Nonlinear Seepage Behaviors of Pore-Fracture Sandstone under Hydro-Mechanical Coupling
Abstract
:1. Introduction
2. Theoretical Background
2.1. Linear Darcy’s Law
2.2. Nonlinear Flow Law
2.3. Reynolds Number and Forchheimer’ Coefficient
3. Experimental Methodology
3.1. Sample Preparation
3.2. Test Plan and Process
4. Analysis and Discussion of Test Results
4.1. Analysis of Nonlinear Seepage Behaviors
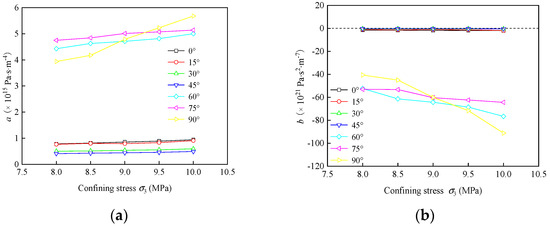
4.2. Expressions of Forchheimer’s Coefficients
4.3. Effective Methods for Evaluating the Applicability of Darcy’s Law
4.3.1. Normalized Hydraulic-Conductivity Method
4.3.2. Pressure Gradient Ratio Method
4.3.3. Discharge Ratio Method
4.4. Seepage Characteristics
5. Conclusions
Author Contributions
Funding
Institutional Review Board Statement
Informed Consent Statement
Data Availability Statement
Conflicts of Interest
References
- Bear, J. Dynamics of Fluids in Porous Media; Elsevier: New York, NY, USA, 1972. [Google Scholar]
- Brush, D.J.; Thomson, N.R. Fluid flow in synthetic rough-walled fractures: Navier-Stokes, Stokes, and local cubic law simulations. Water Resour. Res. 2003, 39, 1085. [Google Scholar] [CrossRef]
- Min, K.B.; Rutqvist, J.; Tsang, C.F.; Jing, L. Stress-dependent permeability of fractured rock masses: A numerical study. Int. J. Rock Mech. Min. Sci. 2004, 41, 1191–1210. [Google Scholar] [CrossRef] [Green Version]
- Tsang, Y.W.; Witherspoon, P.A. Hydromechanical behavior of a deformable rock fracture subject to normal stress. J. Geophys. Res. Solid Earth 1981, 86, 9287–9298. [Google Scholar] [CrossRef] [Green Version]
- Chen, Z.; Narayan, S.P.; Yang, Z.; Rahman, S.S. An experimental investigation of hydraulic behaviour of fractures and joints in granitic rock. Int. J. Rock Mech. Min. Sci. 2000, 37, 1061–1071. [Google Scholar] [CrossRef]
- Nazridoust, K.; Ahmadi, G.; Smith, D.H. A new friction factor correlation for laminar, single-phase flows through rock fractures. J. Hydrol. 2006, 329, 315–328. [Google Scholar] [CrossRef]
- Crandall, D.; Ahmadi, G.; Smith, D.H. Computational Modeling of Fluid Flow through a Fracture in Permeable Rock. Transp. Porous Media 2010, 84, 493–510. [Google Scholar] [CrossRef]
- Yang, Y.; Zhang, D.; Zhang, B.; Ye, C.; Yang, B. Analysis of Strength and permeability of crystalline sandstone under loading-unloading conditions. Energy Sources Part A Recovery Util. Environ. Eff. 2019, 41, 1–12. [Google Scholar] [CrossRef]
- Schrauf, T.W.; Evans, D.D. Laboratory studies of gas flow through a single natural fracture. Water Resour. Res. 1986, 22, 1038–1050. [Google Scholar] [CrossRef]
- Hassanizadeh, S.M.; Gray, W.G. High velocity flow in porous media. Transp. Porous Media 1987, 2, 521–531. [Google Scholar] [CrossRef]
- Ma, H.; Ruth, D.W. The microscopic analysis of high Forchheimer number flow in porous media. Transp. Porous Media 1993, 13, 139–160. [Google Scholar] [CrossRef]
- Zimmerman, R.W.; Bodvarsson, G.S. Hydraulic conductivity of rock fractures. Transp. Porous Media 1996, 23, 1–30. [Google Scholar] [CrossRef] [Green Version]
- Panfilov, M.; Oltean, C.; Panfilova, I.; Buès, M. Singular nature of nonlinear macroscale effects in high-rate flow through porous media. Comptes Rendus Mec. 2003, 331, 41–48. [Google Scholar] [CrossRef]
- Javadi, M.; Sharifzadeh, M.; Shahriar, K.; Mitani, Y. Critical Reynolds number for nonlinear flow through rough-walled fractures: The role of shear processes. Water Resour. Res. 2014, 50, 1789–1804. [Google Scholar] [CrossRef] [Green Version]
