C-Band Linear Polarization Metasurface Converter with Arbitrary Polarization Rotation Angle Based on Notched Circular Patches
Abstract
1. Introduction
2. General Concept and Metasurface Unit Cell Design
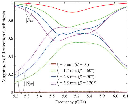
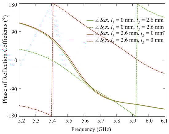
3. Operating Principle Based on Linear-to-Circular Polarization Decomposition and Recombination
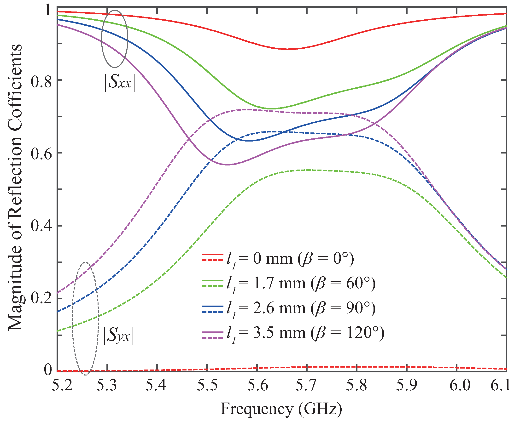
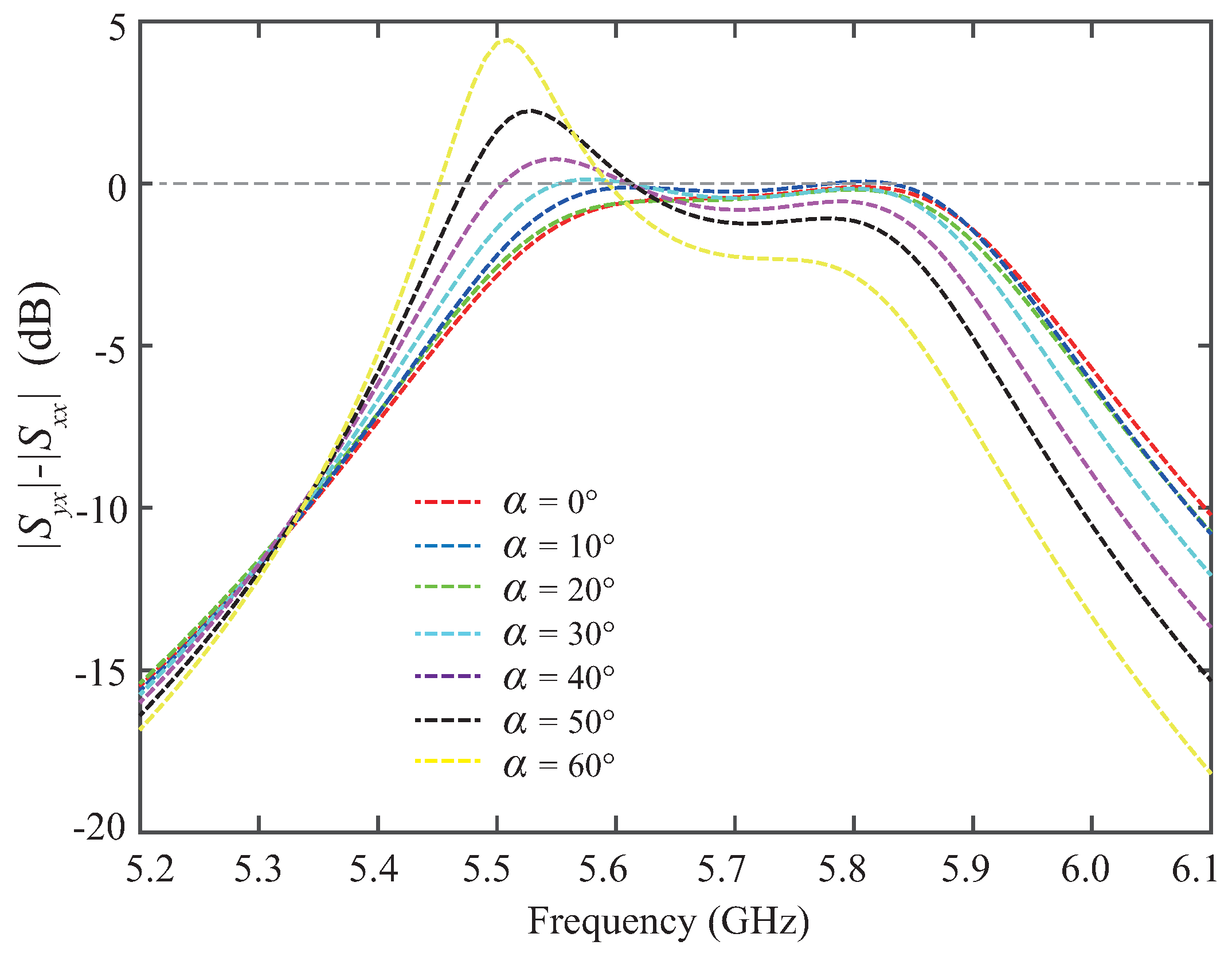
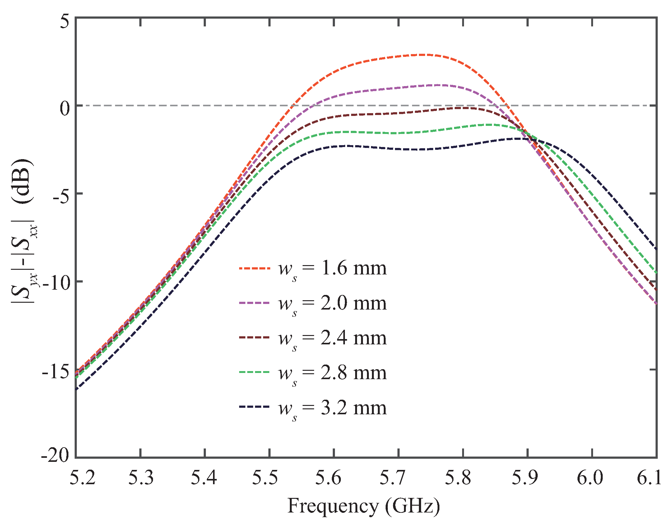
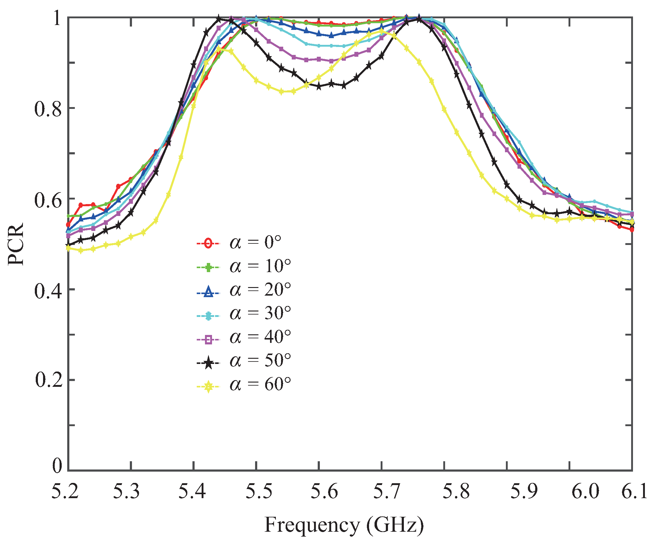
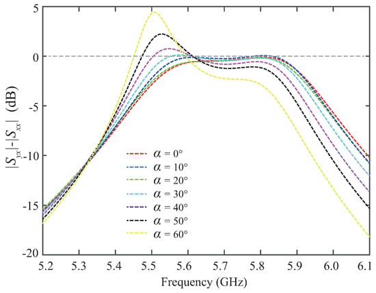
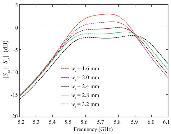
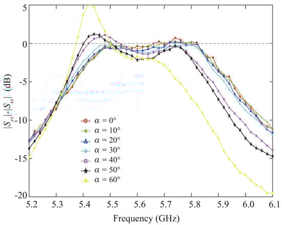
4. Full-Wave Simulation and Analysis
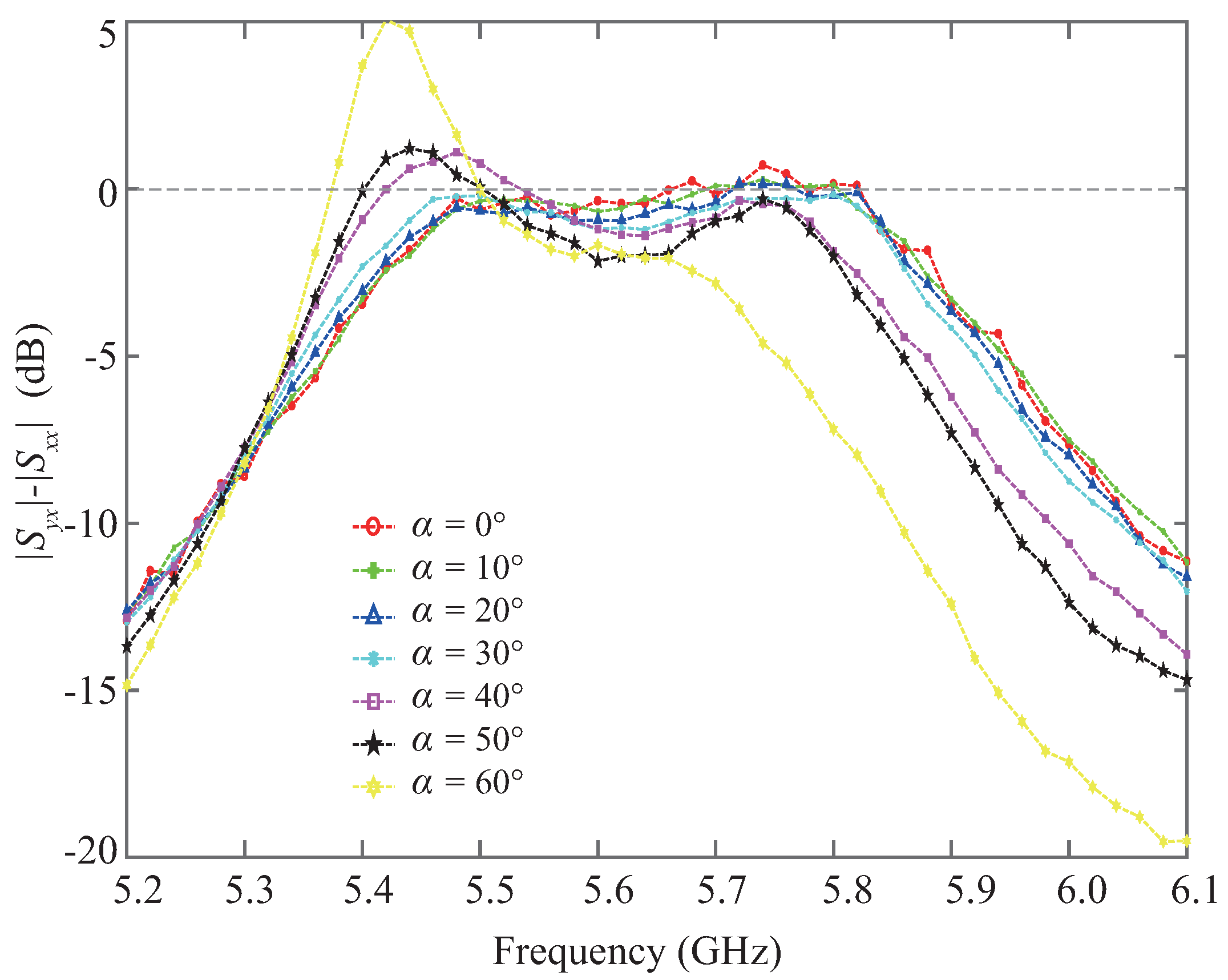
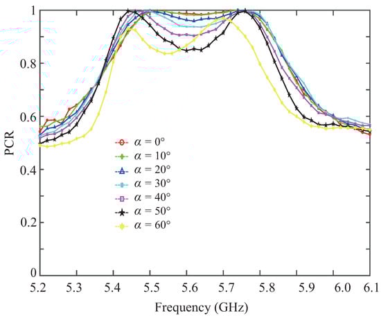
5. Experimental Demonstration
6. Conclusions
Author Contributions
Funding
Institutional Review Board Statement
Data Availability Statement
Conflicts of Interest
References
- Balanis, C.A. Antenna Theory: Analysis and Design; John Wiley & Sons: Hoboken, NJ, USA, 2015. [Google Scholar]
- Zhao, Y.; Cao, X.; Gao, J.; Yao, X.; Liu, T.; Li, W.; Li, S. Broadband low-RCS metasurface and its application on antenna. IEEE Trans. Antennas Propag. 2016, 64, 2954–2962. [Google Scholar] [CrossRef]
- Jia, Y.; Liu, Y.; Guo, Y.J.; Li, K.; Gong, S. A dual-patch polarization rotation reflective surface and its application to ultra-wideband RCS reduction. IEEE Trans. Antennas Propag. 2017, 65, 3291–3295. [Google Scholar] [CrossRef]
- Han, J.; Cao, X.; Gao, J.; Wei, J.; Zhao, Y.; Li, S.; Zhang, Z. Broadband radar cross section reduction using dual-circular polarization diffusion metasurface. IIEEE Antennas Wirel. Propag. Lett. 2018, 17, 969–973. [Google Scholar] [CrossRef]
