Next Article in Journal
Autoclave Expansion and Compressive Strength of MgO-Admixed RCC with Partial Fly Ash Replacement by Phosphorus Slag
Previous Article in Journal
Research on the Hot Deformation Behavior and Mechanism of a New Nickel-Based P/M Superalloy
Previous Article in Special Issue
Modeling of Cr2+-Doped Saturable-Absorber Q-Switched Tm:CaF2 Lasers
 
 
Font Type:
Arial Georgia Verdana
Font Size:
Aa Aa Aa
Line Spacing:
Column Width:
Background:
Article

Spectral-Based Temperature Sensing in Cr:LiCAF Crystals Using Fluorescence Peak Shift Calibration

1
Electrical and Electronics Engineering Department, Faculty of Engineering and Natural Sciences, Antalya Bilim University, 07190 Antalya, Türkiye
2
Antalya Bilim University Laser Technology Laboratory, 07190 Antalya, Türkiye
Crystals 2025, 15(12), 1047; https://doi.org/10.3390/cryst15121047
Submission received: 5 November 2025 / Revised: 2 December 2025 / Accepted: 6 December 2025 / Published: 9 December 2025
(This article belongs to the Special Issue Research Progress of Laser Crystals)

Abstract

In this study, we present a non-invasive and contactless method for estimating the internal temperature of Cr:LiCAF laser crystals using temperature-dependent shifts in fluorescence emission peaks. A high-resolution calibration dataset was created with 181 spectral points from 10 to 100 °C. Linear regression yielded a temperature estimation model with an R2 of 0.73, which was validated under both lasing and non-lasing conditions. To further evaluate the reliability of this optical thermometry method, thermal imaging data from a FLIR E75 infrared camera were incorporated. Surface temperatures measured at various diode current levels closely matched the internal temperature predictions based on fluorescence shifts (MAE = 0.775 °C, R2 = 0.993), confirming the robustness of the method. This dual-approach validation enhances confidence in using fluorescence-based diagnostics for real-time thermal monitoring in laser systems. The combined use of spectrometer-based and thermal camera measurements suggests potential for hybrid diagnostics in laser research and development, offering improved thermal feedback for optimizing high-power laser performance.

1. Introduction

Accurate and real-time temperature monitoring of gain media is crucial for stable and efficient laser operation [1,2,3]. Temperature fluctuations inside laser crystals can lead to thermal lensing, wavelength shifts, and reduced laser efficiency or even damage to the crystal [4,5,6]. While conventional thermal measurement techniques involve direct contact sensors or thermal cameras, such methods may not accurately reflect the internal temperature of the active region, especially during lasing operation. Optical thermometry, particularly based on the temperature-dependent fluorescence spectra, offers a non-invasive alternative [7,8].
Among various gain materials, chromium-doped fluoride crystals such as Cr:LiCAF have attracted interest due to their broad tunability and potential use in ultrafast and visible laser sources [9,10]. However, there exists a noticeable gap in the literature when it comes to temperature-dependent fluorescence studies of Cr:LiCAF, especially under continuous-wave (CW) lasing conditions. This study focuses on the development and implementation of a contactless optical temperature estimation method based on fluorescence peak shifts in Cr:LiCAF crystals.
Optical thermometry techniques have been widely employed for non-contact temperature measurements in laser systems. These techniques rely on temperature-induced spectral changes such as peak shifts, bandwidth broadening, intensity ratios, and lifetime variations to infer the thermal state of laser materials [11,12,13]. The peak shift method is particularly favored for its simplicity and direct correlation with lattice vibrations and phonon interactions [14]. Although thermal cameras provide surface temperature information, they lack precision in detecting subsurface crystal heating during lasing. Therefore, combining optical thermometry with thermal imaging enables a more reliable temperature assessment by correlating internal fluorescence shifts with external temperature distributions.
Laser crystals such as Yb:YAG [15], Yb:YLF [16], and Nd:YVO4 [17] have been extensively studied under varying thermal loads. Demirbas et al. [18,19] systematically compared different optical thermometry techniques for cryogenic Yb:YAG and Yb:YLF crystals and demonstrated that spectral-based temperature probing can achieve sub-degree accuracy under controlled conditions, while also identifying major sources of uncertainty such as spectral noise and detector stability. Sui et al. [20] showed that precise thermal monitoring is crucial for preventing performance degradation in high-energy cryogenically cooled Yb:YAG laser systems. Püschel et al. [21] investigated the influence of rare-earth doping on thermal effects in Yb:YLF and demonstrated how temperature gradients directly affect laser cooling efficiency. These studies collectively emphasize that reliable temperature diagnostics are essential for both performance optimization and long-term operational stability of solid-state laser systems. In the case of chromium-doped gain media, studies have largely focused on Cr:LiSAF, Cr:LiSGaF, and to a limited extent Cr:LiCAF [22,23,24,25]. Okuyucu et al. [26] recently provided a comparative temperature-dependent study of emission cross-sections in these fluoride crystals. However, these studies mostly consider passive heating or cryogenic operation, lacking real-time feedback from actively lasing media.
Recent advances in spectrometer design and data acquisition systems have enabled high-resolution spectral tracking at sub-degree thermal steps [27]. Integrated setups with thermal cameras and synchronized excitation sources have also improved the calibration reliability [28]. Machine learning-based thermometry models are also emerging, offering improved robustness against noise and positional drift [29]. While the temperature dependence of fluorescence peak shifts in laser crystals is a well-established phenomenon, prior studies have predominantly focused on conventional gain media such as Yb:YAG or Nd:YVO4, often under pulsed or static thermal conditions. In contrast, the behavior of Cr:LiCAF under active, diode-pumped continuous-wave (CW) operation remains underexplored. This work contributes to the literature by introducing a systematic, high-resolution calibration protocol specifically tailored for Cr:LiCAF, implemented under both lasing and non-lasing conditions. A fine-step thermal sweep (10–100 °C, 181 data points) and corresponding fluorescence shifts were modeled via linear regression, revealing a robust and quantifiable temperature–emission relationship. Furthermore, experimental validation was achieved through synchronized thermal imaging using a calibrated FLIR E75 camera. By comparing the internal temperatures inferred from spectral data with external surface readings, we demonstrate the consistency and accuracy of the proposed optical thermometry technique. This hybrid approach not only enhances the reliability of contactless diagnostics but also fills a practical and methodological gap in the application of real-time, non-invasive thermal monitoring for Cr-doped fluoride laser systems. The dual-condition design and cross-verification strategy collectively represent a novel and applicable framework for future laser diagnostics and system integration.
The paper is organized as follows. The Introduction provides a comprehensive review of the relevant literature on optical thermometry techniques and prior work involving Cr-doped fluoride crystals. The Experimental Setup section describes the instrumentation and methodology used to perform fluorescence calibration of Cr:LiCAF crystals under controlled thermal conditions. The Experimental Results section presents emission measurements under both lasing and non-lasing regimes and includes spectral shift analysis to evaluate temperature sensitivity. Finally, the Discussion and Conclusion summarize the key findings and discuss their implications for real-time optical diagnostics and thermal feedback in diode-pumped laser systems.

