Laser-Synthesized Plasmono-Fluorescent Si-Au and SiC-Au Nanocomposites for Colorimetric Sensing
Abstract
1. Introduction
2. Materials and Methods
- (1)
- Direct laser ablation (LA) of a gold target immersed in colloidal suspensions of semiconductor NPs;
- (2)
- Laser co-fragmentation (LcF) of the mixture of the semiconductor and metallic NPs colloidal suspensions.
3. Results and Discussion
- Bandgap narrowing due to formation of gold acceptor (Ec −0.55 eV) and donor (Ev +0.35 eV) states [59].
- (i)
- A minor hypsochromic shift (<2–3 nm) of the Rh6G absorption and emission bands indicates only a slight modification of the local dielectric environment around the dye;
- (ii)
- Competitive absorption between Rh6G (~525 nm) and the Au plasmon band (523–525 nm) leads to an initial decrease in intensity at low nanoparticle concentrations;
- (iii)
- Plasmon–dye energetic coupling, including possible resonance energy transfer or exciton–plasmon interactions, might be expected due to a noticeable decrease in the excitation spectra (350–550 nm) without significant peak shifts;
- (iv)
- Physisorption of Rh6G on negatively charged nanocomposite surfaces results in intensity changes without strong spectral deformation, suggesting enhanced local dye concentration rather than chemical degradation.
4. Conclusions
Supplementary Materials
Funding
Data Availability Statement
Acknowledgments
Conflicts of Interest
References
- Yang, Q.; Zhou, M.Y.; Stark, G.M.; Ruhan Fan, R.; Sailor, M.J. Modification of Porous Silicon with an Amphiphilic Quaternary Ammonium Hydrocarbon for Nanomedicine Applications. Chem. Mater. 2025, 37, 7298–7315. [Google Scholar] [CrossRef]
- Bukhtiar, A.; Zou, B. Low-dimensional II–VI semiconductor nanostructures of ternary alloys and transition metal ion doping: Synthesis, optical properties and applications. Mater. Adv. 2024, 5, 6739–6795. [Google Scholar] [CrossRef]
- Belogorokhov, I.A.; Ryabchikov, Y.V.; Tikhonov, E.V.; Pushkarev, V.E.; Breusova, M.O.; Tomilova, L.G.; Khokhlov, D.R. Photoluminescence in Semiconductor Structures Based on Butyl–Substituted Erbium Phtalocyanine Complexes. Semiconductors 2008, 42, 321–324. [Google Scholar] [CrossRef]
- Ryabchikov, Y.V.; Belogorokhov, I.A.; Gongalskiy, M.B.; Osminkina, L.A.; Timoshenko, V.Y. Photosensitized Generation of Singlet Oxygen in Powders and Aqueous Suspensions of Silicon Nanocrystals. Semiconductors 2011, 45, 1059–1063. [Google Scholar] [CrossRef]
- Forrest, S.R.; Thompson, M.E. Introduction: Organic Electronics and Optoelectronics. Chem. Rev. 2007, 107, 923–925. [Google Scholar] [CrossRef]
- Sun, Y.; Rogers, J.A. Inorganic Semiconductors for Flexible Electronics. Adv. Mat. 2007, 19, 1897–1916. [Google Scholar] [CrossRef]
- Sabah, F.A.; Razak, I.A.; Kabaa, E.A.; Zaini, M.F.; Omar, A.F. Characterization of hybrid organic/inorganic semiconductor materials for potential light emitting applications. Opt. Mat. 2020, 107, 110117. [Google Scholar] [CrossRef]
- Myers, J.D.; Xue, J. Organic Semiconductors and their Applications in Photovoltaic Devices. Polym. Rev. 2012, 52, 1–37. [Google Scholar] [CrossRef]
- Kim, D.; Kim, S.; Kim, S. Development of novel complementary metal-oxide semiconductor-based colorimetric sensors for rapid detection of industrially important gases. Sens. Actuators B-Chem. 2018, 265, 600–608. [Google Scholar] [CrossRef]