- Akbari, M.; Samadi, F.; Sebak, A.R.; Denidni, T.A. Superbroadband diffuse wave scattering based on coding metasurfaces: Polarization conversion metasurfaces. IEEE Antennas Propag. Mag. 2019, 61, 40–52. [Google Scholar] [CrossRef]
- Zhou, H.; Sain, B.; Wang, Y.; Schlickriede, C.; Zhao, R.; Zhang, X.; Wei, Q.; Li, X.; Huang, L.; Zentgraf, T. Polarization-encrypted orbital angular momentum multiplexed metasurface holography. ACS Nano 2020, 14, 5553–5559. [Google Scholar] [CrossRef]
- Wang, X.; Yang, G.M. Time-coding spread-spectrum reconfigurable intelligent surface for secure wireless communication: Theory and experiment. Opt. Express 2021, 29, 32031–32041. [Google Scholar] [CrossRef]
- Wang, X.; Caloz, C. Phaser-based polarization-dispersive antenna and application to encrypted communication. In Proceedings of the IEEE International Symposium on Antennas and Propagation, San Diego, CA, USA, 9–14 July 2017; IEEE: Piscataway, NJ, USA, 2017; pp. 2187–2188. [Google Scholar]
- Zhang, Q.; Pan, W. Countering method for active jamming based on dual-polarization radar seeker. Int. J. Microw. Wirel. Technol. 2017, 9, 1067–1073. [Google Scholar] [CrossRef]
- He, Y.; Zhang, T.; He, H.; Zhang, P.; Yang, J. Polarization Anti-Jamming Interference Analysis With Pulse Accumulation. IEEE Trans. Signal Process. 2022, 70, 4772–4787. [Google Scholar] [CrossRef]
- Rajabalipanah, H.; Rouhi, K.; Abdolali, A.; Iqbal, S.; Zhang, L.; Liu, S. Real-time terahertz meta-cryptography using polarization-multiplexed graphene-based computer-generated holograms. Nanophotonics 2020, 9, 2861–2877. [Google Scholar] [CrossRef]
- Fan, S.; Cao, C.; Zeng, X.; Ning, J.; Yan, X.; Wang, R.; Wang, X.; Song, Q.; Chen, K.; Liu, Y.; et al. A RoF system based on polarization multiplexing and carrier suppression to generate frequency eightfold millimeter-wave. Results Phys. 2019, 12, 1450–1454. [Google Scholar] [CrossRef]
