Optimization of Bulk Heterojunction Photovoltaic Structures with Heterocyclic Derivatives
Abstract
1. Introduction
2. Materials and Methods
2.1. Materials
2.2. Synthesis of PQX Derivatives
2.3. OPV Technology
2.4. Characterization and Optimization
3. Results and Discussion
3.1. Photophysical Properties of Isomers PQX1–4
3.2. Photovoltaic Cells
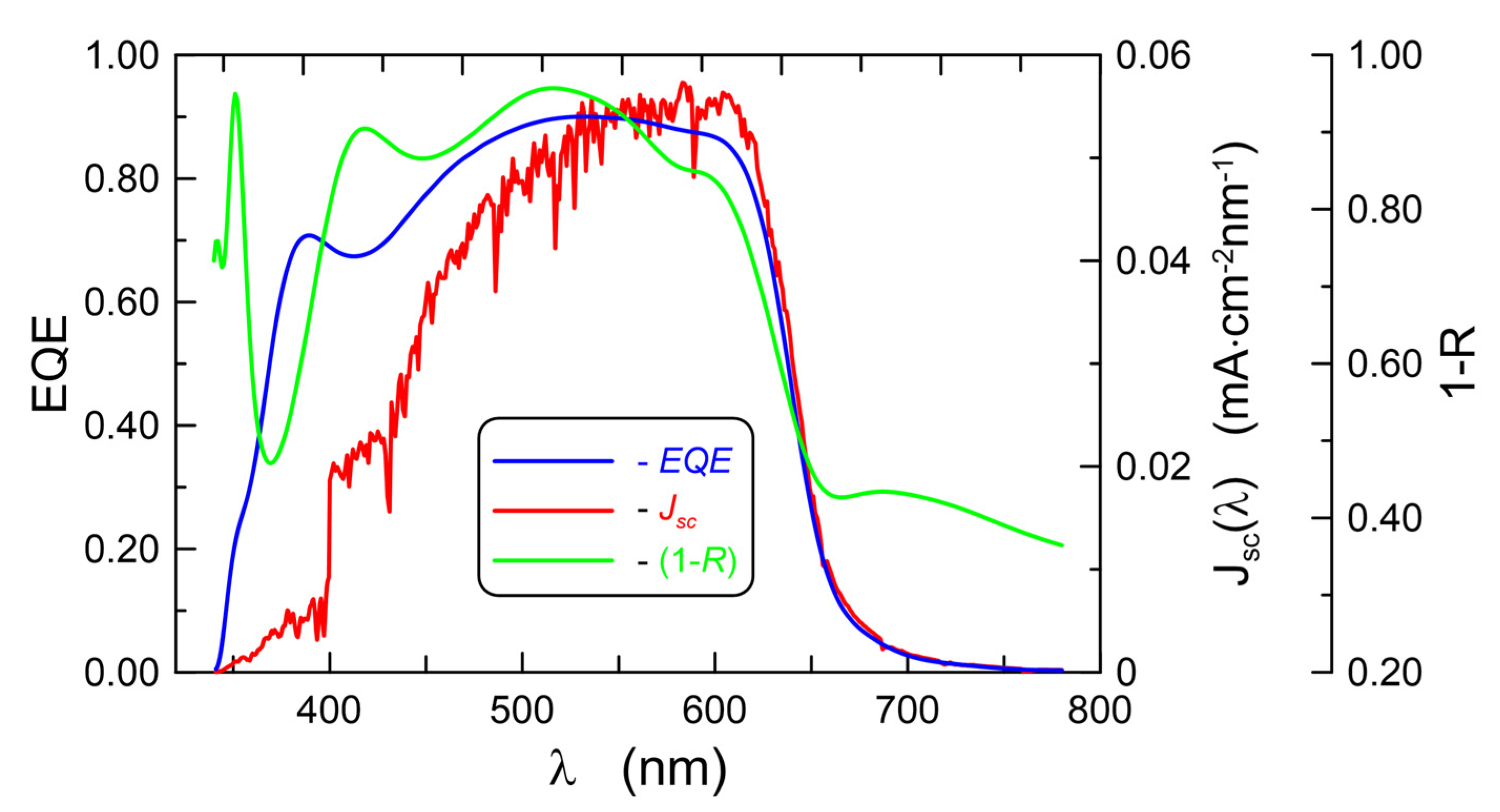
3.3. Optimization of Photovoltaic Cells
4. Conclusions
Author Contributions
Funding
Data Availability Statement
Conflicts of Interest
References
- Spyridonidou, S.; Vagiona, D.G. A systematic review of site-selection procedures of PV and CSP technologies. Energy Rep. 2023, 9, 2947–2979. [Google Scholar] [CrossRef]
- Shukla, A.; Kumar, D.; Girdhar, M.; Kumar, A.; Goyal, A.; Malik, T.; Mohan, A. Strategies of pretreatment of feedstocks for optimized bioethanol production: Distinct and integrated approaches. Biotechnol. Biofuels Bioprod. 2023, 16, 44. [Google Scholar] [CrossRef]
- Tang, D.; Tan, G.-L.; Li, G.-W.; Liang, J.-G.; Ahmad, S.M.; Bahadur, A.; Humayun, M.; Ullah, H.; Khan, A.; Bououdina, M. State-of-the-art hydrogen generation techniques and storage methods: A critical review. J. Energy Storage 2023, 64, 107196. [Google Scholar] [CrossRef]
- Sharmin, T.; Khan, N.R.; Akram, S.; Ehsan, M.M. A State-of-the-art Review on for Geothermal Energy Extraction, Utilization, and Improvement Strategies: Conventional, Hybridized, and Enhanced Geothermal Systems. Int. J. Thermofluids 2023, 18, 100323. [Google Scholar] [CrossRef]
- Parimala, P.V.S.S.A.; Sharma, D.; Mathew, R. A comprehensive review on the advances in renewable wind power technology. Wind. Eng. 2022, 47, 442–463. [Google Scholar] [CrossRef]
- Guangul, F.M.; Chala, G.T. Solar Energy as Renewable Energy Source: SWOT Analysis. In Proceedings of the 2019 4th MEC International Conference on Big Data and Smart City (ICBDSC), Muscat, Oman, 15–16 January 2019. [Google Scholar] [CrossRef]
- Copeland, A.W.; Black, O.D.; Garrett, A.B. The Photovoltaic Effect. Available online: https://pubs.acs.org/doi/pdf/10.1021/cr60098a004?casa_token=FXdIrLNw43AAAAAA:KLqu8rpbtMa80f0TqDZtP_JKfadEaFLm_KRxW-URUhLSrRnLnQPCfNhLRKfpCk1OXzF06MkQ70HUW4s (accessed on 13 March 2023).
- Kabir, E.; Kumar, P.; Kumar, S.; Adelodun, A.A.; Kim, K.-H. Solar energy: Potential and future prospects. Renew. Sustain. Energy Rev. 2018, 82, 894–900. [Google Scholar] [CrossRef]
- Wu, X.; Gao, C.; Chen, Q.; Yan, Y.; Zhang, G.; Guo, T.; Chen, H. High-performance vertical field-effect organic photovoltaics. Nat. Commun. 2023, 14, 1579. [Google Scholar] [CrossRef] [PubMed]
- Aboulouard, A.; Demir, N.; Can, M.; El Idrissi, M. Electronic and optical aspects of novel quinoxaline derivatives as electron donor materials for bulk heterojunction solar cells. J. Mol. Graph. Model. 2023, 121, 108462. [Google Scholar] [CrossRef]