- Cho, S.H.; Suh, J.M.; Eom, T.H.; Kim, T.; Jang, H.W. Colorimetric Sensors for Toxic and Hazardous Gas Detection: A Review. Electron. Mater. Lett. 2021, 17, 1–17. [Google Scholar] [CrossRef]
- Liu, X.L.; Wang, W.J.; Ren, H.R.; Li, W.; Zhang, C.Y.; Han, D.J.; Liang, K.; Yang, R. Quality monitoring of flowing water using colorimetric method based on a semiconductor optical wavelength sensor. Measurement 2009, 42, 51–56. [Google Scholar] [CrossRef]
- Wu, Y.; Feng, J.; Hu, G.; Zhang, E.; Yu, H.-H. Colorimetric Sensors for Chemical and Biological Sensing Applications. Sensors 2023, 23, 2749. [Google Scholar] [CrossRef]
- Zhang, D.; Li, Z.; Sugioka, K. Laser ablation in liquids for nanomaterial synthesis: Diversities of targets and liquids. J. Phys. Photonics 2021, 3, 042002. [Google Scholar] [CrossRef]
- Fazio, E.; Gökce, B.; De Giacomo, A.; Meneghetti, M.; Compagnini, G.; Tommasini, M.; Waag, F.; Lucotti, A.; Zanchi, C.G.; Ossi, P.M.; et al. Nanoparticles Engineering by Pulsed Laser Ablation in Liquids: Concepts and Applications. Nanomaterials 2020, 10, 2317. [Google Scholar] [CrossRef]
- Zhang, D.; Gökce, B.; Barcikowski, S. Laser Synthesis and Processing of Colloids: Fundamentals and Applications. Chem. Rev. 2017, 117, 3990–4103. [Google Scholar] [CrossRef]
- Amans, D.; Diouf, M.; Lam, J.; Ledoux, G.; Dujardin, C. Origin of the nano-carbon allotropes in pulsed laser ablation in liquids synthesis. J. Colloid Interface Sci. 2017, 489, 114–125. [Google Scholar] [CrossRef]
- Barcikowski, S.; Compagnini, G. Advanced nanoparticle generation and excitation by lasers in liquids. Phys. Chem. Chem. Phys. 2013, 15, 3022–3026. [Google Scholar] [CrossRef]
- Kucherik, A.O.; Ryabchikov, Y.V.; Kutrovskaya, S.V.; Al–Kattan, A.; Arakelyan, S.M.; Itina, T.E.; Kabashin, A.V. Cavitation–free CW laser ablation from a solid target to synthesize low size–dispersed Au nanoparticles. ChemPhysChem 2017, 18, 1185–1191. [Google Scholar] [CrossRef]
- Zabotnov, S.V.; Skobelkina, A.V.; Sergeeva, E.A.; Kurakina, D.A.; Khilov, A.V.; Kashaev, F.V.; Kaminskaya, T.P.; Presnov, D.E.; Agrba, P.D.; Shuleiko, D.V.; et al. Nanoparticles Produced via Laser Ablation of Porous Silicon and Silicon Nanowires for Optical Bioimaging. Sensors 2020, 20, 4874. [Google Scholar] [CrossRef]
- Amendola, V.; Meneghetti, M. Laser ablation synthesis in solution and size manipulation of noble metal nanoparticles. Phys. Chem. Chem. Phys. 2009, 11, 3805–3821. [Google Scholar] [CrossRef]
- Barcikowski, S.; Hahn, A.; Kabashin, A.V.; Chichkov, B.N. Properties of nanoparticles generated during femtosecond laser machining in air and water. Appl. Phys. A 2007, 87, 47–55. [Google Scholar] [CrossRef]
- Tsuji, T.; Iryo, K.; Watanabe, N.; Tsuji, M. Preparation of silver nanoparticles by laser ablation in solution: Influence of laser wavelength on particle size. Appl. Surf. Sci. 2002, 202, 80–85. [Google Scholar] [CrossRef]
- Chernikov, A.S.; Tselikov, G.I.; Gubin, M.Y.; Shesterikov, A.V.; Khorkov, K.S.; Syuy, A.V.; Ermolaev, G.A.; Kazantsev, I.S.; Romanov, R.I.; Markeev, A.M.; et al. Tunable optical properties of transition metal dichalcogenide nanoparticles synthesized by femtosecond laser ablation and fragmentation. J. Mater. Chem. C 2023, 11, 3493–3503. [Google Scholar] [CrossRef]
- Ryabchikov, Y.V. Size Modification of Optically Active Contamination-Free Silicon Nanoparticles with Paramagnetic Defects by Their Fast Synthesis and Dissolution. Phys. Stat. Solidi 2019, 216, A1800685. [Google Scholar] [CrossRef]