- Zhuang, Z.; Suh, S.W.; Patel, J. Polarization controller using nematic liquid crystals. Opt. Lett. 1999, 24, 694–696. [Google Scholar] [CrossRef] [PubMed]
- Ikeda, T.; Sasaki, T.; Ichimura, K. Photochemical switching of polarization in ferroelectric liquid-crystal films. Nature 1993, 361, 428–430. [Google Scholar] [CrossRef]
- Fu, H.; Cohen, R.E. Polarization rotation mechanism for ultrahigh electromechanical response in single-crystal piezoelectrics. Nature 2000, 403, 281–283. [Google Scholar] [CrossRef] [PubMed]
- Caloz, C.; Achouri, K. Electromagnetic Metasurfaces: Theory and Applications; John Wiley & Sons: Hoboken, NJ, USA, 2021. [Google Scholar]
- Holsteen, A.L.; Cihan, A.F.; Brongersma, M.L. Temporal color mixing and dynamic beam shaping with silicon metasurfaces. Science 2019, 365, 257–260. [Google Scholar] [CrossRef]
- Keren-Zur, S.; Avayu, O.; Michaeli, L.; Ellenbogen, T. Nonlinear beam shaping with plasmonic metasurfaces. ACS Photonics 2016, 3, 117–123. [Google Scholar] [CrossRef]
- Avayu, O.; Eisenbach, O.; Ditcovski, R.; Ellenbogen, T. Optical metasurfaces for polarization-controlled beam shaping. Opt. Lett. 2014, 39, 3892–3895. [Google Scholar] [CrossRef]
- Deng, T.; Liang, J.; Cai, T.; Wang, C.; Wang, X.; Lou, J.; Du, Z.; Wang, D. Ultra-thin and broadband surface wave meta-absorber. Opt. Express 2021, 29, 19193–19201. [Google Scholar] [CrossRef]
- Wen, Y.; Ma, W.; Bailey, J.; Matmon, G.; Yu, X.; Aeppli, G. Planar broadband and high absorption metamaterial using single nested resonator at terahertz frequencies. Opt. Lett. 2014, 39, 1589–1592. [Google Scholar] [CrossRef]
- Lee, K.; Son, J.; Park, J.; Kang, B.; Jeon, W.; Rotermund, F.; Min, B. Linear frequency conversion via sudden merging of meta-atoms in time-variant metasurfaces. Nat. Photonics 2018, 12, 765–773. [Google Scholar] [CrossRef]