2. Experimental Setup

To estimate the temperature inside the gain medium, we employed a standard X-folded cavity setup with both optical and thermal diagnostics as shown in Figure 1. A Cr:LiCAF crystal (1.25% Cr-doped, 15 × 7 × 2 mm3) was mounted in a water-cooled copper holder stabilized at 15 °C. Four 660 nm multimode laser diodes (MMD-1 to MMD-4) were used as pump sources. Each diode output was first collimated using 4.5 mm focal-length aspheric collimation lenses. The pump beams were then combined by means of polarizing beam splitters (PBSs) and subsequently focused into the crystal using achromatic doublet lenses with a focal length of 100 mm, resulting in an approximately 25 × 65 µm pump spot size at the crystal. Two dichroic cavity mirrors (DM-1 and DM-2), highly transmissive at the pump wavelength (660 nm) and highly reflective around the laser emission wavelength (~800 nm), were used to separate the pump radiation from the resonator mode and to fold the cavity arms. The optical cavity further included a high-reflector mirror (HR) and an output coupler (OC) to guide and extract the laser radiation along the folded resonator geometry during alignment and diagnostic measurements. The pump diodes were operated in pulsed mode (1 Hz repetition rate, 10 ms pulse duration) to generate a peak pump power of 1.7 W while minimizing thermal loading during calibration procedures. Fluorescence emission spectra were collected using an Ocean Optics HR4000 spectrometer (Ocean Optics, Dunedin, FL, USA) with a spectral resolution of 0.25 nm. The spectrometer position was carefully optimized to maximize the signal-to-noise ratio and minimize geometric distortion. The crystal temperature was increased in 0.5 °C increments using a controllable heat blower, while real-time temperature monitoring was performed simultaneously with a FLIR E75 thermal camera (Wilsonville, OR, USA) and an additional thermal sensor mounted directly on the copper holder. In addition to spectrometer-based emission analysis, thermal images were captured at various diode current levels (0 A, 1.5 A, 2.0 A, and 2.5 A) to compare surface temperature variations with internal temperature predictions. Each measurement was performed after thermal stabilization to ensure accurate correlation between the spectral data and thermal camera output. Calibration data were acquired across 181 temperature points between 10 and 100 °C.
The Cr:LiCAF crystal was Brewster–Brewster cut and mounted such that the laser beam propagated along the a-axis of the crystal. The polarization of the propagating light was TM polarized with the electric field vector parallel to the crystallographic c-axis (E//c), as illustrated in Figure 1b. This orientation ensures maximum pump absorption and efficient fluorescence collection. To assess measurement reliability, the thermal imaging protocol included acquisition of three independent images at each diode current level after thermal stabilization. The region of interest (ROI) was defined as a centered area on the crystal surface corresponding to the pump spot location, and temperature values were averaged within this region to minimize edge effects and thermal gradients. The standard deviation across repeated measurements was consistently below ±0.3 °C, confirming the stability of the thermal imaging methodology.
For spectral measurements, the primary focus was on establishing a comprehensive calibration dataset across a wide temperature range. The spectrometer resolution of 0.25 nm and the calibration slope derived from linear regression (approximately 0.20 nm/°C) suggest a peak detection uncertainty on the order of ±0.5–1 °C. This is consistent with the observed agreement between optical temperature estimates and thermal camera measurements, where deviations remained within ±1.5 °C across all validation points.
After collecting temperature-dependent emission data, a calibration curve was constructed based on the emission peak shifts. Subsequently, the system was operated in continuous-wave (CW) lasing and non-lasing conditions for validation. During lasing, diode currents were incremented, and corresponding emission spectra were recorded. To minimize parasitic oscillations around 790 nm, stringent spectral-filtering measures were implemented. The temperature-induced emission peak shifts were then systematically evaluated under both lasing and non-lasing conditions to elucidate the influence of thermal loading on the spectral response. Observed changes in emission intensity and peak wavelength were used to estimate the internal temperature of the gain crystal under operational conditions.

