You are currently viewing a new version of our website. To view the old version click .
Crystals
  • Article
  • Open Access

12 December 2024

A-Site Ion Doping in Cs2AgBiBr6 Double Perovskite Films for Improved Optical and Photodetector Performance

,
,
,
,
,
and
School of Science, Jiangsu University of Science and Technology, Zhenjiang 212100, China
*
Author to whom correspondence should be addressed.
This article belongs to the Special Issue Novel Photoelectric Materials and Their Photophysical Processes

Abstract

Perovskite materials, as emerging semiconductors, have attracted significant attention for their exceptional optoelectronic properties, tunable bandgaps, ease of fabrication, and cost-effectiveness, making them promising candidates for next-generation optoelectronic devices. The all-inorganic perovskite Cs2AgBiBr6 distinguishes itself from other perovskite materials due to its remarkable optical absorption and emission properties, excellent stability, prolonged carrier recombination lifetime, and nontoxic characteristics. However, a deeper understanding of its unique luminescent properties and a further optimization of its structure and performance are still necessary. This study systematically investigates the optimization of Cs2AgBiBr6 double perovskite films through A-site Na+ doping. At an optimal Na+ doping concentration of 3.5% (Na0.07Cs1.93AgBiBr6), the film shows 1.4 times and 2.7 times enhancement in light absorption and photoluminescence intensity, compared to the undoped film. Low-temperature spectroscopy measurements indicate that Na0.07Cs1.93AgBiBr6 exhibits higher exciton binding energy and phonon energy. Based on Na0.07Cs1.93AgBiBr6, the photodetectors demonstrate significant performance improvements, with a high photocurrent response of 10−2 A, a photo-to-dark current ratio (PDCR) of 7.57 × 104, a responsivity (R) of 16.23 A/W, a detectivity (D*) of 2.92 × 1012 Jones, a linear dynamic range (LDR) of 98.75 dB, and a fast response time of 943 ms. This work provides a promising strategy for optimizing all-inorganic perovskite materials through doping and offers guidance for enhancing high-performance photodetectors.

1. Introduction

Lead-based perovskite materials have attracted tremendous attention in high-performance optoelectronic applications due to their high light absorption coefficient, long carrier diffusion lengths, tunable direct bandgap, and high defect tolerance [1,2,3,4]. Organic–inorganic hybrid lead-based perovskites have demonstrated promising potential and notable advancements in the field of solar cells [5,6,7], as well as important breakthroughs in various optoelectronic applications, including photodetectors (PDs), X-ray imaging, and light-emitting diodes (LEDs) [8,9,10,11]. Despite their excellent performance, the lead-based perovskites are still facing the challenges of long-term stability arising from the degradation of organic components and the environmental toxicity associated with lead. To overcome the issues of instability and lead toxicity, significant efforts have been devoted to the development of lead-free perovskite materials.
As a lead-free double perovskite material, Cs2AgBiBr6 has emerged as a potential candidate for optoelectronic devices due to its unique luminescent properties, environmental friendliness, long carrier recombination lifetime, and excellent stability [12,13,14]. Karunadasa et al. reported the inherent high defect tolerance of Cs2AgBiBr6 in 2016 [15]. Bein et al. introduced Cs2AgBiBr6 thin films into solar cells as an active layer achieving a low power conversion efficiency of 2.5%, which marked a significant step towards practical applications [16]. Subsequently, innovative applications of Cs2AgBiBr6 have been reported in the high-performance X-ray detectors [17], photodetectors [18], and photocatalytic systems [19]. However, Cs2AgBiBr6 double perovskite materials still need optimization in their optical or electronic properties, with progress being made through various approaches [20]. For example, the incorporation of 1-butyl-2,3-dimethylimidazolium chloride ionic liquid into the precursor [21], or the improvement of vacuum thermal evaporation and annealing processes [22], has been shown to significantly enhance the quality of Cs2AgBiBr6 films.
In addition to improvements in preparation methods, ion doping strategies have proven to be effective tools for tuning the performance and applications of semiconductor materials. Doping with iron (Fe) and copper (Cu) has been shown to enhance the photoluminescent properties of double perovskites [23,24]. Recently, alkali metal ion doping has been found to significantly improve the crystal quality and optoelectronic performance of perovskite films. For example, Wang et al. enhanced the photoluminescence quantum yield of Cs2AgBiBr6 by incorporating Na+ ions into the Ag sites [25]. Ding et al. achieved highly sensitive Cs2AgBiBr6 double perovskite photodetectors through co-doping with Na+/Ce3+ [26]. Chen et al. demonstrated that substituting Ag+ with Rb+ effectively tunes the electronic structure of Cs2AgBiBr6, thereby enhancing its photocatalytic CO2 reduction performance [27]. Additionally, theoretical and experimental studies have investigated Ru doping in Cs2AgBiBr6 [28,29]. However, research on A-site doping in double perovskites remains relatively limited [30,31], particularly concerning the study of optical properties and a deeper understanding of the fundamental aspects of detection performance. These doping strategies still require further optimization to fully realize their potential in enhancing the optical and electronic properties of the material.
This study investigates the effect of A-site Na ion doping on the properties of all-inorganic Cs2AgBiBr6 perovskite thin films and explores its potential for enhancing photodetection capabilities. The results show that Na+ doping not only refines the crystal structure and morphology of Cs2AgBiBr6, but also optimizes its optoelectronic properties by modulating its electronic characteristics and reducing nonradiative recombination losses. Consequently, Na+-doped Cs2AgBiBr6 photodetectors exhibit significantly improved photoresponse characteristics. These findings suggest that sodium doping is a promising strategy for enhancing the performance of Cs2AgBiBr6-based photodetectors and other optoelectronic applications.