- Zimmerman, R.W.; Al-Yaarubi, A.; Pain, C.C.; Grattoni, C.A. Non-linear regimes of fluid flow in rock fractures. Int. J. Rock Mech. Min. Sci. 2004, 41, 163–169. [Google Scholar] [CrossRef]
- Qian, J.; Zhan, H.; Zhao, W.; Sun, F. Experimental study of turbulent unconfined groundwater flow in a single fracture. J. Hydrol. 2005, 311, 134–142. [Google Scholar] [CrossRef]
- Zhang, Z.; Nemcik, J. Fluid flow regimes and nonlinear flow characteristics in deformable rock fractures. J. Hydrol. 2013, 477, 139–151. [Google Scholar] [CrossRef]
- Zhou, J.Q.; Hu, S.H.; Fang, S.; Chen, Y.F.; Zhou, C.B. Nonlinear flow behavior at low Reynolds numbers through rough-walled fractures subjected to normal compressive loading. Int. J. Rock Mech. Min. Sci. 2015, 80, 202–218. [Google Scholar] [CrossRef]
- Zeng, Z.; Grigg, R. A criterion for non-Darcy flow in porous media. Transp. Porous Media 2006, 63, 57–69. [Google Scholar] [CrossRef]
- Sidiropoulou, M.G.; Moutsopoulos, K.N.; Tsihrintzis, V.A. Determination of Forchheimer equation coefficients a and b. Hydrol. Processes 2007, 21, 534–554. [Google Scholar] [CrossRef]
- Moutsopoulos, K.N.; Papaspyros, I.N.E.; Tsihrintzis, V.A. Experimental investigation of inertial flow processes in porous media. J. Hydrol. 2009, 374, 242–254. [Google Scholar] [CrossRef]
- Eck, B.J.; Barrett, M.E.; Charbeneau, R.J. Forchheimer flow in gently sloping layers: Application to drainage of porous asphalt. Water Resour. Res. 2012, 48, W01530. [Google Scholar] [CrossRef] [Green Version]
- Ghane, E.; Fausey, N.R.; Brown, L.C. Non-Darcy flow of water through woodchip media. J. Hydrol. 2014, 519, 3400–3409. [Google Scholar] [CrossRef]
- Ranjith, P.G.; Darlington, W. Nonlinear single-phase flow in real rock joints. Water Resour. Res. 2007, 43, W09502. [Google Scholar] [CrossRef] [Green Version]
- Tzelepis, V.; Moutsopoulos, K.N.; Papaspyros, J.N.E.; Tsihrintzis, V.A. Experimental investigation of flow behavior in smooth and rough artificial fractures. J. Hydrol. 2015, 521, 108–118. [Google Scholar] [CrossRef]
- Chen, Y.F.; Zhou, J.Q.; Hu, S.H.; Hu, R.; Zhou, C.B. Evaluation of Forchheimer equation coefficients for non-Darcy flow in deformable rough-walled fractures. J. Hydrol. 2015, 529, 993–1006. [Google Scholar] [CrossRef]
- Li, W.L.; Zhou, J.Q.; He, X.L.; Chen, Y.F.; Zhou, C.B. Nonlinear flow characteristics of broken granite subjected to confining pressures. Rock Soil Mech. 2017, 2017, 140–150. [Google Scholar]
- Skjetne, E.; Auriault, J.L. New insights on steady, non-linear flow in porous media. Eur. J. Mech. B Fluids 1999, 18, 131–145. [Google Scholar] [CrossRef]
- Cherubini, C.; Giasi, C.I.; Pastore, N. Bench scale laboratory tests to analyze non-linear flow in fractured media. Hydrol. Earth Syst. Sci. 2012, 16, 2511–2522. [Google Scholar] [CrossRef] [Green Version]
- Fancher, G.H.; Lewis, J.A.; Barnes, K.B. Some physical characteristics of oil sands. [porosity, permeability, and screen analysis]. Penn. State Coll. Miner. Ind. Expt. Sta. Bull. 1933, 12. [Google Scholar]
- Louis, C. A study of groundwater flow in jointed rock and its influence of the stability of rock masses. Imp. Coll. Rock Mech. Res. Rep. 1969, 10, 1–90. [Google Scholar]
- Konzuk, J.S.; Kueper, B.H. Evaluation of cubic law based models describing single-phase flow through a rough-walled fracture. Water Resour. Res. 2004, 40, W02402. [Google Scholar] [CrossRef]
- Quinn, P.M.; Parker, B.L.; Cherry, J.A. Using constant head step tests to determine hydraulic apertures in fractured rock. J. Contam. Hydrol. 2011, 126, 85–99. [Google Scholar] [CrossRef] [PubMed]