3. Results

Figure 2 shows the measured emission spectrum of Cr:LiCAF at the temperature between 10 and 100 °C in normalized units. The collected emission data shows that Cr:LiCAF crystal has an emission peak around 740 nm. It is clearly observed that with the upraised temperature on the crystal, the emission lines broaden and shift near the peak due to increased phonon interactions. The blue lines indicate fluorescence emission at 10 °C and the central wavelength of around 730 nm, while the red curves represent crystal temperatures above 90 °C. The central wavelength shift between 90 °C is clearly seen. Moreover, this results in the expected intensity decrease. Building on previous studies, we constructed a reference curve for temperature estimation [18]. The spectral change caused by the temperature change is the best option for this purpose. There are different reported techniques based on this change (Peak method, FWHM method, differential luminescence thermometry (DLT), dip method) [19]. This study is focused especially on the peak method, where the emission peak is shifted because of temperature change. A weak secondary emission band at 760–765 nm is also observed in the spectra, which originates from higher-order vibronic transitions of the Cr3+ ions. However, this band remains significantly weaker than the dominant fluorescence peak centered near 740 nm. In the peak extraction procedure, a constrained single-peak fitting algorithm was applied only to the dominant 740 nm band, and the influence of the secondary band on the extracted peak position was verified to be negligible within the spectral resolution of the system.
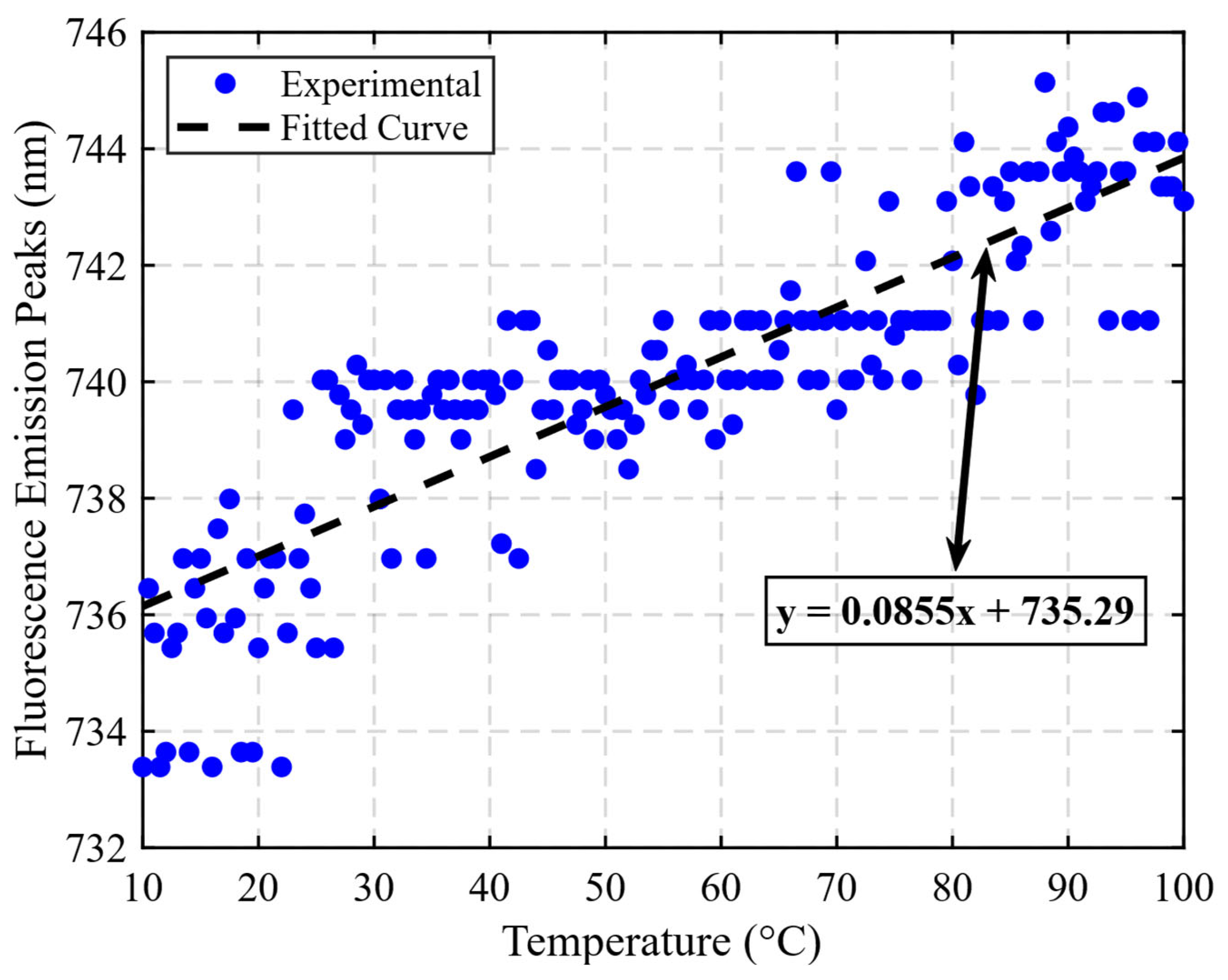
In this method we have used, emission peaks around 740 nm for Cr:LiCAF crystal, with a variation in the temperature change each emission peak extracted. Figure 3 shows the extracted emission peaks from the reference emission curves. In here we have 181 data points, relating the increments of temperature as a step of 0.5 °C between 10 and 100 °C. Some emission peaks are identical in multiple data points due to minimal temperature differences. However, it is clear that, with an increased temperature, the emission peak transitions into higher wavelength observed. For the temperature estimation the linear regression model was implemented. A linear curve fit was plotted based on the distribution of emission peaks. The R 2 of the linear curve for this dataset is around 0.73, which shows good agreement for the temperature estimation model.
Although the coefficient of determination ( R 2 = 0.73) is slightly below the ideal threshold for a purely statistical prediction model, this limitation mainly originates from the finite spectral resolution of the spectrometer (0.25 nm), small temperature stabilization fluctuations, and the presence of weak overlapping emission components. Importantly, the practical accuracy of the model was independently validated through thermal camera measurements, yielding a much higher agreement ( R 2 = 0.993 and MAE = 0.775 °C). Therefore, despite the moderate R2 value of the calibration fit, the model demonstrates high practical reliability for internal temperature estimation under real operating conditions.