2. Experimental Methods

The precursor material Cs2AgBiBr6 is synthesized by dissolving CsBr, AgBr, and BiBr3 in a 2:1:1 molar ratio in 1 mL of dimethyl sulfoxide (DMSO). The precursor mixture is stirred for 3–4 h at 80 °C under a nitrogen atmosphere within a glovebox to ensure complete dissolution, resulting in a homogeneous precursor solution. For doping, a portion of the Cs2AgBiBr6 precursor solution is mixed with sodium bromide (NaBr) powder as the dopant. The doping concentrations are 2.5%, 3.5%, and 5% by molar ratio of NaBr to the total halide content. This leads to the formation of the doped materials Na0.05Cs1.95AgBiBr6, Na0.07Cs1.93AgBiBr6, and Na0.1Cs1.9AgBiBr6, respectively. The quartz glass substrates are then sequentially cleaned via ultrasonic treatment in distilled water, deionized water, acetone, and ethanol for 15 min each, followed by drying and UV–ozone treatment for another 15 min. Subsequently, the preheated precursor solution at 80 °C is spin-coated onto the cleaned quartz substrate at 3000 rpm for 50 s to form the thin film. To induce crystallization, the coated substrate is annealed on a hot plate at 285 °C for 5 min, promoting the formation of its crystalline structure. The preparation of the detector device adopts a planar structure configuration, with fluorine-doped tin oxide (FTO) as the transparent conductive substrate and Ag as the top electrode. After spin-coating the perovskite film on the substrate, patterned silver electrodes are fabricated on the film surface using a mask and thermal evaporation.
The structure and morphology of the films were characterized using well-established commercial techniques, including X-ray diffraction (XRD) (SmartLab, Rigaku, Akishima, Japan), scanning electron microscopy (SEM) (Quanta FEG 250, FEI Company, Beaverton, OR, USA), and X-ray photoelectron spectroscopy (XPS) (D8 Advance, Bruker Corporation, Billerica, MA, USA). The ultraviolet–visible absorption spectra were obtained using a U-4100 ultraviolet–visible (UV–vis) spectrophotometer (HITACHI, Tokyo, Japan). Photoluminescence (PL) at room temperature was excited with a 325 nm laser and measured using a custom-built spectrometer (Acton Spectra Pro 2300, Princeton Instruments, Trenton, NJ, USA). Ultralow temperature photoluminescence spectra were excited with a 405 nm laser and recorded using an Optistat Dry system (Oxford Instruments, Concord, MA, USA) with a temperature range of 5–300 K. The response performance of the prepared photodiode was tested by using the Keithley 4200-SCS semiconductor parameter instrument (Tektronix, Beaverton, OR, USA). The UV lamp that can emit 405 nm wavelength was used as the light source, and the optical power of the irradiated light was regulated by adjusting the distance between the sample and the light source.

