The Influence of BaTiO3 Content on the Energy Storage Properties of Bi0.5Na0.5TiO3-Bi(Mg2/3Nb1/3)O3 Lead-Free Ceramics
Abstract
:1. Introduction
2. Materials and Methods
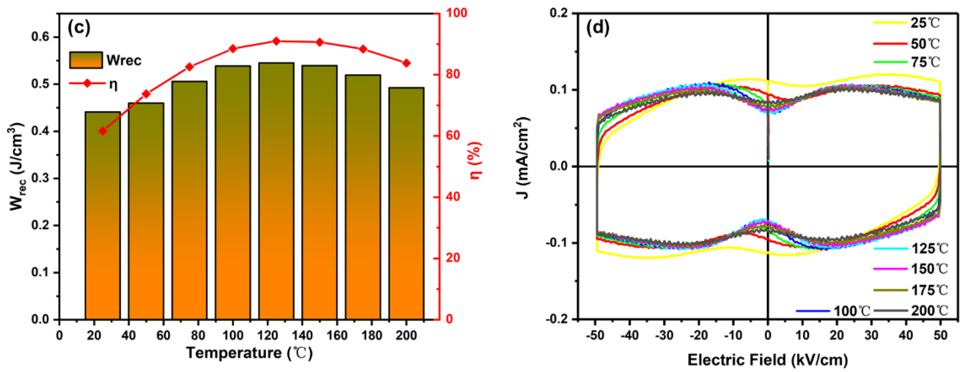
3. Results
4. Conclusions
Author Contributions
Funding
Data Availability Statement
Conflicts of Interest
References
- Qiao, X.; Wu, D.; Zhang, F.; Niu, M.; Chen, B.; Zhao, X.; Liang, P.; Wei, L.; Chao, X.; Yang, Z. Enhanced energy density and thermal stability in relaxor ferroelectric Bi0.5Na0.5TiO3-Sr0.7Bi0.2TiO3 ceramics. J. Eur. Ceram. Soc. 2019, 39, 4778–4784. [Google Scholar] [CrossRef]
- Sun, N.; Li, Y.; Liu, X.; Hao, X. High energy-storage density under low electric field in lead-free relaxor ferroelectric film based on synergistic effect of multiple polar structures. J. Power Sources 2020, 448, 227457. [Google Scholar] [CrossRef]
- Zhang, L.; Wang, Z.; Li, Y.; Chen, P.; Cai, J.; Yan, Y.; Zhou, Y.; Wang, D.; Liu, G. Enhanced energy storage performance in Sn doped Sr0.6(Na0.5Bi0.5)0.4TiO3 lead-free relaxor ferroelectric ceramics. J. Eur. Ceram. Soc. 2019, 39, 3057–3063. [Google Scholar] [CrossRef]
- Qi, H.; Zuo, R. Linear-like lead-free relaxor antiferroelectric (Bi0.5Na0.5)TiO3–NaNbO3 with giant energy-storage density/efficiency and super stability against temperature and frequency. J. Mater. Chem. A 2019, 7, 3971–3978. [Google Scholar] [CrossRef]
- Han, D.; Zhang, B.; Zhao, D.; Zhao, J.; Liu, Y.; Zheng, S.; Fan, L.; Wang, C.; Wang, D.; Meng, F. Superior energy storage properties of (1−x)Ba0.85Ca0.15Zr0.1Ti0.9O3−xBi(Mg2/3Ta1/3)O3 lead-free ceramics. J. Alloy. Compd. 2023, 946, 169300. [Google Scholar] [CrossRef]
- Lu, Z.; Sun, D.; Wang, G.; Zhao, J.; Zhang, B.; Wang, D. Energy storage properties in Nd doped AgNbTaO3 lead-free antiferroelectrics with Nb-site vacancies. J. Adv. Dielectr. 2022, 12, 2242006. [Google Scholar] [CrossRef]
- Zhang, B.; Chen, X.; Pan, Z.; Liu, P.; Mao, M.; Song, K.; Mao, Z.; Sun, R.; Wang, D.; Zhang, S. Superior high-temperature energy density in molecular semiconductor/polymer all-organic composites. Adv. Funct. Mater. 2022, 33, 2210050. [Google Scholar] [CrossRef]
- Hu, D.; Pan, Z.; He, Z.; Yang, F.; Zhang, X.; Li, P.; Liu, J. Significantly improved recoverable energy density and ultrafast discharge rate of Na0.5Bi0.5TiO3-based ceramics. Ceram. Int. 2020, 46, 15364–15371. [Google Scholar] [CrossRef]
- Li, Q.; Wang, J.; Ma, Y.; Ma, L.; Dong, G.; Fan, H. Enhanced energy-storage performance and dielectric characterization of 0.94Bi0.5Na0.5TiO3–0.06BaTiO3 modified by CaZrO3. J. Alloy. Compd. 2016, 663, 701–707. [Google Scholar] [CrossRef]
- Jiang, Z.; Yang, Z.; Yuan, Y.; Tang, B.; Zhang, S. High energy storage properties and dielectric temperature stability of (1−x)(0.8Bi0.5Na0.5TiO3-0.2Ba0.3Sr0.7TiO3)−xNaNbO3 lead-free ceramics. J. Alloy. Compd. 2021, 851, 156821. [Google Scholar] [CrossRef]
