Research on the Hot Deformation Behavior and Mechanism of a New Nickel-Based P/M Superalloy
Abstract
1. Introduction
2. Materials and Methods
2.1. Materials
2.2. Methods
3. Results
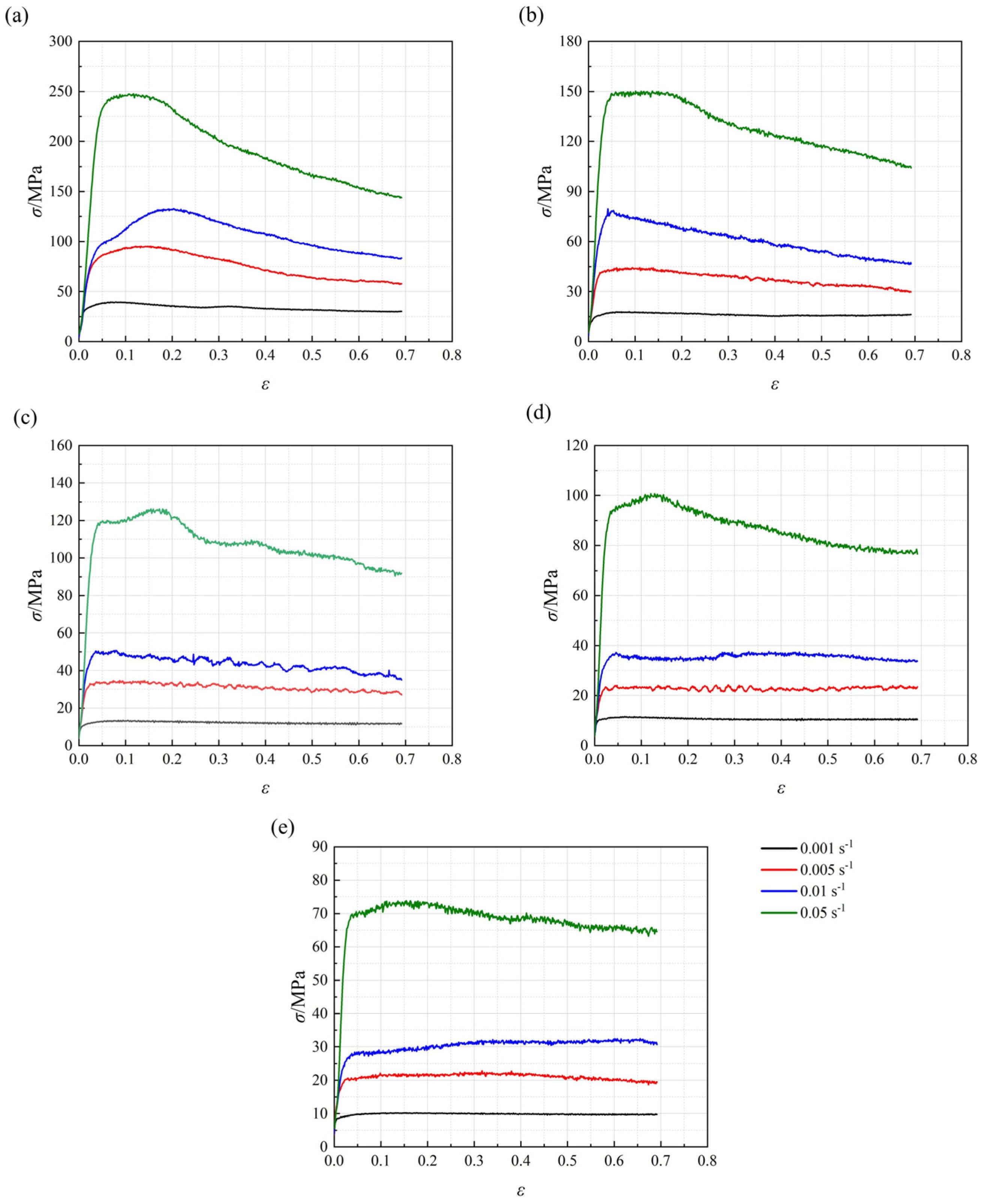
3.1. Mechanical Characteristics of Hot Deformation Behavior of FGH101 Alloy
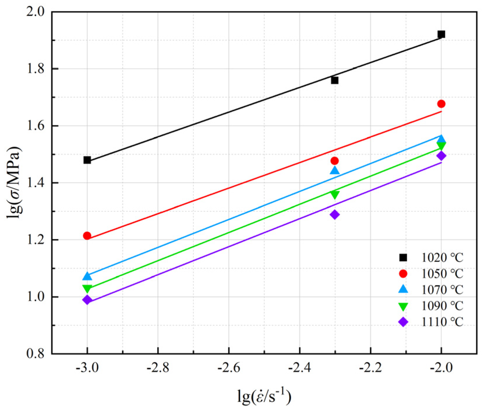
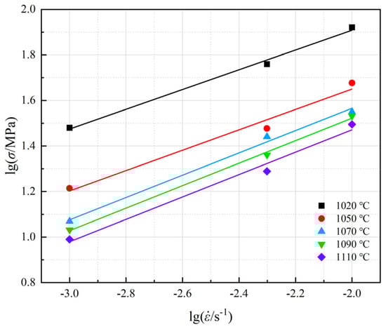
3.2. Strain Rate Sensitivity Index of FGH101 Alloy
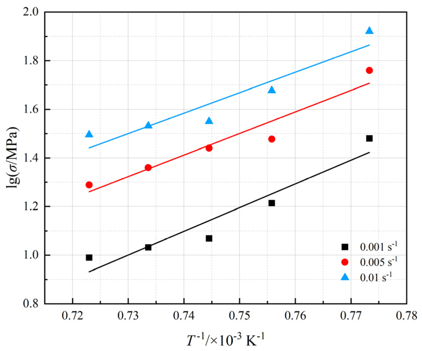
3.3. Activation Energy for Thermal Deformation of FGH101
3.4. Microstructural Evolution During Hot Deformation of FGH101 Alloy
3.5. Processing Map of FGH101 Alloy
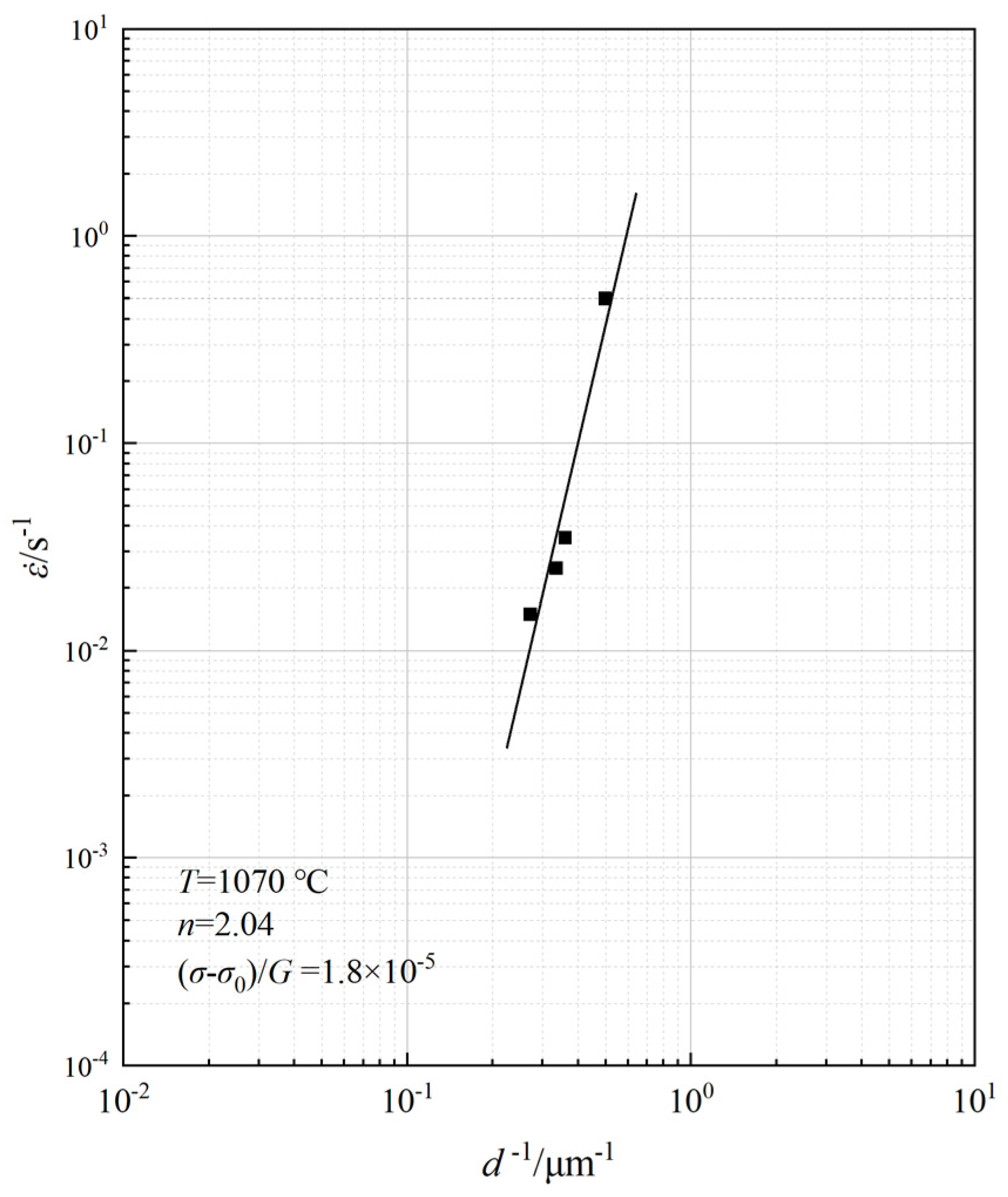
3.6. Deformation Mechanism Map of FGH101 Alloy Incorporating Dislocation Quantities
3.6.1. Construction of the Deformation Mechanism Map
3.6.2. Application of the Deformation Mechanism Map
4. Conclusions
Author Contributions
Funding
Data Availability Statement
Acknowledgments
Conflicts of Interest
References
- Yang, Y.H.; Zhang, B.Y.; Chen, X.Q.; Wang, X.X.; Sun, J.S. Modeling and simulation of grain growth for FGH96 superalloy using a developed cellular automaton model. Model. Simul. Mater. Sci. Eng. 2024, 32, 055011. [Google Scholar] [CrossRef]
- Yang, Y.H.; Zhang, B.Y.; Chen, X.Q.; Wang, X.X.; Feng, Y.K.; Su, L.D.; Liang, Z.F.; Liu, Y.F. Using a Combined FE-CA Approach to Investigate Abnormally Large Grains Formed by the Limited Recrystallization Mechanism in a Powder Metallurgy Nickel-Based Superalloy. Crystals. 2025, 15, 91. [Google Scholar] [CrossRef]
- Powell, A.; Bain, K.; Wessman, A.; Wei, D.; Hanlon, T.; Mourer, D. Advanced supersolvus nickel powder disk alloy DOE: Chemistry, properties, phase formations and thermal stability. In Proceedings of the 13th Intenational Symposium of Superalloys (Superalloys 2016), Seven Springs, PA, USA, 11–15 September 2016; pp. 189–197. [Google Scholar]
