Improved Electrical Performance of InAlN/GaN High Electron Mobility Transistors with Post Bis(trifluoromethane) Sulfonamide Treatment
Abstract
1. Introduction
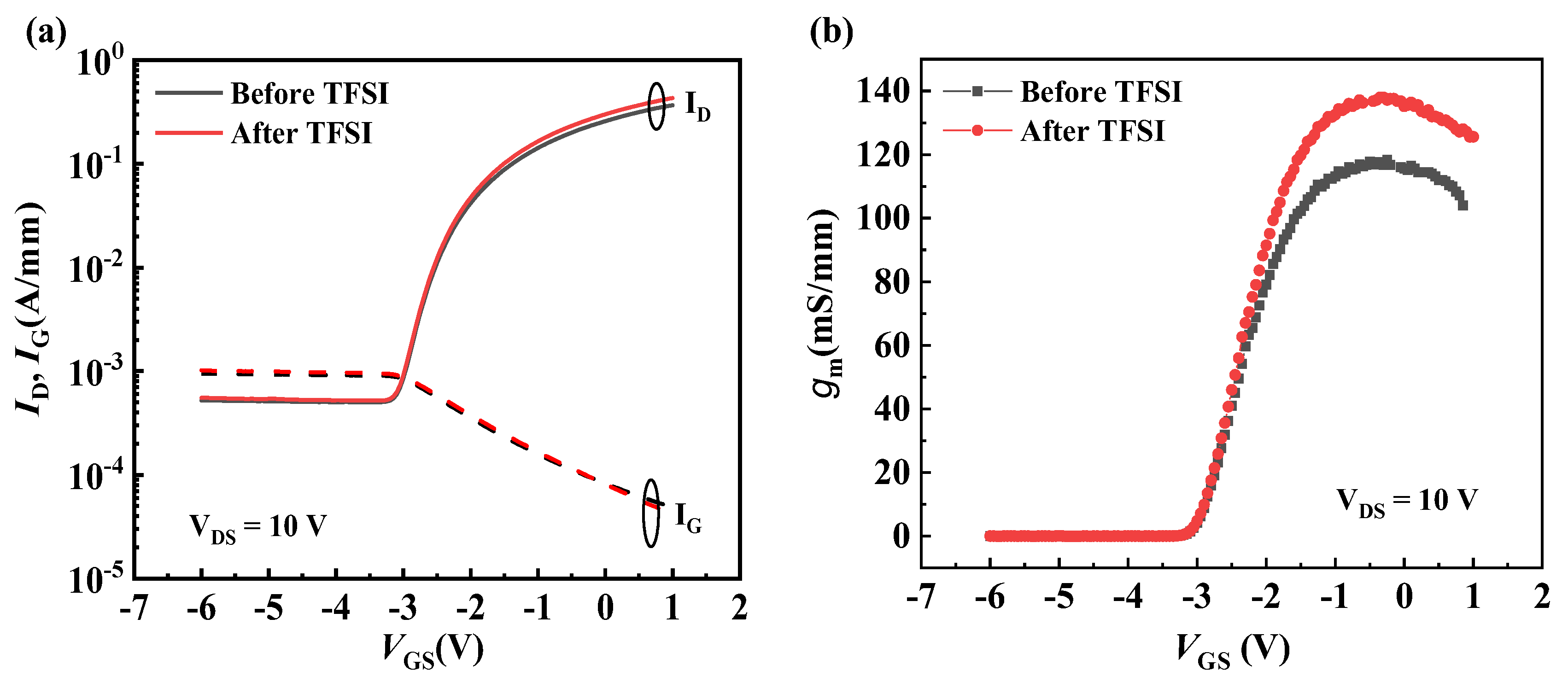
2. Results
3. Conclusions
Author Contributions
Funding
Institutional Review Board Statement
Informed Consent Statement
Data Availability Statement
Conflicts of Interest
References
- Selvaraj, S.L.; Watanabe, A.; Wakejima, A.; Egawa, T. 1.4-kV Breakdown Voltage for AlGaN/GaN High-Electron-Mobility Transistors on Silicon Substrate. IEEE Electron Device Lett. 2012, 33, 1375–1377. [Google Scholar] [CrossRef]
- Lu, B.; Palacios, T. High Breakdown (>1500 V) AlGaN/GaN HEMTs by Substrate-Transfer Technology. IEEE Electron Device Lett. 2010, 31, 951–953. [Google Scholar] [CrossRef]
- Cui1, P.; Mercante1, A.; Lin, G.; Zhang1, J.; Yao, P.; Prather, D.W.; Zeng, Y. High-performance InAlN/GaN HEMTs on silicon substrate with high fT × Lg. Appl. Phys. Express 2019, 12, 104001. [Google Scholar] [CrossRef]
- Mishra, U.K.; Shen, L.; Kazior, T.E.; Wu, Y.F. GaN-Based RF Power Devices and Amplifiers. Proc. IEEE 2008, 96, 287–305. [Google Scholar] [CrossRef]
- Ťapajna, M.; Hilt, O.; Bahat-Treidel, E.; Würfl, J.; Kuzmík, J. Gate Reliability Investigation in Normally-Off p-Type-GaN Cap/AlGaN/GaN HEMTs Under Forward Bias Stress. IEEE Electron Device Lett. 2016, 37, 385–388. [Google Scholar] [CrossRef]
- Kuzmik, J.; Kostopoulos, A.; Konstantinidis, G.; Carlin, J.-F.; Georgakilas, A.; Pogany, D. InAlN/GaN HEMTs: A first insight into technological optimization. IEEE Trans. Electron Devices 2006, 53, 422–426. [Google Scholar] [CrossRef]
- Wang, R.; Saunier, P.; Tang, Y.; Fang, T.; Gao, X.; Guo, S.; Snider, G.; Fay, P.; Jena, D.; Xing, H. Enhancement-Mode InAlN/AlN/GaN HEMTs with 10−12 A/mm Leakage Current and 1012 on/off Current Ratio. IEEE Electron Device Lett. 2011, 32, 309–311. [Google Scholar] [CrossRef]
- Lee, H.; Piedra, D.; Sun, M.; Gao, X.; Guo, S.; Palacios, T. 3000-V 4.3-mΩ·cm2 InAlN/GaN MOSHEMTs with AlGaN Back Barrier. IEEE Electron Device Lett. 2012, 33, 982–984. [Google Scholar] [CrossRef]
- Lee, D.S.; Gao, X.; Guo, S.; Kopp, D.; Fay, P.; Palacios, T. 300-GHz InAlN/GaN HEMTs with InGaN Back Barrier. IEEE Electron Device Lett. 2011, 32, 1525–1527. [Google Scholar] [CrossRef]
- Li, L.; Nomoto, K.; Pan, M.; Li, W.; Hickman, A.; Miller, J.; Lee, K.; Hu, Z.; Bader, S.J.; Lee, S.M.; et al. GaN HEMTs on Si with Regrown Contacts and Cutoff/Maximum Oscillation Frequencies of 250/204 GHz. IEEE Electron Device Lett. 2020, 41, 689–692. [Google Scholar] [CrossRef]