- Yang, Y.; Wang, H.; Bi, L.; Zheng, Q.; Fan, G.; Jie, W.; Lin, D. High energy storage density and discharging efficiency in La3+/Nb5+-co-substituted (Bi0.5Na0.5)0.94Ba0.06TiO3 ceramics. J. Eur. Ceram. Soc. 2019, 39, 3051–3056. [Google Scholar] [CrossRef]
- Li, Q.; Yao, Z.; Ning, L.; Gao, S.; Hu, B.; Dong, G.; Fan, H. Enhanced energy-storage properties of (1−x)(0.7Bi0.5Na0.5TiO3-0.3Bi0.2Sr0.7TiO3)-xNaNbO3 lead-free ceramics. Ceram. Int. 2018, 44, 2782–2788. [Google Scholar] [CrossRef]
- Chen, P.; Li, P.; Zhai, J.; Shen, B.; Li, F.; Wu, S. Enhanced dielectric and energy-storage properties in BiFeO3-modified Bi0.5(Na0.8K0.2)0.5TiO3 thin films. Ceram. Int. 2017, 43, 13371–13376. [Google Scholar] [CrossRef]
- Bai, W.; Wang, L.; Zhao, X.; Zheng, P.; Wen, F.; Li, L.; Zhai, J.; Ji, Z. Tailoring frequency-insensitive large field-induced strain and energy storage properties in (Ba0.85Ca0.15)(Zr0.1Ti0.9)O3-modified (Bi0.5Na0.5)TiO3 lead-free ceramics. Dalton Trans. 2019, 48, 10160–10173. [Google Scholar] [CrossRef]
- Dong, G.; Fan, H.; Liu, H.; Jia, Y. Enhanced temperature stable dielectric property and energy-storage performance of (1−x)(0.66Bi0.5Na0.5TiO3–0.34Sr0.7Bi0.2TiO3)– xK0.5Nd0.5TiO3 lead-free relaxor electroceramics. Ceram. Int. 2020, 46, 23194–23199. [Google Scholar] [CrossRef]
- Fan, X.; Li, P.; Du, J.; Chen, C.; Fu, P.; Hao, J.; Yue, Z.; Li, W. High-energy storage performance of (1−x)[0.935(Bi0.5Na0.5)TiO3–0.065BaTiO3]–xBa(Zr0.3Ti0.7)O3 ceramics with wide temperature range. J. Mater. Sci. Mater. Electron. 2020, 31, 9974–9981. [Google Scholar] [CrossRef]
- Zhou, X.; Qi, H.; Yan, Z.; Xue, G.; Luo, H.; Zhang, D. Large energy density with excellent stability in fine-grained (Bi0.5Na0.5)TiO3-based lead-free ceramics. J. Eur. Ceram. Soc. 2019, 39, 4053–4059. [Google Scholar] [CrossRef]
- Zhao, Y.; Xu, J.; Zhou, C.; Yuan, C.; Li, Q.; Chen, G.; Wang, H.; Yang, L. High energy storage properties and dielectric behavior of (Bi0.5Na0.5)0.94Ba0.06Ti1−x(Al0.5Nb0.5)xO3 lead-free ferroelectric ceramics. Ceram. Int. 2016, 42, 2221–2226. [Google Scholar] [CrossRef]
- Yan, F.; Huang, K.; Jiang, T.; Zhou, X.; Shi, Y.; Ge, G.; Shen, B.; Zhai, J. Significantly enhanced energy storage density and efficiency of BNT-based perovskite ceramics via A-site defect engineering. Energy Storage Mater. 2020, 30, 392–400. [Google Scholar] [CrossRef]
- Huang, Y.; Li, F.; Hao, H.; Xia, F.; Liu, H.; Zhang, S. (Bi0.51Na0.47)TiO3 based lead free ceramics with high energy density and efficiency. J. Materiomics 2019, 5, 385–393. [Google Scholar] [CrossRef]
- Chandrasekhar, M.; Kumar, P. Synthesis and characterizations of BNT–BT and BNT–BT–KNN ceramics for actuator and energy storage applications. Ceram. Int. 2015, 41, 5574–5580. [Google Scholar] [CrossRef]
- Xu, Q.; Li, T.; Hao, H.; Zhang, S.; Wang, Z.; Cao, M.; Yao, Z.; Liu, H. Enhanced energy storage properties of NaNbO3 modified Bi0.5Na0.5TiO3 based ceramics. J. Eur. Ceram. Soc. 2015, 35, 545–553. [Google Scholar] [CrossRef]