- Reynolds, P.L. Superalloy Compositions, Articles, and Methods of Manufacture. U.S. Patent Application No. 8,147,749, 10 October 2017. [Google Scholar]
- Smith, T.M.; Gabb, T.P.; Wertz, K.N.; Stuckner, J.; Evans, L.J.; Egan, A.J.; Mills, M.J. Enhancing the creep strength of next-generation disk superalloys via local phase transformation strengthening. In Minerals Metals and Materials Series, Proceedings of the 14th International Symposium on Superalloys, Seven Springs, PA, USA, 12–16 September 2021; Springer: Heidelberg, Germany, 2020; pp. 726–736. [Google Scholar]
- Smith, T.M. Producing Next Generation Superalloys Through Advanced Characterization and Manufacturing Techniques. In Proceedings of the Case Western Reserve University Seminar Series, Cleveland, OH, USA, 28 January 2020. [Google Scholar]
- Christofidou, K.A.; Hardy, M.C.; Li, H.Y.; Argyrakis, C.; Kitaguchi, H.; Jones, N.G.; Mignanelli, P.M.; Wilson, A.S.; Messé, O.M.D.M.; Pickering, E.J.; et al. On the effect of Nb on the microstructure and properties of next generation polycrystalline powder metallurgy Ni-based superalloys. Metall. Mater. Trans. A. 2018, 49, 3896–3907. [Google Scholar]
- Hardy, M.C.; Argyrakis, C.; Kitaguchi, H.S.; Wilson, A.S.; Buckingham, R.C.; Severs, K.; Yu, S.; Jackson, C.; Pickering, E.J.; Llewelyn, S.C.H.; et al. Developing alloy compositions for future high temperature disk rotors. In Minerals Metals and Materials Series, Proceedings of the 14th International Symposium on Superalloys, Seven Springs, PA, USA, 12–16 September 2021; Springer: Heidelberg, Germany, 2020; pp. 19–30. [Google Scholar]
- Antonov, S.; Detrois, M.; Isheim, D.; Seidman, D.; Helmink, R.C.; Goetz, R.L.; Sun, E.; Tin, S. Comparison of thermodynamic database models and APT data for strength modeling in high Nb content γ–γ′ Ni-base superalloys. Mater. Des. 2015, 86, 649–655. [Google Scholar] [CrossRef]