- Jiang, J.-M.; Raghunath, P.; Lin, H.-K.; Lin, Y.-C.; Lin, M.C.; Wei, K.-H. Location and Number of Selenium Atoms in Two-Dimensional Conjugated Polymers Affect Their Band-Gap Energies and Photovoltaic Performance. Macromolecules 2014, 47, 7070–7080. [Google Scholar] [CrossRef]
- Lin, Y.-C.; Chen, C.-H.; Lin, H.; Li, M.-H.; Chang, B.; Hsueh, T.-F.; Tsai, B.-S.; Yang, Y.; Wei, K.-H. Binary alloy of functionalized small-molecule acceptors with the A–DA′D–A structure for ternary-blend photovoltaics displaying high open-circuit voltages and efficiencies. J. Mater. Chem. A 2022, 10, 23037–23046. [Google Scholar] [CrossRef]
- Amariucai-Mantu, D.; Mangalagiu, V.; Danac, R.; Mangalagiu, I.I. Microwave Assisted Reactions of Azaheterocycles Formedicinal Chemistry Applications. Molecules 2020, 25, 716. [Google Scholar] [CrossRef]
- Zbancioc, G.; Mangalagiu, I.I.; Moldoveanu, C. A Review on the Synthesis of Fluorescent Five- and Six-Membered Ring Azaheterocycles. Molecules 2022, 27, 6321. [Google Scholar] [CrossRef]
- Lee, S.Y.; Cho, Y.J.; Kwon, H.J.; Kim, B.O.; Kim, S.M.; Yoon, S.S. Novel Organic Electroluminescent Compounds and Organic Electroluminescent Device Using the Same; WO 2011/019156; World Intellectual Property Organization: Geneva, Switzerland, 2011. [Google Scholar]
- Gąsiorski, P.; Matusiewicz, M.; Gondek, E.; Pokladko-Kowar, M.; Armatys, P.; Wojtasik, K.; Danel, A.; Uchacz, T.; Kityk, A. Efficient green electroluminescence from 1,3-diphenyl-1H-pyrazolo[3,4-b]quinoxaline dyes in dye-doped polymer based electroluminescent devices. Dye. Pigment. 2018, 151, 380–384. [Google Scholar] [CrossRef]
- Verbitskiy, E.V.; Rusinov, G.L.; Chupakhin, O.N.; Charushin, V.N. Design of fluorescent sensors based on azaheterocyclic push-pull systems towards nitroaromatic explosives and related compounds: A review. Dye. Pigment. 2020, 180, 108414. [Google Scholar] [CrossRef]
- Lee, C.-P.; Lin, R.Y.-Y.; Lin, L.-Y.; Li, C.-T.; Chu, T.-C.; Sun, S.-S.; Lin, J.T.; Ho, K.-C. Recent progress in organic sensitizers for dye-sensitized solar cells. RSC Adv. 2015, 5, 23810–23825. [Google Scholar] [CrossRef]
- Xu, C.; Zhao, Z.; Yang, K.; Niu, L.; Ma, X.; Zhou, Z.; Zhang, X.; Zhang, F. Recent progress in all-small-molecule organic photovoltaics. J. Mater. Chem. A 2022, 10, 6291–6329. [Google Scholar] [CrossRef]
- Sachs, F.; Becherescu, P. Ueber Ketopyrazolone. II. 1.3-Diphenylpyrazolindion-(4.5). Eur. J. Inorg. Chem. 1903, 36, 1132–1138. [Google Scholar] [CrossRef]
- Danel, A.; Wojtasik, K.; Szlachcic, P.; Gryl, M.; Stadnicka, K. A new regiospecific synthesis method of 1H-pyrazolo[3,4-b]quinoxalines—Potential materials for organic optoelectronic devices, and a revision of an old scheme. Tetrahedron 2017, 73, 5072–5081. [Google Scholar] [CrossRef]
