Synergistic Effect in Ionizing Radiation Shielding with Recent Tile Composites Blended with Marble Dust and BaO Micro/Nanoparticles
(This article belongs to the Section Hybrid and Composite Crystalline Materials)
Abstract
1. Introduction
2. Materials and Methods
2.1. Materials
2.2. Methods
3. Results and Discussion
4. Conclusions
Author Contributions
Funding
Data Availability Statement
Conflicts of Interest
References
- Özdemir, T.; Yılmaz, S.N. Mixed radiation shielding via 3-layered polydimethylsiloxane rubber composite containing hexagonal boron nitride, boron (III) oxide, bismuth (III) oxide for each layer. Radiat. Phys. Chem. 2018, 152, 17–22. [Google Scholar] [CrossRef]
- Özdemir, T.; Güngör, A.; Akbay, I.K.; Uzun, H.; Babucçuoglu, Y. Nano lead oxide and epdm composite for development of polymer based radiation shielding material: Gamma irradiation and attenuation tests. Radiat. Phys. Chem. 2018, 144, 248–255. [Google Scholar] [CrossRef]
- Bagheri, R.; Moghaddam, A.K.; Yousefnia, H. Gamma Ray Shielding Study of Barium-Bismuth-Borosilicate Glasses as Transparent Shielding Materials using MCNP-4C Code, XCOM Program, and Available Experimental Data. Nucl. Eng. Technol. 2017, 49, 216–223. [Google Scholar] [CrossRef]
- Acikgoz, A.; Demircan, G.; Yılmaz, D.; Aktas, B.; Yalcin, S.; Yorulmaz, N. Structural, mechanical, radiation shielding properties and albedo parameters of alumina borate glasses: Role of CeO2 and Er2O3. Mater. Sci. Eng. B 2022, 276, 115519. [Google Scholar] [CrossRef]
- Prasad, R.; Pai, A.R.; Oyadiji, S.O.; Thomas, S.; Parashar, S.K.S. Utilization of hazardous red mud in silicone rubber/MWCNT nanocomposites for high performance electromagnetic interference shielding. J. Clean. Prod. 2022, 377, 134290. [Google Scholar] [CrossRef]
- El-Sharkawy, R.M.; Shaaban, K.S.; Elsaman, R.; Allam, E.A.; El-Taher, A.; Mahmoud, M.E. Investigation of mechanical and radiation shielding characteristics of novel glass systems with the composition xNiO-20ZnO-60B2O3-(20−x) CdO based on nanometal oxides. J. Non-Cryst. Solids 2020, 528, 119754. [Google Scholar] [CrossRef]
- Hemeda, O.M.; Eid, M.E.A.; Sharshar, T.; Ellabany, H.M.; Henaish, A.M.A. Synthesis of nanometer-sized PbZrxTi1−xO3 for gamma-ray attenuation. J. Phys. Chem. Solids 2021, 148, 109688. [Google Scholar] [CrossRef]
- Ozdogan, H.; Kilicoglu, O.; Akman, F.; Agar, O. Comparison of Monte Carlo simulations and theoretical calculations of nuclear shielding characteristics of various borate glasses including Bi, V, Fe, and Cd. Appl. Radiat. Isot. 2022, 189, 110454. [Google Scholar] [CrossRef]
- Akman, F.; Kilicoglu, O.; Agar, O. Feasibility of a novel shield of nuclear radiation with W–Ni–Fe–Co and La–Bi alloys alternative to Pb and ordinary concrete absorbers. Prog. Nucl. Energy 2023, 156, 104537. [Google Scholar] [CrossRef]
- Kara, U.; Kilicoglu, O.; Ersoy, S. Structural and gamma-ray attenuation coefficients of different OAD films for nuclear medicine applications. Radiat. Phys. Chem. 2020, 172, 108785. [Google Scholar] [CrossRef]
