Sign in to use this feature.

Years

Between: -

Subjects

remove_circle_outline
remove_circle_outline
remove_circle_outline

Journals

Article Types

Countries / Regions

Search Results (4)

Search Parameters:
Keywords = notched circular patch

Order results
Result details
Results per page
Select all
Export citation of selected articles as:
13 pages, 41633 KB  
Article
C-Band Linear Polarization Metasurface Converter with Arbitrary Polarization Rotation Angle Based on Notched Circular Patches
by Tao Zhang, Haoran Wang, Chongmei Peng, Zhaohui Chen and Xiaoyi Wang
Crystals 2022, 12(11), 1646; https://doi.org/10.3390/cryst12111646 - 16 Nov 2022
Cited by 15 | Viewed by 3151
Abstract
This paper presents a linear polarization metasurface converter with arbitrary polarization rotating angle and stable oblique incident response, which is based on the concept of linear-to-circular polarization decomposition and recombination. A metasurface unit cell is proposed using a notched circular patch with two [...] Read more.
This paper presents a linear polarization metasurface converter with arbitrary polarization rotating angle and stable oblique incident response, which is based on the concept of linear-to-circular polarization decomposition and recombination. A metasurface unit cell is proposed using a notched circular patch with two metallized vias connected to the bottom-layer coplanar waveguide (CPW) transmission lines. By changing the length of the two transmission lines, different polarization rotation angle may be realized. The proposed metasurface polarization converter is theoretically analyzed and full-wave simulated. A 45 metasurface polarization converter with 8×8 unit cells is designed and experimentally demonstrated. The experimental results agree well with the simulation, showing that the proposed metasurface polarization converter can achieve a high polarization conversion ratio (PCR) larger than 85% under up to 50 oblique incident wave. Full article
(This article belongs to the Special Issue Functional Materials and Metamaterials)
Show Figures

Figure 1

14 pages, 3715 KB  
Communication
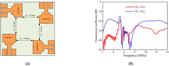
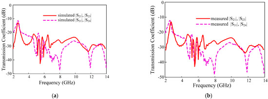
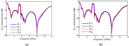
Isolation and Gain Improvement of a Rectangular Notch UWB-MIMO Antenna
by Anees Abbas, Niamat Hussain, Md. Abu Sufian, Jinkyu Jung, Sang Myeong Park and Nam Kim
Sensors 2022, 22(4), 1460; https://doi.org/10.3390/s22041460 - 14 Feb 2022
Cited by 64 | Viewed by 3959
Abstract
This paper presents the performance improvement of a co-planar waveguide rectangularly notched UWB-MIMO antenna. The isolation and gain of the antenna are enhanced by using a parasitic isolator. The antenna consists of four microstrip patch antennas and an isolator. The UWB characteristic of [...] Read more.
This paper presents the performance improvement of a co-planar waveguide rectangularly notched UWB-MIMO antenna. The isolation and gain of the antenna are enhanced by using a parasitic isolator. The antenna consists of four microstrip patch antennas and an isolator. The UWB characteristic of the antenna is achieved by truncating the lower ends of the radiating patch by a semicircle. The rectangular notch characteristic is obtained by adding two electromagnetic bandgap structures on the backside of the antenna, which is attached to the radiator via shorting pin. The performance, especially the decoupling of the MIMO antenna is improved by using a novel parasitic decoupler, which is placed between the antennas to receive uncorrelated signals. The decoupling structure consists of a square shape metallic element with a circular slot inside and a half-semicircle slot edged at each corner. Four rectangular metallic stubs are extended from opposite parallel sides to improve further isolation. The simulated and measured results show that the antenna has a rectangular notch band (5.25–5.85 GHz) across the working band of 3–12.8 GHz. In addition, the antenna has a planar structure with an overall size of 60 × 60 × 1.52 mm3 and offers stable gain, reduced mutual coupling (<−21 dB), and lower envelop correlation (<0.001). Full article
(This article belongs to the Section Electronic Sensors)
Show Figures