The stability of the data acquisition system is critical for consistent spectral measurements. During measurements, all optical components must remain stable. Even small shifts in spectrometer position may alter the collected data. This can be easily understood from the intensity ratio change. When it got closer to the spectrometer, there were changes observed. Here, we would like to mention that some of the collected data curves have the same emission peaks. This can be seen in two distinct intervals, Where the temperature of the crystal is between 30 and 70 °C and where it is between 60 and 90 °C. This is possibly caused by small changes in temperature. When we look at the emission cross-sections within a smaller temperature change, this slight change in peak positions could be expected [26]. The observed scatter of several data points around the linear fit is mainly attributed to the combined effects of spectrometer resolution limits, temperature stabilization fluctuations at small thermal steps (0.5 °C), and the influence of weak overlapping emission components. Nevertheless, the overall monotonic trend of the peak shift with temperature remains clearly preserved, validating the applicability of the linear approximation within the investigated temperature range.
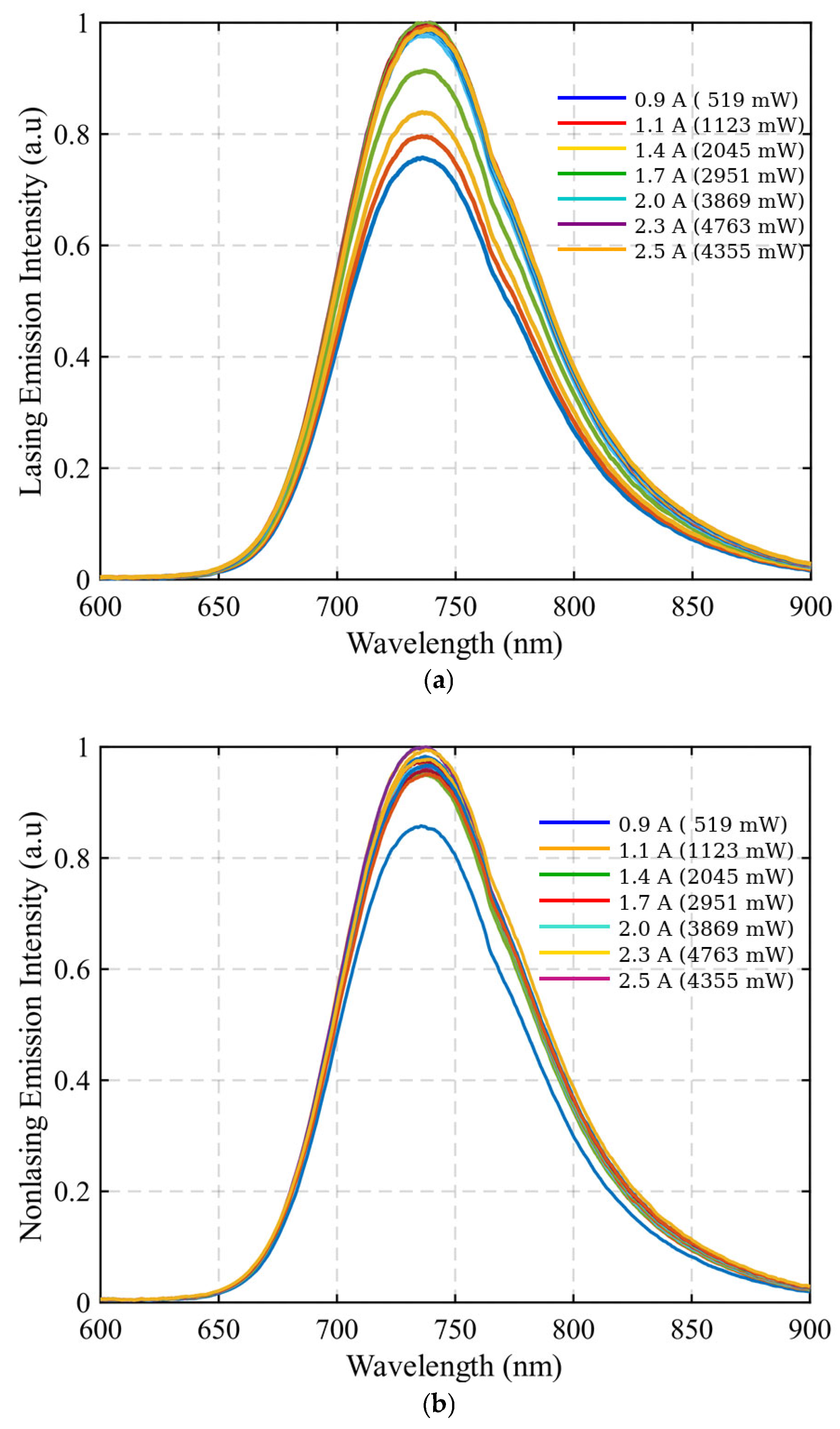
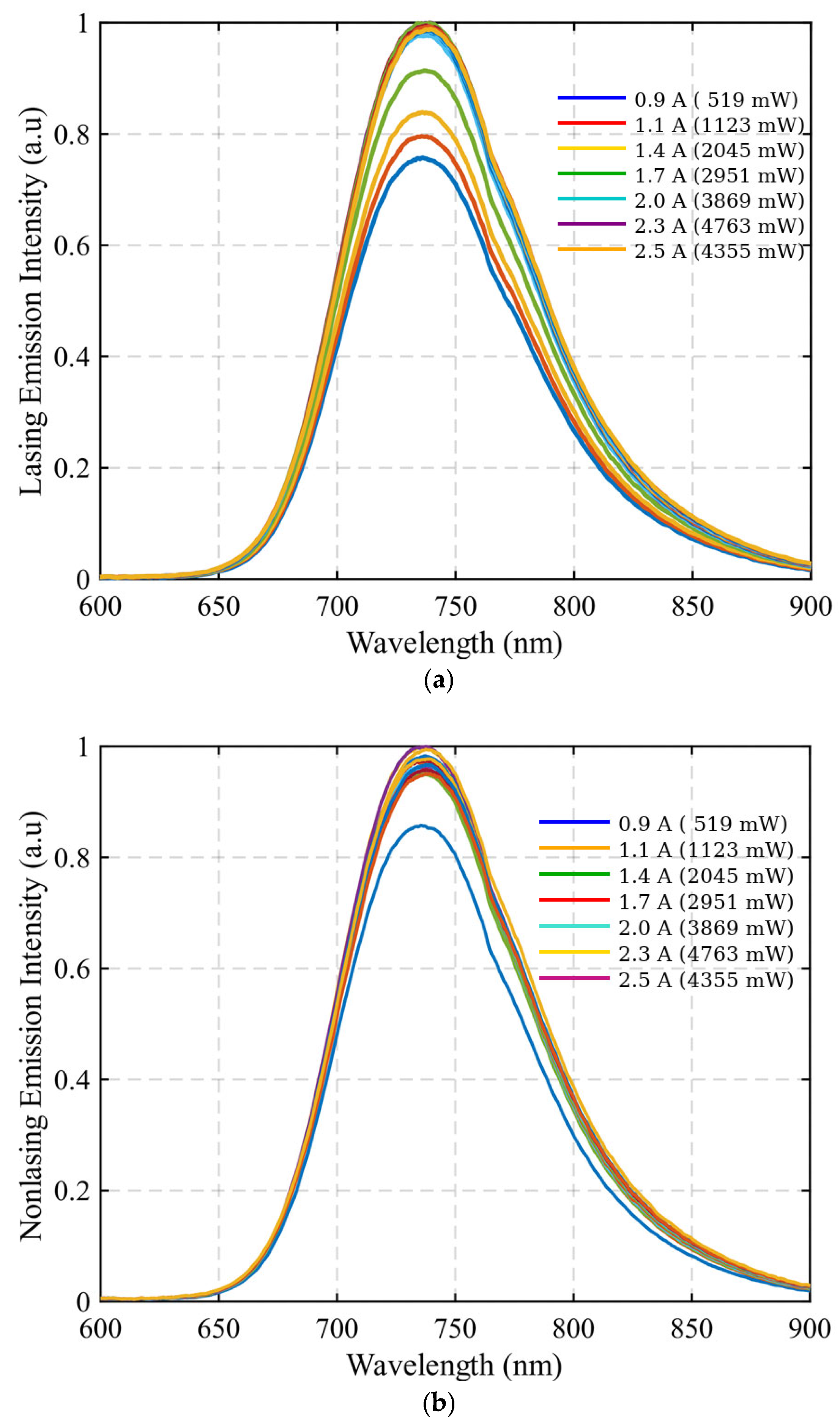
As a next step, to perform the temperature measurements from the reference curve, we have employed two different conditions. In the first part, using the same setup and operating conditions, the system was configured to operate under lasing conditions. The temperature of the crystal holder is set to 15 °C to not damage crystal. While the cavity is in continuous-wave lasing, emissions data with respect to diode currents is collected. The obtained curves are prepared for the peak extraction with post-processing. Note that, during cw lasing the peak emission collected from the lasing region of Cr:LiCAF is 800 nm. To be more precise, we removed the monochromatic lasing component through spectral post-processing. During measurements, the four diodes of the cavity are actively used to maximize the thermal load within the limitations of our laboratory setup. Figure 4 shows the measured emission spectrum of Cr:LiCAF while active lasing creates additional thermal effects. In other cases, we have blocked the output coupling to prevent the lasing. For both cases, to estimate the temperature inside the crystal, the same method is employed. For all spectra shown in Figure 4, the Cr:LiCAF crystal was mounted in a temperature-stabilized copper holder at 15 °C. The diode current was varied at 0.9, 1.1, 1.4, 1.7, 2.0, 2.3, and 2.5 A, corresponding to incident pump powers of 519 mW, 1123 mW, 2045 mW, 2952 mW, 3869 mW, 4763 mW, and 5355 mW, respectively. These operating points were used to induce controlled thermal loading under both lasing and non-lasing conditions.
The peak positions of the emission curves were extracted. Moreover, when we look at the intensity ratio of the emission curves for each case, there is a different scenario. During lasing, the fluorescence intensity increases due to higher pump power. This is expected because the increase in the incident power affects the emission strength. However, for the non-lasing case, since there is an active photon, this starts the transition for lasing and the general emission intensity is almost the same. Figure 5a shows the emission peaks for the lasing case and Figure 5b gives non-lasing emission peaks. As can be seen from the figure, the lasing peaks varied with respect to applied diode current. The increase in the current provides much more power to the laser crystal. In this way, even small changes in the emission peak positions became observable.