- Aghaz, A.; Faghihi, R.; Mortazavi, S.M.J.; Haghparast, A.; Mehdizadeh, S.; Sina, S. Radiation attenuation properties of shields containing micro and Nano WO3 in diagnostic X-ray energy range. Iran. J. Radiat. Res. 2016, 14, 127–131. [Google Scholar] [CrossRef]
- Dong, Y.; Chang, S.Q.; Zhang, H.X.; Ren, C.; Kang, B.; Dai, M.Z.; Dai, Y.D. Effects of WO3 particle size in WO3/Epoxy resin radiation shielding material. Chin. Phys. Lett. 2012, 29, 108102. [Google Scholar] [CrossRef]
- Tekin, H.O.; Singh, V.P.; Manici, T. Effects of micro-sized and nano-sized WO3 on mass attenauation coefficients of concrete by using MCNPX code. Appl. Radiat. Isot. 2017, 121, 122–125. [Google Scholar] [CrossRef]
- Mesbahi, A.; Ghiasi, H. Shielding properties of the ordinary concrete loaded with micro- and nanoparticles against neutron and gamma radiations. Appl. Radiat. Isot. 2018, 136, 27–31. [Google Scholar] [CrossRef] [PubMed]
- Almuqrin, A.H.; Sayyed, M.I.; Elsafi, M.; Khandaker, M.U. Comparison of radiation shielding ability of Bi2O3 micro and nanoparticles for radiation shields. Radiat. Phys. Chem. 2022, 200, 110170. [Google Scholar] [CrossRef]
- Gao, M.; Jin, X.; Zhao, T.; Li, H.; Zhou, L. Study on the strength mechanism of red clay improved by waste tire rubber powder. Case Stud. Constr. Mater. 2022, 17, e01416. [Google Scholar] [CrossRef]
- Sadiq, A.; Ghailassi, T.E.L.; Faiz, Z.; Haddaji, Y.; Bouih, A.; Hannache, H.; Fakhi, S. Study of the spent resins confinement, as radioactive waste, by cementation in the presence of Moroccan natural red clay. Prog. Nucl. Energy 2021, 141, 103967. [Google Scholar] [CrossRef]
- Lai, H.-C.; Zhang, J.-F.; Li, Y.-Y.; Zhou, L.-P. Origin and provenance of Red Clay in north Hunan Province, China: Inferred from grain-size analysis and end-member modelling. Aeolian Res. 2021, 51, 100714. [Google Scholar] [CrossRef]
- Gao, Q.-F.; Zeng, L.; Shi, Z.-N. Effects of desiccation cracks and vegetation on the shallow stability of a red clay cut slope under rainfall infiltration. Comput. Geotech. 2021, 140, 104436. [Google Scholar] [CrossRef]
- Akbulut, S.; Sehhatigdiri, A.; Eroglu, H.; Çelik, S. A research on the radiation shielding effects of clay, silica fume and cement samples. Radiat. Phys. Chem. 2015, 117, 88–92. [Google Scholar] [CrossRef]
- Abdalla, A.M.; Al-Naggar, T.I.; Bashiri, A.M.; Alsareii, S.A. Radiation shielding performance for local granites. Prog. Nucl. Energy 2022, 150, 104294. [Google Scholar] [CrossRef]
- Sankaran, S.; Deshmukh, K.; Ahamed, M.B.; Pasha, S.K. Recent Advances in Electromagnetic Interference Shielding Properties of Metal and Carbon Filler Reinforced Flexible Polymer Composites: A Review. Compos. Part A Appl. Sci. Manuf. 2018, 114, 49–71. [Google Scholar] [CrossRef]
- Bhosale, R.; More, C.; Gaikwad, D.; Pawar, P.; Rode, M. Radiation Shielding and Gamma Ray Attenuation Properties of Some Polymers. Nucl. Technol. Radiat. Prot. 2017, 32, 288–293. [Google Scholar] [CrossRef]