3. Results and Discussion

The optical image of the Na+-doped double perovskite photodetector on FTO was prepared in the experiment shown in Figure 1a. The silver electrode, after thermal deposition, exhibits a smooth and uniform appearance, forming good contact with the perovskite layer. Figure 1b presents the optical image at 100× magnification, showing a uniform surface and a well-ordered perovskite thin film.
Figure 1. (a) Photodetector based on NaxCs2-xAgBiBr6. (b) Optical microscope image of NaxCs2−xAgBiBr6 thin film.
The SEM images of NaxCs2−xAgBiBr6 thin films with different doping levels are shown in Figure 2. In comparison to undoped Cs2AgBiBr6, the Na+-doped perovskite films exhibit increased crystal sizes and a reduction in pinhole density. As the Na+ doping concentration increases, the average grain size first increases and then decreases, while the number of pinholes first decreases and then significantly increases. SEM analysis indicates that at a 3.5% Na+ doping level, Na0.07Cs1.93AgBiBr6 films exhibit the best surface morphology, showing good morphology and high compactness with no small grains at the grain boundaries or significant pinholes. Using Nano Measurer software (version 1.2), the grain size of Na0.07Cs1.93AgBiBr6 is measured to be 320 nm, which is larger than that of the other samples: Cs2AgBiBr6 (240 nm), Na0.05Cs1.95AgBiBr6 (286 nm), and Na0.1Cs1.9AgBiBr6 (318 nm). The increase in grain size can be attributed to Na+ providing nucleation sites for film growth and regulating the crystallization rate, effectively reducing the number of grain boundaries, facilitating carrier migration, and enhancing optoelectronic performance [32].
Figure 2. SEM morphology of (a) undoped Cs2AgBiBr6, (b) Na0.05Cs1.95AgBiBr6, (c) Na0.07Cs1.93AgBiBr6, and (d) Na0.1Cs1.9AgBiBr6 films on the Quartz glass.
At the same time, the white spots observed on the surface of the Na+-doped Cs2AgBiBr6 double perovskite in Figure 2 may be due to the local aggregation of Na+ ions or minor surface defects generated during the doping process. During Na+ doping, certain regions may exhibit slightly higher Na+ concentrations, forming aggregates that appear as bright spots in the SEM images. These spots may also originate from surface roughness or small defects formed during the film deposition process, which are common characteristics associated with ion doping. Furthermore, the observed variation in gray shading is not caused by phase separation but results from differences in surface morphology and grain size, which affect electron scattering during SEM imaging [31].
To assess the impact of different doping conditions on the crystalline quality, the XRD patterns of NaxCs2−xAgBiBr6 thin films were analyzed, as shown in Figure 3. Prior to doping, the XRD diffraction peaks of Cs2AgBiBr6 were observed at 14.1°, 16.2°, 22.7°, 26.9°, 27.8°, 32.2°, 36.1°, 39.6°, 46.0°, and 48.8°, corresponding to the (111), (002), (022), (113), (222), (004), (024), (224), (044), and (244) crystal planes of the cubic phase of Cs2AgBiBr6, respectively [33]. After doping, no additional peaks appeared in the XRD patterns, indicating that the Na+ incorporation did not alter the crystal structure, and all samples maintained the double perovskite Fm-3m cubic space group. Notably, the intensities of the (002) and (004) peaks at 22.7° and 32.2° increased, which can show that Na+ doping improves the crystallinity of the perovskite film. When the Na+ doping concentration is 3.5%, the corresponding diffraction peak intensity is the highest and the crystallinity is the best. This suggests that Na+ doping enhances the preferred orientation of these crystal planes during the crystallization process of the Cs2AgBiBr6 films. Additionally, a detailed refinement of the XRD data was performed. The refined XRD patterns are presented in Figure S1, where the red curve represents the original data, the blue curve shows the difference, the black curve indicates the fitted data, and the green markers denote the characteristic peaks of the structure. The refinement parameters, R and X, are within acceptable limits (R < 10, X < 3), confirming the reliability of the data. The comparison of refinement parameters in Tables S1–S4 shows that the positions of Na+ ions coincide with those of Cs+ ions, confirming that Na+ ions occupy the A-site and successfully substitute the Cs+ ions. This substitution may result in a slight shift in the XRD peak positions, further confirming that Na+ has successfully incorporated into the Cs2AgBiBr6 structure, thereby improving the crystal quality and enhancing the optoelectronic performance.
Figure 3. XRD pattern of undoped Cs2AgBiBr6 and NaxCs2−xAgBiBr6 perovskite film.
For further analysis of the samples, X-ray photoelectron spectroscopy (XPS) was employed to analyze the electronic interactions in Cs2AgBiBr6 films before and after Na+ doping as shown in Figure 4a. Overall, both XPS spectra show the characteristic peaks of Cs2AgBiBr6. However, in the high-resolution XPS spectrum shown in Figure 4b, the Na 1s peak is only observed in the doped sample. The binding energy of Na 1s is 1072 eV, indicating that Na+ has been successfully incorporated into Cs2AgBiBr6. In Figure 4c, by comparing the Cs 3d core-level spectra, a notable shift of the XPS peak towards higher binding energy was observed in the Na0.07Cs1.93AgBiBr6 films, indicating an increase in binding energy. This shift is attributed to the substitution of Cs+ by Na+, with the difference in ionic radii affecting the ionic attraction [31]. This substitution reduces anti-site defects in the lattice, thereby decreasing the surface defect state density. At the same time, there was little change in the binding energy of the Ag 3d peaks, suggesting that, unlike previous studies, Na+ did not replace Ag+ in this work. This doping could break the inversion symmetry-induced parity-forbidden transitions, altering the wave function symmetry of self-trapped excitons at Ag atoms, thereby promoting radiative recombination and reducing surface defects in the film [25]. The effects of doping are also reflected in the peak shifts of the Bi 4f and Br 3d spectra, indicating a reduction in the oxidation states of Br and Bi elements, possibly due to a partial overlap between the Na 1s and Cs 3d peaks. These results confirm that Na+ was successfully doped into Cs2AgBiBr6 and partially replaced Cs+, indicating that the synthesized material is not a ternary compound.
Figure 4. (a) Comparison of XPS spectra of Cs2AgBiBr6 and Na0.07Cs1.93AgBiBr6 film; (bf) high-resolution XPS spectra of core levels for Na 1s, Cs 3d, Ag 3d, Bi 4f, and Br 3d, respectively.
In addition, the valence band maximum of Cs2AgBiBr6 is primarily contributed by the Br-4p and Ag-4d orbitals, while the conduction band minimum is mainly influenced by the Bi-6p and Br-4p orbitals [34]. As the Na+ doping level increases, the Ag electronic states significantly deplete, weakening the interaction between the Br-4p and Ag-4d states. This reduction in interaction leads to a lowering of the valence band maximum, resulting in a broader indirect bandgap at higher Na+ doping concentrations. Therefore, this phenomenon was further investigated through absorption and photoluminescence spectroscopy analysis.
Figure 5a shows the ultraviolet–visible (UV–vis) absorption spectra of undoped and Na+-doped Cs2AgBiBr6 films. Both Cs2AgBiBr6 and NaxCs2-xAgBiBr6 exhibit an absorption tail at longer wavelengths near 500 nm, indicating the presence of an indirect bandgap, consistent with previous research [35]. The main absorption peak of both undoped and doped Cs2AgBiBr6 is located around 440 nm, corresponding to band-edge exciton absorption, with no shift observed. In addition, a notable absorption peak around 350 nm is observed, attributed to direct bandgap absorption [36]. As the doping concentration increases, the light absorption intensity improves, with a notable enhancement of approximately 1.4 times observed when the doping level reaches 3.5%. Therefore, a 405 nm laser can be effectively used to excite the band-edge excitons of Cs2AgBiBr6, resulting in PL emission.
Figure 5. (a) UV–vis absorption spectrum and (b) PL spectrum under 325 nm excitation of undoped Cs2AgBiBr6 and NaxCs2−xAgBiBr6 film at room temperature.
The PL spectra of undoped and Na-doped Cs2AgBiBr6 double perovskite films is shown in Figure 5b. Due to the indirect bandgap nature of the material, no obvious peak is observed near the exciton absorption peak. However, the Cs2AgBiBr6 films exhibit a broad emission peak centered at approximately 650 nm. In indirect bandgap semiconductors, nonradiative channels dominate the process of photogenerated carriers. Nevertheless, weak PL is generally still observed due to intrinsic recombination. The large shift in the emission peak, however, is due to the recombination process associated with self-trapped excitons (STEs) in the energy band [37].
After doping with Na+ ions, both the intensity of the broad emission peak and the position of the PL peak shift with increasing doping concentration, indicating that Na+ doping can alter the optical bandgap structure of the double perovskite [32]. At a Na+ doping concentration of Na0.07Cs1.93AgBiBr6, the film exhibits a significant blue shift in the emission, with the broad emission peak centered at 600 nm, and the emission intensity reaches its maximum, 2.7 times higher than that of the undoped Cs2AgBiBr6, as shown by the red curve in Figure 5b. This is likely because the introduction of sodium ions enhances electron–phonon interactions [38], thereby promoting the formation of more STE states, which increases the PL intensity [23,39].
The optical properties of Cs2AgBiBr6 films were further investigated through temperature-dependent PL spectra analysis in the temperature range of 10–210 K, as shown in the two-dimensional color maps in Figure 6. At low temperatures, both doped and undoped samples exhibit a noticeable increase in emission intensity. Notably, the Na0.07Cs1.93AgBiBr6 film shows significantly higher PL intensity at low temperatures compared to Cs2AgBiBr6 films, without a shift in the peak position, which are at 622 nm and 600 nm, respectively. As the temperature increases, the PL intensity gradually decreases, which is attributed to the enhanced electron–phonon interaction [40]. This increase in interaction leads to a higher probability of nonradiative recombination, thereby reducing the PL intensity [34]. It is worth noting that the slight difference in peak positions between the room temperature and variable temperature PL spectra is due to the use of different excitation sources and optical setups. Nevertheless, both spectra accurately reflect the luminescent properties before and after doping, maintaining consistent trends.
Figure 6. (a) Cs2AgBiBr6 and (b) Na0.07Cs1.93AgBiBr6 temperature-dependent photoluminescence spectral contours under 405 nm excitation.