- Antonov, S.; Isheim, D.; Seidman, D.N.; Sun, E.; Helmink, R.C.; Seetharaman, V.; Tin, S. γ′ phase instabilities in high refractory content γ-γ′ Ni-base superalloys. In Proceedings of the 13th International Symposium on Superalloys, Seven Springs, PA, USA, 11–15 September 2016; pp. 199–208. [Google Scholar]
- Antonov, S.; Huo, J.; Feng, Q.; Isheim, D.; Seidman, D.N.; Helmink, R.C.; Sun, E.; Tin, S. The effect of Nb on grain boundary segregation of B in high refractory Ni-based superalloys. Scr. Mater. 2017, 138, 35–38. [Google Scholar] [CrossRef]
- Antonov, S.; Huo, J.; Feng, Q.; Isheim, D.; Seidman, D.N.; Helmink, R.C.; Sun, E.; Tin, S. σ and η Phase formation in advanced polycrystalline Ni-base superalloys. Mater. Sci. Eng. A 2017, 687, 232–240. [Google Scholar] [CrossRef]
- Antonov, S.; Huo, J.; Feng, Q.; Isheim, D.; Seidman, D.N.; Sun, E.; Tin, S. Comparison of Thermodynamic Predictions and Experimental Observations on B Additions in Powder-Processed Ni-Based Superalloys Containing Elevated Concentrations of Nb. Metall. Mater. Trans. A 2018, 49, 729–739. [Google Scholar] [CrossRef]
- Antonov, S.; Chen, W.; Huo, J.; Feng, Q.; Isheim, D.; Seidman, D.N.; Sun, E.; Tin, S. MC carbide characterization in high refractory content powder-processed Ni-based superalloys. Metall. Mater. Trans. A 2018, 49, 2340–2351. [Google Scholar] [CrossRef]
- Egan, A.J.; Rao, Y.; Viswanathan, G.B.; Smith, T.M.; Ghazisaeidi, M.; Tin, S.; Mills, M.J. Effect of Nb alloying addition on local phase transformation at microtwin boundaries in nickel-based superalloys. In Minerals Metals and Materials Series, Proceedings of the 14th International Symposium on Superalloys, Seven Springs, PA, USA, 12–16 September 2021; Springer: Heidelberg, Germany, 2020; pp. 640–650. [Google Scholar]
- Lilensten, L.; Antonov, S.; Gault, B.; Tin, S.; Kontis, P. Enhanced creep performance in a polycrystalline superalloy driven by atomic-scale phase transformation along planar faults. Acta Mater. 2021, 202, 232–242. [Google Scholar] [CrossRef]