- Baltas, H.; Sirin, M.; Celik, A.; Ustabas, İ.; El-Khayatt, A.M. Radiation shielding properties of mortars with minerals and ores additives. Cem. Concr. Compos. 2019, 97, 268–278. [Google Scholar] [CrossRef]
- Kameesy, S.; Nashar, D.; Fiki, S. Development of silicone rubber/lead oxide composites as gamma ray shielding materials. Int. J. Adv. Res. 2015, 3, 1017–1023. [Google Scholar]
- Elsafi, M.; Almuqrin, A.H.; Almutairi, H.M.; Al-Saleh, W.M.; Sayyed, M.I. Grafting red clay with Bi2O3 nanoparticles into epoxy resin for gamma-ray shielding applications. Sci. Rep. 2023, 13, 5472. [Google Scholar] [CrossRef] [PubMed]
- Sayyed, M.I.; Almurayshid, M.; Almasoud, F.I.; Alyahyawi, A.R.; Yasmin, S.; Elsafi, M. Developed a New Radiation Shielding Absorber Composed of Waste Marble, Polyester, PbCO3, and CdO to Reduce Waste Marble Considering Environmental Safety. Materials 2022, 15, 8371. [Google Scholar] [CrossRef]
- Sayyed, M.I.; Almousa, N.; Elsafi, M. Green Conversion of the Hazardous Cathode Ray Tube and Red Mud into Radiation Shielding Concrete. Materials 2022, 15, 5316. [Google Scholar] [CrossRef]













| Element | C | O | Na | Mg | Al | Si | S | K | Ca | Fe |
|---|---|---|---|---|---|---|---|---|---|---|
| Percentage (%) | 2.16 ± 0.24 | 55.91 ± 0.64 | 0.79 ± 0.10 | 0.58 ± 0.07 | 9.26 ± 0.20 | 18.89 ± 0.31 | 0.55 ± 0.06 | 0.56 ± 0.07 | 5.93 ± 0.19 | 5.37 ± 0.24 |
| Element | C | O | Al | Si | Ca | Fe | Zn |
|---|---|---|---|---|---|---|---|
| Percentage (%) | 11.18 ± 0.13 | 50.21 ± 0.64 | 0.38 ± 0.04 | 1.05 ± 0.060 | 35.76 ± 0.30 | 0.44 ± 0.06 | 0.99 ± 0.12 |
| Code | Composition (wt %) | Density | |||
|---|---|---|---|---|---|
| Red Clay | Marble Dust | Micro-BaO | Nano-BaO | ||
| WR | 50 | 50 | — | — | 2.461 |
| WR-10mBaO | 40 | 50 | 10 | — | 2.640 |
| WR-20mBaO | 30 | 50 | 20 | — | 2.847 |
| WR-10nBaO | 40 | 50 | — | 10 | 2.644 |
| WR-20nBaO | 30 | 50 | — | 20 | 2.851 |
| Attenuation Parameters | Energy (MeV) | WR | WR-10mBaO | WR-20mBaO | WR-10nBaO | WR-20nBaO |
|---|---|---|---|---|---|---|
| MAC, cm2·g−1 | 0.060 | 0.379 | 1.129 | 1.879 | 1.300 | 2.393 |
| 0.662 | 0.073 | 0.073 | 0.074 | 0.082 | 0.086 | |
| 1.173 | 0.055 | 0.055 | 0.055 | 0.061 | 0.061 | |
| 1.333 | 0.052 | 0.052 | 0.051 | 0.057 | 0.057 | |
| LAC, cm−1 | 0.060 | 0.932 | 2.980 | 5.350 | 3.436 | 6.822 |
| 0.662 | 0.179 | 0.193 | 0.210 | 0.218 | 0.246 | |
| 1.173 | 0.136 | 0.145 | 0.156 | 0.161 | 0.175 | |
| 1.333 | 0.127 | 0.136 | 0.146 | 0.150 | 0.163 | |
| HVL, cm | 0.060 | 0.743 | 0.233 | 0.130 | 0.202 | 0.102 |
| 0.662 | 3.871 | 3.585 | 3.303 | 3.180 | 2.818 | |
| 1.173 | 5.097 | 4.771 | 4.442 | 4.305 | 3.961 | |
| 1.333 | 5.441 | 5.095 | 4.746 | 4.621 | 4.252 | |
| MFP, cm | 0.060 | 1.072 | 0.336 | 0.187 | 0.291 | 0.147 |
| 0.662 | 5.585 | 5.172 | 4.765 | 4.587 | 4.065 | |
| 1.173 | 7.354 | 6.883 | 6.408 | 6.211 | 5.714 | |
| 1.333 | 7.849 | 7.350 | 6.847 | 6.667 | 6.135 | |
| TVL, cm | 0.060 | 2.469 | 0.773 | 0.430 | 0.670 | 0.338 |
| 0.662 | 12.861 | 11.909 | 10.971 | 10.562 | 9.360 | |
| 1.173 | 16.933 | 15.848 | 14.754 | 14.302 | 13.158 | |