- Yue, Y.; Hu, Z.; Guo, J.; Sensale-Rodriguez, B.; Li, G.; Wang, R.; Faria, F.; Fang, T.; Song, B.; Gao, X.; et al. InAlN/AlN/GaN HEMTs with Regrown Ohmic Contacts and fT of 370 GHz. IEEE Electron Device Lett. 2012, 33, 988–990. [Google Scholar] [CrossRef]
- Kuzmik, J. Power electronics on InAlN/(In)GaN: Prospect for a record performance. IEEE Electron Device Lett. 2001, 22, 510–512. [Google Scholar] [CrossRef]
- Kuzmik, J.; Pozzovivo, G.; Ostermaier, C.; Strasser, G.; Pogany, D.; Gornik, E.; Carlin, J.-F.; Gonschorek, M.; Feltin, E.; Grandjean, N. Analysis of degradation mechanisms in lattice-matched InAlN/GaN high-electron-mobility transistors. J. Appl. Phys. 2009, 106, 124503. [Google Scholar] [CrossRef]
- Wang, R.; Saunier, P.; Xing, X.; Lian, C.; Gao, X.; Guo, S.; Snider, G.; Fay, P.; Jena, D.; Xing, H. Gate-Recessed Enhancement-Mode InAlN/AlN/GaN HEMTs with 1.9-A/mm Drain Current Density and 800-mS/mm Transconductance. IEEE Electron Device Lett. 2010, 31, 1383–1385. [Google Scholar] [CrossRef]
- Medjdoub, F.; Carlin, J.-F.; Gonschorek, M.; Feltin, E.; Py, M.A.; Ducatteau, D.; Gaquiere, C.; Grandjean, N.; Kohn, E. Can InAlN/GaN be an alternative to high power/high temperature AlGaN/GaN devices? In Proceedings of the 2006 International Electron Devices Meeting, San Francisco, CA, USA, 11–13 December 2006; pp. 1–4. [Google Scholar]
- Wang, R.; Li, G.; Laboutin, O.; Cao, Y.; Johnson, W.; Snider, G.; Fay, P.; Jena, D.; Xing, H. 210-GHz InAlN/GaN HEMTs with Dielectric-Free Passivation. IEEE Electron Device Lett. 2011, 32, 892–894. [Google Scholar] [CrossRef]
- Medjdoub, F.; AlOmari, M.; Carlin, J.-F.; Gonschorek, M.; Feltin, E.; Py, M.A.; Grandjean, N.; Kohn, E. Barrier-Layer Scaling of InAlN/GaN HEMTs. IEEE Electron Device Lett. 2008, 29, 422–425. [Google Scholar] [CrossRef]
- Gonschorek, M.; Carlin, J.-F.; Feltin, E.; Py, M.A.; Grandjean, N. High electron mobility lattice-matched AlInN/GaN field-effect transistor heterostructures. Appl. Phys. Lett. 2006, 89, 062106. [Google Scholar] [CrossRef]
- Medjdoub, F.; Carlin, J.-F.; Gonschorek, M.; Feltin, E.; Py, M.A.; Knez, M.; Troadec, D.; Gaquiere, C.; Chuvilin, A.; Kaiser, U.; et al. Barrier layer downscaling of InAIN/GaN HEMTs. In Proceedings of the 2007 65th Annual Device Research Conference, South Bend, IN, USA, 18–20 June 2007; pp. 109–110. [Google Scholar]
- Lee, D.S.; Chung, J.W.; Wang, H.; Gao, X.; Guo, S.; Fay, P.; Palacios, T. 245-GHz InAlN/GaN HEMTs with Oxygen Plasma Treatment. IEEE Electron Device Lett. 2011, 32, 755–757. [Google Scholar] [CrossRef]
