analyses and identified as the main reason for the relatively low H uptake and the minimal impact onto the mechanical integrity of the R-HEA after hydrogenation. The results hereby reported suggest that R-HEAs containing strong oxide-forming elements such as Hf, Zr, and Ti undergo surface hydrogenation-regeneration upon intermittent exposure to a hydrogen atmosphere. The cyclic nature of such phenomena should be further investigated, as it could lead to the development of novel, self-regenerating protective materials against hydrogen diffusion and embrittlement to be potentially used as permeation barriers. Full article
Show Figures

Figure 1

18 pages, 10375 KB  
Article
Extended Coherent Modulation Imaging for Object Reconstruction with Single Diffraction Pattern
by Yue Wang, Yafang Zou, Ye Wu, Xinke Li, Xibao Gao, Long Jin, Weiyou Zeng, Qinglan Wang and Xi He
Photonics 2026, 13(4), 349; https://doi.org/10.3390/photonics13040349 - 7 Apr 2026
Abstract
Coherent diffraction imaging (CDI) is a fast-growing imaging technique. Among all CDI methods, coherent modulation imaging (CMI) has strong potential for dynamic imaging because of its ability to form an image from a single diffraction pattern. However, current CMI methods mostly reconstruct the [...] Read more.
Coherent diffraction imaging (CDI) is a fast-growing imaging technique. Among all CDI methods, coherent modulation imaging (CMI) has strong potential for dynamic imaging because of its ability to form an image from a single diffraction pattern. However, current CMI methods mostly reconstruct the exit wave distribution behind the object plane, which is seriously affected by the illumination artifact. Recently, some improved CMI methods have been developed to resolve the problem. However, many of these methods still need two diffraction patterns—one empty-sample diffraction pattern and another snapshot measurement. Recent advances in randomized probe imaging have shown that a single diffraction pattern suffices for quantitative reconstruction when the probe is pre-calibrated. Herein, we propose a modified CMI algorithm to reconstruct pure object function with single diffraction pattern, thereby simplifying the experimental process. Moreover, the proposed method can also work in the situation where the modulation effect is weak. Both numerical simulations and optical experiments have been conducted to verify the proposed method. Full article
Show Figures

Figure 1

14 pages, 1638 KB  
Article
Effects of Compost Use on Soil Physical Quality of Vertosols
by Ana Carolina De Mattos E. Avila, Jackson Adriano Albuquerque, Johannes Biala, Yash Dang and Gunnar Kirchhof
Soil Syst. 2026, 10(4), 46; https://doi.org/10.3390/soilsystems10040046 - 7 Apr 2026
Abstract
Compost is widely used to improve soil fertility and structure, yet its effects on soil physical properties in Vertosols remain insufficiently documented. This study evaluated the effects of repeat compost application on soil carbon and nitrogen contents and selected soil physical properties in [...] Read more.
Compost is widely used to improve soil fertility and structure, yet its effects on soil physical properties in Vertosols remain insufficiently documented. This study evaluated the effects of repeat compost application on soil carbon and nitrogen contents and selected soil physical properties in Vertosols from three farms in Queensland, Australia (Roma, Dalby, and Goovigen). Compost had been applied at rates between 5 and 22 Mg ha−1 yr−1 for periods ranging from 3 to 11 years, depending on the site. Intact and disturbed soil samples from the top 0–8 cm were analyzed for bulk density, water retention, hydraulic properties, aggregate stability, and water repellence. Aggregate stability was assessed using laser diffraction before and after ultrasonic dispersion. Compost application significantly increased total carbon and nitrogen contents at all sites (p ≤ 0.01), although effects on soil physical properties varied by site. In Dalby, compost improved water retention and aggregate stability; in Goovigen, it resulted in lower Disaggregation Ratios. Compost did not induce soil water repellence at any site. The results indicate that compost amendments improve soil carbon and nitrogen concentrations and can modify soil physical properties in Vertosols, although responses depend on site conditions and management history. Full article
(This article belongs to the Special Issue Land Use and Management on Soil Properties and Processes: 2nd Edition)
Show Figures