To extract the exciton binding energy, the relationship between intensity and temperature can be fitted by the Arrhenius equation:
I ( T ) = I 0 1 + A e E B k B T
where I 0 are PL integral intensities at temperatures of 0 K. A is the fitting constant, k B is the Boltzmann constant, and E B is the exciton binding energy. According to the fitting results in Figure 7a, the fitting values of exciton binding energy of Cs2AgBiBr6 and Na0.07Cs1.93AgBiBr6 thin films are 37.75 meV and 38.83 meV, respectively. The larger exciton binding energy of Na0.07Cs1.93AgBiBr6 promotes radiative recombination, leading to a stronger emission.
Figure 7. Fitting of (a) peak intensity and (b) FWHM from temperature-dependent PL spectra of Cs2AgBiBr6 and Na0.07Cs1.93AgBiBr6 films.
The variation of the full width at half maximum (FWHM) of the PL spectra with temperature is commonly used to study phonon scattering in perovskite materials. Therefore, FWHM can be used to analyze the changes in exciton–phonon interactions before and after doping during carrier recombination. Figure 7b shows the variation trend of FWHM of Cs2AgBiBr6 and Na0.07Cs1.93AgBiBr6 with temperature. Fitting using the independent Boson model, the relationship between temperature-dependent FWHM temperatures can be fitted using the Boson formula [41]:
Γ ( T ) = Γ i n h + σ T + Γ L O exp ( E L O k B T ) 1
where Γinh is the nonuniform bandwidth of the FWHM caused by the nonuniformity of the sample, such as the size and shape of the quantum dot, and σ is the exciton–acoustic phonon coupling coefficient. ΓLO is the exciton–longitudinal mode optical phonon (LO) coupling coefficient. E L O is the longitudinal mode optical phonon energy. The parameters obtained by fitting are shown in Table 1.
Table 1. Comparison of fitting parameters for Cs2AgBiBr6 and Na0.07Cs1.93AgBiBr6.
The FWHM of the PL spectra of both films broadens with increasing temperature, which is the result of a combination of nonuniform broadening due to molecular collisions and uniform broadening due to photon–phonon interactions. From the fitting results of Figure 7b, Cs2AgBiBr6 has a smaller value of ELO (31.26 μeV), which indicates that more phonons are produced, and these phonons become nonradiative recombination centers during exciton recombination. Meanwhile, Na0.07Cs1.93AgBiBr6 exhibits a higher E L O value (40.21 μeV), indicating that there is a strong exciton–phonon interaction and a weak nonradiative transition during exciton recombination, which further proves that the luminous efficiency of Na0.07Cs1.93AgBiBr6 is higher than that of Cs2AgBiBr6.
To evaluate the impact of Na+ doping on the optoelectronic properties of Cs2AgBiBr6 films and explore their potential application in photodetection, the optimized Na0.07Cs1.93AgBiBr6 film was used as the photoactive layer to fabricate a photodetector, with the undoped Cs2AgBiBr6 film serving as a reference for comparison. The Cs2AgBiBr6 film was fabricated using a one-step solution process with FTO as the substrate. Silver films were used as contact electrodes, resulting in a conductive substrate–semiconductor-metal structure.
Figure 8 details a comparison of the performance between photodetectors Cs2AgBiBr6 and Na0.07Cs1.93AgBiBr6. In Figure 8a, the current–voltage (I-V) curve of the n-i-p structure is depicted under 405 nm illumination at an intensity of 5 W/m2 and a bias voltage varying between ±5 V. The data indicate that both the dark current and photocurrent are significantly enhanced in the devices with Na+ doping, suggesting a relatively low Schottky barrier at the Ag/Cs2AgBiBr6 interface. A slight reduction in the external bias voltage effectively compensates for this barrier, facilitating the transport of photo-generated carriers from Cs2AgBiBr6 to the metal contact electrode, which in turn, substantially increases the photocurrent. Under a 5 V bias, the dark current of Na0.07Cs1.93AgBiBr6. is enhanced by approximately four orders of magnitude compared to undoped films, indicating that doping effectively passivates film defects and extends the carrier diffusion length. Figure 8b illustrates the Na0.07Cs1.93AgBiBr6 dynamic response (I-T) of the current under varying light power during switching illumination, measured at a constant bias voltage of 5 V. The incident light was applied for 20 s in each cycle. The results show that the device exhibits rapid cycling stability and repeatability, with the photocurrent significantly increasing as light irradiation power rises. Figure 8c demonstrates that the photocurrent of the Cs2AgBiBr6 film photodetector exhibits a linear relationship with light power from 20 mW to 50 mW, enabling accurate power-resolved photoelectric detection.
Figure 8. (a) Typical current–voltage (I-V) characteristics of undoped Cs2AgBiBr6 and Na0.07Cs1.93AgBiBr6 films under both dark and 405 nm illuminated conditions. (b) The dynamic current–time response (I-T) curves of the Na0.07Cs1.93AgBiBr6 device at a 5 V bias under 405 nm illumination with different power. (c) The linear fit of the relationship between peak current and light power.
Based on the evaluation of the detector performance, key optoelectronic parameters are primarily selected for comparison, including linear dynamic range (LDR), photocurrent-to-dark current ratio (PDCR), responsivity (R), and specific detectivity (D*), with the following definitions:
The LDR reflects the linear relationship between photocurrent and light radiation intensity, defined as follows:
L D R = 20 log I p I d
where I p p is the photocurrent and I d is the dark current. The LDR of the undoped device is 87.94 dB, while the Na0.07Cs1.93AgBiBr6 device demonstrates an improved LDR of 98.75 dB. Combining the linear response shown in Figure 8b,c, the increase in LDR indicates that the photodetector maintains a good response over a broader range of light intensities. Therefore, the increased LDR indicates the beneficial impact of sodium ion doping on device performance, leading to the enhancement of multiple performance metrics in the perovskite photodetector. This is crucial for applications that demand high sensitivity and accuracy.
The PDCR serves as a key metric for assessing the sensitivity of a photodetector to a specific ultraviolet wavelength and is defined by the following expression:
P D C R = I p I d I d
The PDCR of the undoped Cs2AgBiBr6 at 5 V is 3.34 × 103, whereas that of doped Na0.07Cs1.93AgBiBr6 reaches 7.57 × 104, representing an increase of over 20 times, which demonstrates that doping significantly enhances photodetection performance.
R and D*, the key parameters of the photodetector, characterize its response and sensitivity [42]. When considering dark current as the primary source of noise, the defining equations for these parameters can be written as Equations (5) and (6):
R = I p I d P A
D * = R A 2 e I d
where e is the elemental charge, P represents the incident light power, and A is the effective illuminated area of the photodetector (0.785 cm2).
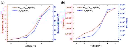
The variation of these parameters with bias voltage for both undoped and doped devices is shown in Figure 9. Under a light intensity of 5 W/m2, both responsivity and specific detectivity increase with the applied bias voltage. At a bias voltage of 5 V, the responsivity and specific detectivity of the undoped Cs2AgBiBr6 are relatively low, at 3.28 mA/W and 7.17 × 1010 Jones, respectively, as shown by the blue curve. In contrast, the corresponding parameters for the Na+-doped Na0.07Cs1.93AgBiBr6 are as high as 16.23 A/W and 2.92 × 1012 Jones. This demonstrates a significant improvement in the photoelectric detection performance after doping. It is noteworthy that the responsivity of Cs2AgBiBr6 exhibits a pronounced asymmetry between forward and reverse bias. As seen in the I-V curve in Figure 8a, the dark current increases to some extent under reverse bias, leading to a decrease in responsivity. This asymmetry is attributed to the electrode configuration. In contrast, the Na0.07Cs1.93AgBiBr6 film after doping shows a more uniform response under both forward and reverse bias, which is a result of the enhanced carrier mobility due to doping. A similar trend is observed in the specific detectivity shown in Figure 9b.
Figure 9. The relationship between (a) R and (b) D* as a function of bias voltage under 5 W/m2. The red curves represent Na0.07Cs1.93AgBiBr6, while the blue curves represent Cs2AgBiBr6.
Additionally, considering the external quantum efficiency (EQE) as a parameter to evaluate the intrinsic properties of optoelectronic devices, it is defined as follows:
E Q E = h c R e λ
where h is Planck’s constant (6.626 × 10−34 J∙S), c is the speed of light, and λ is the wavelength of the incident light, which is 365 nm in this study. Therefore, the EQE of the device under a 5 V bias is calculated to be 49.8%.
In Figure 10a,b, the photocurrent response profile reveals that the rise time ( τ r ) measured from 10% to 90% of the saturated photocurrent value is 1.613 s, while the decay time ( τ d ) measured from 90% to 10% of the saturated value is 1.722 s for Cs2AgBiBr6. In comparison, the optimized Na0.07Cs1.93AgBiBr6 photodetector demonstrates a significantly reduced rise time of 943 ms and a decay time of 210 ms. The faster response of the Na0.07Cs1.93AgBiBr6 perovskite photodetector highlights its potential as an efficient optical switch for visible light signal detection. This improvement in response speed can be attributed to defect passivation and increased crystallinity of the perovskite film after Na+ doping, resulting in enhanced overall device performance.
Figure 10. Rise and decay time curves of photocurrent responses of (a) Cs2AgBiBr6 and (b) Na0.07Cs1.93AgBiBr6 at 5 V bias under 405 nm alternating illumination with a power of 50 mW.
Figure 11 illustrates the photoconversion mechanism of the Na0.07Cs1.93AgBiBr6 detector under illumination. Upon exposure to 405 nm light, excited-state excitons are generated in Na0.07Cs1.93AgBiBr6. According to the band alignment, electrons tend to move towards the Ag electrode, while holes are transferred to the FTO electrode, thus achieving photoconversion. Compared to the undoped Cs2AgBiBr6 detector, the Na0.07Cs1.93AgBiBr6 benefits from changes in its bandgap and band alignment, as well as the inherently higher carrier mobility, which leads to a higher responsivity and detectivity in the fabricated photodetector. The doping of Na ions in Cs2AgBiBr6 effectively enhances optical and electronic properties, demonstrating its potential for improving performance in device applications. This research underscores the promising role of Na+ doping in optimizing the performance of double perovskite materials for future photodetector technologies.
Figure 11. (a) Schematic of the charge transfer mechanism in the Na0.07Cs1.93AgBiBr6 detector under illumination. (b) Band alignment between Cs2AgBiBr6, Na0.07Cs1.93AgBiBr6, and the electrodes.