- Uchacz, T.; Wojtasik, K.; Szlachcic, P.; Gondek, E.; Pokladko-Kowar, M.; Danel, A.; Stadnicka, K. The photophysical properties of 1H-pyrazolo[3,4-b]quinoxalines derivatives and their possible optoelectronic application. Opt. Mater. 2018, 80, 87–97. [Google Scholar] [CrossRef]
- Gąsiorski, P.; Matusiewicz, M.; Gondek, E.; Uchacz, T.; Wojtasik, K.; Danel, A.; Shchur, Y.; Kityk, A. Synthesis and spectral properties of halogen methyl-phenyl-pyrazoloquinoxaline fluorescence dyes: Experiment and DFT/TDDFT calculations. J. Lumin. 2018, 198, 370–377. [Google Scholar] [CrossRef]
- Wojtasik, K.; Danel, A. The Synthesis of 1H-Pyrazolo[3,4-b]quinoxaline Derivatives Oriented towards Modification of Carbocyclic Ring in the Parent Skeleton. Chemistryselect 2020, 5, 5521–5525. [Google Scholar] [CrossRef]
- Suckling, P.W. Spatial coherence of solar radiation for regions in the central and eastern united states. Phys. Geogr. 1997, 18, 53–62. [Google Scholar] [CrossRef]
- Gondek, E.; Karasiński, P. High reflectance materials for photovoltaics applications: Analysis and modelling. J. Mater. Sci. Mater. Electron. 2013, 24, 2934–2943. [Google Scholar] [CrossRef]
- Skolik, M. Jedno-i dwuwarstwowe struktury antyrefleksyjne wytwarzane metodą zol-żel do zastosowań w fotoogniwach krzemowych. Przegląd Elektrotechniczny 2017, 1, 75–78. [Google Scholar] [CrossRef]
- Karasiński, P. Sensor properties of planar waveguide structures with grating couplers. Opto-Electron. Rev. 2007, 15, 168–178. [Google Scholar] [CrossRef]
- Gondek, E. Optical optimization of organic solar cell with bulk heterojunction. Opto-Electron. Rev. 2014, 22, 77–85. [Google Scholar] [CrossRef]
- Derkowska-Zielinska, B.; Gondek, E.; Pokladko-Kowar, M.; Kaczmarek-Kedziera, A.; Kysil, A.; Lakshminarayana, G.; Krupka, O. Photovoltaic cells with various azo dyes as components of the active layer. Sol. Energy 2020, 203, 19–24. [Google Scholar] [CrossRef]
- Uchacz, T.; Jajko, G.; Danel, A.; Szlachcic, P.; Zapotoczny, S. Pyrazoline-based colorimetric and fluorescent probe for detection of sulphite. New J. Chem. 2018, 43, 874–883. [Google Scholar] [CrossRef]
- Kotowicz, S.; Kula, S.; Filapek, M.; Szłapa-Kula, A.; Siwy, M.; Janeczek, H.; Małecki, J.G.; Smolarek, K.; Maćkowski, S.; Schab-Balcerzak, E. 2,2-Dicyanovinyl derivatives—Thermal, photophysical, electrochemical and electroluminescence investigations. Mater. Chem. Phys. 2018, 209, 249–261. [Google Scholar] [CrossRef]
- Bernède, J.C. ORGANIC PHOTOVOLTAIC CELLS: HISTORY, PRINCIPLE AND TECHNIQUES. J. Chil. Chem. Soc. 2008, 53, 1549–1564. [Google Scholar] [CrossRef]