- Su, L.D.; Meng, Q.Q.; Ning, Y.Q.; Huang, S.; Zhang, W.Y.; Zhang, B.J. Interfacial microstructure evolution behavior during plastic deformation bonding of GH4065A superalloy. J. Mater. Eng. 2025, 53, 99–109. [Google Scholar]
- Kumar, S.S.S.; Raghu, T.; Bhattacharjee, P.P.; Rao, G.A.; Borah, U. Constitutive modeling for predicting peak stress characteristics during hot deformation of hot isostatically processed nickel-base superalloy. J. Mater. Sci. 2015, 50, 6444–6456. [Google Scholar] [CrossRef]
- Mccarley, J.; Alabbad, B.; Tin, S. Influence of the starting microstructure on the hot deformation behavior of a low stacking fault energy Ni-based superalloy. Metall. Mater. Trans. A. 2018, 49A, 1615–1630. [Google Scholar] [CrossRef]
- Kumar, R.R.; Singh, R.K.; Florist, V.; Pai, N.; Anoop, C.R.; Tripathy, D.; Murty, S.N. Effect of temperature and strain rate on the hot workability behaviour of Ni–25Cr–14W superalloy: An approach using processing map and constitutive equation. J. Mater. Res. 2024, 39, 2397–2414. [Google Scholar] [CrossRef]
- Zhou, G.; Zhang, S.Q.; Zhang, H.Y.; Yu, X.M.; Liu, L.R.; Chen, L.J. Elevated Temperature Compression Deformation Behavior and Mechanism of GH79 Superalloy. Rare Metal Mat. Eng. 2019, 48, 3939–3947. [Google Scholar]
- Zhou, G. Study on the Deformation Behavior and Microstructure Evolution Mechanism at Elevated Temperatures in High Superalloys. Ph.D. Thesis, Northeastern University, Shenyang, China, 2013. [Google Scholar]
- Zhang, Y.S.; Yang, Z.Z.; Zhou, G.; Zhang, H.Y.; Chen, L.J.; Guan, L. Thermocompression Deformation Behavior and Mechanism of Ni60Ti40 Alloy. Rare Metal. Mat. Eng. 2021, 50, 2385–2392. [Google Scholar]
- ASTM E9-19; Standard Test Methods of Compression Testing of Metallic Materials at Room Temperature. American Society for Testing Material: West Conshohocken, PA, USA, 2019.