Figure 1

18 pages, 16595 KB  
Article
pH- and Temperature-Dependent Dissolution Kinetics of Commercial Lightly Burned Magnesia: Bridging Methodological Gaps for Cement Applications
by Xiaowen Zhang and Juan Pablo Gevaudan
Sustainability 2026, 18(7), 3600; https://doi.org/10.3390/su18073600 - 7 Apr 2026
Abstract
Performance variability in MgO-based cements stems partly from poorly characterized dissolution kinetics of commercial lightly burned magnesia (LBM). Existing studies focus on high-purity materials under acidic conditions, but LBM also dissolves in alkaline conditions, where Mg(OH)2 precipitation prevents reliable sampling at high [...] Read more.
Performance variability in MgO-based cements stems partly from poorly characterized dissolution kinetics of commercial lightly burned magnesia (LBM). Existing studies focus on high-purity materials under acidic conditions, but LBM also dissolves in alkaline conditions, where Mg(OH)2 precipitation prevents reliable sampling at high pH. We validated pH monitoring against ICP-AES for tracking initial LBM dissolution kinetics across pH 2.0–11.0 and temperatures 25–85 °C. Commercial LBM (32 m2/g, 7.5 wt% CaO) exhibited rates one to two orders of magnitude higher than synthetic magnesia (10−8 to 10−12 mol/cm2·s). X-ray diffraction, electron microscopy with energy-dispersive spectroscopy, and BET analysis revealed enhanced reactivity from poor crystallinity, multiphase composition, and high surface area with textural porosity. Temperature effects peaked at 75 °C before declining due to Mg(OH)2 passivation. The validated method provides practical guidance for MBC quality control and performance optimization. By providing a rapid, instrument-simple alternative to ICP-AES for reactivity assessment, it lowers the analytical barrier to systematic LBM quality control, supporting the transition of magnesia-based cements from laboratory materials to scalable low-carbon alternatives to Portland cement. Full article
(This article belongs to the Special Issue Advanced Concrete- and Cement-Based Composite Materials)
Show Figures

Figure 1

23 pages, 4744 KB  
Article
Study of the Properties of Zinc Phosphate Composite Cement Modified with Phosphorus Slag
by Nurgali Zhanikulov, Aidana Abdullin, Bakhitzhan Taimasov, Ekaterina Potapova, Yana Alferyeva, Tatyana Lubkova, Irina Nikolaeva and Fatima Amanulla
J. Compos. Sci. 2026, 10(4), 198; https://doi.org/10.3390/jcs10040198 - 7 Apr 2026
Abstract
This paper presents an analysis of the physicochemical and biological properties of the developed composite zinc phosphate cement modified with bismuth oxide and phosphorus slag additives. The powder phase was synthesized by sintering a frit with an optimal composition (ZnO, MgO, SiO2 [...] Read more.
This paper presents an analysis of the physicochemical and biological properties of the developed composite zinc phosphate cement modified with bismuth oxide and phosphorus slag additives. The powder phase was synthesized by sintering a frit with an optimal composition (ZnO, MgO, SiO2, Bi2O3) using phosphorus slag as the active component. The study included an assessment of the microstructure, chemical resistance in aggressive environments (5% NaCl solution, 10% lactic acid, carbonated water), solubility in artificial saliva, and cytotoxicity in human fibroblasts. The addition of phosphorus slag was found to promote the formation of low-melting eutectics, which reduces the sintering temperature by 100 °C and increases the material’s whiteness to 97.8%. X-ray diffraction analysis confirmed the presence of zincite, quartz, and periclase phases, forming a dense microstructure without pronounced pores or cracks. The experimental cement demonstrated high acid resistance: the maximum weight loss in lactic acid was 8%, while the leaching of toxic elements (Pb, As, Cr, etc.) remained extremely low (10–67 ppm), confirming the material’s environmental safety. Testing of the composite zinc phosphate cement in artificial saliva revealed minimal weight loss compared to similar products. Biological testing showed that the cement’s cytotoxicity is dose-dependent; at a 0.3 g dose and a 1:4 dilution, the material loses its toxic properties and becomes safe for living tissue. The developed zinc phosphate composite cement composition offers improved aesthetic and mechanical properties, high chemical stability, and biocompatibility at working concentrations, making it promising for use in clinical dentistry. Full article
(This article belongs to the Section Composites Applications)
Show Figures