4. Conclusions

In summary, this work successfully synthesized alkali metal ion-doped Cs2AgBiBr6 perovskite films using a solution-based method and systematically investigated the effects of Na+ doping on the structural and photoelectric properties of the films. Comprehensive structural analysis revealed that Na+ doping significantly improved the quality and crystallinity of the films, with minimal impact on the crystal phase structure. At a 3.5% Na+ doping level, Na0.07Cs1.93AgBiBr6 exhibited an increase in PL intensity by a factor of 2.7 and an enhancement in absorption by a factor of 1.4 compared to undoped Cs2AgBiBr6. The variable temperature photoluminescence spectra indicate that Na0.07Cs1.93AgBiBr6 exhibits higher exciton binding energy and longitudinal optical phonon energy, demonstrating better thermal stability and weaker nonradiative recombination compared to the undoped Cs2AgBiBr6. Photodetectors based on Na0.07Cs1.93AgBiBr6 films showed significant improvements compared to the undoped films in low-light dynamic range (LDR), photo-to-dark current ratio (PDCR), responsivity (R), and specific detectivity (D*), achieving values of 98.75 dB, 7.57 × 104, and 16.23 A/W and 2.92 × 1012 Jones. Furthermore, the Na0.07Cs1.93AgBiBr6-based detectors exhibited a short transient photoresponse and recovery times of 943 ms and 210 ms, making them more suitable for fast-response device applications. This strategy not only provides an effective approach to optimize the structural and photoelectric properties of Cs2AgBiBr6 films but also offers valuable insights for future material design, demonstrating the potential for developing next-generation high-performance photodetectors.