To validate the temperature estimation model derived from fluorescence peak shifts, we conducted complementary measurements using a FLIR E75 infrared thermal camera (thermal sensitivity < 0.05 °C, accuracy ± 2 °C). Thermal images were acquired at four diode current levels (0 A, 1.5 A, 2.0 A, and 2.5 A), with each condition allowed to reach thermal equilibrium before recording. Emissivity was calibrated at ε = 0.95 for the Cr:LiCAF crystal to ensure accuracy. The camera was aligned perpendicular to the crystal surface, and environmental conditions were monitored to minimize background noise and reflections. As shown in Figure 6, a white box was defined as the region of interest (ROI), centered on the pumped area of the crystal where the maximum thermal load occurs due to direct optical excitation. This ROI was deliberately selected to represent the most thermally stressed region of the crystal. Averaging the temperature values within this ROI ensured the minimization of peripheral cooling effects and enhanced measurement stability. Although thermal gradients exist across the crystal, this central region provides the most consistent and relevant feedback under diode-pumped excitation. To ensure repeatability measurement, three independent thermal images were acquired under each operating condition. The observed standard deviation in temperature within the ROI was consistently below ±0.3 °C, confirming the robustness of the measurement protocol. The resulting values are summarized in Table 1. These operating points represent increasing thermal loads inside the crystal, simulating the temperature rise during continuous-wave lasing and validating the accuracy of the contactless spectroscopic thermometry approach.
Simultaneously, the fluorescence emission spectra were collected for each current level, and the peak wavelengths were extracted. The corresponding optical temperature estimations showed strong agreement with the thermal camera results, with deviations within ±1.5 °C across all measurement points. For instance, at 2.5 A diode current, the spectral shift suggested an internal crystal temperature of ~39.7 °C, closely matching the 38.3 °C measured externally.
To quantify the agreement between the internal temperatures estimated via fluorescence peak shifts and those measured by the FLIR E75 thermal camera, a mean absolute error ( M A E ) analysis was conducted [30]. The resulting M A E value was 0.775 °C, with a maximum deviation of 1.4 °C observed at the highest current setting (2.5 A). Furthermore, the coefficient of determination (R2) between the two datasets was calculated to be 0.993, indicating an excellent linear correlation. These results confirm that the optical thermometry method provides reliable estimates of internal crystal temperature, closely matching the surface readings of infrared thermography.
M A E is simply calculated as Equation (1):
M A E = 1 n × i n T o p t i c a l , i     T t h e r m a l , i ,
The coefficient of determination ( R 2 ) is given by Equation (2):
R 2 = 1     i n T t h e r m a l , i     T o p t i c a l , i 2 i n T t h e r m a l , i     T ¯ t h e r m a l , i 2 ,
Here, T o p t i c a l , i is the internal temperature estimated from fluorescence peak shifts, T t h e r m a l , i is the corresponding surface temperature measured by the thermal camera, and n is the total number of measurement points.
Figure 7 illustrates the comparison between temperature values measured via a FLIR E75 thermal camera and those estimated through fluorescence peak shifts in Cr:LiCAF crystals at various diode current levels. As the current increases, both measurement methods consistently show a rise in temperature. The close alignment of the two datasets, with deviations remaining within ±1.5 °C, confirms the accuracy and reliability of the spectrometer-based optical thermometry method. This agreement highlights the feasibility of using fluorescence peak shifts for real-time, non-invasive internal temperature monitoring in diode-pumped solid-state laser systems.