- Wu, Z.; Grbic, A. Serrodyne frequency translation using time-modulated metasurfaces. IEEE Trans. Antennas Propag. 2019, 68, 1599–1606. [Google Scholar] [CrossRef]
- Chen, Z.N. Metantennas: From Patch Antennas to Metasurface Mosaic Antennas. In Proceedings of the 2020 IEEE Asia-Pacific Microwave Conference (APMC), Hong Kong, China, 8–11 December 2020; IEEE: Hoboken, NJ, USA, 2020; pp. 363–365. [Google Scholar]
- Faenzi, M.; Minatti, G.; González-Ovejero, D.; Caminita, F.; Martini, E.; Della Giovampaola, C.; Maci, S. Metasurface antennas: New models, applications and realizations. Sci. Rep. 2019, 9, 10178. [Google Scholar] [CrossRef] [PubMed]
- González-Ovejero, D.; Minatti, G.; Chattopadhyay, G.; Maci, S. Multibeam by metasurface antennas. IEEE Trans. Antennas Propag. 2017, 65, 2923–2930. [Google Scholar] [CrossRef]
- Liu, S.; Yang, D.; Chen, Y.; Sun, K.; Zhang, X.; Xiang, Y. Low-profile broadband metasurface antenna under multimode resonance. IEEE Antennas Wirel. Propag. Lett. 2021, 20, 1696–1700. [Google Scholar] [CrossRef]
- Wang, X.; Caloz, C. Spread-spectrum selective camouflaging based on time-modulated metasurface. IEEE Trans. Antennas Propag. 2020, 69, 286–295. [Google Scholar] [CrossRef]
- Wang, X.; Caloz, C. Spread-spectrum camouflaging based on time-modulated metasurface. In Proceedings of the IEEE International Symposium on Antennas and Propagation, Atlanta, GA, USA, 7–12 July 2019; IEEE: Hoboken, NJ, USA, 2019; pp. 1411–1412. [Google Scholar]
- Noishiki, T.; Kuse, R.; Fukusako, T. Wideband metasurface polarization converter with double-square-shaped patch elements. Prog. Electromagn. Res. C 2020, 105, 47–58. [Google Scholar] [CrossRef]
- Guo, Y.; Xu, J.; Lan, C.; Bi, K. Broadband and high-efficiency linear polarization converter based on reflective metasurface. Eng. Sci. 2021, 14, 39–45. [Google Scholar] [CrossRef]