Figure 1

21 pages, 8931 KB  
Article
Investigation of Hot Deformation Behavior and Microstructure Evolution of Ti-3Al-2.5V-0.5Ni Alloy
by Jialiang Sun, Yang Yu, Xingyu Ou-Yang, Bo Fu, Wenjun Ye, Yanfeng Li, Yumeng Luo and Songxiao Hui
Metals 2026, 16(4), 404; https://doi.org/10.3390/met16040404 - 6 Apr 2026
Viewed by 35
Abstract
This study systematically investigates the hot deformation behavior and microstructure evolution of Ti-3Al-2.5V-0.5Ni alloy under compression at temperatures ranging from 800 °C to 1010 °C and strain rates ranging from 0.1 s−1 to 10 s−1, with a maximum deformation of [...] Read more.
This study systematically investigates the hot deformation behavior and microstructure evolution of Ti-3Al-2.5V-0.5Ni alloy under compression at temperatures ranging from 800 °C to 1010 °C and strain rates ranging from 0.1 s−1 to 10 s−1, with a maximum deformation of 75% (with a corresponding true strain of 1.4). An Arrhenius-type constitutive equation was developed, and a hot processing map was established using a dynamic material model (DMM). Microstructural evolution was characterized using electron backscatter diffraction (EBSD). A hot processing map delineated stable and unstable regions. Regions with high power dissipation efficiency (η) were identified at deformation temperatures of 850–880 °C with strain rates of 0.1–10 s−1, and at 940–960 °C with strain rates of 1.5–10 s−1. These regions show high recrystallization fraction and good processing performance. The instability zone was observed at about 900 °C and high strain rate, which should be avoided during processing. The microstructure analysis of different power dissipation efficiency regions was carried out in detail. The results show that the power dissipation efficiency is about 0.38 at the deformation temperature of 950 °C and the strain rate of 0.1 s−1, accompanied by high dynamic recrystallization. However, when the deformation condition is 800 °C and 10 s−1, the power dissipation efficiency is lower than 0.18, the degree of recrystallization is limited, and a large number of dislocations accumulate. In summary, the large strain rolling of Ti-3Al-2.5V-0.5Ni alloy should be processed in the high-temperature α + β phase region (850–900 °C) and low-to-medium strain rate range of 0.1–5 s−1. The process conditions can promote high recrystallization fraction, good processability, and weakened crystallographic texture, thereby minimizing the anisotropy of the final sheet. This study provides theoretical guidance for the optimization of industrial hot processing parameters of the alloy. Full article
(This article belongs to the Special Issue Advanced Ti-Based Alloys and Ti-Based Materials)
Show Figures