- Cui, P.; Zhang, J.; Yang, T.-Y.; Chen, H.; Zhao, H.; Lin, G.; Wei, L.; Xiao, J.Q.; Chueh, Y.-L.; Zeng, Y. Effects of N2O surface treatment on the electrical properties of the InAlN/GaN high electron mobility transistors. J. Phys. D Appl. Phys. 2020, 53, 065103. [Google Scholar] [CrossRef]
- Ganguly, S.; Verma, J.; Hu, Z.Y.; Xing, H.L.; Jena, D. Performance enhancement of InAIN/GaN HEMTs by KOH surface treatment. Appl. Phys. Express 2014, 7, 034102. [Google Scholar] [CrossRef]
- Song, X.; Gu, G.; Dun, S.; Lü, Y.; Han, T.; Wang, Y.; Xu, P.; Feng, Z. DC and RF characteristics of enhancement-mode InAlN/GaN HEMT with fluorine treatment. J. Semicond. 2014, 35, 044002. [Google Scholar] [CrossRef]
- Cui, P.; Yang, T.-Y.; Zhang, J.; Chueh, Y.-L.; Zeng, Y. Improved On/Off Current Ratio and Linearity of InAlN/GaN HEMTs with N2O Surface Treatment for Radio Frequency Application. ECS J. Solid State Sci. Technol. 2021, 10, 065013. [Google Scholar] [CrossRef]
- Lin, G.; Zhao, M.-Q.; Jia, M.; Cui, P.; Zhao, H.; Zhang, J.; Gundlach, L.; Liu, X.; Johnson, A.T.C.; Zeng, Y. Improving the electrical performance of monolayer top-gated MoS2 transistors by post bis(trifluoromethane) sulfonamide treatment. J. Phys. D: Appl. Phys. 2020, 53, 415106. [Google Scholar] [CrossRef]
- Zeng, Y.; Khandelwal, S.; Shariar, K.F.; Wang, Z.; Lin, G.; Cheng, Q.; Cui, P.; Opila, R.; Balakrishnan, G.; Addamane, S.; et al. InAs FinFETs Performance Enhancement by Superacid Surface Treatment. IEEE Trans. Electron Devices 2019, 66, 1856–1861. [Google Scholar] [CrossRef]
- Amani, M.; Lien, D.-H.; Kiriya, D.; Xiao, J.; Azcatl, A.; Noh, J.; Madhvapathy, S.R.; Addou, R.; Kc, S.; Dubey, M.; et al. Near-unity photoluminescence quantum yield in MoS2. Science 2015, 350, 1065–1068. [Google Scholar] [CrossRef] [PubMed]
- Hirakawa, K.; Sakaki, H. Mobility of the two-dimensional electron gas at selectively doped n-type AlxGa1-xAs/GaAs heterojunctions with controlled electron concentrations. Phys. Rev. B 1986, 33, 8291–8303. [Google Scholar] [CrossRef] [PubMed]
- Gurusinghe, M.N.; Davidsson, S.K.; Andersson, T.G. Two-dimensional electron mobility limitation mechanisms in AlxGa1−xN/GaN heterostructures. Phys. Rev. B 2005, 72, 045316. [Google Scholar] [CrossRef]
- Luan, C.; Lin, Z.; Lv, Y.; Zhao, J.; Wang, Y.; Chen, H.; Wang, Z. Theoretical model of the polarization Coulomb field scattering in strained AlGaN/AlN/GaN heterostructure field-effect transistors. J. Appl. Phys. 2014, 116, 044507. [Google Scholar] [CrossRef]
- Shariar, K.F.; Lin, G.; Wang, Z.; Cui, P.; Zhang, J.; Opila, R.; Zeng, Y. Effect of bistrifluoromethane sulfonimide treatment on nickel/InAs contacts. Appl. Phys. A 2019, 125, 429. [Google Scholar] [CrossRef]