- Vasa, P.; Dharmadhikari, J.A.; Dharmadhikari, A.K.; Sharma, R.; Singh, M.; Mathur, D. Supercontinuum generation in water by intense, femtosecond laser pulses under anomalous chromatic dispersion. Phys. Rev. A 2014, 89, 043834. [Google Scholar] [CrossRef]
- Mohebi, E.; AdibAmini, S.; Sari, A.H.; Dorranian, D. Formation of Agshell/Aucore Bimetallic Nanoparticles by Pulsed Laser Ablation Method: Effect of Colloidal/Solution Concentration. Plasmonics 2024, 19, 75–95. [Google Scholar] [CrossRef]
- Nyabadza, A.; Vazquez, M.; Brabazon, D. A Review of Bimetallic and Monometallic Nanoparticle Synthesis via Laser Ablation in Liquid. Crystals 2023, 13, 253. [Google Scholar] [CrossRef]
- Verma, A.K.; Soni, R.K. Laser ablation synthesis of bimetallic gold-palladium core@shell nanoparticles for trace detection of explosives. Opt. Laser Technol. 2023, 163, 109429. [Google Scholar] [CrossRef]
- Rybaltovsky, A.; Epifanov, E.; Khmelenin, D.; Shubny, A.; Zavorotny, Y.; Yusupov, V.; Minaev, N. Two Approaches to the Laser-Induced Formation of Au/Ag Bimetallic Nanoparticles in Supercritical Carbon Dioxide. Nanomaterials 2021, 11, 1553. [Google Scholar] [CrossRef]
- Lasemi, N.; Rupprechter, G. Chemical and Laser Ablation Synthesis of Monometallic and Bimetallic Ni-Based Nanoparticles. Catalysts 2020, 10, 1453. [Google Scholar] [CrossRef]
- Gurbatov, S.O.; Zhizhchenko, A.Y.; Nesterov, V.Y.; Modin, E.B.; Zabotnov, S.V.; Kuchmizhak, A.A. Au–Si Nanocomposites with High Near-IR Light-to-Heat Conversion Efficiency via Single-Step Reactive Laser Ablation of Porous Silicon for Theranostic Applications. ACS Appl. Nano Mater. 2024, 7, 10779–10786. [Google Scholar] [CrossRef]
- Saraeva, I.N.; Luong, N.V.; Kudryashov, S.I.; Rudenko, A.A.; Khmelnitskiy, R.A.; Shakhmin, A.L.; Kharin, A.Y.; Ionin, A.A.; Zayarny, D.A.; Tung, D.H.; et al. Laser synthesis of colloidal Si@Au and Si@Ag nanoparticles in water via plasma-assisted reduction. J. Photochem. Photobiol. A Chem. 2018, 360, 125–131. [Google Scholar] [CrossRef]
- Kutrovskaya, S.; Arakelian, S.; Kucherik, A.; Osipov, A.; Evlyukhin, A.; Kavokin, A.V. The Synthesis of Hybrid Gold-Silicon Nano Particles in a Liquid. Sci. Rep. 2017, 7, 10284. [Google Scholar] [CrossRef] [PubMed]
- Ryabchikov, Y.V. Facile Laser Synthesis of Multimodal Composite Silicon/Gold Nanoparticles with Variable Chemical Composition. J. Nanopart. Res. 2019, 21, 85. [Google Scholar] [CrossRef]
- Ding, W.G.; Yuan, J.; Meng, L.H.; Wu, S.J.; Yu, W.; Fu, G.S. Dependence of Optical Absorption in Silicon Nanostructures on Size of Silicon Nanoparticles. Commun. Theor. Phys. 2011, 55, 688–692. [Google Scholar] [CrossRef]
- Ryabchikov, Y.V.; Mirza, I.; Flimelová, M.; Kana, A.; Romanyuk, O. Merging of Bi-Modality of Ultrafast Laser Processing: Heating of Si/Au Nanocomposite Solutions with Controlled Chemical Content. Nanomaterials 2024, 14, 321. [Google Scholar] [CrossRef]
- Ryabchikov, Y.V. Design of “green” plasmonic nanocomposites with multi-band blue emission for ultrafast laser hyperthermia. Nanoscale 2024, 16, 19453–19468. [Google Scholar] [CrossRef]
- Moura, C.G.; Pereira, R.S.F.; Andritschky, M.; Lopes, A.L.B.; Grilo, J.P.F.; Nascimento, R.M.; Silva, F.S. Effects of laser fluence and liquid media on preparation of small Ag nanoparticles by laser ablation in liquid. Opt. Laser Technol. 2017, 97, 20–28. [Google Scholar] [CrossRef]
- Available online: https://refractiveindex.info (accessed on 2 October 2025).