Figure 1

23 pages, 51149 KB  
Article
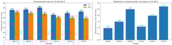
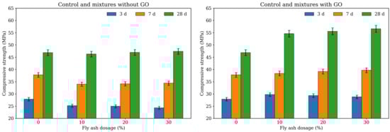
Age-Dependent Effects of Graphene Oxide on Hydration-Gel Evolution and Strength Development of Fly Ash-Blended Cementitious Materials
by Hai-Sheng Huang, Ying Peng, Xiu-Cheng Zhang and Xue-Fei Chen
Gels 2026, 12(4), 312; https://doi.org/10.3390/gels12040312 - 6 Apr 2026
Viewed by 49
Abstract
Fly ash is an effective supplementary cementitious material for reducing clinker consumption and carbon emissions, but its low early reactivity often results in delayed hydration and insufficient early-age strength. This study investigated the age-dependent role of graphene oxide (GO) in fly ash-blended cementitious [...] Read more.
Fly ash is an effective supplementary cementitious material for reducing clinker consumption and carbon emissions, but its low early reactivity often results in delayed hydration and insufficient early-age strength. This study investigated the age-dependent role of graphene oxide (GO) in fly ash-blended cementitious materials by combining compressive strength testing with X-ray diffraction (XRD), thermogravimetric analysis (TG-DTG), 29Si magic-angle spinning nuclear magnetic resonance (29Si MAS NMR), and scanning electron microscopy coupled with energy-dispersive spectroscopy (SEM-EDS). Fly ash replacement levels of 10%, 20%, and 30% were considered, and 0.07% GO was introduced to evaluate its effect at 3, 7, and 28 days. The results showed that fly ash reduced the 3-day compressive strength, whereas the strength differences became much smaller at 28 days. GO enhanced the compressive strength of all fly ash-blended mixtures. XRD and TG-DTG results showed that GO refined Ca(OH)2 crystallization and reduced the retained CH content, indicating more effective CH utilization during hydration and pozzolanic reaction. At 28 days, the incorporation of 0.07% GO increased the compressive strength of the 30% fly ash mixture from 47.38 MPa to 56.58 MPa, while reducing the total CH content from 14.20% to 12.89%, indicating enhanced CH utilization and gel development. 29Si MAS NMR further demonstrated that GO promoted a more mature and polymerized silicate gel structure, as evidenced by lower Q0 fractions, higher mean chain length, and higher proportions of more polymerized silicate species. SEM-EDS observations confirmed that GO led to a denser matrix, less dominant coarse CH, and lower Ca/Si and Ca/(Si + Al) ratios. Overall, GO improved the mechanical performance of fly ash-blended cementitious materials through coupled regulation of hydration products, silicate gel polymerization, and matrix densification. Full article
(This article belongs to the Section Gel Chemistry and Physics)
Show Figures

Figure 1

14 pages, 11884 KB  
Article
High-Temperature Isothermal Oxidation Behavior of Newly Developed Fe–Cr–Ni Austenite Stainless Steel
by Mohammed Nawaz Husain, Thangam Muniyandi, Bhuvaneshuwari Balaguru, Kamalan Kirubaharan Amirtharaj Mosas, Ashok Raja Chandrasekar and Dinesh Kumar Devarajan
Materials 2026, 19(7), 1461; https://doi.org/10.3390/ma19071461 - 5 Apr 2026
Viewed by 241
Abstract
One of the significant causes of failure in aerospace engine components is high-temperature oxidation. Therefore, it is necessary to investigate the high-temperature oxidation behavior of newly fabricated structural materials for aerospace components. From this perspective, the isothermal oxidation behavior and kinetics of newly [...] Read more.
One of the significant causes of failure in aerospace engine components is high-temperature oxidation. Therefore, it is necessary to investigate the high-temperature oxidation behavior of newly fabricated structural materials for aerospace components. From this perspective, the isothermal oxidation behavior and kinetics of newly developed stainless steel (SS) 08X14H were investigated at 750, 950 and 1050 °C for up to 100 h in an air environment. The weight results demonstrate that oxidation in 08X14H increases with time and temperature and follows a parabolic rate law. Major spallation was observed in samples oxidized for 100 and 24 h at 950 °C and 1050 °C, respectively. Structural and morphological analysis of oxidized samples through X-ray diffraction (XRD) and field emission scanning electron microscopy (FESEM) of the surface and cross section reveal the phases present and their distribution. The structural results confirm the formation of Fe2O3, Cr2O3, FeCr2O4 and intermediate (Cr, Fe)2O3 oxides in the oxidized samples. Surface morphologies reveal that the formation of a Cr2O3 layer effectively protects the material from further oxidation. At higher temperatures, the coarsening of Fe2O3 oxides takes place, which leads to the formation of loose and porous oxide scale with stress-induced cracks. The spallation of the outermost Fe2O3-rich oxide scale was observed, and the matrix is exposed during the extreme oxidation at 950 and 1050 °C for 100 and 50 h, respectively. The cross-sectional morphologies and elemental mapping results reveal a duplex oxide layer with an outermost Fe2O3 layer followed by an underlying layer of Cr2O3, (Cr, Fe)2O3 and FeCr2O4 spinel beneath the Fe2O3 layer. Full article
(This article belongs to the Section Metals and Alloys)
Show Figures