- Anwar, A.F.M.; Webster, R.T.; Smith, K.V. Bias induced strain in AlGaN/GaN heterojunction field effect transistors and its implications. Appl. Phys. Lett. 2006, 88, 203510. [Google Scholar] [CrossRef]
- Yang, M.; Lin, Z.; Zhao, J.; Cui, P.; Fu, C.; Lv, Y.; Feng, Z. Effect of Polarization Coulomb Field Scattering on Parasitic Source Access Resistance and Extrinsic Trans-conductance in AlGaN/GaN Heterostructure FETs. IEEE Trans. Electron Devices 2016, 63, 1471–1477. [Google Scholar] [CrossRef]
- Cui, P.; Mo, J.; Fu, C.; Lv, Y.; Liu, H.; Cheng, A.; Luan, C.; Zhou, Y.; Dai, G.; Lin, Z.; et al. Effect of Different Gate Lengths on Polarization Coulomb Field Scattering Potential in AlGaN/GaN Hetero-structure Field-Effect Transistors. Sci. Rep. 2018, 8, 9036. [Google Scholar] [CrossRef] [PubMed]
- Cui, P.; Liu, H.; Lin, W.; Lin, Z.; Cheng, A.; Yang, M.; Liu, Y.; Fu, C.; Lv, Y.; Luan, C.; et al. Influence of Different Gate Biases and Gate Lengths on Parasitic Source Access Resistance in AlGaN/GaN Het-erostructure FETs. IEEE Trans. Electron Devices 2017, 64, 1038–1044. [Google Scholar] [CrossRef]









Publisher’s Note: MDPI stays neutral with regard to jurisdictional claims in published maps and institutional affiliations. |
© 2022 by the authors. Licensee MDPI, Basel, Switzerland. This article is an open access article distributed under the terms and conditions of the Creative Commons Attribution (CC BY) license (https://creativecommons.org/licenses/by/4.0/).
Share and Cite
Chen, S.; Cui, P.; Xu, M.; Lin, Z.; Xu, X.; Zeng, Y.; Han, J. Improved Electrical Performance of InAlN/GaN High Electron Mobility Transistors with Post Bis(trifluoromethane) Sulfonamide Treatment. Crystals 2022, 12, 1521. https://doi.org/10.3390/cryst12111521
Chen S, Cui P, Xu M, Lin Z, Xu X, Zeng Y, Han J. Improved Electrical Performance of InAlN/GaN High Electron Mobility Transistors with Post Bis(trifluoromethane) Sulfonamide Treatment. Crystals. 2022; 12(11):1521. https://doi.org/10.3390/cryst12111521
Chicago/Turabian StyleChen, Siheng, Peng Cui, Mingsheng Xu, Zhaojun Lin, Xiangang Xu, Yuping Zeng, and Jisheng Han. 2022. "Improved Electrical Performance of InAlN/GaN High Electron Mobility Transistors with Post Bis(trifluoromethane) Sulfonamide Treatment" Crystals 12, no. 11: 1521. https://doi.org/10.3390/cryst12111521
APA StyleChen, S., Cui, P., Xu, M., Lin, Z., Xu, X., Zeng, Y., & Han, J. (2022). Improved Electrical Performance of InAlN/GaN High Electron Mobility Transistors with Post Bis(trifluoromethane) Sulfonamide Treatment. Crystals, 12(11), 1521. https://doi.org/10.3390/cryst12111521