- Qian, J.; Zhan, H.; Luo, S.; Zhao, W. Experimental evidence of scale-dependent hydraulic conductivity for fully developed turbulent flow in a single fracture. J. Hydrol. 2007, 339, 206–215. [Google Scholar] [CrossRef]
- Wittke, W. Rock Mechanics: Theory and Applications with Case Histories; Springer: Berlin/Heidelberg, Germany, 1990. [Google Scholar]
- Ruth, D.; Ma, H. On the derivation of the Forchheimer equation by means of the averaging theorem. Transp. Porous Media 1992, 7, 255–264. [Google Scholar] [CrossRef]
- Macini, P.; Mesini, E.; Viola, R. Laboratory measurements of non-Darcy flow coefficients in natural and artificial unconsolidated porous media. J. Pet. Sci. Eng. 2011, 77, 365–374. [Google Scholar] [CrossRef]
- Belhaj, H.A.; Aghj, K.R.; Nouri, A.M.; Butt, S.D.; Vaziri, H.H.; Islam, M.R. Numerical and experimental modeling of non-Darcy flow in porous media. In Proceedings of the Society of Petroleum Engineers, SPE Latin America and Caribbean Petroleum Engineering, Port-of-Spain, Trinidad and Tobago, Caribbean, 27–30 April 2003. [Google Scholar]
- Develi, K.; Babadagli, T. Experimental and visual analysis of single-phase flow through rough fracture replicas. Int. J. Rock Mech. Min. Sci. 2015, 73, 139–155. [Google Scholar] [CrossRef]
- Sun, J.L.; Wang, F.; Li, Z.Q.; Ren, D.R.; Yu, M.Y. A new hybrid copula-based nonparametric Bayesian model for risk assessments of water inrush. Qual. Reliab. Eng. Int. 2022. [Google Scholar] [CrossRef]
- Kumar, K.G.; Rahimi-Gorji, M.; Reddy, M.G.; Chamkha, A.J.; Alarifi, I.M. Enhancement of heat transfer in a convergent/divergent channel by using carbon nanotubes in the presence of a Darcy-Forchheimer medium. Microsyst. Technol. 2019, 8, 1–10. [Google Scholar] [CrossRef]
- Rasool, G.; Zhang, T.; Chamkha, A.J.; Shafiq, A.; Tlili, I.; Shahzadi, G. Entropy Generation and Consequences of Binary Chemical Reaction on MHD Darcy-Forchheimer Williamson Nanofluid Flow Over Non-Linearly Stretching Surface. Entropy 2019, 22, 18. [Google Scholar] [CrossRef] [Green Version]















| Mineral | Content | |
|---|---|---|
| Debris | Quartz | 70–75% |
| Feldspar | 4–6% | |
| Rock debris | 10–15% | |
| Interstitial material | Argillaceous | 7–9% |
| Irony | 1% | |
Publisher’s Note: MDPI stays neutral with regard to jurisdictional claims in published maps and institutional affiliations. |
© 2022 by the authors. Licensee MDPI, Basel, Switzerland. This article is an open access article distributed under the terms and conditions of the Creative Commons Attribution (CC BY) license (https://creativecommons.org/licenses/by/4.0/).
Share and Cite
Zhang, Y.; Wu, X.; Guo, Q.; Zhang, Z.; Cai, M. Nonlinear Seepage Behaviors of Pore-Fracture Sandstone under Hydro-Mechanical Coupling. Crystals 2022, 12, 373. https://doi.org/10.3390/cryst12030373
Zhang Y, Wu X, Guo Q, Zhang Z, Cai M. Nonlinear Seepage Behaviors of Pore-Fracture Sandstone under Hydro-Mechanical Coupling. Crystals. 2022; 12(3):373. https://doi.org/10.3390/cryst12030373
Chicago/Turabian StyleZhang, Ying, Xu Wu, Qifeng Guo, Zhaohong Zhang, and Meifeng Cai. 2022. "Nonlinear Seepage Behaviors of Pore-Fracture Sandstone under Hydro-Mechanical Coupling" Crystals 12, no. 3: 373. https://doi.org/10.3390/cryst12030373
APA StyleZhang, Y., Wu, X., Guo, Q., Zhang, Z., & Cai, M. (2022). Nonlinear Seepage Behaviors of Pore-Fracture Sandstone under Hydro-Mechanical Coupling. Crystals, 12(3), 373. https://doi.org/10.3390/cryst12030373