Figure 1

9 pages, 2251 KB  
Article
Realizing UWB Antenna Array with Dual and Wide Rejection Bands Using Metamaterial and Electromagnetic Bandgaps Techniques
by Ayman A. Althuwayb, Mohammad Alibakhshikenari, Bal S. Virdee, Pancham Shukla and Ernesto Limiti
Micromachines 2021, 12(3), 269; https://doi.org/10.3390/mi12030269 - 6 Mar 2021
Cited by 5 | Viewed by 2821
Abstract
This research article describes a technique for realizing wideband dual notched functionality in an ultra-wideband (UWB) antenna array based on metamaterial and electromagnetic bandgap (EBG) techniques. For comparison purposes, a reference antenna array was initially designed comprising hexagonal patches that are interconnected to [...] Read more.
This research article describes a technique for realizing wideband dual notched functionality in an ultra-wideband (UWB) antenna array based on metamaterial and electromagnetic bandgap (EBG) techniques. For comparison purposes, a reference antenna array was initially designed comprising hexagonal patches that are interconnected to each other. The array was fabricated on standard FR-4 substrate with thickness of 0.8 mm. The reference antenna exhibited an average gain of 1.5 dBi across 5.25–10.1 GHz. To improve the array’s impedance bandwidth for application in UWB systems metamaterial (MTM) characteristics were applied it. This involved embedding hexagonal slots in patch and shorting the patch to the ground-plane with metallic via. This essentially transformed the antenna to a composite right/left-handed structure that behaved like series left-handed capacitance and shunt left-handed inductance. The proposed MTM antenna array now operated over a much wider frequency range (2–12 GHz) with average gain of 5 dBi. Notched band functionality was incorporated in the proposed array to eliminate unwanted interference signals from other wireless communications systems that coexist inside the UWB spectrum. This was achieved by introducing electromagnetic bandgap in the array by etching circular slots on the ground-plane that are aligned underneath each patch and interconnecting microstrip-line in the array. The proposed techniques had no effect on the dimensions of the antenna array (20 mm × 20 mm × 0.87 mm). The results presented confirm dual-band rejection at the wireless local area network (WLAN) band (5.15–5.825 GHz) and X-band satellite downlink communication band (7.10–7.76 GHz). Compared to other dual notched band designs previously published the footprint of the proposed technique is smaller and its rejection notches completely cover the bandwidth of interfering signals. Full article
(This article belongs to the Special Issue Micro Manufacturing for 5G Communications)
Show Figures

Figure 1

13 pages, 5504 KB  
Article
A Compact Multiple Notched Ultra-Wide Band Antenna with an Analysis of the CSRR-TO-CSRR Coupling for Portable UWB Applications
by MuhibUr Rahman, Dong-Sik Ko and Jung-Dong Park
Sensors 2017, 17(10), 2174; https://doi.org/10.3390/s17102174 - 25 Sep 2017
Cited by 57 | Viewed by 7159
Abstract
We present a compact ultra-wideband (UWB) antenna integrated with sharp notches with a detailed analysis of the mutual coupling of the multiple notch resonators. By utilizing complementary split ring resonators (CSRR) on the radiating semi-circular patch, we achieve the sharp notch-filtering of various [...] Read more.
We present a compact ultra-wideband (UWB) antenna integrated with sharp notches with a detailed analysis of the mutual coupling of the multiple notch resonators. By utilizing complementary split ring resonators (CSRR) on the radiating semi-circular patch, we achieve the sharp notch-filtering of various bands within the UWB band without increasing the antenna size. The notched frequency bands include WiMAX, INSAT, and lower and upper WLAN. In order to estimate the frequency shifts of the notch due to the coupling of the nearby CSRRs, an analysis of the coupling among the multiple notch resonators is carried out and we construct the lumped-circuit equivalent model. The time domain analysis of the proposed antenna is performed to show its validity on the UWB application. The measured frequency response of the input port corresponds quite well with the calculations and simulations. The radiation pattern of the implemented quad-notched UWB antenna is nearly omnidirectional in the passband. Full article
(This article belongs to the Section Remote Sensors)
Show Figures

Figure 1

Back to TopTop