| 1.333 | 18.073 | 16.924 | 15.766 | 15.351 | 14.126 | |
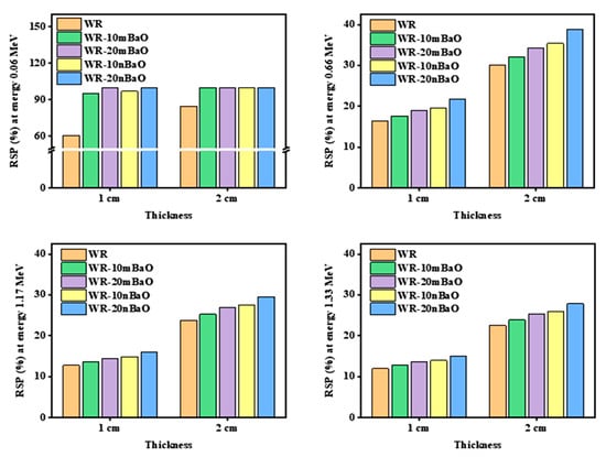
| RSE, % (2 cm Thick) | 0.060 | 84.509 | 99.742 | 99.998 | 99.896 | 100.000 |
| 0.662 | 30.098 | 32.070 | 34.280 | 35.338 | 38.860 | |
| 1.173 | 23.812 | 25.218 | 26.811 | 27.530 | 29.531 | |
| 1.333 | 22.493 | 23.822 | 25.330 | 25.918 | 27.819 |
| Attenuation Parameter | LAC, cm−1 | HVL, cm | |||||||
|---|---|---|---|---|---|---|---|---|---|
| Energy | 0.060 MeV | 0.662 MeV | 1.173 MeV | 1.333 MeV | 0.060 MeV | 0.662 MeV | 1.173 MeV | 1.333 MeV | |
| Epoxy-included red clay [26] | ERB20 | 2.058 | 0.158 | 0.115 | 0.105 | 0.337 | 4.385 | 6.018 | 6.572 |
| ERB30 | 2.966 | 0.174 | 0.123 | 0.113 | 0.234 | 3.988 | 5.623 | 6.161 | |
| Polyester-included waste marble [27] | Marb−4 | 3.1727 | 0.1889 | 0.1369 | 0.1277 | 0.218 | 3.670 | 5.064 | 5.427 |
| Marb−5 | 3.2564 | 0.1876 | 0.1367 | 0.1276 | 0.213 | 3.694 | 5.070 | 5.431 | |
| Concrete-included red mud and CRT [28] | COM−4 | 0.9685 | 0.1966 | 0.1486 | 0.1392 | 0.716 | 3.525 | 4.665 | 4.980 |
| COM−5 | 1.0624 | 0.2010 | 0.1516 | 0.1420 | 0.652 | 3.448 | 4.571 | 4.881 | |
| Present work | WR-20mBaO | 5.350 | 0.210 | 0.156 | 0.146 | 0.130 | 3.303 | 4.442 | 4.746 |
| WR-20nBaO | 6.822 | 0.246 | 0.175 | 0.163 | 0.102 | 2.818 | 3.961 | 4.252 | |
Disclaimer/Publisher’s Note: The statements, opinions and data contained in all publications are solely those of the individual author(s) and contributor(s) and not of MDPI and/or the editor(s). MDPI and/or the editor(s) disclaim responsibility for any injury to people or property resulting from any ideas, methods, instructions or products referred to in the content. |
© 2023 by the authors. Licensee MDPI, Basel, Switzerland. This article is an open access article distributed under the terms and conditions of the Creative Commons Attribution (CC BY) license (https://creativecommons.org/licenses/by/4.0/).
Share and Cite
Aloraini, D.A.; Elsafi, M.; Almuqrin, A.H.; Yasmin, S.; Sayyed, M.I. Synergistic Effect in Ionizing Radiation Shielding with Recent Tile Composites Blended with Marble Dust and BaO Micro/Nanoparticles. Crystals 2023, 13, 1057. https://doi.org/10.3390/cryst13071057
Aloraini DA, Elsafi M, Almuqrin AH, Yasmin S, Sayyed MI. Synergistic Effect in Ionizing Radiation Shielding with Recent Tile Composites Blended with Marble Dust and BaO Micro/Nanoparticles. Crystals. 2023; 13(7):1057. https://doi.org/10.3390/cryst13071057
Chicago/Turabian StyleAloraini, Dalal A., Mohamed Elsafi, Aljawhara H. Almuqrin, Sabina Yasmin, and M. I. Sayyed. 2023. "Synergistic Effect in Ionizing Radiation Shielding with Recent Tile Composites Blended with Marble Dust and BaO Micro/Nanoparticles" Crystals 13, no. 7: 1057. https://doi.org/10.3390/cryst13071057
APA StyleAloraini, D. A., Elsafi, M., Almuqrin, A. H., Yasmin, S., & Sayyed, M. I. (2023). Synergistic Effect in Ionizing Radiation Shielding with Recent Tile Composites Blended with Marble Dust and BaO Micro/Nanoparticles. Crystals, 13(7), 1057. https://doi.org/10.3390/cryst13071057