- Sabir, S.; Hadia, N.; Iqbal, J.; Mehmood, R.F.; Akram, S.J.; Khan, M.I.; Shawky, A.M.; Raheel, M.; Somaily, H.; Khera, R.A. DFT molecular modeling of A2-D-A1-D-A2 type DF-PCIC based small molecules acceptors for organic photovoltaic cells. Chem. Phys. Lett. 2022, 806, 140026. [Google Scholar] [CrossRef]











| Compound | UV-Vis λmax [nm] (ε [dm3·mol−1·cm−1]) | |||
|---|---|---|---|---|
| ACN | THF | MCHX | Thin Films | |
| PQX1 | 481 (2670) | 485 (2665) | 479 (2730) | 525 |
| PQX2 | 513 (8255) | 512 (10,199) | 485 (8889) 504 (8770) 515 (8165) | 527 |
| PQX3 | 468 (10,215) | 459 (10,911) | 443 (10,625) 457 (8230) 471 (7320) | 492 |
| PQX4 | 476 (3730) | 475 (3691) | 474 (3675) | 516 |
| Photovoltaic Cell | dal [nm] | JSC [μA/cm2] | VOC [V] | FF | η [%] | EQE (λ = 536 nm) |
|---|---|---|---|---|---|---|
| OPV_1 ITO/PEDOT:PSS/P3OT + PQX1/Al | 102.9 ± 1.2 | 16.22 ± 0.02 | 1.01 ± 0.01 | 0.21 ± 0.01 | 0.27 ± 0.02 | 2.9 |
| OPV_2 ITO/PEDOT:PSS/P3OT + PQX2/Al | 101.5 ± 1.1 | 22.43 ± 0.02 | 0.77 ± 0.01 | 0.21 ± 0.01 | 0.28 ± 0.02 | 4.0 |
| OPV_3 ITO/PEDOT:PSS/P3OT + PQX3/Al | 103.1 ± 1.0 | 19.72 ± 0.02 | 0.72 ± 0.01 | 0.23 ± 0.01 | 0.25 ± 0.02 | 3.5 |
| OPV_4 ITO/PEDOT:PSS/P3OT + PQX4/Al | 100.1 ± 1.2 | 28.44 ± 0.02 | 0.80 ± 0.01 | 0.21 ± 0.01 | 0.37 ± 0.02 | 5.1 |
Disclaimer/Publisher’s Note: The statements, opinions and data contained in all publications are solely those of the individual author(s) and contributor(s) and not of MDPI and/or the editor(s). MDPI and/or the editor(s) disclaim responsibility for any injury to people or property resulting from any ideas, methods, instructions or products referred to in the content. |
© 2023 by the authors. Licensee MDPI, Basel, Switzerland. This article is an open access article distributed under the terms and conditions of the Creative Commons Attribution (CC BY) license (https://creativecommons.org/licenses/by/4.0/).
Share and Cite
Wojtasik, K.; Pokladko-Kowar, M.; Gondek, E. Optimization of Bulk Heterojunction Photovoltaic Structures with Heterocyclic Derivatives. Crystals 2023, 13, 734. https://doi.org/10.3390/cryst13050734
Wojtasik K, Pokladko-Kowar M, Gondek E. Optimization of Bulk Heterojunction Photovoltaic Structures with Heterocyclic Derivatives. Crystals. 2023; 13(5):734. https://doi.org/10.3390/cryst13050734
Chicago/Turabian StyleWojtasik, Katarzyna, Monika Pokladko-Kowar, and Ewa Gondek. 2023. "Optimization of Bulk Heterojunction Photovoltaic Structures with Heterocyclic Derivatives" Crystals 13, no. 5: 734. https://doi.org/10.3390/cryst13050734
APA StyleWojtasik, K., Pokladko-Kowar, M., & Gondek, E. (2023). Optimization of Bulk Heterojunction Photovoltaic Structures with Heterocyclic Derivatives. Crystals, 13(5), 734. https://doi.org/10.3390/cryst13050734