- Wang, B.; Luo, L.; Jiang, X.; Li, W.; Chen, H. Energy-storage properties of (1−x)Bi0.47Na0.47Ba0.06TiO3–xKNbO3 lead-free ceramics. J. Alloy. Compd. 2014, 585, 14–18. [Google Scholar] [CrossRef]
- Wang, J.; Fan, H.; Hu, B.; Jiang, H. Enhanced energy-storage performance and temperature-stable dielectric properties of (1−x)(0.94Na0.5Bi0.5TiO3–0.06BaTiO3)–xNa0.73Bi0.09NbO3 ceramics. J. Mater. Sci. Mater. Electron. 2018, 30, 2479–2488. [Google Scholar] [CrossRef]
- Yan, B.; Fan, H.; Wang, C.; Zhang, M.; Yadav, A.; Zheng, X.; Wang, H.; Du, Z. Giant electro-strain and enhanced energy storage performance of (Y0.5Ta0.5)4+ co-doped 0.94(Bi0.5Na0.5)TiO3-0.06BaTiO3 lead-free ceramics. Ceram. Int. 2020, 46, 281–288. [Google Scholar] [CrossRef]
- Li, Z.; Wang, Z.; Yang, Q.; Zhang, D.; Fang, M.; Li, Z.; Gao, B.; Zhang, J.; Lei, N.; Zheng, L.; et al. Phase transition and energy storage properties of Bi0.5Na0.5TiO3–Bi(Mg2/3Nb1/3)O3 lead-free ceramics. Ceram. Int. 2023, 49, 9615–9621. [Google Scholar] [CrossRef]
- Li, Z.; Yang, Q.; Wang, C.; Zhang, J.; Wang, Z.; Gao, B.; Li, Z.; Wang, Z.; Yan, X.; Ai, T.; et al. A Brief Review of Sodium Bismuth Titanate-Based Lead-Free Materials for Energy Storage: Solid Solution Modification, Metal/Metallic Oxide Doping, Defect Engineering and Process Optimizing. Crystals 2023, 13, 295. [Google Scholar] [CrossRef]
- Li, H.; Zhou, S.; Zhao, J.; Yan, T.; Du, Y.; Zhou, H.; Pu, Y.; Wang, D. Dielectric temperature stability and energy storage performance of NBT-based lead-free ceramics for Y9P capacitors. J. Adv. Dielectr. 2022, 12, 2242007. [Google Scholar] [CrossRef]
- Tihtih, M.; Ibrahim, J.; Basyooni, M.; Kurovics, E.; Belaid, W.; Hussainova, I.; Kocserha, I. Role of A-site (Sr), B-site (Y), and A, B sites (Sr, Y) substitution in lead-free BaTiO3 ceramic compounds: Structural, optical, microstructure, mechanical, and thermal conductivity properties. Ceram. Int. 2023, 49, 1947–1959. [Google Scholar] [CrossRef]
- Tihtih, M.; Ibrahim, J.; Basyooni, M.; En-nadir, R.; Hussainova, I.; Kocserha, I. Functionality and Activity of Sol-Gel-Prepared Co and Fe co-Doped Lead-Free BTO for Thermo-Optical Applications. ACS Omega 2023, 8, 5003–5016. [Google Scholar] [CrossRef]
- Long, C.; Zhou, W.; Liu, L.; Song, H.; Wu, H.; Zheng, K.; Ren, W.; Ding, X. Achieving excellent energy storage performances and eminent charging-discharging capability in donor (1−x)BT-x(BZN-Nb) relaxor ferroelectric ceramics. Chem. Eng. J. 2023, 459, 141490. [Google Scholar] [CrossRef]
- Tang, W.; Xu, Q.; Liu, H.; Yao, Z.; Hao, H.; Cao, M. High energy density dielectrics in lead-free Bi0.5Na0.5TiO3–NaNbO3–Ba(Zr0.2Ti0.8)O3 ternary system with wide operating temperature. J. Mater. Sci. Mater. Electron. 2016, 27, 6526–6534. [Google Scholar] [CrossRef]