- Liu, F.; Cao, S.; Li, B.; Liang, R.; Zhang, Y. Linearly Scaling Molecular Dynamic Modeling To Simulate Picosecond Laser Ablation of a Silicon Carbide. Langmuir 2024, 40, 24978–24988. [Google Scholar] [CrossRef]
- Smirnov, N.A.; Kudryashov, S.I.; Rudenko, A.A.; Zayarny, D.A.; Ionin, A.A. Pulsewidth and ambient medium effects during ultrashort-pulse laser ablation of silicon in air and water. Appl. Surf. Sci. 2021, 562, 150243. [Google Scholar] [CrossRef]
- Sylvestre, J.-P.; Kabashin, A.V.; Sacher, E.; Meunier, M.; Luong, J.H.T. Stabilization and Size Control of Gold Nanoparticles during Laser Ablation in Aqueous Cyclodextrins. J. Am. Chem. Soc. 2004, 126, 7176–7177. [Google Scholar] [CrossRef] [PubMed]
- Capan, I. Electrically Active Defects in 3C, 4H, and 6H Silicon Carbide Polytypes: A Review. Crystals 2025, 15, 255. [Google Scholar] [CrossRef]
- Li, X.J.; Zhang, Y.H. Quantum confinement in porous silicon. Phys. Rev. B 2000, 61, 12605. [Google Scholar] [CrossRef]
- Wang, J.; Jiang, H.-B.; Wang, W.-C.; Zheng, J.-B. Efficient Infrared-Up-Conversion Luminescence in Porous Silicon: A Quantum-Confinement-Induced Effect. Phys. Rev. Lett. 1992, 69, 3252. [Google Scholar] [CrossRef]
- Dutt, A.; Salinas, R.A.; Martínez-Tolibia, S.E.; Ramos-Serrano, J.R.; Jain, M.; Hamui, L.; Ramos, C.D.; Mostafavi, E.; Mishra, Y.K.; Matsumoto, Y.; et al. Silicon Compound Nanomaterials: Exploring Emission Mechanisms and Photobiological Applications. Adv. Phot. Res. 2023, 4, 2300054. [Google Scholar] [CrossRef]
- Wen, X.; Zhang, P.; Smith, T.A.; Anthony, R.J.; Kortshagen, U.R.; Yu, P.; Feng, Y.; Shrestha, S.; Coniber, G.; Huang, S. Tunability Limit of Photoluminescence in Colloidal Silicon Nanocrystals. Sci. Rep. 2015, 5, 12469. [Google Scholar] [CrossRef]
- Canham, L.T. Luminescence Bands and their Proposed Origins in Highly Porous Silicon. Phys. Stat. Sol. B 1995, 190, 9–14. [Google Scholar] [CrossRef]
- Seguini, G.; Schamm-Chardon, S.; Pellegrino, P.; Perego, M. The energy band alignment of Si nanocrystals in SiO2 Available to Purchase. Appl. Phys. Lett. 2011, 99, 082107. [Google Scholar] [CrossRef]
- Imai, H.; Arai, K.; Imagawa, H.; Hosono, H.; Abe, Y. Two types of oxygen-deficient centers in synthetic silica glass. Phys. Rev. B Condens. Matter 1988, 38, 12772. [Google Scholar] [CrossRef]
- Munekuni, S.; Yamanaka, T.; Shimogaichi, Y.; Tohmon, R.; Ohki, Y.; Nagasawa, K.; Hama, Y. Various types of nonbridging oxygen hole center in high-purity silica glass Available to Purchase. J. Appl. Phys. 1990, 68, 1212–1217. [Google Scholar] [CrossRef]
- Ryabchikov, Y.V. Plasmon-affected luminescent nanothermometry with multi-band SiNPs/SiNX nanocomposites. J. Lumines. 2023, 260, 119891. [Google Scholar] [CrossRef]
- Liu, Y.; Zhou, Y.; Shi, W.; Zhao, L.; Sun, B.; Ye, T. Study of Photoluminescence Spectra of Si-Rich SiNx Films. Mater. Lett. 2004, 58, 2397–2400. [Google Scholar] [CrossRef]
- Cheong, K.Y.; Chiew, Y.L. Advances of SiOx and Si/SiOx Core-Shell Nanowires. In Nanowires Science and Technology; Lupu, N., Ed.; IntechOpen: London, UK, 2010; pp. 131–150. ISBN 978-953-7619-89-3. [Google Scholar]