- Wang, X.; Yang, G.M. Linear-polarization metasurface converter with an arbitrary polarization rotating angle. Opt. Express 2021, 29, 30579–30589. [Google Scholar] [CrossRef]
- Li, J.; Kong, X.; Wang, J.; Miao, Z.; Wang, X.; Shen, X.; Zhao, L. Dual-band polarization-insensitive orbital angular momentum beam generation based on 1-bit polarization-converting transmitting coding metasurface. Int. J. RF Microw. Comput.-Aided Eng. 2022, 32, e23397. [Google Scholar] [CrossRef]
- Khan, M.I.; Fraz, Q.; Tahir, F.A. Ultra-wideband cross polarization conversion metasurface insensitive to incidence angle. J. Appl. Phys. 2017, 121, 045103. [Google Scholar] [CrossRef]
- Khan, M.I.; Khalid, Z.; Tahir, F.A. Linear and circular-polarization conversion in X-band using anisotropic metasurface. Sci. Rep. 2019, 9, 4552. [Google Scholar] [CrossRef]
- Wang, H.B.; Cheng, Y.J.; Chen, Z.N. Dual-band miniaturized linear-to-circular metasurface polarization converter with wideband and wide-angle axial ratio. IEEE Trans. Antennas Propag. 2021, 69, 9021–9025. [Google Scholar] [CrossRef]
- Ratni, B.; de Lustrac, A.; Piau, G.P.; Burokur, S.N. Electronic control of linear-to-circular polarization conversion using a reconfigurable metasurface. Appl. Phys. Lett. 2017, 111, 214101. [Google Scholar] [CrossRef]
- Lin, B.; Lv, L.; Guo, J.; Liu, Z.; Ji, X.; Wu, J. An ultra-wideband reflective linear-to-circular polarization converter based on anisotropic metasurface. IEEE Access 2020, 8, 82732–82740. [Google Scholar] [CrossRef]
- Akgol, O.; Altintas, O.; Unal, E.; Karaaslan, M.; Karadag, F. Linear to left-and right-hand circular polarization conversion by using a metasurface structure. Int. J. Microw. Wirel. Technol. 2018, 10, 133–138. [Google Scholar] [CrossRef]
- Liu, X.; Zhang, J.; Li, W.; Lu, R.; Li, L.; Xu, Z.; Zhang, A. Three-band polarization converter based on reflective metasurface. IEEE Antennas Wirel. Propag. Lett. 2016, 16, 924–927. [Google Scholar] [CrossRef]