Supplementary Materials

The following supporting information can be downloaded at: https://www.mdpi.com/article/10.3390/cryst14121068/s1, Figure S1: Refined XRD patterns of Cs2AgBiBr6 (a) Na-doped and (b) undoped; Table S1: Refined XRD values and original values of Cs2AgBiBr6; Table S2: Refined XRD values and original values of Na0.05Cs1.95AgBiBr6; Table S3: Refined XRD values and original values of Na0.07Cs1.93AgBiBr6; Table S4: Refined XRD values and original values of Na0.1Cs1.9AgBiBr6.

Author Contributions

Conceptualization, J.D.; methodology, Q.H.; validation, S.S.; formal analysis, Y.W., Y.M., S.S. and A.B.; investigation, Y.W.; resources, C.Z.; data curation, Y.W.; writing—original draft preparation, Y.W.; writing—review and editing, A.B.; visualization, Y.W. and A.B.; supervision, A.B. and J.D.; project administration, A.B. and J.D.; funding acquisition, A.B. All authors have read and agreed to the published version of the manuscript.

Funding

This project was financially supported by the National Natural Science Foundation of China (62305135) and the Postgraduate Research & Practice Innovation Program of Jiangsu Province (KYCX24_4103).

Data Availability Statement

The original contributions presented in the study are included in the article, further inquiries can be directed to the corresponding author.

Conflicts of Interest

The authors declare no conflict of interest.