- Zhang, L.; Pu, Y.; Chen, M. Ultra-high energy storage performance under low electric fields in Na0.5Bi0.5TiO3-based relaxor ferroelectrics for pulse capacitor applications. Ceram. Int. 2020, 46, 98–105. [Google Scholar] [CrossRef]
- Wu, Y.; Fan, Y.; Liu, N.; Peng, P.; Zhou, M.; Yan, S.; Cao, F.; Dong, X.; Wang, G. Enhanced energy storage properties in sodium bismuth titanate-based ceramics for dielectric capacitor applications. J. Mater. Chem. C 2019, 7, 6222–6230. [Google Scholar] [CrossRef]
- Wang, H.; Yuan, H.; Li, X.; Zeng, F.; Wu, K.; Zheng, Q.; Fan, G.; Lin, D. Enhanced energy density and discharged efficiency of lead-free relaxor (1−x)[(Bi0.5Na0.5)0.94Ba0.06]0.98La0.02TiO3-xKNb0.6Ta0.4O3 ceramic capacitors. Chem. Eng. J. 2020, 394, 124879. [Google Scholar] [CrossRef]
- Zhang, L.; Pu, Y.; Chen, M. Influence of BaZrO3 additive on the energy-storage properties of 0.775Na0.5Bi0.5TiO3-0.225BaSnO3 relaxor ferroelectrics. J. Alloy. Compd. 2019, 775, 342–347. [Google Scholar] [CrossRef]
- Qiao, X.; Zhang, F.; Wu, D.; Chen, B.; Zhao, X.; Peng, Z.; Ren, X.; Liang, P.; Chao, X.; Yang, Z. Superior comprehensive energy storage properties in Bi0.5Na0.5TiO3-based relaxor ferroelectric ceramics. Chem. Eng. J. 2020, 388, 124158. [Google Scholar] [CrossRef]
- Shi, P.; Zhu, L.; Gao, W.; Yu, Z.; Lou, X.; Wang, X.; Yang, Z.; Yang, S. Large energy storage properties of lead-free (1−x)(0.72Bi0.5Na0.5TiO3-0.28SrTiO3)-xBiAlO3 ceramics at broad temperature range. J. Alloy. Compd. 2019, 784, 788–793. [Google Scholar] [CrossRef]
- Zhang, J.; Lin, Y.; Wang, L.; Yang, Y.; Yang, H.; Yuan, Q. Significantly enhanced energy storage density in sodium bismuth titanate-based ferroelectrics under low electric fields. J. Eur. Ceram. Soc. 2020, 40, 5458–5465. [Google Scholar] [CrossRef]
- Xu, Q.; Liu, H.; Xie, J.; Zhang, L.; Luo, W.; Huang, X.; Cao, M.; Hao, H.; Yao, Z.; Lanagan, M. High-Temperature Dielectrics in BNT-BT-Based Solid Solution. IEEE Trans. Ultrason. Ferroelectr. Freq. Control 2016, 63, 1656–1662. [Google Scholar] [CrossRef]
- Yao, Y.; Li, Y.; Sun, N.; Du, J.; Li, X.; Zhang, L.; Zhang, Q.; Hao, X. Enhanced dielectric and energy-storage properties in ZnO-doped 0.9(0.94Na0.5Bi0.5TiO3−0.06BaTiO3)−0.1NaNbO3 ceramics. Ceram. Int. 2018, 44, 5961–5966. [Google Scholar] [CrossRef]
- Zhao, X.; Bai, W.; Ding, Y.; Wang, L.; Wu, S.; Zheng, P.; Li, P.; Zhai, J. Tailoring high energy density with superior stability under low electric field in novel (Bi0.5Na0.5)TiO3-based relaxor ferroelectric ceramics. J. Eur. Ceram. Soc. 2020, 40, 4475–4486. [Google Scholar] [CrossRef]
- Yang, L.; Kong, X.; Li, F.; Hao, H.; Cheng, Z.; Liu, H.; Li, J.; Zhang, S. Perovskite lead-free dielectrics for energy storage applications. Prog. Mater Sci. 2019, 102, 72–108. [Google Scholar]