- Kumar, S.S.; Raghu, T.; Bhattacharjee, P.P.; Rao, G.A.; Borah, U. Evolution of microstructure and microtexture during hot deformation in an advanced P/M nickel base superalloy. Mater. Charact. 2018, 146, 217–236. [Google Scholar] [CrossRef]
- Yuan, H.; Liu, W.C. Effect of the δ phase on the hot deformation behavior of Inconel 718. Mater. Sci. Eng. A. 2005, 408, 281–289. [Google Scholar] [CrossRef]
- Langdon, T.G. A unified approach to grain boundary sliding in creep and superplasticity. Acta Metall. Mater. 1994, 42, 2437–2443. [Google Scholar] [CrossRef]
- Ma, X.D.; He, Y.J.; Li, Y.; Cheng, J.Y.; Zhu, L.H.; Guo, J.Z. Superplastic deformation behavior of nickel-based powder superalloy during isothermal hot compression. Rare Metal. Mat. Eng. 2022, 51, 3307–3315. [Google Scholar]
- ASTM E112-24; Standard Test Methods for Determining Average Grain Size. American Society for Testing Material: West Conshohocken, PA, USA, 2024.
- Umemoto, M.; Hiramatsu, A.; Moriya, A.; Watanabe, T.; Nanba, S.; Nakajima, N.; Anan, G.; Higo, Y. Computer modelling of phase transformation from work-hardened austenite. ISIJ Int. 1992, 32, 306–315. [Google Scholar] [CrossRef]
- Prasad, Y.V.R.K. Processing maps: A status report. J. Mater. Eng. Perform. 2003, 12, 638–645. [Google Scholar] [CrossRef]
- Narayana Murty, S.V.S.; Nageswara Rao, B.; Kashyap, B.P. Instability criteria for hot deformation of materials. Int. Mater. Rev. 2000, 45, 15–26. [Google Scholar] [CrossRef]
- Koundinya, N.T.B.N.; Sri Bharadwaj, K.; Nandha Kumar, E.; Narayana Murty, S.V.S.; Kottada, R.S. Understanding the hot working behavior of a Ni-base superalloy XH 67 via processing map approach. Mater. Perform. Charact. 2020, 9, 224–236. [Google Scholar] [CrossRef]
- Cao, F.R.; Cui, J.Z.; Wen, J.L. Deformation mechanism maps of magnesium lithium alloy and their experimental application. Trans. Nonferrous Met. Soc. China 2002, 12, 1146–1148. [Google Scholar]
- Ruano, O.A.; Wadsworth, J.; Sherby, O.D. Deformation mechanisms in an austenitic stainless steel (25Cr-20Ni) at elevated temperature. J. Mater. Sci. 1985, 20, 3735–3744. [Google Scholar] [CrossRef]
- Cao, F.R. Preparation of Ultralight Magnesium Alloys and Their Deformation Mechanism at Elevated Temperatures. Ph.D. Thesis, Northeastern University, Shenyang, China, 1999. [Google Scholar]
- Frank, S.; Rüsing, J.; Herzig, C. Grain boundary self-diffusion of 63Ni in pure and boron-doped Ni3Al. Intermetallics 1996, 4, 601–611. [Google Scholar] [CrossRef]











| Cr | Co | Al | Ti | Nb | Mo | W | C | Ta | Hf | Ni |
|---|---|---|---|---|---|---|---|---|---|---|
| 10.0–15.0 | 16.0–21.0 | 1.0–4.0 | 1.0–4.5 | 0.5–2.5 | 1.5–5.0 | 1.0–4.5 | 0.01–0.10 | 2.0–6.5 | 0–1.0 | Bal |
| Experimental Conditions | Specific Parameters |
|---|---|
| Strain | 0.69 |
| Deformation temperature | 1020 °C, 1050 °C, 1070 °C, 1090 °C, 1110 °C |