References

  1. Maes, J.; Balcaen, L.; Drijvers, E.; Zhao, Q.; De Roo, J.; Vantomme, A.; Vanhaecke, F.; Geiregat, P.; Hens, Z. Light Absorption Coefficient of CsPbBr3 Perovskite Nanocrystals. J. Phys. Chem. Lett. 2018, 9, 3093–3097. [Google Scholar] [CrossRef] [PubMed]
  2. Filip, M.R.; Eperon, G.E.; Snaith, H.J.; Giustino, F. Steric engineering of metal-halide perovskites with tunable optical band gaps. Nat. Commun. 2014, 5, 5757. [Google Scholar] [CrossRef] [PubMed]
  3. Steirer, K.X.; Schulz, P.; Teeter, G.; Stevanovic, V.; Yang, M.; Zhu, K.; Berry, J.J. Defect Tolerance in Methylammonium Lead Triiodide Perovskite. ACS Energy Lett. 2016, 1, 360–366. [Google Scholar] [CrossRef]
  4. Zhumekenov, A.A.; Saidaminov, M.I.; Haque, M.A.; Alarousu, E.; Sarmah, S.P.; Murali, B.; Dursun, I.; Miao, X.-H.; Abdelhady, A.L.; Wu, T.; et al. Formamidinium Lead Halide Perovskite Crystals with Unprecedented Long Carrier Dynamics and Diffusion Length. ACS Energy Lett. 2016, 1, 32–37. [Google Scholar] [CrossRef]
  5. Zhang, F.; Lu, H.; Tong, J.; Berry, J.J.; Beard, M.C.; Zhu, K. Advances in two-dimensional organic–inorganic hybrid perovskites. Energy Environ. Sci. 2020, 13, 1154–1186. [Google Scholar] [CrossRef]
  6. Kim, Y.H.; Cho, H.; Heo, J.H.; Kim, T.S.; Myoung, N.; Lee, C.L.; Im, S.H.; Lee, T.W. Multicolored organic/inorganic hybrid perovskite light-emitting diodes. Adv. Mater. 2015, 27, 1248–1254. [Google Scholar] [CrossRef]
  7. Ma, S.; Cai, M.; Cheng, T.; Ding, X.; Shi, X.; Alsaedi, A.; Hayat, T.; Ding, Y.; Tan, Z.a.; Dai, S. Two-dimensional organic-inorganic hybrid perovskite: From material properties to device applications. Sci. China Mater. 2018, 61, 1257–1277. [Google Scholar] [CrossRef]
  8. Wang, F.; Zou, X.; Xu, M.; Wang, H.; Wang, H.; Guo, H.; Guo, J.; Wang, P.; Peng, M.; Wang, Z.; et al. Recent Progress on Electrical and Optical Manipulations of Perovskite Photodetectors. Adv. Sci. 2021, 8, e2100569. [Google Scholar] [CrossRef]
  9. Wei, H.; Fang, Y.; Mulligan, P.; Chuirazzi, W.; Fang, H.-H.; Wang, C.; Ecker, B.R.; Gao, Y.; Loi, M.A.; Cao, L.; et al. Sensitive X-ray detectors made of methylammonium lead tribromide perovskite single crystals. Nat. Photonics 2016, 10, 333–339. [Google Scholar] [CrossRef]
  10. Zhang, Q.; Su, R.; Du, W.; Liu, X.; Zhao, L.; Ha, S.T.; Xiong, Q. Advances in Small Perovskite-Based Lasers. Small Methods 2017, 1, 1700163. [Google Scholar] [CrossRef]
  11. Fang, T.; Wang, T.; Li, X.; Dong, Y.; Bai, S.; Song, J. Perovskite QLED with an external quantum efficiency of over 21% by modulating electronic transport. Sci. Bull. 2021, 66, 36–43. [Google Scholar] [CrossRef] [PubMed]
  12. Hoye, R.L.Z.; Eyre, L.; Wei, F.; Brivio, F.; Sadhanala, A.; Sun, S.; Li, W.; Zhang, K.H.L.; MacManus-Driscoll, J.L.; Bristowe, P.D.; et al. Fundamental Carrier Lifetime Exceeding 1 µs in Cs2AgBiBr6 Double Perovskite. Adv. Mater. Interfaces 2018, 5, 2–9. [Google Scholar] [CrossRef]
  13. Igbari, F.; Wang, R.; Wang, Z.K.; Ma, X.J.; Wang, Q.; Wang, K.L.; Zhang, Y.; Liao, L.S.; Yang, Y. Composition Stoichiometry of Cs2AgBiBr6 Films for Highly Efficient Lead-Free Perovskite Solar Cells. Nano Lett. 2019, 19, 2066–2073. [Google Scholar] [CrossRef] [PubMed]
  14. Fang, F.; Li, H.; Fang, S.; Zhou, B.; Huang, F.; Ma, C.; Wan, Y.; Jiang, S.; Wang, Y.; Tian, B.; et al. 2D Cs2AgBiBr6 with Boosted Light-Matter Interaction for High-Performance Photodetectors. Adv. Opt. Mater. 2021, 9, 2001930. [Google Scholar] [CrossRef]
  15. Slavney, A.H.; Hu, T.; Lindenberg, A.M.; Karunadasa, H.I. A Bismuth-Halide Double Perovskite with Long Carrier Recombination Lifetime for Photovoltaic Applications. J. Am. Chem. Soc. 2016, 138, 2138–2141. [Google Scholar] [CrossRef] [PubMed]
  16. Greul, E.; Petrus, M.L.; Binek, A.; Docampo, P.; Bein, T. Highly stable, phase pure Cs2AgBiBr6 double perovskite thin films for optoelectronic applications. J. Mater. Chem. A 2017, 5, 19972–19981. [Google Scholar] [CrossRef]
  17. Steele, J.A.; Pan, W.; Martin, C.; Keshavarz, M.; Debroye, E.; Yuan, H.; Banerjee, S.; Fron, E.; Jonckheere, D.; Kim, C.W.; et al. Photophysical Pathways in Highly Sensitive Cs2 AgBiBr6 Double-Perovskite Single-Crystal X-Ray Detectors. Adv. Mater. 2018, 30, e1804450. [Google Scholar] [CrossRef]
  18. Yang, J.; Bao, C.; Ning, W.; Wu, B.; Ji, F.; Yan, Z.; Tao, Y.; Liu, J.M.; Sum, T.C.; Bai, S.; et al. Stable, High-Sensitivity and Fast-Response Photodetectors Based on Lead-Free Cs2AgBiBr6 Double Perovskite Films. Adv. Opt. Mater. 2019, 7, 1801732. [Google Scholar] [CrossRef]
  19. Zhou, L.; Xu, Y.F.; Chen, B.X.; Kuang, D.B.; Su, C.Y. Synthesis and Photocatalytic Application of Stable Lead-Free Cs2 AgBiBr6 Perovskite Nanocrystals. Small 2018, 14, e1703762. [Google Scholar] [CrossRef]
  20. Gao, W.; Ran, C.; Xi, J.; Jiao, B.; Zhang, W.; Wu, M.; Hou, X.; Wu, Z. High-Quality Cs2 AgBiBr6 Double Perovskite Film for Lead-Free Inverted Planar Heterojunction Solar Cells with 2.2% Efficiency. Chemphyschem 2018, 19, 1696–1700. [Google Scholar] [CrossRef]
  21. Shuang, Z.; Zhou, H.; Wu, D.; Zhang, X.; Xiao, B.; Ma, G.; Zhang, J.; Wang, H. Low-temperature process for self-powered lead-free Cs2AgBiBr6 perovskite photodetector with high detectivity. Chem. Eng. J. 2022, 433, 134544. [Google Scholar] [CrossRef]
  22. Biswas, I.; Dey, A.; Dalal, A.; Saha, S.; Nunzi, J.-M.; Mondal, A. Stable, self-biased Cs2AgBiBr6 thin-film based photodetector by three-step vapor-deposition. J. Alloys Compd. 2024, 976, 172903. [Google Scholar] [CrossRef]