- Zhu, Z.; Luo, L.; Wang, F.; Du, P.; Zhou, X.; Zhang, Q.; Li, W.; Wang, Y. Improved Depolarization Temperature via the Ordered Alignment of Defect Dipoles in (Na0.5Bi0.5)TiO3-BaTiO3 Ceramics. J. Eur. Ceram. Soc. 2020, 40, 689–698. [Google Scholar] [CrossRef]
- Zhang, X.; Hu, D.; Pan, Z.; Lv, X.; He, Z.; Yang, F.; Li, P.; Liu, J.; Zhai, J. Enhancement of Recoverable Energy Density and Efficiency of Lead-free Relaxor-ferroelectric BNT-based Ceramics. Chem. Eng. J. 2021, 406, 126818. [Google Scholar] [CrossRef]
- Liu, Z.; Dong, X.; Liu, Y.; Cao, F.; Wang, G. Electric field tunable thermal stability of energy storage properties of PLZST antiferroelectric ceramics. J. Am. Ceram. Soc. 2017, 100, 2382–2386. [Google Scholar] [CrossRef]










| Compositions | The Relative Content (%) | a = b (Å) | c (Å) | Rwp(%) | Rp(%) | χ2 |
|---|---|---|---|---|---|---|
| x = 0.03 | R3c: 42.23% | 5.516 | 13.551 | 7.40% | 5.92% | 1.682 |
| P4bm: 57.77% | 5.519 | 3.903 | ||||
| x = 0.05 | R3c: 46.51% | 5.526 | 13.537 | 6.49% | 5.51% | 1.401 |
| P4bm: 53.49% | 5.526 | 3.910 | ||||
| x = 0.07 | R3c: 50.07% | 5.533 | 13.554 | 6.48% | 5.18% | 1.553 |
| P4bm: 49.93% | 5.554 | 3.915 |
Disclaimer/Publisher’s Note: The statements, opinions and data contained in all publications are solely those of the individual author(s) and contributor(s) and not of MDPI and/or the editor(s). MDPI and/or the editor(s) disclaim responsibility for any injury to people or property resulting from any ideas, methods, instructions or products referred to in the content. |
© 2023 by the authors. Licensee MDPI, Basel, Switzerland. This article is an open access article distributed under the terms and conditions of the Creative Commons Attribution (CC BY) license (https://creativecommons.org/licenses/by/4.0/).
Share and Cite
Li, Z.; Zhang, D.; Wang, C.; Zhang, J.; Wang, Z.; Wang, Z.; Yan, X.; Ai, T.; Wang, D.; Lu, Z.; et al. The Influence of BaTiO3 Content on the Energy Storage Properties of Bi0.5Na0.5TiO3-Bi(Mg2/3Nb1/3)O3 Lead-Free Ceramics. Crystals 2023, 13, 733. https://doi.org/10.3390/cryst13050733
Li Z, Zhang D, Wang C, Zhang J, Wang Z, Wang Z, Yan X, Ai T, Wang D, Lu Z, et al. The Influence of BaTiO3 Content on the Energy Storage Properties of Bi0.5Na0.5TiO3-Bi(Mg2/3Nb1/3)O3 Lead-Free Ceramics. Crystals. 2023; 13(5):733. https://doi.org/10.3390/cryst13050733
Chicago/Turabian StyleLi, Zhuo, Dandan Zhang, Chenbo Wang, Jiayong Zhang, Zixuan Wang, Zhuo Wang, Xin Yan, Tao Ai, Dawei Wang, Zhilun Lu, and et al. 2023. "The Influence of BaTiO3 Content on the Energy Storage Properties of Bi0.5Na0.5TiO3-Bi(Mg2/3Nb1/3)O3 Lead-Free Ceramics" Crystals 13, no. 5: 733. https://doi.org/10.3390/cryst13050733
APA StyleLi, Z., Zhang, D., Wang, C., Zhang, J., Wang, Z., Wang, Z., Yan, X., Ai, T., Wang, D., Lu, Z., & Niu, Y. (2023). The Influence of BaTiO3 Content on the Energy Storage Properties of Bi0.5Na0.5TiO3-Bi(Mg2/3Nb1/3)O3 Lead-Free Ceramics. Crystals, 13(5), 733. https://doi.org/10.3390/cryst13050733