- Akgol, O.; Unal, E.; Altintas, O.; Karaaslan, M.; Karadag, F.; Sabah, C. Design of metasurface polarization converter from linearly polarized signal to circularly polarized signal. Optik 2018, 161, 12–19. [Google Scholar] [CrossRef]
- Arbabi, A.; Horie, Y.; Bagheri, M.; Faraon, A. Dielectric metasurfaces for complete control of phase and polarization with subwavelength spatial resolution and high transmission. Nat. Nanotechnol. 2015, 10, 937–943. [Google Scholar] [CrossRef]
- Lin, B.Q.; Guo, J.X.; Chu, P.; Huo, W.J.; Xing, Z.; Huang, B.G.; Wu, L. Multiple-band linear-polarization conversion and circular polarization in reflection mode using a symmetric anisotropic metasurface. Phys. Rev. Appl. 2018, 9, 024038. [Google Scholar] [CrossRef]
- James, J.R.; Hall, P.S. Handbook of Microstrip Antennas; The Institution of Engineering and Technology: London, UK, 1989. [Google Scholar]
- Sharma, P.; Gupta, K. Analysis and optimized design of single feed circularly polarized microstrip antennas. IEEE Trans. Antennas Propag. 1983, 31, 949–955. [Google Scholar] [CrossRef]
- Zhang, L.; Zhou, P.; Lu, H.; Chen, H.; Xie, J.; Deng, L. Ultra-thin reflective metamaterial polarization rotator based on multiple plasmon resonances. IEEE Antennas Wirel. Propag. Lett. 2015, 14, 1157–1160. [Google Scholar] [CrossRef]
- Xu, J.; Li, R.; Qin, J.; Wang, S.; Han, T. Ultra-broadband wide-angle linear polarization converter based on H-shaped metasurface. Opt. Express 2018, 26, 20913–20919. [Google Scholar] [CrossRef] [PubMed]
- Bhattacharyya, S.; Ghosh, S.; Srivastava, K.V. A wideband cross polarization conversion using metasurface. Radio Sci. 2017, 52, 1395–1404. [Google Scholar] [CrossRef]
- Fu, C.; Sun, Z.; Han, L.; Liu, C. Dual-bandwidth linear polarization converter based on anisotropic metasurface. IEEE Photonics J. 2020, 12, 4600511. [Google Scholar] [CrossRef]