  23. Rahane, S.N.; Rahane, G.K.; Mandal, A.; Jadhav, Y.; Godha, A.; Rokade, A.; Shah, S.; Hase, Y.; Waghmare, A.; Saykar, N.G.; et al. Lead-Free Cs2AgBiCl6 Double Perovskite: Experimental and Theoretical Insights into the Self-Trapping for Optoelectronic Applications. ACS Phys. Chem. Au 2024, 4, 476–489. [Google Scholar] [CrossRef] [PubMed]
  24. Ji, F.; Huang, Y.; Wang, F.; Kobera, L.; Xie, F.; Klarbring, J.; Abbrent, S.; Brus, J.; Yin, C.; Simak, S.I.; et al. Near-Infrared Light-Responsive Cu-Doped Cs2AgBiBr6. Adv. Funct. Mater. 2020, 30, 2005521. [Google Scholar] [CrossRef]
  25. Wang, S.; Jiang, W.; Cui, W.; Jiang, W.; Zhao, M.; Sun, J.; Liu, B.; Lai, X.; Shi, K.; Pan, K. Improved Optical Properties of Lead-Free Double Perovskite Cs2AgBiBr6 Nanocrystals via Na Ions Doping. Adv. Opt. Mater. 2023, 11, 2202745. [Google Scholar] [CrossRef]
  26. Ding, N.; Shao, L.; Xie, T.; Pan, G.; Zhou, D.; Bai, X.; Lu, S.; Hu, J.; Zhou, J.; Xu, W.; et al. Highly-Sensitive, Stable, and Fast-Response Lead-Free Cs2AgBiBr6 Double Perovskite Photodetectors Enabled by Synergistic Engineering of Doping Na+/Ce3+ and Integrating Ag Nanoparticles Film. Laser Photonics Rev. 2022, 16, 2200301. [Google Scholar] [CrossRef]
  27. Chen, Z.; Jiang, X.; Xu, H.; Wang, J.; Zhang, M.; Pan, D.; Jiang, G.; Shahid, M.Z.; Li, Z. Rubidium Doped Cs2AgBiBr6 Hierarchical Microsphere for Enhanced Photocatalytic CO2 Reduction. Small 2024, 20, e2401202. [Google Scholar] [CrossRef]
  28. Chen, H.; Zhang, C.-R.; Liu, Z.-J.; Gong, J.-J.; Zhang, M.-L.; Wu, Y.-Z.; Chen, Y.-H.; Chen, H.-S. Optoelectronic properties of Rb-doped inorganic double perovskite Cs2AgBiBr6. Chem. Phys. Lett. 2021, 771, 138501. [Google Scholar] [CrossRef]
  29. Zhang, Z.; Liu, G.; Guo, W.; Li, X.; Zhang, Y.; Wu, C.; Qu, B.; Shi, J.-j.; Chen, Z.; Xiao, L. Black single crystals of lead-free perovskite Cs2Ag(Bi:Ru)Br6 with an intermediate band. Mater. Adv. 2022, 3, 4932–4937. [Google Scholar] [CrossRef]
  30. Cen, G.; Sheng, H.; Wang, Z.; Yi, L.; Sun, H.; An, Y.; Zhao, C.; Mai, W. Boosting photodetection performance of Cs2AgBiBr6 through A-site Rb substitution and interfacial engineering. J. Colloid Interface Sci. 2023, 652, 34–40. [Google Scholar] [CrossRef]
  31. Yan, G.; Jiang, B.; Xiao, Y.; Zhao, C.; Yuan, Y.; Liang, Z. Alkali metal ions induced high-quality all-inorganic Cs2AgBiBr6 perovskite films for flexible self-powered photodetectors. Appl. Surf. Sci. 2022, 579, 152198. [Google Scholar] [CrossRef]
  32. Zhang, Z.; Wu, C.; Wang, D.; Liu, G.; Zhang, Q.; Luo, W.; Qi, X.; Guo, X.; Zhang, Y.; Lao, Y.; et al. Improvement of Cs2AgBiBr6 double perovskite solar cell by rubidium doping. Org. Electron. 2019, 74, 204–210. [Google Scholar] [CrossRef]
  33. Wu, C.; Zhang, Q.; Liu, Y.; Luo, W.; Guo, X.; Huang, Z.; Ting, H.; Sun, W.; Zhong, X.; Wei, S.; et al. The Dawn of Lead-Free Perovskite Solar Cell: Highly Stable Double Perovskite Cs2AgBiBr6 Film. Adv. Sci. 2018, 5, 1700759. [Google Scholar] [CrossRef] [PubMed]
  34. Wu, R.; Wang, Q.; Yang, S.; Wu, L.; Gong, S.; Han, Q.; Wu, W. Enhanced thermal stability of exciton recombination in CsPbI3 perovskite nanocrystals via zinc alloying. J. Alloys Compd. 2021, 857, 157574. [Google Scholar] [CrossRef]
  35. Gebhardt, J.; Elsässer, C. The Electronic Structure of Cs2AgBiBr6 at Room Temperature. Phys. Status Solidi (b) 2022, 259, 2200124. [Google Scholar] [CrossRef]
  36. Lei, H.; Hardy, D.; Gao, F. Lead-Free Double Perovskite Cs2AgBiBr6: Fundamentals, Applications, and Perspectives. Adv. Funct. Mater. 2021, 31, 2105898. [Google Scholar] [CrossRef]
  37. Bekenstein, Y.; Dahl, J.C.; Huang, J.; Osowiecki, W.T.; Swabeck, J.K.; Chan, E.M.; Yang, P.; Alivisatos, A.P. The Making and Breaking of Lead-Free Double Perovskite Nanocrystals of Cesium Silver-Bismuth Halide Compositions. Nano Lett. 2018, 18, 3502–3508. [Google Scholar] [CrossRef]
  38. Yao, M.M.; Wang, L.; Yao, J.S.; Wang, K.H.; Chen, C.; Zhu, B.S.; Yang, J.N.; Wang, J.J.; Xu, W.P.; Zhang, Q.; et al. Improving Lead-Free Double Perovskite Cs2NaBiCl6 Nanocrystal Optical Properties via Ion Doping. Adv. Opt. Mater. 2020, 8, 1901919. [Google Scholar] [CrossRef]
  39. Wright, A.D.; Buizza, L.R.V.; Savill, K.J.; Longo, G.; Snaith, H.J.; Johnston, M.B.; Herz, L.M. Ultrafast Excited-State Localization in Cs2AgBiBr6 Double Perovskite. J. Phys. Chem. Lett. 2021, 12, 3352–3360. [Google Scholar] [CrossRef]
  40. Shi, Z.; Li, Y.; Zhang, Y.; Chen, Y.; Li, X.; Wu, D.; Xu, T.; Shan, C.; Du, G. High-Efficiency and Air-Stable Perovskite Quantum Dots Light-Emitting Diodes with an All-Inorganic Heterostructure. Nano Lett. 2017, 17, 313–321. [Google Scholar] [CrossRef]
  41. Sun, S.; Yuan, D.; Xu, Y.; Wang, A.; Deng, Z. Ligand-Mediated Synthesis of Shape-Controlled Cesium Lead Halide Perovskite Nanocrystals via Reprecipitation Process at Room Temperature. ACS Nano 2016, 10, 3648–3657. [Google Scholar] [CrossRef] [PubMed]
  42. Sze, S.M.; Ng, K.K. Physics of Semiconductor Devices; John Wiley & Sons: Hoboken, NJ, USA, 2021. [Google Scholar]
Disclaimer/Publisher’s Note: The statements, opinions and data contained in all publications are solely those of the individual author(s) and contributor(s) and not of MDPI and/or the editor(s). MDPI and/or the editor(s) disclaim responsibility for any injury to people or property resulting from any ideas, methods, instructions or products referred to in the content.

Article Metrics

Citations

Article Access Statistics

Multiple requests from the same IP address are counted as one view.