- Robertson, J. Electronic structure of silicon nitride. Philos. Mag. B 1991, 63, 47–77. [Google Scholar] [CrossRef]
- Biteen, J.S.; Sweatlock, L.A.; Mertens, H.; Lewis, N.S.; Polman, A.; Atwater, H.A. Plasmon-Enhanced Photoluminescence of Silicon Quantum Dots: Simulation and Experiment. J. Phys. Chem. C 2007, 111, 13372–13377. [Google Scholar] [CrossRef]
- Singh, M.R.; Guo, J.; Fanizza, E.; Dubey, M. Anomalous Photoluminescence Quenching in Metallic Nanohybrids. J. Phys. Chem. C 2019, 123, 10013. [Google Scholar] [CrossRef]
- Kim, I.J.; Xu, Y.; Nam, K.H. Metal-Induced Fluorescence Quenching of Photoconvertible Fluorescent Protein DendFP. Molecules 2022, 27, 2922. [Google Scholar] [CrossRef]
- Utzig, J.; Schroter, W. Donor and acceptor behavior of gold in silicon. Appl. Phys. Lett. 1984, 45, 761–763. [Google Scholar] [CrossRef]
- Ryabchikov, Y.V.; Zaderko, A. “Green” Fluorescent–Plasmonic Carbon-Based Nanocomposites with Controlled Performance for Mild Laser Hyperthermia. Photonics 2023, 10, 1229. [Google Scholar] [CrossRef]












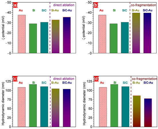
| Laser Ablation | Laser Co-Fragmentation | |||
|---|---|---|---|---|
| Si-Au NCs | SiC-Au NCs | Si-Au NCs | SiC-Au NCs | |
| Mean size (nm) | 10.5 ± 1.1 | 8.1 ± 0.9 | 6.8 ± 0.7 | 6.6 ± 0.7 |
| H. diameter (nm) (intensity-weighted) | 104 ± 9 | 104 ± 9 | 86 ± 8 | 78 ± 7 |
| H. diameter (nm) (number-weighted) | 73 ± 8 | 73 ± 8 | 56 ± 6 | 51 ± 5 |
| Count rate (kpcs) | 240 | 220 | 230 | 250 |
| PDI | 0.22 | 0.24 | 0.19 | 0.188 |
| Ζ-potential (mV) | −33 ± 3 | −35 ± 3 | −39 ± 4 | −40 ± 4 |
| Bandgap (eV) | 1.06 ± 0.1 | 1.06 ± 0.1 | 1.58 ± 0.1 | 1.60 ± 0.1 |
| Plasmonic maximum (nm) | 525 ± 2 | 525 ± 2 | 523 ± 2 | 523 ± 2 |
Disclaimer/Publisher’s Note: The statements, opinions and data contained in all publications are solely those of the individual author(s) and contributor(s) and not of MDPI and/or the editor(s). MDPI and/or the editor(s) disclaim responsibility for any injury to people or property resulting from any ideas, methods, instructions or products referred to in the content. |
© 2025 by the author. Licensee MDPI, Basel, Switzerland. This article is an open access article distributed under the terms and conditions of the Creative Commons Attribution (CC BY) license (https://creativecommons.org/licenses/by/4.0/).
Share and Cite
Ryabchikov, Y.V. Laser-Synthesized Plasmono-Fluorescent Si-Au and SiC-Au Nanocomposites for Colorimetric Sensing. Crystals 2025, 15, 982. https://doi.org/10.3390/cryst15110982
Ryabchikov YV. Laser-Synthesized Plasmono-Fluorescent Si-Au and SiC-Au Nanocomposites for Colorimetric Sensing. Crystals. 2025; 15(11):982. https://doi.org/10.3390/cryst15110982
Chicago/Turabian StyleRyabchikov, Yury V. 2025. "Laser-Synthesized Plasmono-Fluorescent Si-Au and SiC-Au Nanocomposites for Colorimetric Sensing" Crystals 15, no. 11: 982. https://doi.org/10.3390/cryst15110982
APA StyleRyabchikov, Y. V. (2025). Laser-Synthesized Plasmono-Fluorescent Si-Au and SiC-Au Nanocomposites for Colorimetric Sensing. Crystals, 15(11), 982. https://doi.org/10.3390/cryst15110982