| Strain rate | 0.001 s−1, 0.005 s−1, 0.01 s−1, 0.05 s−1 |
| T/°C | 1020 | 1050 | 1070 | 1090 | 1110 |
|---|---|---|---|---|---|
| m | 0.434 | 0.448 | 0.49 | 0.494 | 0.492 |
| /s−1 | Slope | 95% LCL | 95% UCL |
|---|---|---|---|
| 0.001 | 9762.5595 | 4325.7128 | 15,199.4063 |
| 0.005 | 8871.0876 | 4353.7015 | 13,388.4737 |
| 0.01 | 8419.8629 | 3069.74618 | 13,769.97962 |
| /s−1 | T/°C | ||||
|---|---|---|---|---|---|
| 1020 | 1050 | 1070 | 1090 | 1110 | |
| 0.001 | 509.62 | 526.06 | 575.37 | 580.07 | 577.72 |
| 0.005 | 463.08 | 478.02 | 522.83 | 527.11 | 524.97 |
| 0.01 | 439.53 | 453.71 | 496.24 | 500.29 | 498.26 |
| Parameters | T | ||
|---|---|---|---|
| 1020 °C | 1070 °C | 1110 °C | |
| b | 2.5 × 10−10 m | ||
| v | 0.3 | ||
| k | 1.38 × 10−23 J/K | ||
| E | 148,570 MPa | 145,300 MPa | 142,700 MPa |
| DL | 14.416 × 10−17 m2·s−1 | 43.36 × 10−17 m2·s−1 | 121.7 × 10−17 m2·s−1 |
| Dgb(DP) | 13.554 × 10−11 m2·s−1 | 25.57 × 10−11 m2·s−1 | 41.56 × 10−11 m2·s−1 |
| T/°C | (d/b) × 103 | (σ/E) × 10−4 | |
|---|---|---|---|
| 1020 | 6.96~8.48 | 2.03~9.69 | 0.001~0.05 |
| 1070 | 8.04~14.76 | 0.81~6.33 | 0.001~0.05 |
| 1110 | 12.24~17.12 | 0.68~4.53 | 0.001~0.05 |
Disclaimer/Publisher’s Note: The statements, opinions and data contained in all publications are solely those of the individual author(s) and contributor(s) and not of MDPI and/or the editor(s). MDPI and/or the editor(s) disclaim responsibility for any injury to people or property resulting from any ideas, methods, instructions or products referred to in the content. |
© 2025 by the authors. Licensee MDPI, Basel, Switzerland. This article is an open access article distributed under the terms and conditions of the Creative Commons Attribution (CC BY) license (https://creativecommons.org/licenses/by/4.0/).
Share and Cite
Liu, Y.; Yang, Y.; Yang, J.; Zhu, Y.; Wang, X.; Xia, W.; Meng, X.; Zhong, K. Research on the Hot Deformation Behavior and Mechanism of a New Nickel-Based P/M Superalloy. Crystals 2025, 15, 1046. https://doi.org/10.3390/cryst15121046
Liu Y, Yang Y, Yang J, Zhu Y, Wang X, Xia W, Meng X, Zhong K. Research on the Hot Deformation Behavior and Mechanism of a New Nickel-Based P/M Superalloy. Crystals. 2025; 15(12):1046. https://doi.org/10.3390/cryst15121046
Chicago/Turabian StyleLiu, Yifan, Yanhui Yang, Jie Yang, Yaliang Zhu, Xiaofeng Wang, Weiwei Xia, Xianghui Meng, and Kelu Zhong. 2025. "Research on the Hot Deformation Behavior and Mechanism of a New Nickel-Based P/M Superalloy" Crystals 15, no. 12: 1046. https://doi.org/10.3390/cryst15121046
APA StyleLiu, Y., Yang, Y., Yang, J., Zhu, Y., Wang, X., Xia, W., Meng, X., & Zhong, K. (2025). Research on the Hot Deformation Behavior and Mechanism of a New Nickel-Based P/M Superalloy. Crystals, 15(12), 1046. https://doi.org/10.3390/cryst15121046