- Sun, H.; Gu, C.; Chen, X.; Li, Z.; Liu, L.; Martín, F. Ultra-wideband and broad-angle linear polarization conversion metasurface. J. Appl. Phys. 2017, 121, 174902. [Google Scholar] [CrossRef]














| Parameter | w | h | r | d | w | l | w | s |
|---|---|---|---|---|---|---|---|---|
| Value (mm) | 25.00 | 1.524 | 8.00 | 0.35 | 2.40 | 1.30 | 0.40 | 0.22 |
Publisher’s Note: MDPI stays neutral with regard to jurisdictional claims in published maps and institutional affiliations. |
© 2022 by the authors. Licensee MDPI, Basel, Switzerland. This article is an open access article distributed under the terms and conditions of the Creative Commons Attribution (CC BY) license (https://creativecommons.org/licenses/by/4.0/).
Share and Cite
Zhang, T.; Wang, H.; Peng, C.; Chen, Z.; Wang, X. C-Band Linear Polarization Metasurface Converter with Arbitrary Polarization Rotation Angle Based on Notched Circular Patches. Crystals 2022, 12, 1646. https://doi.org/10.3390/cryst12111646
Zhang T, Wang H, Peng C, Chen Z, Wang X. C-Band Linear Polarization Metasurface Converter with Arbitrary Polarization Rotation Angle Based on Notched Circular Patches. Crystals. 2022; 12(11):1646. https://doi.org/10.3390/cryst12111646
Chicago/Turabian StyleZhang, Tao, Haoran Wang, Chongmei Peng, Zhaohui Chen, and Xiaoyi Wang. 2022. "C-Band Linear Polarization Metasurface Converter with Arbitrary Polarization Rotation Angle Based on Notched Circular Patches" Crystals 12, no. 11: 1646. https://doi.org/10.3390/cryst12111646
APA StyleZhang, T., Wang, H., Peng, C., Chen, Z., & Wang, X. (2022). C-Band Linear Polarization Metasurface Converter with Arbitrary Polarization Rotation Angle Based on Notched Circular Patches. Crystals, 12(11), 1646. https://doi.org/10.3390/cryst12111646