4. Discussion

The experimental results demonstrate the feasibility of fluorescence peak shift-based thermometry for internal temperature estimation in Cr:LiCAF laser crystals. The linear calibration (R2 = 0.73) across 181 measurements provides a practical foundation despite the inherent challenge of resolving small spectral shifts (~10–15 nm over 90 °C range) with finite spectrometer resolution. The excellent agreement between optical estimates and thermal camera measurements ( M A E = 0.775 °C, R2 = 0.993) validates the method. The maximum deviation of 1.4 °C at the highest pump current remains within acceptable limits and compares favorably with similar techniques in other laser crystals [15,16,18,19]. This close correspondence confirms minimal thermal gradients under our experimental conditions. The peak shift method offers significant advantages over alternative approaches. Unlike intensity-based methods sensitive to pump power fluctuations and alignment drift, peak wavelength remains robust against such variations. The broad emission bandwidth and strong electron–phonon coupling in Cr:LiCAF make it particularly suitable for this measurement. Importantly, the method remains reliable under both lasing and non-lasing conditions. Despite fluorescence intensity differences between these regimes, peak shift behavior remained consistent—an essential requirement for real-time monitoring in dynamically operating laser systems. Main uncertainty sources include spectrometer resolution, calibration stability, spatial averaging over the excited volume, environmental factors, and material batch-to-batch variations. Future improvements could focus on enhanced calibration models, real-time implementation algorithms, and extension to other laser materials. This study validates fluorescence peak shift-based thermometry as a practical method for internal temperature sensing in Cr:LiCAF crystals, offering a valuable non-invasive tool for solid-state laser systems.

5. Conclusions

This study demonstrates a non-invasive optical method for estimating the internal temperature of Cr:LiCAF laser crystals through temperature-dependent fluorescence peak shifts. A calibration dataset of 181 spectral measurements (10–100 °C) established a linear regression model (R2 = 0.73), validated under both lasing and non-lasing conditions. Validation through FLIR E75 thermal imaging showed excellent agreement ( M A E = 0.775 °C, R2 = 0.993), with deviations within ±1.5 °C. The estimated optical method uncertainty (±0.5–1 °C) is appropriate for practical laser thermal management applications. Under efficient continuous-wave lasing conditions, stimulated emission dominates over spontaneous fluorescence, naturally reducing the available fluorescence signal strength. Therefore, the proposed fluorescence-based thermometry method is primarily intended for non-optimized or moderate-gain operating regimes where sufficient spontaneous emission remains detectable. Nevertheless, the present results demonstrate that even under active lasing, reliable peak tracking is still feasible within the investigated pump power range. The consistency across operating conditions and strong correlation with independent thermal measurements confirm the reliability and practical applicability of this contactless diagnostic technique for real-time thermal monitoring in diode-pumped laser systems.

Funding

This research was funded by TÜBİTAK (The Scientific and Technological Research Council of Turkey), grant number 125F028.

Data Availability Statement

The raw data supporting the conclusions of this article will be made available by the authors on request.

Acknowledgments

During the preparation of this work, the authors used ChatGPT 5.1 to improve the clarity and fluency of the English language. After using this tool, the authors reviewed and edited the content as needed and took full responsibility for the publication’s content.

Conflicts of Interest

The author declares no conflicts of interest.

Abbreviations

The following abbreviations are used in this manuscript:
CWContinuous Wave
MAEMean Absolute Error
ROIThe region of interest
FWHMFull Width Half Maximum
DLTDifferential Luminescence Thermometry