Figure 1

24 pages, 13924 KB  
Article
Synthesis and Characterization of CaFe2O4: Catalytic and Bactericidal Evaluation at High Temperatures
by Daniel Eduardo Bernal Lozano, Miguel Andrés Perdomo Gutiérrez, Ailton José Moreira, Vinicius Marques Ferreira, João Otávio Donizette Malafatti, Elaine Cristina Paris and Miryam Rincón Joya
Materials 2026, 19(7), 1458; https://doi.org/10.3390/ma19071458 - 5 Apr 2026
Viewed by 155
Abstract
CaFe2O4 is a p-type ferrite semiconductor of interest for photo-assisted environmental remediation due to its narrow band gap and high chemical stability. In this work, CaFe2O4 powders were synthesized via the Pechini polymeric precursor method and calcined [...] Read more.
CaFe2O4 is a p-type ferrite semiconductor of interest for photo-assisted environmental remediation due to its narrow band gap and high chemical stability. In this work, CaFe2O4 powders were synthesized via the Pechini polymeric precursor method and calcined between 550 and 850 °C to investigate the influence of calcination temperature on structural order and material properties. X-ray diffraction combined with Rietveld refinement revealed the progressive stabilization of the orthorhombic Pnma phase, accompanied by relaxation of the FeO6 octahedral framework. Raman and FT-IR spectroscopies confirmed a significant increase in vibrational coherence with increasing calcination temperature, quantified by a nearly three-fold increase in the global Raman order parameter and phonon lifetimes. Nitrogen physisorption showed a modest specific surface area and a pore system dominated by interparticle meso–macroporosity, typical of thermally treated ferrites. Removal tests using ciprofloxacin under UV-A irradiation showed limited photo-assisted activity, while agar diffusion assays against Escherichia coli and Staphylococcus aureus revealed no inhibition halos, indicating the absence of detectable antibacterial activity under the experimental conditions employed. Overall, CaFe2O4 combines photo-assisted response with good structural stability, highlighting its potential as a chemically stable ceramic material with no detectable antibacterial activity under the tested conditions. Full article
Show Figures

Graphical abstract

19 pages, 5064 KB  
Article
Nanoscale α Phase Enables Excellent Strength–Ductility Balance in TC21 Titanium Alloy
by Keyu Ma, Zehua Jiang, Kaihong Wu, Yongfeng Shen and Zhaodong Wang
Nanomaterials 2026, 16(7), 442; https://doi.org/10.3390/nano16070442 - 5 Apr 2026
Viewed by 156
Abstract
The limited ductility of conventional titanium alloys significantly limits their application in critical load-bearing components. To overcome this limitation, a Ti-6Al-2Mo-2Nb-2Zr-2Sn titanium alloy (TC21) was subjected to warm rolling at 500 and 600 °C and aging treatment. Subsequently, microstructural characterization was conducted using [...] Read more.
The limited ductility of conventional titanium alloys significantly limits their application in critical load-bearing components. To overcome this limitation, a Ti-6Al-2Mo-2Nb-2Zr-2Sn titanium alloy (TC21) was subjected to warm rolling at 500 and 600 °C and aging treatment. Subsequently, microstructural characterization was conducted using scanning electron microscopy, electron backscatter diffraction and transmission electron microscopy, while the mechanical properties were tested by uniaxial tensile tests and nanoindentation tests. The sample warm rolled at 600 °C exhibited an optimal combination of strength and ductility, with an ultrahigh yield strength of 1138 MPa and an elongation-to-fracture of 7.3%. Aging treatment further enhanced the yield strength to 1263 MPa, while retaining a good ductility of 9.6%. The improved mechanical properties are mainly associated with the formation of nanoscale secondary α phase (αs) lamellae caused by the aging treatment. Interface strengthening is identified as the primary strengthening mechanism. In particular, the optimal volume fraction and decreasing texture intensity of the soft phase contribute to the enhanced ductility. This work provides a method for viable thermo-mechanical processing for achieving an excellent strength–ductility combination in titanium alloys. Full article
(This article belongs to the Section Synthesis, Interfaces and Nanostructures)
Show Figures

Figure 1

Back to TopTop