References

  1. Chau, H.K.; Bridges, C.; Nisbet-Jones, P. Portable frequency stabilized lasers for quantum technologies using digital techniques. IEEE Trans. Instrum. Meas. 2023, 72, 2005506. [Google Scholar] [CrossRef]
  2. Bowman, S.R.; O’Connor, S.P.; Biswal, S.; Condon, N.J.; Rosenberg, A. Minimizing heat generation in solid-state lasers. IEEE J. Quantum Electron. 2010, 46, 1076–1085. [Google Scholar] [CrossRef]
  3. Mirov, S.B.; Fedorov, V.V.; Martyshkin, D.; Moskalev, I.S.; Mirov, M.; Vasilyev, S. Progress in mid-IR lasers based on Cr and Fe-doped II–VI chalcogenides. IEEE J. Sel. Top. Quantum Electron. 2014, 21, 292–310. [Google Scholar] [CrossRef]
  4. Shang, P.; Wu, M.; Wang, S.; Cai, D.; Bing, B.L. Thermal lens Q-switched 1064 nm Nd: YAG laser. Opt. Commun. 2022, 507, 127676. [Google Scholar] [CrossRef]
  5. Lang, B.T.; Song, Y.J.; Zong, N.; Chen, Z.Z.; Bo, Y.; Peng, Q.J. Wavelength-switching performance and thermal lens effect of cryogenic Yb: YAG lasers. Opt. Mater. Express 2024, 14, 922–930. [Google Scholar] [CrossRef]
  6. Zhao, X.; Shi, G.; Deng, N.; Qu, Y.; Yuan, J.; Du, L.; Hu, W.; Zhang, Z.; Wang, H. Thermal effect suppression of end-pumped rod-like Nd: YAG laser crystal utilizing the diamond cap strategy. Opt. Laser Technol. 2025, 181, 111932. [Google Scholar] [CrossRef]
  7. Tabanli, S.; Eryurek, G. Optical investigation of Er3+ and Er3+/Yb3+ doped zinc-tellurite glass for solid-state lighting and optical thermometry. Sens. Actuators A Phys. 2019, 285, 448–455. [Google Scholar] [CrossRef]
  8. Boussetta, A.; Al-Syadi, A.M.; Damak, K.; Ersundu, A.E.; Çelikbilek Ersundu, M.; Ramadan, E.; Alshehri, A.M.; Hussein, K.I.; Maalej, R.; Yousef, E.S. Investigation of thermal and spectroscopic properties of tellurite-based glasses doped with rare-earth oxides for infrared solid-state lasers. Materials 2024, 17, 3717. [Google Scholar] [CrossRef]
  9. Scheps, R. Cr-doped solid state lasers pumped by visible laser diodes. Opt. Mater. 1992, 1, 1–9. [Google Scholar] [CrossRef]
  10. Sennaroglu, A.; Morova, Y. Divalent (Cr2+), trivalent (Cr3+), and tetravalent (Cr4+) chromium ion-doped tunable solid-state lasers operating in the near and mid-infrared spectral regions. Appl. Phys. B 2022, 128, 9. [Google Scholar] [CrossRef]
  11. Mykhaylyk, V.; Kraus, H.; Zhydachevskyy, Y.; Tsiumra, V.; Luchechko, A.; Wagner, A.; Suchocki, A. Multimodal non-contact luminescence thermometry with Cr-doped oxides. Sensors 2020, 20, 5259. [Google Scholar] [CrossRef] [PubMed]
  12. Avanesyan, S.M.; Haglund, R.F., Jr. Non-contact subsurface temperature measurements following mid-infrared laser irradiation. Appl. Phys. A 2013, 112, 155–158. [Google Scholar] [CrossRef]
  13. Peng, X.; Asundi, A.; Chen, Y.; Xiong, Z. Heating measurements in diode-end-pumped Nd: YVO 4 lasers. Opt. Eng. 2001, 40, 1100–1105. [Google Scholar] [CrossRef]
  14. Fultz, B. Vibrational thermodynamics of materials. Prog. Mater. Sci. 2010, 55, 247–352. [Google Scholar] [CrossRef]
  15. Fan, T.Y. Heat generation in Nd: YAG and Yb: YAG. IEEE J. Quantum Electron. 2002, 29, 1457–1459. [Google Scholar] [CrossRef]
  16. Pirri, A.; Toci, G.; Alderighi, D.; Vannini, M. Yb-doped YLF and CaF2 crystal laser at room temperature. Opt. Mater. 2010, 33, 200–204. [Google Scholar] [CrossRef]
  17. Wang, Y.; Yang, W.; Zhou, H.; Huo, M.; Zheng, Y. Temperature dependence of the fractional thermal load of Nd: YVO4 at 1064 nm lasing and its influence on laser performance. Opt. Express 2013, 21, 18068–18078. [Google Scholar] [CrossRef]
  18. Demirbas, U.; Thesinga, J.; Kellert, M.; Reuter, S.; Kärtner, F.X.; Pergament, M. Error analysis of contactless optical temperature probing methods for cryogenic Yb: YAG. Appl. Phys. B 2021, 127, 112. [Google Scholar] [CrossRef]
  19. Demirbas, U.; Thesinga, J.; Kellert, M.; Kärtner, F.X.; Pergament, M. Comparison of different in situ optical temperature probing techniques for cryogenic Yb: YLF. Opt. Mater. Express 2020, 10, 3403–3413. [Google Scholar] [CrossRef]
  20. Sui, Y.; Yuan, M.; Bai, Z.; Fan, Z. Recent development of high-energy short-pulse lasers with cryogenically cooled Yb: YAG. Appl. Sci. 2022, 12, 3711. [Google Scholar] [CrossRef]
  21. Püschel, S.; Liestmann, Z.; Kalusniak, S.; Kränkel, C.; Schulz, A.; Traub, H.; Tanaka, H. Impact of Ho3+, Er3+, and Tm3+ on laser cooling of Yb: YLF. Opt. Mater. Express 2024, 14, 2334–2348. [Google Scholar] [CrossRef]
  22. Mekteplioglu, M.F.; Ozturk, Y.; Kärtner, F.X.; Demirbas, U. Tunable Q-switched mode-locked Cr: LiSAF laser. Opt. Commun. 2021, 488, 126836. [Google Scholar] [CrossRef]
  23. Silva, J.R.; Andrade, L.H.D.C.; Lima, S.M.; Bento, A.C.; Catunda, T.; Rand, S.C. Observation of Laser Cooling on an Electric-Dipole-Allowed Transition in Cr3+: LiSAF Crystal. Adv. Opt. Mater. 2025, 13, 2403222. [Google Scholar] [CrossRef]
  24. Mekteplioglu, M.F.; Ozturk, Y.; Pergament, M.; Kärtner, F.X.; Demirbas, U. Broadly tunable (402–535 nm) intracavity frequency-doubled Cr: LiSAF laser. Appl. Phys. B 2023, 129, 22. [Google Scholar] [CrossRef]
  25. Erturk, Z.; Kilinc, M.; Okuyucu, S.; Ozturk, Y.; Demirbas, U. Challenges in power scaling of Cr: LiCAF lasers: Effect of passive losses. Appl. Opt. 2024, 63, 1144–1152. [Google Scholar] [CrossRef]
  26. Okuyucu, S.; Thesinga, J.; Tanaka, H.; Ozturk, Y.; Kärtner, F.X.; Pergament, M.; Demirbas, U. Temperature dependence of the emission cross-section and fluorescence lifetime in Cr: LiCAF, Cr: LiSAF, and Cr: LiSGaF between 78 K and 618 K. Opt. Mater. Express 2023, 13, 1211–1227. [Google Scholar] [CrossRef]
  27. Wan, N.H.; Meng, F.; Schröder, T.; Shiue, R.J.; Chen, E.H.; Englund, D. High-resolution optical spectroscopy using multimode interference in a compact tapered fibre. Nat. Commun. 2015, 6, 7762. [Google Scholar] [CrossRef]
  28. Hobbs, M.J.; Zhu, C.; Grainger, M.P.; Tan, C.H.; Willmott, J.R. Quantitative traceable temperature measurement using novel thermal imaging camera. Opt. Express 2018, 26, 24904–24916. [Google Scholar] [CrossRef]
  29. Xu, W.; Li, W.; Cui, J.; Hu, C.; Zheng, L.; Zhang, Z.; Sun, Z. Ultrarobust and Precise Luminescence Thermometry Enabled by the Combination of Reassembled Emission Spectra With Denoising Neural Network. Laser Photonics Rev. 2025, 19, 2401956. [Google Scholar] [CrossRef]
  30. Chicco, D.; Warrens, M.J.; Jurman, G. The coefficient of determination R-squared is more informative than SMAPE, MAE, MAPE, MSE and RMSE in regression analysis evaluation. PeerJ Comput. Sci. 2021, 7, e623. [Google Scholar] [CrossRef]
Figure 1. (a) Schematic of the temperature estimation setup for Cr:LiCAF. The crystal is placed in a water-cooled copper heat sink, which is additionally heated from above by a hot air blower. Fluorescence signals are measured using a spectrometer, and a thermal camera is employed for surface temperature validation. (b) Top view of a Brewster–Brewster cut Cr:LiCAF crystal with E//c. In addition, the path of a TM-polarized light is included (red line).
Figure 1. (a) Schematic of the temperature estimation setup for Cr:LiCAF. The crystal is placed in a water-cooled copper heat sink, which is additionally heated from above by a hot air blower. Fluorescence signals are measured using a spectrometer, and a thermal camera is employed for surface temperature validation. (b) Top view of a Brewster–Brewster cut Cr:LiCAF crystal with E//c. In addition, the path of a TM-polarized light is included (red line).
Crystals 15 01047 g001
Figure 2. Normalized fluorescence emission spectra of Cr:LiCAF measured across the temperature range of 10 °C to 100 °C. As temperature increases, a redshift and broadening of the emission peak near 740 nm is observed due to phonon-induced lattice expansion and electron–phonon interactions. Blue and red curves correspond to low (10 °C) and high (90+ °C) temperatures, respectively.
Figure 2. Normalized fluorescence emission spectra of Cr:LiCAF measured across the temperature range of 10 °C to 100 °C. As temperature increases, a redshift and broadening of the emission peak near 740 nm is observed due to phonon-induced lattice expansion and electron–phonon interactions. Blue and red curves correspond to low (10 °C) and high (90+ °C) temperatures, respectively.
Crystals 15 01047 g002
Figure 3. Measured variation in Cr:LiCAF fluorescence peak positions as a function of temperature. A linear fit is applied to the dataset for better visualization and analysis.
Figure 3. Measured variation in Cr:LiCAF fluorescence peak positions as a function of temperature. A linear fit is applied to the dataset for better visualization and analysis.
Crystals 15 01047 g003
Figure 4. Emission spectra of Cr:LiCAF under (a) continuous-wave lasing and (b) non-lasing conditions. In the lasing regime, increased diode current results in a higher thermal load, leading to measurable peak shifts and intensity changes in the fluorescence signal. Non-lasing conditions were obtained by blocking the output coupler, allowing passive heating effects to be isolated.
Figure 4. Emission spectra of Cr:LiCAF under (a) continuous-wave lasing and (b) non-lasing conditions. In the lasing regime, increased diode current results in a higher thermal load, leading to measurable peak shifts and intensity changes in the fluorescence signal. Non-lasing conditions were obtained by blocking the output coupler, allowing passive heating effects to be isolated.
Crystals 15 01047 g004
Figure 5. (a) Emission spectra of Cr:LiCAF crystal under lasing conditions at different diode currents, showing a clear redshift in the fluorescence peak with increasing pump power. (b) Corresponding emission spectra under non-lasing conditions, indicating minimal variation in peak position. These results highlight the sensitivity of peak shift behavior to lasing regime and thermal load.
Figure 5. (a) Emission spectra of Cr:LiCAF crystal under lasing conditions at different diode currents, showing a clear redshift in the fluorescence peak with increasing pump power. (b) Corresponding emission spectra under non-lasing conditions, indicating minimal variation in peak position. These results highlight the sensitivity of peak shift behavior to lasing regime and thermal load.
Crystals 15 01047 g005
Figure 6. Thermal images captured by a FLIR E75 camera at increasing diode currents, showing surface temperature rise of the Cr:LiCAF setup. The results are consistent with optical temperature estimations based on fluorescence peak shifts.
Figure 6. Thermal images captured by a FLIR E75 camera at increasing diode currents, showing surface temperature rise of the Cr:LiCAF setup. The results are consistent with optical temperature estimations based on fluorescence peak shifts.
Crystals 15 01047 g006
Figure 7. Comparison of temperature values measured by thermal imaging (FLIR E75) and estimated via fluorescence peak shifts at various diode current levels. The close agreement (within ±1.5 °C) confirms the reliability of spectrometer-based temperature prediction. The estimated uncertainty of the optical method is ±0.5–1 °C based on spectrometer resolution and calibration parameters.
Figure 7. Comparison of temperature values measured by thermal imaging (FLIR E75) and estimated via fluorescence peak shifts at various diode current levels. The close agreement (within ±1.5 °C) confirms the reliability of spectrometer-based temperature prediction. The estimated uncertainty of the optical method is ±0.5–1 °C based on spectrometer resolution and calibration parameters.
Crystals 15 01047 g007
Table 1. Diode currents and corresponding surface temperatures measured by FLIR E75 thermal camera (mean ± standard deviation from three independent measurements).
Table 1. Diode currents and corresponding surface temperatures measured by FLIR E75 thermal camera (mean ± standard deviation from three independent measurements).
Diode Current (A)Average Surface Temperature (°C)
0.015.4 ± 0.3
1.525.6 ± 0.3
2.032.1 ± 0.3
2.538.3 ± 0.3
Disclaimer/Publisher’s Note: The statements, opinions and data contained in all publications are solely those of the individual author(s) and contributor(s) and not of MDPI and/or the editor(s). MDPI and/or the editor(s) disclaim responsibility for any injury to people or property resulting from any ideas, methods, instructions or products referred to in the content.

Share and Cite

MDPI and ACS Style

Öztürk, Y. Spectral-Based Temperature Sensing in Cr:LiCAF Crystals Using Fluorescence Peak Shift Calibration. Crystals 2025, 15, 1047. https://doi.org/10.3390/cryst15121047

AMA Style

Öztürk Y. Spectral-Based Temperature Sensing in Cr:LiCAF Crystals Using Fluorescence Peak Shift Calibration. Crystals. 2025; 15(12):1047. https://doi.org/10.3390/cryst15121047

Chicago/Turabian Style

Öztürk, Yusuf. 2025. "Spectral-Based Temperature Sensing in Cr:LiCAF Crystals Using Fluorescence Peak Shift Calibration" Crystals 15, no. 12: 1047. https://doi.org/10.3390/cryst15121047

APA Style

Öztürk, Y. (2025). Spectral-Based Temperature Sensing in Cr:LiCAF Crystals Using Fluorescence Peak Shift Calibration. Crystals, 15(12), 1047. https://doi.org/10.3390/cryst15121047

Note that from the first issue of 2016, this journal uses article numbers instead of page numbers. See further details here.

Article Metrics

Back to TopTop